A Sensitivity Assessment of COSMO-CLM to Different Land Cover Schemes in Convection-Permitting Climate Simulations over Europe
Abstract
:1. Introduction
- Do the three land cover maps in regional climate simulations reliably compare to observational data?
- Do regional and seasonal temperatures change according to the different land cover maps and fractions? If yes, why, where and in which season?
- How do the leaf area index (LAI) and plant coverage react or change according to the different land cover data sets?
- How do the different land cover fractions affect the temperature, LAI and plant coverage in COSMO-CLM regional climate simulation?
2. Data
2.1. Input Land Cover Data Sets
2.2. HYRAS Data Sets
2.3. ERA-Interim Data Sets
2.4. Model Description
3. Methods
3.1. External Data Acquiring
- Specify the target spatial resolution (rotated or non-rotated): In our simulations, the target grids were rotated.
- Aggregate the different raw data sets into the target horizontal resolution.
- Check the consistency of the different external parameter sets to make sure that the generated external data are consistent. This procedure includes a grid cell check, which ensures that all of the external parameters are of the same grid scale, either rotated or non-rotated. This step also checks the availability of the necessary variables for the simulation.
3.2. Regional Climate Simulation
3.3. Sensitivity Study
- The temperature output from COSMO-CLM based on the three LC maps GlobCover 2009, GLC2000, and ESACCI-LC was compared with the observational data—HYRAS. We evaluated the COSMO-CLM results by comparing the mean temperature with the HYRAS observational data over Germany and the adjacent area: the Alpine area.
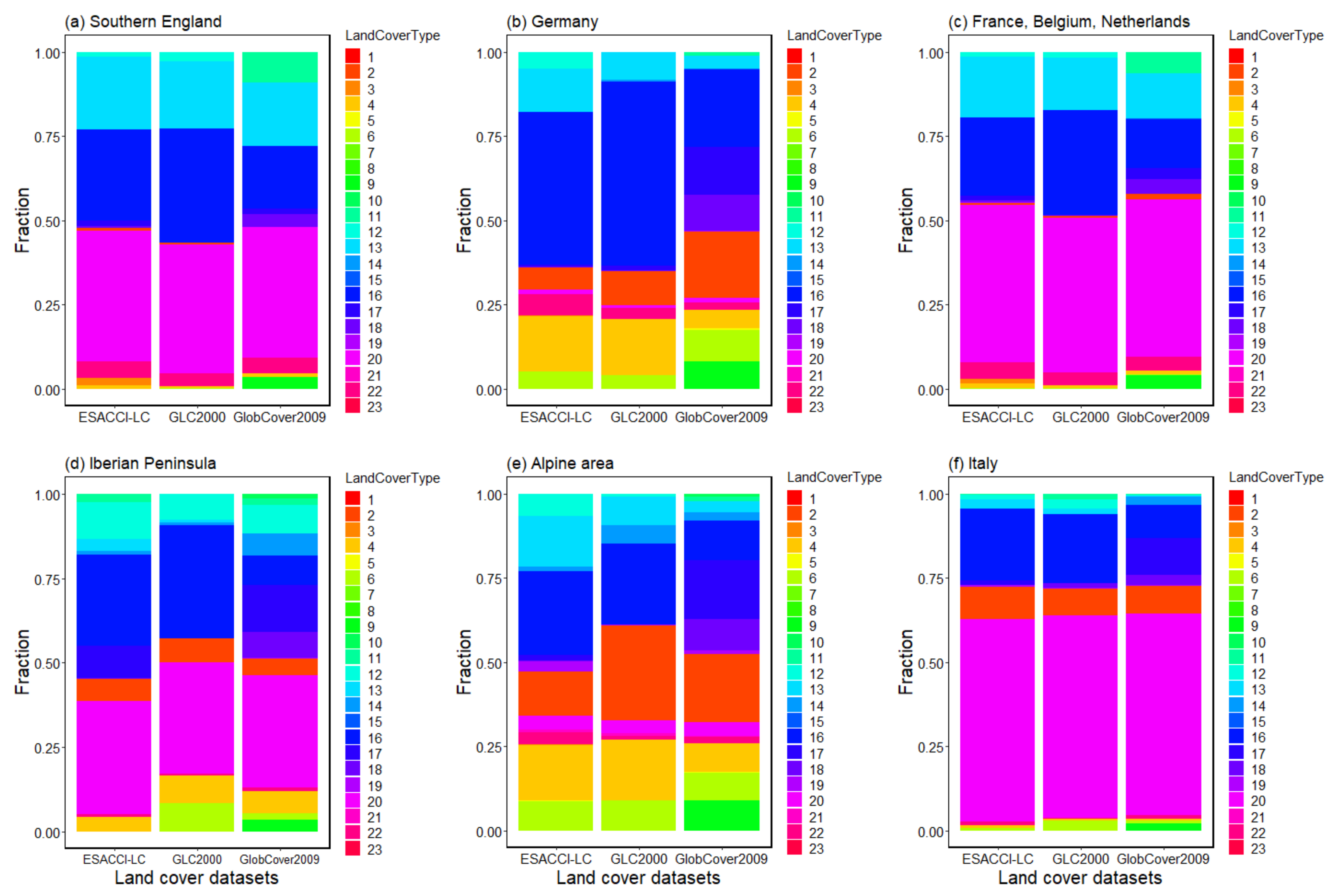
- Comparison of the COSMO-CLM results between three land cover sets: In this part, we focused on the differences between the output plant coverage and LAI by setting GlobCover 2009 as the reference simulation. The research domain was divided into six sub-domains, and the LC fraction of each domain is shown in Figure 1.
3.4. Statistically Study
- The differences of the three land cover data sets with respect to the reference simulation (HYRAS or GlobCover 2009) were statistically assessed with a one side t-test under the following null hypothesis: the target simulation is not different compared to the reference. The degrees of freedom for the t-test was calculated as n−2, where n is the grid number for each group.
- For the evaluation of the simulated temperature, bias (see Equation (1)) was calculated through the sub-domain to see the average bias towards the observational data in the simulations. Where indicates the total grid number, indicates the specific grid box, and presents the value of every grid box.
4. Results and Discussion
4.1. Evaluation of Simulated Temperature Based on the Three LC Maps
4.2. Impacts of Different Land Cover Types on the COSMO-CLM Output LAI
4.3. Impacts of Different Land Cover Types on the COSMO-CLM Output Plant Coverage
4.4. Relationship between Differences in Land Cover Data Sets and Differences in the Simulated Temperature
4.5. Impact of the Classification System and Land Cover Unifying Methodology
5. Conclusions
- The seasonal temperature outputs of the COSMO-CLM based on these three data sets closely resemble the observations. Over most of the research domain, according to the temperature anomaly comparison with observational data, all three LC maps provided reliable COSMO-CLM simulation results. While over the Alpine area, the results showed higher deviation (differences of –3 to +3 K), further studies are needed to investigate the effects of soil moisture and orography on temperature.
- The simulated temperature is sensitive to different land cover maps and fractions. The temperature shows higher dependence on land cover fractions in summer compared to winter.
- Different LC maps affect the LAI, as well as the plant coverage. The regional and local simulation results responded differently towards the land cover maps and fractions. The area covered by forest with a heterogeneous land cover combination showed high sensitivities related to different land cover maps.
- The COSMO-CLM output did not show a corresponding difference in the LC fraction. In our experiments, GLC2000 and ESACCI-LC showed similar LC fractions compared to GlobCover 2009, but the COSMO-CLM output showed greater similarity between ESACCI-LC and GlobCover 2009. This suggests that we not only need to check the differences in LC fraction but also the differences in LC distribution, and this will be the next step of our research.
Author Contributions
Funding
Institutional Review Board Statement
Informed Consent Statement
Data Availability Statement
Acknowledgments
Conflicts of Interest
Abbreviations
| LC | Land Cover |
| GLC2000 | Global Land Cover Map for the year 2000 |
| JRC | Joint Research Center |
| COSMO | Consortium for Small-scale Modeling |
| CCLM | COSMO model in Climate Mode |
| PFTs | Plant Function Types |
| ESA | European Space Agency |
| CCI | Climate Change Initiative |
| EO | Earth Observation |
| UNFCCC | United Nations Framework Convention on Climate Change |
| GCS | Geographic Coordinate System |
| NWP | Numerical Weather Prediction |
| EXTPAR | External Parameter for Numerical Weather Prediction and Climate Application |
| WCRP | World Climate Research Programme |
| CORDEX | Coordinated Regional Downscaling Experiment |
| CDD | Consecutive Dry-Day |
| DKRZ | German Climate Computing Center |
| MBE | Mean Bias Error |
Appendix A



Appendix B. Landcover Transfer Table
| Value of LC (ESACCI-LC) | Land Cover Type of ESACCI-LC | Value of LC (GlobCover 2009) GlobCover LC Type/ESACCI LC Type | Land Cover Type of GlobCover 2009 | Value of LC (GLC2000) | Land Cover Type of GLC2000 | ||
|---|---|---|---|---|---|---|---|
| 10 | Cropland, rainfed | 14/2 | Rainfed croplands | 16 | cultivated and managed areas | ||
| 11 | Herbaceous cover | ||||||
| 12 | Tree or shrub cover | ||||||
| 20 | Cropland, irrigated or post-flooding | 11/1 | irrigated croplands | 16 | cultivated and managed areas | ||
| 30 | Mosaic cropland (>50%)/natural vegetation (tree, shrub, herbaceous cover) (<50%) | 20/3 | mosaic cropland (50–70%)—vegetation (20–50%) | 17 | mosaic crop/tree/natural vegetation | ||
| 40 | Mosaic natural vegetation (tree, shrub, herbaceous cover) (>50%)/cropland (<50%) | 30/4 | mosaic vegetation (50–70%)—cropland (20–50%) | 18 | mosaic crop/shrub or grass | ||
| 50 | Tree cover, broadleaved, evergreen, closed to open (>15%) | 40/5 | closed broadleaved evergreen forest | 1 | evergreen broadleaf tree | ||
| 60 | Tree cover, broadleaved, deciduous, closed to open (>15%) | 50/6 | closed broadleaved deciduous forest | 2 | deciduous broadleaf tree closed | ||
| 61 | Tree cover, broadleaved, deciduous, closed (>40%) | ||||||
| 62 | Tree cover, broadleaved, deciduous, open (15–40%) | 60/7 | Open broadleaved deciduous forest | 3 | deciduous broadleaf tree open | ||
| 70 | Tree cover, needleleaved, evergreen, closed to open (>15%) | 70/8 | Closed (>40%) needleleaved evergreen forest (>5 m) | 4 | evergreen needleleaf tree | ||
| 71 | Tree cover, needleleaved, evergreen, closed (>40%) | ||||||
| 72 | Tree cover, needleleaved, evergreen, open (15–40%) | 90/9 Open (15–40%) needleleaved deciduous or evergreen forest (>5 m) | 5 deciduous needleleaf tree | ||||
| 80 | Tree cover, needleleaved, deciduous, closed to open (>15%) | ||||||
| 81 | Tree cover, needleleaved, deciduous, closed (>40%) | ||||||
| 82 | Tree cover, needleleaved, deciduous, open (15–40%) | ||||||
| 90 | Tree cover, mixed leaf type (broadleaved and needleleaved) | 100/10 | mixed broadleaved and needleleaved forest | 6 | mixed leaf tree | ||
| 100 | Mosaic tree and shrub (>50%) / herbaceous cover (<50%) | 110/11 | Mosaic Forest/Shrubland (50–70%)/Grassland (20–50%) | 11 | evergreen shrubs closed-open | ||
| 110 | Mosaic herbaceous cover (>50%) / tree and shrub (<50%) | 120/12 | Mosaic Grassland (50–70%) / Forest/Shrubland (20–50%) | 9 | mosaic tree / other natural vegetation | ||
| 120 | Shrubland | 130/13 | Closed to open (>15%) shrubland (<5 m) | 12 | deciduous shrubs closed-open | ||
| 121 | Evergreen shrubland | ||||||
| 122 | Deciduous shrubland | ||||||
| 130 | Grassland | 140/14 | Closed to open (>15%) grassland | 13 | herbaceous cover closed-open | ||
| 140 | Lichens and mosses | 150/15 | Sparse (>15%) vegetation (woody vegetation, shrubs, grassland) | 14 | sparse herbaceous or grass | ||
| 150 | Sparse vegetation (tree, shrub, herbaceous cover) (<15%) | ||||||
| 152 | Sparse shrub (<15%) | ||||||
| 153 | Sparse herbaceous cover (<15%) | ||||||
| 160 | Tree cover, flooded, fresh or brakish water | 160/16 | closed to open forest regulary flooded | 7 | fresh water flooded tree | ||
| 170 | Tree cover, flooded, saline water | 170/17 | closed forest or shrubland permanently flooded | 8 | saline water flooded tree | ||
| 180 | Shrub or herbaceous cover, flooded, fresh/saline/brackish water | 180/18 | Closed to open grassland regularly flooded | 15 | flooded shrub or herbaceous | ||
| 190 | Urban areas | 190/19 | Artificial surfaces | 22 | artificial surfaces | ||
| 200 | Bare areas | 150/15 | Sparse (>15%) vegetation (woody vegetation, shrubs, grassland) | 14 | sparse herbaceous or grass | ||
| 201 | Consolidated bare areas | ||||||
| 202 | Unconsolidated bare areas | ||||||
| 210 | Water bodies | 210/21 | Water bodies | 20 | water bodies | ||
| 220 | Permanent snow and ice | 220/22 | Permanent snow and ice | 21 | snow and ice | ||
| 230 | undefined | 230/23 | undefined | 23 | undefined | ||
References
- Wang, S.; Kang, S.; Zhang, L.; Li, F. Modelling Hydrological Response to Different Land-Use and Climate Change Scenarios in the Zamu River Basin of Northwest China. Hydrol. Process. Int. J. 2008, 22, 2502–2510. [Google Scholar] [CrossRef]
- Betts, R.A.; Falloon, P.D.; Goldewijk, K.K.; Ramankutty, N. Biogeophysical Effects of Land Use on Climate: Model Simulations of Radiative Forcing and Large-Scale Temperature Change. Agric. For. Meteorol. 2007, 142, 216–233. [Google Scholar] [CrossRef]
- Wramneby, A.; Smith, B.; Samuelsson, P. Hot Spots of Vegetation-Climate Feedbacks under Future Greenhouse Forcing in Europe. J. Geophys. Res. Atmos. 2010, 115, D21119. [Google Scholar] [CrossRef] [Green Version]
- Arora, V.K.; Montenegro, A. Small Temperature Benefits Provided by Realistic Afforestation Efforts. Nat. Geosci. 2011, 4, 514–518. [Google Scholar] [CrossRef]
- Davin, E.L.; Rechid, D.; Breil, M.; Cardoso, R.M.; Coppola, E.; Hoffmann, P.; Jach, L.L.; Katragkou, E.; de Noblet-Ducoudré, N.; Radtke, K.; et al. Biogeophysical Impacts of Forestation in Europe: First Results from the LUCAS (Land Use and Climate across Scales) Regional Climate Model Intercomparison. Earth Syst. Dyn. 2020, 11, 183–200. [Google Scholar] [CrossRef] [Green Version]
- Steiner, A.L.; Pal, J.S.; Rauscher, S.A.; Bell, J.L.; Diffenbaugh, N.S.; Boone, A.; Sloan, L.C.; Giorgi, F. Land Surface Coupling in Regional Climate Simulations of the West African Monsoon. Clim. Dyn. 2009, 33, 869–892. [Google Scholar] [CrossRef]
- Lu, L.; Pielke, R.A., Sr.; Liston, G.E.; Parton, W.J.; Ojima, D.; Hartman, M. Implementation of a Two-Way Interactive Atmospheric and Ecological Model and Its Application to the Central United States. J. Clim. 2001, 14, 900–919. [Google Scholar] [CrossRef]
- Davin, E.L.; Stöckli, R.; Jaeger, E.B.; Levis, S.; Seneviratne, S.I. COSMO-CLM2: A New Version of the COSMO-CLM Model Coupled to the Community Land Model. Clim. Dyn. 2011, 37, 1889–1907. [Google Scholar] [CrossRef] [Green Version]
- Pielke, R.A.; Avissar, R.; Raupach, M.; Dolman, A.J.; Zeng, X.; Denning, A.S. Interactions between the Atmosphere and Terrestrial Ecosystems: Influence on Weather and Climate. Glob. Chang. Biol. 1998, 4, 461–475. [Google Scholar] [CrossRef]
- Betts, R. Implications of Land Ecosystem-Atmosphere Interactions for Strategies for Climate Change Adaptation and Mitigation. Tellus B Chem. Phys. Meteorol. 2007, 59, 602–615. [Google Scholar] [CrossRef] [Green Version]
- Avissar, R.; Pielke, R.A. The Impact of Plant Stomatal Control on Mesoscale Atmospheric Circulations. Agric. For. Meteorol. 1991, 54, 353–372. [Google Scholar] [CrossRef]
- Bonan, G.B.; Levis, S.; Kergoat, L.; Oleson, K.W. Landscapes as Patches of Plant Functional Types: An Integrating Concept for Climate and Ecosystem Models. Glob. Biogeochem. Cycles 2002, 16, 5-1–5-23. [Google Scholar] [CrossRef] [Green Version]
- Feddema, J.J.; Oleson, K.W.; Bonan, G.B.; Mearns, L.O.; Buja, L.E.; Meehl, G.A.; Washington, W.M. The Importance of Land-Cover Change in Simulating Future Climates. Science 2005, 310, 1674–1678. [Google Scholar] [CrossRef] [Green Version]
- Luca, A.D.; Argüeso, D.; Evans, J.P.; de Elía, R.; Laprise, R. Quantifying the Overall Added Value of Dynamical Downscaling and the Contribution from Different Spatial Scales. J. Geophys. Res. Atmos. 2016, 121, 1575–1590. [Google Scholar] [CrossRef] [Green Version]
- Pitman, A.J. The Evolution of, and Revolution in, Land Surface Schemes Designed for Climate Models. Int. J. Climatol. J. R. Meteorol. Soc. 2003, 23, 479–510. [Google Scholar] [CrossRef]
- Brovkin, V.; Sitch, S.; Von Bloh, W.; Claussen, M.; Bauer, E.; Cramer, W. Role of Land Cover Changes for Atmospheric CO2 Increase and Climate Change during the Last 150 Years. Glob. Chang. Biol. 2004, 10, 1253–1266. [Google Scholar] [CrossRef] [Green Version]
- Seneviratne, S.I.; Corti, T.; Davin, E.L.; Hirschi, M.; Jaeger, E.B.; Lehner, I.; Orlowsky, B.; Teuling, A.J. Investigating Soil Moisture–Climate Interactions in a Changing Climate: A Review. Earth-Sci. Rev. 2010, 99, 125–161. [Google Scholar] [CrossRef]
- Stéfanon, M.; Schindler, S.; Drobinski, P.; de Noblet-Ducoudré, N.; Andrea, F.D. Simulating the Effect of Anthropogenic Vegetation Land Cover on Heatwave Temperatures over Central France. Clim. Res. 2014, 60, 133–146. [Google Scholar] [CrossRef]
- Giorgi, F.; Mearns, L.O. Approaches to the Simulation of Regional Climate Change: A Review. Rev. Geophys. 1991, 29, 191–216. [Google Scholar] [CrossRef]
- Tölle, M.H.; Gutjahr, O.; Busch, G.; Thiele, J.C. Increasing Bioenergy Production on Arable Land: Does the Regional and Local Climate Respond? Germany as a Case Study. J. Geophys. Res. Atmos. 2014, 119, 2711–2724. [Google Scholar] [CrossRef]
- Torma, C.; Giorgi, F.; Coppola, E. Added Value of Regional Climate Modeling over Areas Characterized by Complex Terrain—Precipitation over the Alps. J. Geophys. Res. Atmos. 2015, 120, 3957–3972. [Google Scholar] [CrossRef]
- Alestalo, M. The Energy Budget of the Earth–Atmosphere System in Europe. Tellus 1981, 33, 360–371. [Google Scholar] [CrossRef]
- Jacob, D.; Petersen, J.; Eggert, B.; Alias, A.; Christensen, O.; Bouwer, L.; Braun, A.; Colette, A.; Déqué, M.; Georgievski, G.; et al. EURO-CORDEX: New High-Resolution Climate Change Projections for European Impact Research. Reg. Environ. Chang. 2014, 14, 563–578. [Google Scholar] [CrossRef]
- Kotlarski, S.; Keuler, K.; Christensen, O.B.; Colette, A.; Déqué, M.; Gobiet, A.; Goergen, K.; Jacob, D.; Lüthi, D.; van Meijgaard, E.; et al. Regional Climate Modeling on European Scales: A Joint Standard Evaluation of the EURO-CORDEX RCM Ensemble. Geosci. Model Dev. 2014, 7, 1297–1333. [Google Scholar] [CrossRef] [Green Version]
- Diffenbaugh, N.S. Atmosphere-Land Cover Feedbacks Alter the Response of Surface Temperature to CO2 Forcing in the Western United States. Clim. Dyn. 2005, 24, 237–251. [Google Scholar] [CrossRef]
- Foley, J.A.; Levis, S.; Prentice, I.C.; Pollard, D.; Thompson, S.L. Coupling Dynamic Models of Climate and Vegetation. Glob. Chang. Biol. 1998, 4, 561–579. [Google Scholar] [CrossRef] [Green Version]
- Yokohata, T.; Kinoshita, T.; Sakurai, G.; Pokhrel, Y.; Ito, A.; Okada, M.; Masaki, T.I.; Nishimori, M.; Hanasaki, N.; Takahashi, K. MIROC-INTEG1: A Global Bio-Geochemical Land Surface Model with Human Water Management, Crop Growth, and Land-Use Change. Geosci. Model Dev. Discuss. 2019. [Google Scholar] [CrossRef] [Green Version]
- Tölle, M.H.; Engler, S.; Panitz, H.-J. Impact of Abrupt Land Cover Changes by Tropical Deforestation on Southeast Asian Climate and Agriculture. J. Clim. 2016, 30, 2587–2600. [Google Scholar] [CrossRef]
- Wilhelm, M.; Davin, E.L.; Seneviratne, S.I. Climate Engineering of Vegetated Land for Hot Extremes Mitigation: An Earth System Model Sensitivity Study. J. Geophys. Res. Atmos. 2015, 120, 2612–2623. [Google Scholar] [CrossRef]
- Fosser, G.; Khodayar, S.; Berg, P. Benefit of Convection Permitting Climate Model Simulations in the Representation of Convective Precipitation. Clim. Dyn. 2015, 44, 45–60. [Google Scholar] [CrossRef] [Green Version]
- Pal, S.; Chang, H.-I.; Castro, C.L.; Dominguez, F. Credibility of Convection-Permitting Modeling to Improve Seasonal Precipitation Forecasting in the Southwestern United States. Front. Earth Sci. 2019, 7, 11. [Google Scholar] [CrossRef] [Green Version]
- Meredith, E.P.; Ulbrich, U.; Rust, H.W.; Truhetz, H. Present and Future Diurnal Hourly Precipitation in 0.11° EURO-CORDEX Models and at Convection-Permitting Resolution. Environ. Res. Commun. 2021, 3, 055002. [Google Scholar] [CrossRef]
- Breil, M.; Rechid, D.; Davin, E.L.; de Noblet-Ducoudré, N.; Katragkou, E.; Cardoso, R.M.; Hoffmann, P.; Jach, L.L.; Soares, P.M.M.; Sofiadis, G.; et al. The Opposing Effects of Reforestation and Afforestation on the Diurnal Temperature Cycle at the Surface and in the Lowest Atmospheric Model Level in the European Summer. J. Clim. 2020, 33, 9159–9179. [Google Scholar] [CrossRef]
- Heck, P.; Lüthi, D.; Wernli, H.; Schär, C. Climate Impacts of European-Scale Anthropogenic Vegetation Changes: A Sensitivity Study Using a Regional Climate Model. J. Geophys. Res. Atmos. 2001, 106, 7817–7835. [Google Scholar] [CrossRef]
- Garnaud, C.; Sushama, L.; Verseghy, D. Impact of Interactive Vegetation Phenology on the Canadian RCM Simulated Climate over North America. Clim. Dyn. 2015, 45, 1471–1492. [Google Scholar] [CrossRef] [Green Version]
- Wouters, H.; Varentsov, M.; Blahak, U.; Schulz, J.-P.; Schattler, U.; Bucchignani, E.; Demuzere, M. User Guide for TERRA URB v2.2: The Urban-Canopy Land-Surface Scheme of the COSMO Model. 12p. Available online: http://cosmo-model.cscs.ch/content/tasks/workGroups/wg3b/docs/terra_urb_user.pdf (accessed on 24 November 2021).
- GLOBCOVER Products Description and Validation Report. Available online: https://www.researchgate.net/profile/O_Arino/publication/260137807_GLOBCOVER_products_description_and_validation_report/links/576bf8a808aef0e50da8a271/GLOBCOVER-products-description-and-validation-report.pdf (accessed on 25 May 2020).
- Arino, O.; Perez, J.R.; Kalogirou, V.; Defourny, P.; Achard, F. GlobCover 2009. Available online: https://epic.awi.de/id/eprint/31046/1/Arino_et_al_GlobCover2009-a.pdf (accessed on 25 May 2020).
- Yin, K.; Xu, S.; Zhao, Q.; Huang, W.; Yang, K.; Guo, M. Effects of Land Cover Change on Atmospheric and Storm Surge Modeling during Typhoon Event. Ocean Eng. 2020, 199, 106971. [Google Scholar] [CrossRef]
- Zhong, Y.; Luo, C.; Hu, X.; Wei, L.; Wang, X.; Jin, S. Cropland Product Fusion Method Based on the Overall Consistency Difference: A Case Study of China. Remote Sens. 2019, 11, 1065. [Google Scholar] [CrossRef] [Green Version]
- Bartholomé, E.; Belward, A.S. GLC2000: A New Approach to Global Land Cover Mapping from Earth Observation Data. Int. J. Remote Sens. 2005, 26, 1959–1977. [Google Scholar] [CrossRef]
- Lamarche, C.; Santoro, M.; Bontemps, S.; D’Andrimont, R.; Radoux, J.; Giustarini, L.; Brockmann, C.; Wevers, J.; Defourny, P.; Arino, O. Compilation and Validation of SAR and Optical Data Products for a Complete and Global Map of Inland/Ocean Water Tailored to the Climate Modeling Community. Remote Sens. 2017, 9, 36. [Google Scholar] [CrossRef] [Green Version]
- Bounoua, L.; DeFries, R.; Collatz, G.J.; Sellers, P.; Khan, H. Effects of Land Cover Conversion on Surface Climate. Clim. Chang. 2002, 52, 29–64. [Google Scholar] [CrossRef]
- Rauthe, M.; Steiner, H.; Riediger, U.; Mazurkiewicz, A.; Gratzki, A. A Central European Precipitation Climatology—Part I: Generation and validation of a high-resolution gridded daily data set (HYRAS). Meteorol. Z. 2013, 22, 235–256. [Google Scholar] [CrossRef]
- Tiedtke, M. Parameterization of Cumulus Convection in Large-Scale Models. In Physically-Based Modelling and Simulation of Climate and Climatic Change: Part 1; Schlesinger, M.E., Ed.; NATO ASI Series; Springer: Dordrecht, The Netherlands, 1988; pp. 375–431. ISBN 978-94-009-3041-4. [Google Scholar]
- Rockel, B.; Will, A.; Hense, A. Regional Climate Modelling with COSMO-CLM (CCLM). Meteorol. Z. 2008, 17, 347–348. [Google Scholar] [CrossRef]
- Schulz, J.-P.; Vogel, G.; Becker, C.; Kothe, S.; Rummel, U.; Ahrens, B. Evaluation of the Ground Heat Flux Simulated by a Multi-Layer Land Surface Scheme Using High-Quality Observations at Grass Land and Bare Soil. Meteorol. Z. 2016, 25, 607–620. [Google Scholar] [CrossRef]
- Ritter, B.; Geleyn, J.-F. A Comprehensive Radiation Scheme for Numerical Weather Prediction Models with Potential Applications in Climate Simulations. Mon. Weather Rev. 1992, 120, 303–325. [Google Scholar] [CrossRef] [Green Version]
- Young, K.C. A Numerical Simulation of Wintertime, Orographic Precipitation: Part I. Description of Model Microphysics and Numerical Techniques. J. Atmos. Sci. 1974, 31, 1735–1748. [Google Scholar] [CrossRef] [Green Version]
- Smiatek, G.; Rockel, B.; Schättler, U. Time Invariant Data Preprocessor for the Climate Version of the COSMO Model (COSMO-CLM). Meteorol. Z. 2008, 17, 395–405. [Google Scholar] [CrossRef]
- Smiatek, G.; Helmert, J.; Gerstner, E.-M. Impact of Land Use and Soil Data Specifications on COSMO-CLM Simulations in the CORDEX-MED Area. Meteorol. Z. 2016, 25, 215–230. [Google Scholar] [CrossRef]
- Asensio, H.; Messmer, M. External Parameters for Numerical Weather Prediction and Climate Application EXTPAR v5_0: User and Implementation Guide. 45p. Available online: http://www.cosmo-model.org/content/support/software/ethz/EXTPAR_user_and_implementation_manual_202003.pdf (accessed on 24 November 2021).
- Dee, D.P.; Uppala, S.M.; Simmons, A.J.; Berrisford, P.; Poli, P.; Kobayashi, S.; Andrae, U.; Balmaseda, M.A.; Balsamo, G.; Bauer, D.P. The ERA-Interim Reanalysis: Configuration and Performance of the Data Assimilation System. Q. J. R. Meteorol. Soc. 2011, 137, 553–597. [Google Scholar] [CrossRef]
- Welch, B.L. The Generalization of ‘Student’s’ Problem When Several Different Population Variances Are Involved. Biometrika 1947, 34, 28–35. [Google Scholar] [CrossRef]
- Hartmann, E.; Schulz, J.-P.; Seibert, R.; Schmidt, M.; Zhang, M.; Luterbacher, J.; Tölle, M.H. Impact of Environmental Conditions on Grass Phenology in the Regional Climate Model COSMO-CLM. Atmosphere 2020, 11, 1364. [Google Scholar] [CrossRef]
- Jog, S.; Dixit, M. Supervised Classification of Satellite Images. In Proceedings of the 2016 Conference on Advances in Signal Processing (CASP), Pune, India, 9–11 June 2016; pp. 93–98. [Google Scholar]
- Bernabé, S.; Plaza, A. A New System to Perform Unsupervised and Supervised Classification of Satellite Images from Google Maps. In Satellite Data Compression, Communications, and Processing VI; SPIE: Bellingham, WA, USA, 2010; Volume 7810, pp. 261–270. [Google Scholar]








| Characteristics/Data Set | ESACCI-LC | GLC2000 | GlobCover2009 |
|---|---|---|---|
| Data Source | Satellite, observation | SPOT4 | MERIS |
| Time Span | 1992–2015 | 2000 | 2009 |
| Temporal Resolution | Yearly | -- | -- |
| Land Use/Cover Types | 37 | 23 | 23 |
| Spatial Resolution | 300 m | 1 km | 300 m |
| Classification System | Unsupervised | Unsupervised | Unsupervised and supervised |
| Data Format | Tiff/netCDF | ESRI/Binary | Tiff |
| Parameters | Input Data |
|---|---|
| Topography data | GLOBE |
| Soil map | FAO digital soil map of the world |
| NDVI (normalized differential vegetation index) | NDVI Climatology from NASA |
| Lake fraction | Global lake database (DWD, RSHU, MétéoFrance) |
| Albedo | MODIS albedo (NASA) |
| Parameters | Input Setting |
|---|---|
| Interpolation | INT2LM-v2.05 clm15 |
| Forcing | ERA-Interim |
| External data | GlobCover2009, GLC2000, ESACCI-LC |
| Domain | Middle Europe, approximately 3 km (0.0275°), 740 × 600 grid points |
| Time integration | Two time-level Runge–Kutta schemes |
| Model time step | 25 s |
| Convection | Shallow convection based on Tiedtke scheme |
| Simulation period | 1999.01.01 to 2000.03.31 |
| GlobCover 2009 | GLC2000 | ESACCI-LC | |
|---|---|---|---|
| Area 1 | 36.6 | 35.5 | 36.5 |
| Area 2 | 22.4 | 25 | 26.9 |
| Area 3 | 38.4 | 36.4 | –18.4 * |
| Area 4 | 66.9 | 75.2 | 39.1 |
| Area 5 | 26.0 | 25.5 | –75.6 * |
| Area 6 | 57.2 | 59.5 | 27.7 |
| GlobCover 2009 | GLC2000 | ESACCI-LC | |
|---|---|---|---|
| Area 1 | –8.8 * | –7.6 * | –12.6 * |
| Area 2 | 15.9 | 15.6 | 13.5 |
| Area 3 | 9.7 | 12.3 | –4.42 * |
| Area 4 | 11.6 | 9.8 | –0.6 * |
| Area 5 | 30.0 | 31.4 | –0.4 * |
| Area 6 | 23.6 | 23.8 | 5.1 |
| Summer | Winter | |||||
|---|---|---|---|---|---|---|
| ESACCI-LC | GlC2000 | GlobCover 2009 | ESACCI-LC | GlC2000 | GlobCover 2009 | |
| Area 1 | 1.25 | 1.18 | 1.24 | –0.33 | –0.14 | –0.17 |
| Area 2 | 0.59 | 0.54 | 0.49 | –0.12 | –0.07 | –0.06 |
| Area 3 | 1.26 | 1.15 | 1.23 | –0.03 | 0.37 | 0.32 |
| Area 4 | 0.65 | 0.65 | 0.57 | –0.10 | 0.003 | 0.02 |
| Area 5 | 0.97 | 0.85 | 0.88 | 0.18 | 1.10 | 1.05 |
| Area 6 | 0.94 | 0.91 | 0.88 | –0.06 | 0.24 | 0.23 |
| Whole region | 0.95 | 0.89 | 0.89 | –0.09 | 0.17 | 0.16 |
| Summer | Winter | |||
|---|---|---|---|---|
| t-value | ESACCI-LC | GLC2000 | ESACCI-LC | GLC2000 |
| Southern England | 26. | –62.5 * | –38.0 * | –39.1 * |
| Germany | 3.1 | –17.5 * | –15.0 * | 8.6 |
| France, Belgium, and the Netherlands | −9.0 * | 1.5 | –51.5 * | 4.7 |
| Iberian Peninsula | 10.8 | 29.9 | 15.1 | 13.9 |
| Switzerland/Austria | 57.9 | 22.4 | 8.5 | 40.3 |
| Italy | 35.6 | 10.7 | –9.3 * | 56.6 |
| Summer | Winter | |||
|---|---|---|---|---|
| t-value | ESACCI-LC | GLC2000 | ESACCI-LC | GLC2000 |
| Southern England | –27.7 * | –23.2 * | 4.5 | –64.2 * |
| Germany | –3.9 * | 10.2 | 16.1 | –0.6 * |
| France, Belgium, and the Netherlands | –9.7 * | 22.6 | –9.9 * | –40.839 * |
| Iberian Peninsula | –1.5 * | –0.2 * | 10.7 | –14.9 * |
| Switzerland/Austria | 13.6 | 41.6 | 38.9 | –8.2 * |
| Italy | 17.4 | 38.8 | 25.6 | 2.3 |
Publisher’s Note: MDPI stays neutral with regard to jurisdictional claims in published maps and institutional affiliations. |
© 2021 by the authors. Licensee MDPI, Basel, Switzerland. This article is an open access article distributed under the terms and conditions of the Creative Commons Attribution (CC BY) license (https://creativecommons.org/licenses/by/4.0/).
Share and Cite
Zhang, M.; Tölle, M.H.; Hartmann, E.; Xoplaki, E.; Luterbacher, J. A Sensitivity Assessment of COSMO-CLM to Different Land Cover Schemes in Convection-Permitting Climate Simulations over Europe. Atmosphere 2021, 12, 1595. https://doi.org/10.3390/atmos12121595
Zhang M, Tölle MH, Hartmann E, Xoplaki E, Luterbacher J. A Sensitivity Assessment of COSMO-CLM to Different Land Cover Schemes in Convection-Permitting Climate Simulations over Europe. Atmosphere. 2021; 12(12):1595. https://doi.org/10.3390/atmos12121595
Chicago/Turabian StyleZhang, Mingyue, Merja H. Tölle, Eva Hartmann, Elena Xoplaki, and Jürg Luterbacher. 2021. "A Sensitivity Assessment of COSMO-CLM to Different Land Cover Schemes in Convection-Permitting Climate Simulations over Europe" Atmosphere 12, no. 12: 1595. https://doi.org/10.3390/atmos12121595
APA StyleZhang, M., Tölle, M. H., Hartmann, E., Xoplaki, E., & Luterbacher, J. (2021). A Sensitivity Assessment of COSMO-CLM to Different Land Cover Schemes in Convection-Permitting Climate Simulations over Europe. Atmosphere, 12(12), 1595. https://doi.org/10.3390/atmos12121595

