Intercomparisons of Tropospheric Wind Velocities Measured by Multi-Frequency Wind Profilers and Rawinsonde
Abstract
Key Points:
- First comparisons of horizontal wind velocities measured by co-located wind profilers operated at VHF, UHF, and L bands;
- Comparison of horizontal wind velocities between wind profilers and rawinsonde;
- Diagnosis of the precipitation effect on wind profiler-measured wind velocities using the VAD method.
1. Introduction
2. Experimental Setup and Data Analysis
3. Results and Discussion
3.1. Comparisons between Radar-Measured Horizontal Winds
3.2. Comparisons between Radar Winds and Rawinsonde Winds
3.3. Wind Velocity Comparisons in Precipitation Conditions
3.4. Comparison of Vertical Winds
4. Conclusions
Author Contributions
Funding
Acknowledgments
Conflicts of Interest
References
- Woodman, R.F.; Guillen, A. Radar observations of winds and turbulence in the stratosphere and mesosphere. J. Atmos. Phys. 1974, 31, 493–505. [Google Scholar] [CrossRef]
- Green, J.L.; Warnock, J.M.; Winkler, R.H.; van Zandt, T.E. Studies of winds in the upper troposphere with a sensitive VHF ra-dar. Geophys. Res. Lett. 1975, 2, 19–21. [Google Scholar] [CrossRef]
- Miller, K.L.; Bowhill, S.A.; Gibbs, K.P.; Countryman, I.D. First measurements of mesospheric vertical velocities by VHF radar at temperate latitudes. Geophys. Res. Lett. 1978, 5, 939–942. [Google Scholar] [CrossRef]
- Czechowsky, P.; Klostermeyer, J.; Röttger, J.; Ruster, R.; Schmidt, G.; Woodman, R.F. The SOUSY-VHF radar for tropo-strato-and mesospheric soundin. In Proceedings of the 17th Conference on Radar Meteorology, Boston, MA, USA, 29 October 2010; American Meteorological Society: Boston, MA, USA; Volume 197, pp. 349–3536. [Google Scholar]
- Fukao, S.; Sato, T.; Tsuda, T.; Kato, S.; Wakasugi, K.; Makahira, T. The MU radar with an active phased array system: 1. Antenna and power amplifiers. Radio Sci. 1985, 20, 1155–1168. [Google Scholar] [CrossRef]
- Fukao, S.; Wakasugi, K.; Sato, T.; Morimoto, S.; Tsuda, T.; Hirota, I.; Kimura, I.; Kato, S. The MU radar with an active phased array system: 2. In-house equipment. Radio Sci. 1985, 20, 1169–1176. [Google Scholar] [CrossRef]
- Chao, J.K.; Kuo, F.S.; Chu, Y.S.; Fu, I.J.; Röttger, J.; Liu, C.H. The first operation and results of the Chung-Li VHF radar. In Handbook for MAP; Bowhill, S.A., Edwards, B., Eds.; SCOSTEP Secr., University of Illinois: Urbana, IL, USA, 1986; Volume 20, pp. 359–363. [Google Scholar]
- Röttger, J.; Liu, C.H.; Chao, J.K.; Chen, A.J.; Chu, Y.H.; Fu, I.J.; Huang, C.M.; Kiang, Y.W.; Kuo, F.S.; Lin, C.H.; et al. The Chung-Li VHF radar: Technical layout and a summary of initial results. Radio Sci. 1990, 25, 487–502. [Google Scholar] [CrossRef]
- Briggs, B.H.; Candy, B.; Elford, W.G.; Hocking, W.K.; May, P.T.; Vincent, R.A. The Adelaide VHF radar-capabilities and future plans. Handb. MAP 1984, 14, 357–359. [Google Scholar]
- Bertin, F.; Cremieu, A.; Glass, M.; Massebeuf, M.; Ney, R.; Petitdidier, M. The PROUST radar: First results. Radio Sci. 1987, 22, 51–60. [Google Scholar] [CrossRef]
- Crochet, M. Characteristics of Provence radar. Handb. MAP 1989, 28, 491–492. [Google Scholar]
- Rao, P.B.; Jain, A.R.; Kishore, P.; Balamuralidhar, P.; Damle, S.H.; Viswanathan, G. Indian MST radar: 1. System description and sample wind measurements in ST mode. Radio Sci. 1995, 30, 1125–1138. [Google Scholar] [CrossRef]
- Slater, K.; Stevens, A.D.; Pearmain SA, M.; Eccles, D.; Hall, A.J.; Bennett RG, T.; France, L.; Roberts, G.; Olewicz, Z.K.; Thomas, L. Overview of the MST radar system at Aberystwyth. In Proceedings of the Fifth Workshop on Technical and Scientific Aspects of MST Radar, Aberystwyth, UK, August 6–9 1991; pp. 479–482. [Google Scholar]
- Anonymous. Technological and Scientific Opportunities for Improved Weather and Hydrological Services in the Coming Decade. Report to the National Weather Service by the Select Committee on the National Weather Service, Assembly of Mathematical and Physical Sciences; National Research Council: Washington, DC, USA, 1980; p. 87. [Google Scholar]
- Balsley, B.B.; Gage, K.S. On the Use of Radars for Operational Wind Profiling. Bull. Am. Meteorol. Soc. 1982, 63, 1009–1018. [Google Scholar] [CrossRef]
- van Zandt, T.E. A brief history of the development of wind-profiling or MST radars. Ann. Geophys. 2000, 18, 740–749. [Google Scholar] [CrossRef]
- Woodman, R.F.; Chu, Y.H. Aspect sensitivity measurements of VHF backscatter made with the Chung-Li radar: Plausible mechanism. Radio Sci. 1989, 24, 113–125. [Google Scholar]
- Weber, B.L.; Wuertz, D.B. Comparison of rawinsonde and wind profiler radar measurements. J. Atmos. Ocean. Technol. 1990, 7, 157–174. [Google Scholar] [CrossRef][Green Version]
- May, P.T. Comparison of wind-profiler and radiosonde measurements in the tropics. J. Atmos. Ocean. Technol. 1993, 10, 112–127. [Google Scholar] [CrossRef]
- Saïd, F.; Campistron, B.; Delbarre, H.; Canut, G.; Doerenbecher, A.; Durand, P.; Fourriè, N.; Lambert, D.; Legain, D. Offshore winds obtained from a network of wind-profiler radars during HyMeX. Q. J. R. Meteorol. Soc. 2016, 142 (Suppl. 1), 23–42. [Google Scholar] [CrossRef]
- Kottayil, A.; Mohanakumar, K.; Samson, T.; Rebello, R.; Manoj, M.G.; Varadarajan, R.; Santosh, K.R.; Mohanan, P.; Vasudevan, K. Validation of 205 MHz wind profiler radar located at Cochin, India, using radiosonde wind measurements. Radio Sci. 2016, 51, 106–117. [Google Scholar] [CrossRef]
- Kim, M.-S.; Bernard, C.; Byung, H.K. Frontal Wind Field Retrieval Based on UHF Wind Profiler Radars and S-Band Radars Network. Atmosphere 2019, 10, 547. [Google Scholar] [CrossRef]
- Mohanakumar, K.; Kottayil, A.; Aanadan, V.K.; Samson, T.; Thomas, L.; Satheesan, K.; Rebello, R.; Manoj, M.G.; Varadarajan, R.; Santosh, K.R.; et al. Technical Details of a Novel Wind Profiler Radar at 205MHz. J. Atmos. Ocean. Technol. 2017, 34, 2659–2671. [Google Scholar] [CrossRef]
- Browning, K.A.; Wexler, R. The determination of kinematic properties of a wind field using Doppler radar. J. Appl. Meteorol. 1968, 7, 105–113. [Google Scholar] [CrossRef]
- Wilson, D.A. The Kinematic Behavior of Spherical Particles in an Accelerating Environment; NOAA Tech. Rep. ERL 187-WPL 13; U.S. Government Printing Office: Boulder, CO, USA, 1970.
- Ishii, S.; Mizutani, K.; Aoki, T.; Sasano, M.; Murayama, Y.; Itabe, T.; Asai, K. Wind Profiling with an Eye-Safe Coherent Doppler Lidar System: Comparison with Radiosondes and VHF Radar. J. Meteorol. Soc. Jpn. 2005, 83, 1041–1056. [Google Scholar] [CrossRef]
- Strauch, R.G.; Webb, B.L.; Frisch, A.S.; Little, C.G.; Merritt, D.A.; Moran, K.P.; Welsh, D.C. The precision and relative accuracy of profiler wind measurements. J. Atmos. Ocean. Technol. 1987, 4, 563–571. [Google Scholar] [CrossRef]
- Larsen, M.F. Can a VHF Doppler Radar Provide Synoptic Wind Data? A Comparison of 30 Days of Radar and Radiosonde Data. Mon. Weather Rev. 1983, 111, 2047–2057. [Google Scholar] [CrossRef][Green Version]
- Strauch, R.G.; Merritt, D.A.; Moran, K.P.; Earnshaw, K.B.; van de Kamp, D. The Colorado Wind profiling Network. J. Atmos. Ocean. Technol. 1984, 1, 37–49. [Google Scholar] [CrossRef]
- Rao, I.S.; Anandan, V.K.; Reddy, P.N. Evaluation of DBS Wind Measurement Technique in Different Beam Configurations for a VHF Wind Profiler. J. Atmos. Ocean. Technol. 2008, 25, 2304–2312. [Google Scholar] [CrossRef]
- Fukao, S.; Sato, T.; Yamasaki, N.; Harper, R.; Kato, S. Winds Measured by a UHF Doppler Radar and Rawinsondes—Comparisons Made on Twenty-Six Days (August–September 1977) at Arecibo, Puerto Rico. J. Appl. Meteorol. 1982, 21, 1357–1363. [Google Scholar] [CrossRef]
- Chu, Y.H.; Chao, J.K.; Liu, C.H.; Rottger, J. Aspect sensitivity at tropospheric heights measured with vertically pointed antenna beam of the Chung-Li VHF radar. Radio Sci. 1990, 25, 539–550. [Google Scholar] [CrossRef]
- Chu, Y.H.; Wang, C.Y. Interferometry observations of 3-dimensional spatial structures of sporadic E irregularities using Chung-Li VHF radar. Radio Sci. 1997, 32, 817–832. [Google Scholar] [CrossRef]
- Su, C.L.; Chen, H.C.; Chu, Y.H.; Chung, M.Z.; Kuong, R.M.; Lin, T.H.; Tzeng, K.J.; Wang, C.Y.; Wu, K.H.; Yang, K.F. Meteor radar wind over Chung-Li (24.9°N, 121°E), Taiwan, for the period 10–25 November 2012 which includes Leonid meteor shower: Comparison with empirical model and satellite measurements. Radio Sci. 2014, 49, 597–615. [Google Scholar] [CrossRef]
- Chen, J.S.; Chu, Y.H. A discussion on the variations of MST/ST radar echo power with a turbulent layer resolved by the frequency domain interferometry technique. Radio Sci. 2000, 35, 1375–1387. [Google Scholar] [CrossRef]
- Chen, C.-H.; Su, C.-L.; Chen, J.-H.; Chu, Y.-H. Vertical Wind Effect on Slope and Shape Parameters of Gamma Drop Size Distribution. J. Atmos. Ocean. Technol. 2020, 37, 2243–2262. [Google Scholar] [CrossRef]
- Lee, C.F.; Vaughan, G.; Hooper, D.A. Evaluation of wind profiles from the NERC MST radar, Aberystwyth, UK. Atmos. Meas. Tech. 2014, 7, 3113–3126. [Google Scholar] [CrossRef]
- Päschke, E.; Leinweber, R.; Lehmann, V. An assessment of the performance of a 1.5μm Doppler lidar for operational vertical wind profiling based on a 1-year trial. Atmos. Meas. Tech. 2015, 8, 2251–2266. [Google Scholar] [CrossRef]
- Haefele, A.; Ruffieux, D. Validation of the 1290 MHz wind profiler at Payerne, Switzerland, using radiosonde GPS wind measurements. Meteorol. Appl. 2015, 22, 873–878. [Google Scholar] [CrossRef]
- Larsen, M.F.; Fukao, S.; Aruga, O.; Yamanaka, D.; Tsuda, T.; Kato, S. A comparison of VHF radar vertical-velocity measurements by a direct vertical-beam method and by a VAD method. J. Atmos. Ocean. Technol. 1991, 8, 766–776. [Google Scholar] [CrossRef]
















| Parameter | ChungLi VHF Radar | CWB UHF Radar | TTFRI L Band Radar |
|---|---|---|---|
| Frequency | 52 MHz | 449 MHz | 1290 MHz |
| Radar Beam Steering | |||
| Zenith Angle | 17° | 14.1° | 23.5° |
| Azimuth Angle | 65.5°, 155.5°, 245.5°, 335.5° | 52.6°, 112.6°, 172.6°, 232.6°, 292.6°, 352.6° | 37°, 97°, 157°, 217°, 277°, 337° |
| Inter Pulse Period (μs) | 200 | 32/124 | 76.92 |
| Pulse Width (μs) | 1 | 0.752/1.503 | 1.546 |
| Minimum Detection Range (km) | 1.65 | 1.01/2.59 | 1.57 |
| Number of Range Gate | 140 | 46/37 | 75 |
| Number of Coherent Integration | 256 | 16/4 | 16 |
| Number of FFT | 256 | 4096/4096 | 2048 |
| Bits of Complementary Code | - | 4/8 | 4 |
| Number of Incoherent Integration | 2 | 15/15 | 12 |
| Radar | VHF-UHF | VHF-L Band | UHF-L Band |
|---|---|---|---|
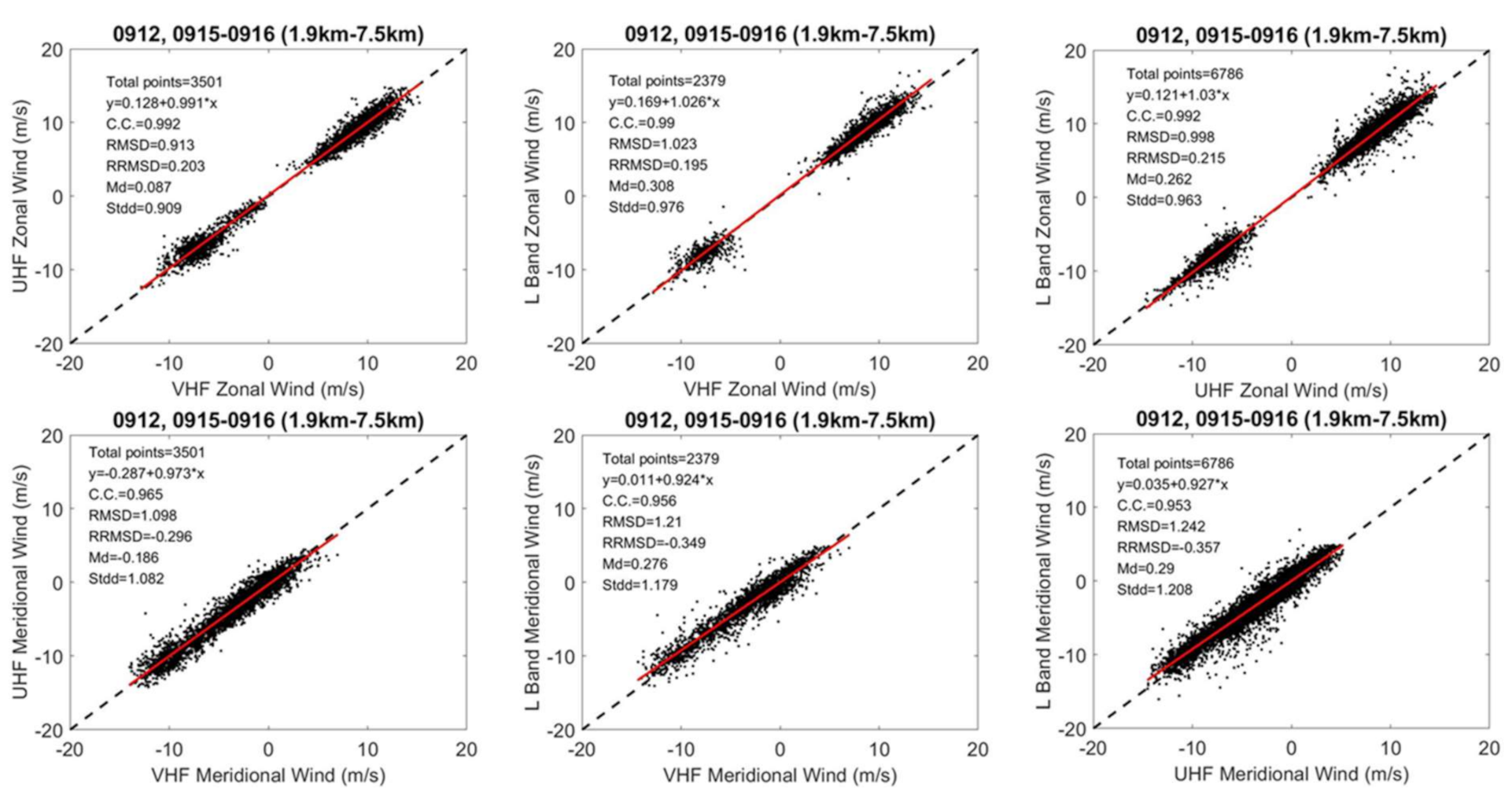
| Data point | 3501 | 2379 | 6786 |
| Parameter | u/v | u/v | u/v |
| C.C. | 0.992/0.965 | 0.990/0.956 | 0.992/0.954 |
| RMSD (m/s) | 0.913/1.098 | 1.023/1.210 | 0.998/1.242 |
| MD (m/s) | 0.087/-0.186 | 0.308/0.276 | 0.262/0.290 |
| Stdd (m/s) | 0.909/1.082 | 0.976/1.179 | 0.963/1.208 |
| Radar | VHF-UHF | VHF-L Band | UHF-L Band |
|---|---|---|---|
| Data point | 3501 | 2379 | 6786 |
| Parameter | U/D | U/D | U/D |
| C.C. | 0.962/0.996 | 0.939/0.996 | 0.941/0.997 |
| RMSD (m/s, °) | 0.940/8.336 | 0.972/7.791 | 0.988/7.704 |
| MD (m/s, °) | 0.089/0.865 | 0.196/−3.564 | 0.193/−3.974 |
| Stdd (m/s, °) | 0.936/8.292 | 0.953/6.930 | 0.969/6.617 |
| Radar | VHF-RWS | UHF-RWS | L Band-RWS |
|---|---|---|---|
| Data point | 21 | 79 | 35 |
| Parameter | u/v | u/v | u/v |
| C.C. | 0.931/0.872 | 0.958/0.894 | 0.958/0.885 |
| RMSD (m/s) | 3.276/2.548 | 2.630/2.541 | 2.517/2.767 |
| MD (m/s) | −2.418/1.124 | −1.398/0.708 | −1.804/1.486 |
| Stdd (m/s) | 2.266/2.343 | 2.242/2.456 | 1.781/2.368 |
| Radar | VHF-RWS | UHF-RWS | L Band-RWS |
|---|---|---|---|
| Data point | 21 | 79 | 35 |
| Parameter | U/D | U/D | U/D |
| C.C. | 0.912/0.944 | 0.854/0.979 | 0.887/0.967 |
| RMSD (m/s, °) | 3.258/13.996 | 2.893/14.483 | 2.911/11.166 |
| MD (m/s, °) | −2.681/2.240 | −1.444/−1.765 | −2.067/−5.214 |
| Stdd (m/s, °) | 1.897/14.157 | 2.523/14.467 | 2.080/10.018 |
| Radar | VHF-UHF | VHF-L Band | UHF-L Band |
|---|---|---|---|
| Data point | 42 | 55 | 96 |
| Parameter | u/v | u/v | u/v |
| C.C. | 0.576/0.626 | 0.039/0.427 | 0.738/0.648 |
| RMSD (m/s) | 2.434/2.890 | 3.704/3.486 | 1.909/2.231 |
| MD (m/s) | 0.660/−1.338 | 2.137/−1.878 | 0.396/−0.492 |
| Stdd (m/s) | 2.371/2.592 | 3.053/2.964 | 1.877/2.188 |
| Radar | VHF-UHF | VHF-L Band | UHF-L Band |
|---|---|---|---|
| Data point | 42 | 55 | 96 |
| Parameter | U/D | U/D | U/D |
| C.C. | 0.760/0.075 | 0.461/0.245 | 0.859/0.176 |
| RMSD (m/s, °) | 2.141/25.891 | 2.640/23.591 | 1.661/14.179 |
| MD (m/s, °) | 0.255/−11.624 | −0.050/−14.811 | 0.174/−2.255 |
| Stdd (m/s, °) | 2.152/23.415 | 2.664/18.531 | 1.661/14.071 |
Publisher’s Note: MDPI stays neutral with regard to jurisdictional claims in published maps and institutional affiliations. |
© 2021 by the authors. Licensee MDPI, Basel, Switzerland. This article is an open access article distributed under the terms and conditions of the Creative Commons Attribution (CC BY) license (https://creativecommons.org/licenses/by/4.0/).
Share and Cite
Chen, Z.-Y.; Chu, Y.-H.; Su, C.-L. Intercomparisons of Tropospheric Wind Velocities Measured by Multi-Frequency Wind Profilers and Rawinsonde. Atmosphere 2021, 12, 1284. https://doi.org/10.3390/atmos12101284
Chen Z-Y, Chu Y-H, Su C-L. Intercomparisons of Tropospheric Wind Velocities Measured by Multi-Frequency Wind Profilers and Rawinsonde. Atmosphere. 2021; 12(10):1284. https://doi.org/10.3390/atmos12101284
Chicago/Turabian StyleChen, Zhao-Yu, Yen-Hsyang Chu, and Ching-Lun Su. 2021. "Intercomparisons of Tropospheric Wind Velocities Measured by Multi-Frequency Wind Profilers and Rawinsonde" Atmosphere 12, no. 10: 1284. https://doi.org/10.3390/atmos12101284
APA StyleChen, Z.-Y., Chu, Y.-H., & Su, C.-L. (2021). Intercomparisons of Tropospheric Wind Velocities Measured by Multi-Frequency Wind Profilers and Rawinsonde. Atmosphere, 12(10), 1284. https://doi.org/10.3390/atmos12101284

