High-Resolution Numerical Modelling of Near-Surface Atmospheric Fields in the Complex Terrain of James Ross Island, Antarctic Peninsula
Abstract
1. Introduction
2. Experimental Setup
2.1. Study Area
2.2. Surface Weather Observations
2.3. Numerical Model
2.4. Evaluation of Model Performance
3. Results
3.1. Seasonal and Diurnal Differences in the WRF Model Accuracy
3.2. Validation Statistics
3.3. Comparison of Observed and Modelled Wind Direction
3.4. Comparison of WRF and ERA5 Data
3.5. Example of WRF Model Performance in Selected Atmospheric Conditions
4. Discussion and Conclusions
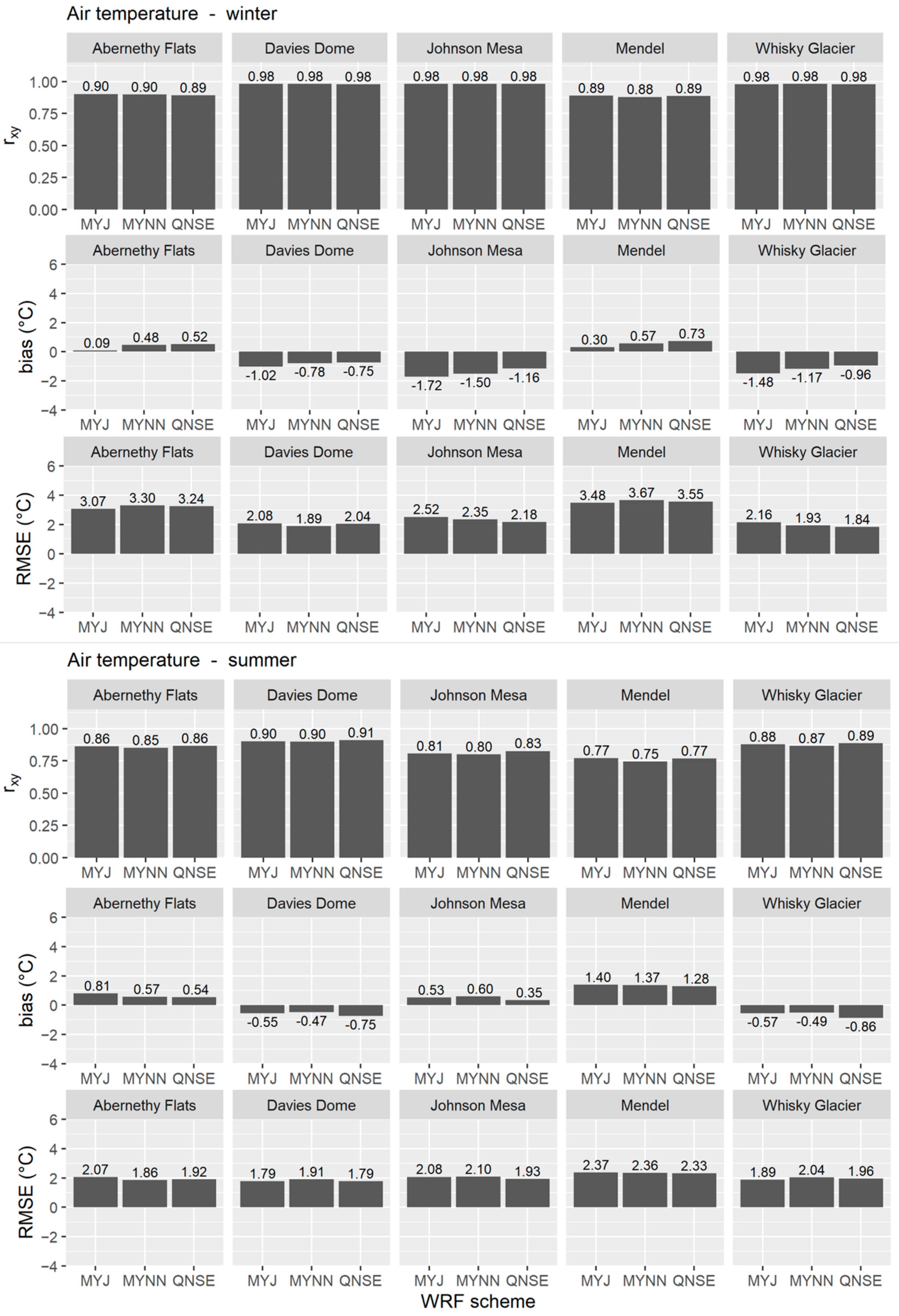
- The WRF model, with a very high spatial resolution and daily satellite sea ice input data, successfully captured air temperature over the Ulu Peninsula (bias of −1.7 °C to 1.4 °C, rxy = 0.75 to 0.98) with no significant seasonal variation in bias and higher rxy in winter than in summer. The model was within 2 °C of observation values in 47–72% of the winter period and 66–79% of the summer period. Wind speed was also successfully captured with a reasonable bias (−0.2 to 2.2 m·s−1), and only at Mendel Station in winter, a bias of 2.8–5.1 m·s−1 was observed. The correlation coefficients for wind speed were lower than for air temperature (0.41–0.93). Wind direction was not investigated in great detail, but the presented results indicate good correspondence between observed and modelled wind direction.
- The largest differences in air temperature simulation were caused by failure of the model to correctly reproduce air temperature inversion occurring at coastal and low‑altitude sites. Furthermore, the model had difficulty simulating very high summer temperature peaks at glacier sites. Regarding synoptic-scale forcing, the WRF model performed very well under strong synoptic-scale flow forced by a low pressure center over the Weddell Sea and slightly stable stratification. We found a problem in the computation of air temperature and wind speed at coastal or lower‑altitude sites under weak synoptic forcing (the northern edge of the air pressure trough) accompanied by the occurrence of mesoscale atmospheric processes (cold air formation over the Prince Gustav Channel, leeside warming at the foot of James Ross Island northeastern slopes).
- Despite overall good performance by the model, our results stress the need for further improvements to the WRF model, e.g., higher resolution of input datasets (and computational domains) or more sophisticated parameterizations of subgrid-scale processes.
Author Contributions
Funding
Institutional Review Board Statement
Informed Consent Statement
Data Availability Statement
Acknowledgments
Conflicts of Interest
References
- Scambos, T.; Hulbe, C.; Fahnestock, M. Climate-Induced Ice Shelf Disintegration in the Antarctic Peninsula. In Antarctic Peninsula Climate Variability: Historical & Paleoenvironmental Perspectives; Domack, E., Ed.; American Geophysical Union: Washington, DC, USA, 2003; pp. 79–92. [Google Scholar]
- Engel, Z.; Laska, K.; Nývlt, D.; Stachoň, Z. Surface mass balance of small glaciers on James Ross Island, north-eastern Antarctic Peninsula, during 2009–2015. J. Glaciol. 2018, 64, 349–361. [Google Scholar] [CrossRef]
- Oliva, M.; Navarro, F.; Hrbáček, F.; Hernández, A.; Nývlt, D.; Pereira, P.; Ruiz-Fernández, J.; Trigo, R. Recent regional climate cooling on the Antarctic Peninsula and associated impacts on the cryosphere. Sci. Total Environ. 2017, 580, 210–223. [Google Scholar] [CrossRef] [PubMed]
- Convey, P. Terrestrial biodiversity in Antarctica—Recent advances and future challenges. Polar Sci. 2010, 4, 135–147. [Google Scholar] [CrossRef]
- Kavan, J.; Nedbalová, L.; Nývlt, D.; Čejka, T.; Lirio, J.M. Status and short-term environmental changes of lakes in the area of Devil’s Bay, Vega Island, Antarctic Peninsula. Antarct. Sci. 2020, 1–15. [Google Scholar] [CrossRef]
- King, J.C.; Turner, J.; Marshall, G.J.; Connolley, W.M.; Lachlan-Cope, T.A. Antarctic Peninsula Climate Variability and It’s Causes as Revealed by Analysis of Instrumental Records. In Antarctic Research Series; American Geophysical Union: Washington, DC, USA, 2013; pp. 17–30. [Google Scholar]
- Turner, J.; Lu, H.; White, I.; King, J.C.; Phillips, T.; Hosking, J.S.; Bracegirdle, T.J.; Marshall, G.J.; Mulvaney, R.; Deb, P. Absence of 21st century warming on Antarctic Peninsula consistent with natural variability. Nat. Cell Biol. 2016, 535, 411–415. [Google Scholar] [CrossRef] [PubMed]
- Braun, M.; Hock, R. Spatially distributed surface energy balance and ablation modelling on the ice cap of King George Island (Antarctica). Glob. Planet. Chang. 2004, 42, 45–58. [Google Scholar] [CrossRef]
- Jonsell, U.Y.; Navarro, F.J.; Bañón, M.; Lapazaran, J.J.; Otero, J. Sensitivity of a distributed temperature-radiation index melt model based on AWS observations and surface energy balance fluxes, Hurd Peninsula glaciers, Livingston Island, Antarctica. Cryosphere 2012, 6, 539–552. [Google Scholar] [CrossRef]
- Barrand, N.E.; Vaughan, D.G.; Steiner, N.; Tedesco, M.; Munneke, P.K.; Broeke, M.R.V.D.; Hosking, J.S. Trends in Antarctic Peninsula surface melting conditions from observations and regional climate modeling. J. Geophys. Res. Earth Surf. 2013, 118, 315–330. [Google Scholar] [CrossRef]
- Vaughan, D.G. Institute of Arctic and Alpine Research (INSTAAR) University of Colorado Recent Trends in Melting Conditions on the Antarctic Peninsula and Their Implications for Ice-sheet Mass Balance and Sea Level. Arctic Antarct. Alp. Res. 2006, 38, 147–152. [Google Scholar] [CrossRef]
- Stocker, T.F.; Qin, D.; Plattner, G.-K.; Alexander, L.V.; Allen, S.K.; Bindoff, N.L.; Breon, F.-M.; Church, J.A.; Cubash, U.; Emori, S.; et al. Technical Summary. In Climate Change 2013: The Physical Science Basis. Contribution of Working Group I to the Fifth Assessment Report of the Intergovernmental Panel on Climate Change; Stocker, T.F., Qin, D., Plattner, G.-K., Tignor, M., Allen, S.K., Boschung, J., Nauels, A., Xia, Y., Bex, V., Midgley, P.M., Eds.; Cambridge University Press: New York, NY, USA, 2013; pp. 33–116. [Google Scholar]
- Cape, M.R.; Vernet, M.; Skvarca, P.; Marinsek, S.; Scambos, T.; Domack, E. Foehn winds link climate-driven warming to ice shelf evolution in Antarctica. J. Geophys. Res. Atmos. 2015, 120, 11. [Google Scholar] [CrossRef]
- Munneke, P.K.; Luckman, A.J.; Bevan, S.L.; Smeets, C.J.P.P.; Gilbert, E.; Broeke, M.R.V.D.; Wang, W.; Zender, C.; Hubbard, B.; Ashmore, D.; et al. Intense Winter Surface Melt on an Antarctic Ice Shelf. Geophys. Res. Lett. 2018, 45, 7615–7623. [Google Scholar] [CrossRef]
- Turton, J.V.; Kirchgaessner, A.; Ross, A.N.; King, J.C. Does high-resolution modelling improve the spatial analysis of föhn flow over the Larsen C Ice Shelf? Weather 2017, 72, 192–196. [Google Scholar] [CrossRef]
- Skamarock, W.C.; Klemp, B.J.; Dudhia, J.; Gill, D.O.; Barker, D.M.; Duda, M.G.; Huang, X.-Y.; Wang, W.; Powers, J.G. A Description of the Advanced Research WRF Version 3; National Center for Atmospheric Research: Boulder, CO, USA, 2008. [Google Scholar] [CrossRef]
- Wang, W.; Bruyere, C.; Duda, M.; Dudhia, J.; Gill, D.; Kavulich, M.; Keene, K.; Chen, M.; Lin, H.-C.; Michalakes, J.; et al. WRF-ARW V3: User’s Guide. 2008. Available online: http://www2.mmm.ucar.edu/wrf/users/docs/user_guide_V3.9/ARWUsersGuideV3.9.pdf (accessed on 20 October 2020).
- Aas, K.S.; Berntsen, T.K.; Boike, J.; Etzelmüller, B.; Kristjánsson, J.E.; Maturilli, M.; Schuler, T.V.; Stordal, F.; Westermann, S. A Comparison between Simulated and Observed Surface Energy Balance at the Svalbard Archipelago. J. Appl. Meteorol. Clim. 2015, 54, 1102–1119. [Google Scholar] [CrossRef][Green Version]
- Deb, P.; Orr, A.; Hosking, J.S.; Phillips, T.; Turner, J.; Bannister, D.; Pope, J.O.; Colwell, S. An assessment of the Polar Weather Research and Forecasting (WRF) model representation of near-surface meteorological variables over West Antarctica. J. Geophys. Res. Atmos. 2016, 121, 1532–1548. [Google Scholar] [CrossRef]
- Kwon, H.; Park, S.; Lee, S.; Kim, B.; Choi, T.; Kim, S. A numerical simulation of a strong wind event in January 2013 at King Sejong station, Antarctica. Q. J. R. Meteorol. Soc. 2019, 145, 1267–1280. [Google Scholar] [CrossRef]
- Claremar, B.; Obleitner, F.; Reijmer, C.; Pohjola, V.; Waxegård, A.; Karner, F.; Rutgersson, A. Applying a Mesoscale Atmospheric Model to Svalbard Glaciers. Adv. Meteorol. 2012, 2012, 1–22. [Google Scholar] [CrossRef]
- Bromwich, D.H.; Otieno, F.O.; Hines, K.M.; Manning, K.W.; Shilo, E. Comprehensive evaluation of polar weather research and forecasting model performance in the Antarctic. J. Geophys. Res. Atmos. 2013, 118, 274–292. [Google Scholar] [CrossRef]
- Láska, K.; Chládová, Z.; Hošek, J. High-resolution numerical simulation of summer wind field comparing WRF boundary-layer parametrizations over complex Arctic topography: Case study from central Spitsbergen. Meteorol. Z. 2017, 26, 391–408. [Google Scholar] [CrossRef]
- Tastula, E.-M.; Vihma, T.; Andreas, E.L. Evaluation of Polar WRF from Modeling the Atmospheric Boundary Layer over Antarctic Sea Ice in Autumn and Winter. Mon. Weather Rev. 2012, 140, 3919–3935. [Google Scholar] [CrossRef]
- Tastula, E.-M.; Vihma, T. WRF Model Experiments on the Antarctic Atmosphere in Winter. Mon. Weather Rev. 2011, 139, 1279–1291. [Google Scholar] [CrossRef]
- UCAR: AMPS Grids. 2018. Available online: https://www2.mmm.ucar.edu/rt/amps/information/configuration/maps_2017101012/maps.html (accessed on 8 January 2021).
- Liu, Y.; Wang, Y.; Ding, M.; Sun, W.; Zhang, T.; Xu, Y. Evaluation of the Antarctic Mesoscale Prediction System based on snow accumulation observations over the Ross Ice Shelf. Adv. Atmos. Sci. 2017, 34, 587–598. [Google Scholar] [CrossRef]
- Wille, J.D.; Bromwich, D.H.; Cassano, J.J.; Nigro, M.A.; Mateling, M.E.; Lazzara, M.A. Evaluation of the AMPS Boundary Layer Simulations on the Ross Ice Shelf, Antarctica, with Unmanned Aircraft Observations. J. Appl. Meteorol. Clim. 2017, 56, 2239–2258. [Google Scholar] [CrossRef]
- Wille, J.D.; Bromwich, D.H.; Nigro, M.A.; Cassano, J.J.; Mateling, M.; Lazzara, M.A.; Wang, S.-H. Evaluation of the AMPS Boundary Layer Simulations on the Ross Ice Shelf with Tower Observations. J. Appl. Meteorol. Clim. 2016, 55, 2349–2367. [Google Scholar] [CrossRef]
- King, J.C.; Gadian, A.; Kirchgaessner, A.; Munneke, P.K.; Lachlan-Cope, T.A.; Orr, A.; Reijmer, C.; Broeke, M.R.V.D.; Van Wessem, J.M.; Weeks, M. Validation of the summertime surface energy budget of Larsen C Ice Shelf (Antarctica) as represented in three high-resolution atmospheric models. J. Geophys. Res. Atmos. 2015, 120, 1335–1347. [Google Scholar] [CrossRef]
- Van Wessem, J.M.; Reijmer, C.H.; Van De Berg, W.J.; Broeke, M.R.V.D.; Cook, A.J.; Van Ulft, L.H.; Van Meijgaard, E. Temperature and Wind Climate of the Antarctic Peninsula as Simulated by a High-Resolution Regional Atmospheric Climate Model. J. Clim. 2015, 28, 7306–7326. [Google Scholar] [CrossRef]
- Elvidge, A.D.; Munneke, P.K.; King, J.C.; Renfrew, I.A.; Gilbert, E. Atmospheric Drivers of Melt on Larsen C Ice Shelf: Surface Energy Budget Regimes and the Impact of Foehn. J. Geophys. Res. Atmos. 2020, 125. [Google Scholar] [CrossRef]
- Van Wessem, J.M.; Ligtenberg, S.R.M.; Reijmer, C.H.; Van De Berg, W.J.; Broeke, M.R.V.D.; Barrand, N.E.; Thomas, E.R.; Turner, J.; Wuite, J.; Scambos, T.A.; et al. The modelled surface mass balance of the Antarctic Peninsula at 5.5 km horizontal resolution. Cryosphere 2016, 10, 271–285. [Google Scholar] [CrossRef]
- Aas, K.S.; Dunse, T.; Collier, E.; Schuler, T.V.; Berntsen, T.K.; Kohler, J.; Luks, B. The climatic mass balance of Svalbard glaciers: A 10-year simulation with a coupled atmosphere-glacier mass balance model. Cryosphere 2016, 10, 1089–1104. [Google Scholar] [CrossRef]
- Hock, R. Temperature index melt modelling in mountain areas. J. Hydrol. 2003, 282, 104–115. [Google Scholar] [CrossRef]
- Leeson, A.A.; Van Wessem, J.M.; Ligtenberg, S.R.M.; Shepherd, A.; Broeke, M.R.V.D.; Killick, R.; Skvarca, P.; Marinsek, S.; Colwell, S. Regional climate of the Larsen B embayment 1980–2014. J. Glaciol. 2017, 63, 683–690. [Google Scholar] [CrossRef]
- Sauter, T.; Möller, M.; Finkelnburg, R.; Grabiec, M.; Scherer, D.; Schneider, C. Snowdrift modelling for the Vestfonna ice cap, north-eastern Svalbard. Cryosphere 2013, 7, 1287–1301. [Google Scholar] [CrossRef]
- Leonard, K.C.; Maksym, T. The importance of wind-blown snow redistribution to snow accumulation on Bellingshausen Sea ice. Ann. Glaciol. 2011, 52, 271–278. [Google Scholar] [CrossRef]
- Davies, B.J.; Glasser, N.F.; Carrivick, J.L.; Hambrey, M.J.; Smellie, J.L.; Nývlt, D. Landscape evolution and ice-sheet behaviour in a semi-arid polar environment: James Ross Island, NE Antarctic Peninsula. Geol. Soc. Lond. Spéc. Publ. 2013, 381, 353–395. [Google Scholar] [CrossRef]
- Engel, Z.; Kropáček, J.; Smolíková, J. Surface elevation changes on Lachman Crags ice caps (north-eastern Antarctic Peninsula) since 1979 indicated by DEMs and ICESat data. J. Glaciol. 2019, 65, 1–12. [Google Scholar] [CrossRef]
- Kavan, J.; Ondruch, J.; Nývlt, D.; Hrbáček, F.; Carrivick, J.L.; Láska, K. Seasonal hydrological and suspended sediment transport dynamics in proglacial streams, James Ross Island, Antarctica. Geogr. Ann. Ser. A Phys. Geogr. 2016, 99, 38–55. [Google Scholar] [CrossRef]
- Mlčoch, B.; Nývlt, D.; Mixa, P. Geological Map of James Ross Island—Northern Part 1: 25,000; Czech Geological Survey: Prague, Czech Republic, 2018. [Google Scholar]
- Morris, E.M.; Vaughan, D.G. Spatial and temporal variability of surface temperature on the Antarctic Peninsula and the limit of viability of ice shelves. In Antarctic Peninsula Climate Variability: Historical & Paleoenvironmental Perspectives; Domack, E., Ed.; American Geophysical Union: Washington, DC, USA, 2003; pp. 61–68. [Google Scholar]
- Hrbáček, F.; Láska, K.; Engel, Z. Effect of Snow Cover on the Active-Layer Thermal Regime—A Case Study from James Ross Island, Antarctic Peninsula. Permafr. Periglac. Process. 2015, 27, 307–315. [Google Scholar] [CrossRef]
- Ambrožová, K.; Láska, K. Změny teploty na ostrově Jamese Rosse v kontextu Antarktického poloostrova. In Sborník Příspěvků Výroční Konference České Geografické Společnosti; Jihočeská univerzita v Českých Budějovicích: České Budějovice, Czech Republic, 2016; pp. 20–25. [Google Scholar]
- Hrbáček, F.; Uxa, T. The evolution of a near-surface ground thermal regime and modeled active-layer thickness on James Ross Island, Eastern Antarctic Peninsula, in 2006–2016. Permafr. Periglac. Process. 2020, 31, 141–155. [Google Scholar] [CrossRef]
- Ambrozova, K.; Laska, K.; Hrbacek, F.; Kavan, J.; Ondruch, J. Air temperature and lapse rate variation in the ice-free and glaciated areas of northern James Ross Island, Antarctic Peninsula, during 2013–2016. Int. J. Clim. 2018, 39, 643–657. [Google Scholar] [CrossRef]
- Ambrožová, K.; Láska, K.; Kavan, J. Multi-year assessment of atmospheric circulation and impacts on air temperature variation on James Ross Island, Antarctic Peninsula. Int. J. Clim. 2020, 40, 1526–1541. [Google Scholar] [CrossRef]
- Stachon, Z. Czech Geological Survey: James Ross Island—Northern part. In Topographic Map 1: 25 000, 1st ed.; Czech Geological Survey: Prague, Czech Republic, 2009; ISBN 978-80-7075-734-5. [Google Scholar]
- Howat, I.M.; Porter, C.; Smith, B.E.; Noh, M.-J.; Morin, P. The Reference Elevation Model of Antarctica. Cryosphere 2019, 13, 665–674. [Google Scholar] [CrossRef]
- Hersbach, H.; Bell, B.; Berrisford, P.; Hirahara, S.; Horányi, A.; Muñoz-Sabater, J.; Nicolas, J.; Peubey, C.; Radu, R.; Schepers, D.; et al. The ERA5 global reanalysis. Q. J. R. Meteorol. Soc. 2020, 146, 1999–2049. [Google Scholar] [CrossRef]
- Spreen, G.; Kaleschke, L.; Heygster, G. Sea ice remote sensing using AMSR-E 89-GHz channels. J. Geophys. Res. Space Phys. 2008, 113. [Google Scholar] [CrossRef]
- British Antarctic Survey: SCAR Antarctic Digital Database. 2019. Available online: https://add.data.bas.ac.uk/repository/entry/show?entryid=f477219b-9121-44d6-afa6-d8552762dc45 (accessed on 14 October 2018).
- Kern, S.; Ozsoy-Çiçek, B.; Worby, A.P. Antarctic Sea-Ice Thickness Retrieval from ICESat: Inter-Comparison of Different Approaches. Remote Sens. 2016, 8, 538. [Google Scholar] [CrossRef]
- Warner, T.T. Numerical Weather and Climate Prediction; Amsterdam University Press: Amsterdam, The Netherlands, 2009; p. 21. [Google Scholar]
- Janjić, Z.I. The Step-Mountain Eta Coordinate Model: Further Developments of the Convection, Viscous Sublayer, and Turbulence Closure Schemes. Mon. Weather Rev. 1994, 122, 927–945. [Google Scholar] [CrossRef]
- Nakanishi, M.; Niino, H. Development of an Improved Turbulence Closure Model for the Atmospheric Boundary Layer. J. Meteorol. Soc. Jpn. 2009, 87, 895–912. [Google Scholar] [CrossRef]
- Sukoriansky, S.; Galperin, B.; Perov, V. Application of a new Spectral Theory of Stably Stratified Turbulence to the Atmospheric Boundary Layer over Sea Ice. Boundary-Layer Meteorol. 2005, 117, 231–257. [Google Scholar] [CrossRef]
- Tastula, E.-M.; LeMone, M.A.; Dudhia, J.; Galperin, B. The impact of the QNSE-EDMF scheme and its modifications on boundary layer parameterization in WRF: Modelling of CASES-97. Q. J. R. Meteorol. Soc. 2016, 142, 1182–1195. [Google Scholar] [CrossRef]
- Falk, U.; López, D.A.; Silva-Busso, A. Multi-year analysis of distributed glacier mass balance modelling and equilibrium line altitude on King George Island, Antarctic Peninsula. Cryosphere 2018, 12, 1211–1232. [Google Scholar] [CrossRef]
- Arndt, S.; Paul, S. Variability of Winter Snow Properties on Different Spatial Scales in the Weddell Sea. J. Geophys. Res. Oceans 2018, 123, 8862–8876. [Google Scholar] [CrossRef]
- Van Kampenhout, L.; Lenaerts, J.T.M.; Lipscomb, W.H.; Sacks, W.J.; Lawrence, D.M.; Slater, A.G.; Broeke, M.R.V.D. Improving the Representation of Polar Snow and Firn in the Community Earth System Model. J. Adv. Model. Earth Syst. 2017, 9, 2583–2600. [Google Scholar] [CrossRef]
- Thompson, G.; Field, P.R.; Rasmussen, R.M.; Hall, W.D. Explicit Forecasts of Winter Precipitation Using an Improved Bulk Microphysics Scheme. Part II: Implementation of a New Snow Parameterization. Mon. Weather Rev. 2008, 136, 5095–5115. [Google Scholar] [CrossRef]
- Iacono, M.J.; Delamere, J.S.; Mlawer, E.J.; Shephard, M.W.; Clough, S.A.; Collins, W.D. Radiative forcing by long-lived greenhouse gases: Calculations with the AER radiative transfer models. J. Geophys. Res. Space Phys. 2008, 113. [Google Scholar] [CrossRef]
- Niu, G.-Y.; Yang, Z.-L.; Mitchell, K.E.; Chen, F.; Ek, M.B.; Barlage, M.; Kumar, A.; Manning, K.; Niyogi, D.; Rosero, E.; et al. The community Noah land surface model with multiparameterization options (Noah-MP): 1. Model description and evaluation with local-scale measurements. J. Geophys. Res. Space Phys. 2011, 116. [Google Scholar] [CrossRef]
- Johnson, H.K. Simple expressions for correcting wind speed data for elevation. Coast. Eng. 1999, 36, 263–269. [Google Scholar] [CrossRef]
- Sukoriansky, S. Implementation of the Quasi-Normal Scale Elimination (QNSE) Model of Stably Stratified Turbulence in WRF; Ben-Gurion University of the Negev: Beer Sheva, Israel, 2008; p. 1. [Google Scholar]







| AWS | Latitude (°) | Longitude (°) | Altitude (m) | WRF Altitude (m) | Land- Cover | Air Temperature (°C) | Wind Speed (m·s−1) and Direction (°) |
|---|---|---|---|---|---|---|---|
| Abernethy Flats | −63.8814 | −57.9482 | 41 | 65 | Bare ground | X | |
| Davies Dome | −63.8887 | −58.0611 | 514 | 504 | Glacier | X | X |
| Johnson Mesa | −63.8223 | −57.9326 | 340 | 261 | Bare ground | X | |
| Mendel Station | −63.8016 | −57.8832 | 10 | 10 | Bare ground | X | X |
| Whisky Glacier | −63.9300 | −57.9461 | 326 | 330 | Glacier | X |
| Parameter | Value |
|---|---|
| Domain d1 size and resolution | 221 × 281 grid points, 6.3 km |
| Domain d2 size and resolution | 241 × 241 grid points, 2.1 km |
| Domain d3 size and resolution | 148 × 157 grid points, 0.7 km |
| Number of vertical levels | 65 levels, the lowest one (for air temperature) at ~7 m a.g.l. |
| Time step | adaptive; 9–36 s for d1, 3–12 s for d2 and 1–4 s for d3 |
| Microphysics scheme | Thompson [63] (mp_physics = 8) |
| Shortwave radiation | RRTMG [64] (ra_sw_physics = 4) |
| Longwave radiation | RRTMG [64] (ra_lw_physics = 4) |
| Convection scheme | turned off (cu_physics = 0) |
| Land surface model | NoahMP [65] (sf_surface_physics = 4) |
| Boundary layer option 1 | MYJ [56] (bl_pbl_physics = 2) |
| Surface layer option 1 | Monin–Obukhov (Janjic Eta) (sf_sfclay_physics = 2) |
| Boundary layer option 2 | MYNN [57] (bl_pbl_physics = 5) |
| Surface layer option 2 | MYNN (sf_sfclay_physics = 5) |
| Boundary layer option 3 | QNSE [58] (bl_pbl_physics = 4) |
| Surface layer option 3 | QNSE (sf_sfclay_physics = 4) |
| Fractional_seaice | Activated (fractional_seaice = 1) |
| Sea ice thickness option | Uniform (seaice_thickness_opt = 0) |
| Sea ice thickness default value | 1.2 m (seaice_thickness_default = 1.2) |
| Sea ice albedo | Variable (seaice_albedo_opt = 1) |
| Snow on sea ice option | Bounded by limits (seaice_snowdepth_opt = 0) |
| Snow on sea ice–minimum | 0 m (seaice_snowdepth_min = 0) |
| Snow on sea ice–maximum | 2 m (seaice_snowdepth_max = 2) |
| Air Temperature (°C) | Wind Speed (m·s−1) and Direction (°) | ||||||
|---|---|---|---|---|---|---|---|
| Bias | RMSE | rxy | Bias | RMSE | rxy | DACD | |
| WRF | −1.02/−0.75 | 1.89/2.08 | 0.98 | 1.01/2.18 | 3.43/4.16 | 0.90/0.93 | 64.8% |
| ERA5 | −2.16 | 5.72 | 0.92 | −3.38 | 4.90 | 0.93 | 62.5% |
| Air Temperature (°C) | Wind Speed (m·s−1) and Direction (°) | ||||||
|---|---|---|---|---|---|---|---|
| Bias | RMSE | rxy | Bias | RMSE | rxy | DACD | |
| WRF | −0.75/−0.47 | 1.79/1.91 | 0.90/0.91 | −0.19/0.43 | 2.12/2.28 | 0.41/0.59 | 42.2% |
| ERA5 | 0.63 | 2.95 | 0.68 | −1.49 | 2.30 | 0.48 | 45.3% |
| Air Temperature (°C) | Wind Speed (m·s−1) | |||||
|---|---|---|---|---|---|---|
| Study | Bias | RMSE | rxy | Bias | RMSE | rxy |
| This study | −1.7/1.4 | 1.8/3.7 | 0.75/0.98 | −0.2/5.1 | 2.1/6.4 | 0.41/0.93 |
| Tastula et al., 2012 [24] | −2.1/0.7 | 5.4/6.9 | 0.7 | −0.6/−0.4 | 3.2 | 0.2 |
| Bromwich et al., 2013 1 [22] | −2.8/2.1 | 3.3/6.0 | 0.58/0.80 | 0.4/2.9 | 3.3/5.0 | 0.43/0.73 |
| King et al., 2015 [30]-AMPS | −0.9 | - | 0.54 | 0.3 | - | 0.79 |
| King et al., 2015 [30]-RACMO2 | 0.2 | - | 0.57 | −0.5 | - | 0.84 |
| King et al., 2015 [30]-MetUM | 0.5 | - | 0.62 | −0.1 | - | 0.69 |
| Deb et al., 2016 2 [19] | −4.6 /1.0 | 2.3/5.7 | 0.74/0.90 | −0.4/2.0 | 2.17/6.5 | 0.44/0.79 |
| Turton et al., 2017 [15] | 0.5/3.1 | - | 0.82/0.93 | 0.8/4.3 | - | 0.46/0.84 |
Publisher’s Note: MDPI stays neutral with regard to jurisdictional claims in published maps and institutional affiliations. |
© 2021 by the authors. Licensee MDPI, Basel, Switzerland. This article is an open access article distributed under the terms and conditions of the Creative Commons Attribution (CC BY) license (http://creativecommons.org/licenses/by/4.0/).
Share and Cite
Matějka, M.; Láska, K.; Jeklová, K.; Hošek, J. High-Resolution Numerical Modelling of Near-Surface Atmospheric Fields in the Complex Terrain of James Ross Island, Antarctic Peninsula. Atmosphere 2021, 12, 360. https://doi.org/10.3390/atmos12030360
Matějka M, Láska K, Jeklová K, Hošek J. High-Resolution Numerical Modelling of Near-Surface Atmospheric Fields in the Complex Terrain of James Ross Island, Antarctic Peninsula. Atmosphere. 2021; 12(3):360. https://doi.org/10.3390/atmos12030360
Chicago/Turabian StyleMatějka, Michael, Kamil Láska, Klára Jeklová, and Jiří Hošek. 2021. "High-Resolution Numerical Modelling of Near-Surface Atmospheric Fields in the Complex Terrain of James Ross Island, Antarctic Peninsula" Atmosphere 12, no. 3: 360. https://doi.org/10.3390/atmos12030360
APA StyleMatějka, M., Láska, K., Jeklová, K., & Hošek, J. (2021). High-Resolution Numerical Modelling of Near-Surface Atmospheric Fields in the Complex Terrain of James Ross Island, Antarctic Peninsula. Atmosphere, 12(3), 360. https://doi.org/10.3390/atmos12030360

