Efficacy of the Cell Perturbation Method in Large-Eddy Simulations of Boundary Layer Flow over Complex Terrain
Abstract
1. Introduction
2. Background
3. Methods
3.1. Cell Perturbation Method
3.2. Numerical Simulation Setup
4. Results and Discussion
4.1. Mean Flow Fields
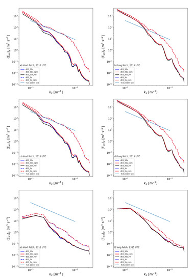
4.2. Turbulence Structure
4.3. Weakly Convective Case
4.4. Strongly Convective Case
4.5. Weakly Stable Case
5. Summary and Conclusions
Author Contributions
Funding
Institutional Review Board Statement
Informed Consent Statement
Data Availability Statement
Acknowledgments
Conflicts of Interest
Abbreviations
| a.g.l. | Above ground level |
| a.s.l. | Above sea level |
| CORINE | Coordination of Information on the Environment |
| CPM | Cell perturbation method |
| CPU | Central processing unit |
| ECMWF | European Centre for Medium-range Weather Forecast |
| GAUSS | GPS Advanced Upper-Air Sounding System |
| GPS | Global Positioning System |
| GTOPO30 | Global topography at 30 arcsec |
| LES | Large-eddy simulation |
| MYNN | Mellor-Yamada Nakanishi and Niino |
| NCAR | National Center for Atmospheric Research |
| NWP | Numerical weather prediction |
| PBL | Planetary boundary layer |
| RMSE | Root-mean-square errors |
| SRTM | Shuttle Radar Topography Mission |
| TKE | Turbulent kinetic energy |
| tSE04 | Fourth tower of the south-eastern transect |
| UTC | Coordinated Universal Time |
| WRF | Weather Research and Forecasting (model) |
References
- Goodfriend, L.; Chow, F.; Vanella, M.; Balaras, E. Improving large-eddy simulation on adaptive mesh refinement grids using the turbulence closure. Bull. Am. Phys. Soc. 2014, 59, L34-009. [Google Scholar]
- Mirocha, J.; Kirkil, G.; Bou-Zeid, E.; Chow, F.K.; Kosović, B. Transition and equilibration of neutral atmospheric boundary layer flow in one-way nested large-eddy simulations using the weather research and forecasting model. Mon. Weather Rev. 2013, 141, 918–940. [Google Scholar] [CrossRef]
- Muñoz-Esparza, D.; Kosović, B.; Mirocha, J.; van Beeck, J. Bridging the transition from mesoscale to microscale turbulence in numerical weather prediction models. Bound. Layer Meteorol. 2014, 153, 409–440. [Google Scholar] [CrossRef]
- Muñoz-Esparza, D.; Kosović, B.; Van Beeck, J.; Mirocha, J. A stochastic perturbation method to generate inflow turbulence in large-eddy simulation models: Application to neutrally stratified atmospheric boundary layers. Phys. Fluids 2015, 27, 035102. [Google Scholar] [CrossRef]
- Muñoz-Esparza, D.; Kosović, B. Generation of inflow turbulence in large-eddy simulations of nonneutral atmospheric boundary layers with the cell perturbation method. Mon. Weather Rev. 2018, 146, 1889–1909. [Google Scholar] [CrossRef]
- Keating, A.; Piomelli, U.; Balaras, E.; Kaltenbach, H.J. A priori and a posteriori tests of inflow conditions for large-eddy simulation. Phys. Fluids 2004, 16, 4696–4712. [Google Scholar] [CrossRef]
- Wood, N. Wind flow over complex terrain: A historical perspective and the prospect for large-eddy modelling. Bound. Layer Meteorol. 2000, 96, 11–32. [Google Scholar] [CrossRef]
- Fernando, H.; Pardyjak, E.; Di Sabatino, S.; Chow, F.; De Wekker, S.; Hoch, S.; Hacker, J.; Pace, J.; Pratt, T.; Pu, Z.; et al. The MATERHORN: Unraveling the Intricacies of Mountain Weather. Bull. Am. Meteorol. Soc. 2015, 96, 1945–1967. [Google Scholar] [CrossRef]
- Marjanovic, N.; Wharton, S.; Chow, F.K. Investigation of model parameters for high-resolution wind energy forecasting: Case studies over simple and complex terrain. J. Wind Eng. Ind. Aerodyn. 2014, 134, 10–24. [Google Scholar] [CrossRef]
- Chow, F.K.; Weigel, A.P.; Street, R.L.; Rotach, M.W.; Xue, M. High-resolution large-eddy simulations of flow in a steep Alpine valley. Part I: Methodology, verification, and sensitivity experiments. J. Appl. Meteorol. Climatol. 2006, 45, 63–86. [Google Scholar] [CrossRef]
- Mirocha, J.; Kosović, B.; Kirkil, G. Resolved turbulence characteristics in large-eddy simulations nested within mesoscale simulations using the Weather Research and Forecasting Model. Mon. Weather Rev. 2014, 142, 806–831. [Google Scholar] [CrossRef]
- Rai, R.K.; Berg, L.K.; Kosović, B.; Mirocha, J.D.; Pekour, M.S.; Shaw, W.J. Comparison of measured and numerically simulated turbulence statistics in a convective boundary layer over complex terrain. Bound. Layer Meteorol. 2017, 163, 69–89. [Google Scholar] [CrossRef]
- Zhou, B.; Simon, J.S.; Chow, F.K. The convective boundary layer in the terra incognita. J. Atmos. Sci. 2014, 71, 2545–2563. [Google Scholar] [CrossRef]
- Ching, J.; Rotunno, R.; LeMone, M.; Martilli, A.; Kosovic, B.; Jimenez, P.A.; Dudhia, J. Convectively Induced Secondary Circulations in Fine-Grid Mesoscale Numerical Weather Prediction Models. Mon. Weather Rev. 2014, 142, 3284–3302. [Google Scholar] [CrossRef]
- Warner, T.T.; Peterson, R.A.; Treadon, R.E. A tutorial on lateral boundary conditions as a basic and potentially serious limitation to regional numerical weather prediction. Bull. Am. Meteorol. Soc. 1997, 78, 2599–2618. [Google Scholar] [CrossRef]
- Ayotte, K.W. Computational modelling for wind energy assessment. J. Wind Eng. Ind. Aerodyn. 2008, 96, 1571–1590. [Google Scholar] [CrossRef]
- Fernando, H.; Mann, J.; Palma, J.; Lundquist, J.; Barthelmie, R.J.; Belo-Pereira, M.; Brown, W.; Chow, F.; Gerz, T.; Hocut, C.; et al. The Perdigao: Peering into microscale details of mountain winds. Bull. Am. Meteorol. Soc. 2019, 100, 799–819. [Google Scholar] [CrossRef]
- Muñoz-Esparza, D.; Lundquist, J.K.; Sauer, J.A.; Kosović, B.; Linn, R.R. Coupled mesoscale-LES modeling of a diurnal cycle during the CWEX-13 field campaign: From weather to boundary-layer eddies. J. Adv. Model. Earth Syst. 2017, 9, 1572–1594. [Google Scholar] [CrossRef]
- Arthur, R.S.; Mirocha, J.D.; Marjanovic, N.; Hirth, B.D.; Schroeder, J.L.; Wharton, S.; Chow, F.K. Multi-scale simulation of wind farm performance during a frontal passage. Atmosphere 2020, 11, 245. [Google Scholar] [CrossRef]
- Chow, F.K.; van Veen, L.; Neher, J.; Anderson-Connolly, A.; Mirocha, J.; Geurts, B. Generation of Turbulent Structures in Nested Simulations for the Perdigao Campaign. In Proceedings of the 18th Conference of Mountain Meteorology, Santa Fe, NM, USA, 25–29 June 2018; p. 9.4A. [Google Scholar]
- Wise, A.S.; Neher, J.M.T.; Arthur, R.S.; Chow, F.K. Multi-Scale Modeling of a Wind Turbine Wake Over Complex Terrain in Different Atmospheric Stability Regimes. In Proceedings of the 19th Conference of Mountain Meteorology, Virtual, 13–17 July 2020; p. 8.2. Available online: https://ams.confex.com/ams/19Mountain/meetingapp.cgi/Session/54552 (accessed on 15 July 2020).
- Wagner, J.; Gerz, T.; Wildmann, N.; Gramitzky, K. Long-term simulation of the boundary layer flow over the double-ridge site during the Perdigão 2017 field campaign. Atmos. Chem. Phys. 2019, 19, 1129–1146. [Google Scholar] [CrossRef]
- Lund, T.S.; Wu, X.; Squires, K.D. Generation of turbulent inflow data for spatially-developing boundary layer simulations. J. Comput. Phys. 1998, 140, 233–258. [Google Scholar] [CrossRef]
- Tabor, G.R.; Baba-Ahmadi, M. Inlet conditions for large eddy simulation: A review. Comput. Fluids 2010, 39, 553–567. [Google Scholar] [CrossRef]
- Kleinhans, D.; Friedrich, R.; Schaffarczyk, A.; Peinke, J. Synthetic turbulence models for wind turbine applications. In Progress in Turbulence III; Springer: Berlin/Heidelberg, Germany, 2009; pp. 111–114. [Google Scholar]
- Skamarock, W.C.; Klemp, J.B.; Dudhia, J.; Gill, D.O.; Barker, D.M.; Wang, W.; Powers, J.G. A Description of the Advanced Research WRF Version 3; Technical Report; NCAR: Boulder, CO, USA, 2008. [Google Scholar]
- Deardorff, J.W. Stratocumulus-capped mixed layers derived from a three-dimensional model. Bound. Layer Meteorol. 1980, 18, 495–527. [Google Scholar] [CrossRef]
- Wyngaard, J.C. Toward numerical modeling in the “Terra Incognita”. J. Atmos. Sci. 2004, 61, 1816–1826. [Google Scholar] [CrossRef]
- Chen, F.; Dudhia, J. Coupling an advanced land surface-hydrology model with the Penn State-NCAR MM5 modeling system. Part I: Model implementation and sensitivity. Mon. Weather Rev. 2001, 129, 569–585. [Google Scholar] [CrossRef]
- Mlawer, E.J.; Taubman, S.J.; Brown, P.D.; Iacono, M.J.; Clough, S.A. Radiative transfer for inhomogeneous atmospheres: RRTM, a validated correlated-k model for the longwave. J. Geophys. Res. Atmos. 1997, 102, 16663–16682. [Google Scholar] [CrossRef]
- Dudhia, J. Numerical study of convection observed during the winter monsoon experiment using a mesoscale two-dimensional model. J. Atmos. Sci. 1989, 46, 3077–3107. [Google Scholar] [CrossRef]
- Hong, S.Y.; Dudhia, J.; Chen, S.H. A revised approach to ice microphysical processes for the bulk parameterization of clouds and precipitation. Mon. Weather Rev. 2004, 132, 103–120. [Google Scholar] [CrossRef]
- Nakanishi, M.; Niino, H. An improved Mellor–Yamada level-3 model: Its numerical stability and application to a regional prediction of advection fog. Bound. Layer Meteorol. 2006, 119, 397–407. [Google Scholar] [CrossRef]
- Bossard, M.; Feranec, J.; Otahel, J. CORINE Land Cover Technical Guide: Addendum 2000; Technical Report; European Environment Agency: Copenhagen, Denmark, 2000. [Google Scholar]
- Pineda, N.; Jorba, O.; Jorge, J.; Baldasano, J. Using NOAA AVHRR and SPOT VGT data to estimate surface parameters: Application to a mesoscale meteorological model. Int. J. Remote Sens. 2004, 25, 129–143. [Google Scholar] [CrossRef]
- Farr, T.G.; Rosen, P.A.; Caro, E.; Crippen, R.; Duren, R.; Hensley, S.; Kobrick, M.; Paller, M.; Rodriguez, E.; Roth, L.; et al. The shuttle radar topography mission. Rev. Geophys. 2007, 45. [Google Scholar] [CrossRef]
- Owens, R.; Hewson, T. ECMWF forecast user guide. Read. ECMWF 2018, 10, m1cs7h. [Google Scholar]
- Duda, M. The WRF Preprocessing System: Description of General Functions. Joint NCAR-NCAS WRF Tutorial, Edinburgh, Scotland. 2011. Available online: http://www.mmm.ucar.edu/wrf/users/tutorial/201101/WPS-general.pdf (accessed on 15 July 2018).
- Taylor, D.M.; Chow, F.K.; Delkash, M.; Imhoff, P.T. Atmospheric modeling to assess wind dependence in tracer dilution method measurements of landfill methane emissions. Waste Manag. 2018, 73, 197–209. [Google Scholar] [CrossRef] [PubMed]
- Wiersema, D.J.; Lundquist, K.A.; Chow, F.K. Mesoscale to Microscale Simulations over Complex Terrain with the Immersed Boundary Method in the Weather Research and Forecasting Model. Mon. Weather Rev. 2020, 148, 577–595. [Google Scholar] [CrossRef]
- Moeng, C.H. A large-eddy-simulation model for the study of planetary boundary-layer turbulence. J. Atmos. Sci. 1984, 41, 2052–2062. [Google Scholar] [CrossRef]
- Durran, D.; Weyn, J.A.; Menchaca, M.Q. Practical considerations for computing dimensional spectra from gridded data. Mon. Weather Rev. 2017, 145, 3901–3910. [Google Scholar] [CrossRef]
- Weckwerth, T.M.; Wilson, J.W.; Wakimoto, R.M. Thermodynamic variability within the convective boundary layer due to horizontal convective rolls. Mon. Weather Rev. 1996, 124, 769–784. [Google Scholar] [CrossRef]
- Babić, N.; De Wekker, S.F. Characteristics of roll and cellular convection in a deep and wide semiarid valley: A large-eddy simulation study. Atmos. Res. 2019, 223, 74–87. [Google Scholar] [CrossRef]
- Geurts, B.J. Mixing efficiency in turbulent shear layers. J. Turbul. 2001, 2, 1–23. [Google Scholar] [CrossRef]
- Geurts, B.J.; van der Bos, F. Numerically induced high-pass dynamics in large-eddy simulation. Phys. Fluids 2005, 17, 125013. [Google Scholar] [CrossRef]


















| Domain | Nx·Ny·Nz | dt [s] | Closure | Topography Resolution | CPM | |
|---|---|---|---|---|---|---|
| d01 | 6.75 km | 141·141·89 | 30 | MYNN | 2 arcmin | off |
| d02 | 2.25 km | 181·181·89 | 10 | MYNN | 30 arcsec | off |
| d03_30s | 150 m | 241·241·89 | 0.5 | TKE 1.5 | 30 arcsec | off |
| d03_30s_cpm | 150 m | 241·241·89 | 0.5 | TKE 1.5 | 30 arcsec | on |
| d03_30s_ref | 150 m | 481·481·89 | 0.5 | TKE 1.5 | 30 arcsec | off |
| d03_3s | 150 m | 241·241·89 | 0.5 | TKE 1.5 | 3 arcsec | off |
| d03_3s_cpm | 150 m | 241·241·89 | 0.5 | TKE 1.5 | 3 arcsec | on |
| T2 [K] | U10 [m s] | 10 [°] | TKE10 [m s] | |||||
|---|---|---|---|---|---|---|---|---|
| Simulation | Bias | RMSE | Bias | RMSE | Bias | RMSE | Bias | RMSE |
| d03_30s | −0.45 | 1.15 | −1.28 | 2.52 | 0.2 | 25.2 | −0.87 | 1.27 |
| d03_30s_cpm | −0.46 | 1.14 | −1.29 | 2.53 | 1.2 | 25.3 | −0.86 | 1.26 |
| d03_30s_ref | −0.34 | 1.11 | −1.29 | 2.54 | 2.9 | 24.6 | −0.86 | 1.25 |
| d03_3s | −0.69 | 1.41 | 0.39 | 1.84 | 2.0 | 24.6 | −0.66 | 1.09 |
| d03_3s_cpm | −0.70 | 1.41 | 0.37 | 1.86 | 1.4 | 23.7 | −0.65 | 1.09 |
| T100 [K] | U100 [m s] | 100 [°] | TKE100 [m s] | |||||
|---|---|---|---|---|---|---|---|---|
| Simulation | Bias | RMSE | Bias | RMSE | Bias | RMSE | Bias | RMSE |
| d03_30s | −0.45 | 0.62 | −0.86 | 1.55 | −9.8 | 17.8 | −0.40 | 0.90 |
| d03_30s_cpm | −0.44 | 0.61 | −0.90 | 1.55 | −9.5 | 16.5 | −0.35 | 0.85 |
| d03_30s_ref | −0.38 | 0.61 | −0.86 | 1.67 | −7.4 | 15.6 | −0.32 | 0.97 |
| d03_3s | −0.87 | 0.93 | 0.12 | 1.04 | −9.8 | 16.9 | −0.25 | 0.95 |
| d03_3s_cpm | −0.86 | 0.93 | 0.13 | 0.97 | −9.8 | 16.2 | −0.25 | 0.83 |
| Simulation | d03_30s | d03_30s_cpm | d03_30s_ref | d03_3s | d03_30s_cpm | ||||||
|---|---|---|---|---|---|---|---|---|---|---|---|
| Bias | RMSE | Bias | RMSE | Bias | RMSE | Bias | RMSE | Bias | RMSE | ||
| U [m s] | 1113 | −1.21 | 2.09 | −1.13 | 2.04 | −1.18 | 2.05 | −1.11 | 1.94 | −1.19 | 2.06 |
| [°] | 1113 | −2.71 | 29.32 | −3.05 | 33.77 | 1.09 | 28.99 | −7.12 | 37.18 | −9.64 | 38.04 |
| [K] | 1113 | −0.63 | 0.85 | −0.62 | 0.87 | −0.64 | 0.81 | −0.55 | 0.68 | −0.57 | 0.82 |
| Q [g kg] | 1113 | −0.33 | 0.68 | −0.23 | 0.64 | −0.08 | 0.48 | −0.19 | 0.59 | −0.19 | 0.57 |
| U [m s] | 1716 | 0.29 | 1.87 | 0.53 | 1.62 | 0.39 | 1.32 | 0.20 | 1.34 | 0.20 | 1.39 |
| [°] | 1716 | −0.97 | 27.21 | −2.12 | 25.65 | −3.34 | 21.75 | 1.19 | 23.19 | 4.68 | 25.55 |
| [K] | 1716 | −0.92 | 1.25 | −1.03 | 1.26 | −0.91 | 1.36 | −0.87 | 1.23 | −0.95 | 1.21 |
| Q [g kg] | 1716 | 0.25 | 0.66 | 0.28 | 0.57 | 0.14 | 0.69 | 0.22 | 0.72 | 0.27 | 0.64 |
| U [m s] | 2313 | −0.76 | 2.27 | −0.76 | 2.27 | −0.87 | 2.34 | −0.62 | 2.05 | −0.64 | 2.05 |
| [°] | 2313 | −0.21 | 6.90 | -0.39 | 7.10 | 0.47 | 6.83 | 4.29 | 26.15 | 3.98 | 25.77 |
| [K] | 2313 | −1.31 | 1.46 | −1.31 | 1.46 | −1.27 | 1.41 | −1.17 | 1.31 | −1.17 | 1.31 |
| Q [g kg] | 2313 | 0.25 | 0.66 | 0.25 | 0.66 | 0.24 | 0.66 | 0.16 | 0.64 | 0.16 | 0.64 |
Publisher’s Note: MDPI stays neutral with regard to jurisdictional claims in published maps and institutional affiliations. |
© 2020 by the authors. Licensee MDPI, Basel, Switzerland. This article is an open access article distributed under the terms and conditions of the Creative Commons Attribution (CC BY) license (http://creativecommons.org/licenses/by/4.0/).
Share and Cite
Connolly, A.; van Veen, L.; Neher, J.; Geurts, B.J.; Mirocha, J.; Chow, F.K. Efficacy of the Cell Perturbation Method in Large-Eddy Simulations of Boundary Layer Flow over Complex Terrain. Atmosphere 2021, 12, 55. https://doi.org/10.3390/atmos12010055
Connolly A, van Veen L, Neher J, Geurts BJ, Mirocha J, Chow FK. Efficacy of the Cell Perturbation Method in Large-Eddy Simulations of Boundary Layer Flow over Complex Terrain. Atmosphere. 2021; 12(1):55. https://doi.org/10.3390/atmos12010055
Chicago/Turabian StyleConnolly, Alex, Leendert van Veen, James Neher, Bernard J. Geurts, Jeff Mirocha, and Fotini Katopodes Chow. 2021. "Efficacy of the Cell Perturbation Method in Large-Eddy Simulations of Boundary Layer Flow over Complex Terrain" Atmosphere 12, no. 1: 55. https://doi.org/10.3390/atmos12010055
APA StyleConnolly, A., van Veen, L., Neher, J., Geurts, B. J., Mirocha, J., & Chow, F. K. (2021). Efficacy of the Cell Perturbation Method in Large-Eddy Simulations of Boundary Layer Flow over Complex Terrain. Atmosphere, 12(1), 55. https://doi.org/10.3390/atmos12010055

