Structural Characterisation of Dimeric Esters in α-Pinene Secondary Organic Aerosol Using N2 and CO2 Ion Mobility Mass Spectrometry
Abstract
1. Introduction
2. Experiments
2.1. α-Pinene/O3 SOA Sample Generation and SOA Standard Compound Synthesis
2.2. Sample Analysis
2.3. Theoretical Calculation of Collision Cross-Section
3. Results and Discussion
3.1. Tandem Mass Spectrometry Analysis of m/z 357 (C17H25O8-) and m/z 367 (C19H27O7-) Ions
3.2. Ion Mobility Spectrometry Tandem Mass Spectrometry Analysis of m/z 357 (C17H25O8-) and m/z 367 (C19H27O7-) Ions
3.2.1. N2-IMS-TOFMS2 of m/z 357 (C17H25O8-) Ion
3.2.2. CO2-IMS-TOFMS2 of m/z 357 (C17H25O8-) Ion
3.2.3. N2-IMS-TOFMS2 of the m/z 367 (C19H27O7-) Ion and the Structural Elucidation of the m/z 199 Product Ion from Theoretical and Measured ΩN2 Values
3.3. The Structural and the Comformation Elucidation of m/z 357 and m/z 367 Ions from Theoretical and Measured Values
4. Conclusions
Author Contributions
Funding
Institutional Review Board Statement
Informed Consent Statement
Data Availability Statement
Conflicts of Interest
References
- Hallquist, M.; Wenger, J.C.; Baltensperger, U.; Rudich, Y.; Simpson, D.; Claeys, M.; Dommen, J.; Donahue, N.M.; George, C.; Goldstein, A.H.; et al. The formation, properties and impact of secondary organic aerosol: Current and emerging issues. Atmos. Chem. Phys. 2009, 9, 5155–5236. [Google Scholar] [CrossRef]
- Kim, K.-H.; Kabir, E.; Kabir, S. A review on the human health impact of airborne particulate matter. Environ. Int. 2015, 74, 136–143. [Google Scholar] [CrossRef] [PubMed]
- Davidson, C.I.; Phalen, R.F.; Solomon, P.A. Airborne Particulate Matter and Human Health: A Review. Aerosol. Sci. Technol. 2005, 39, 737–749. [Google Scholar] [CrossRef]
- Goldstein, A.H.; Galbally, I.E. Known and Unexplored Organic Constituents in the Earth’s Atmosphere. Environ. Sci. Technol. 2007, 41, 1514–1521. [Google Scholar] [CrossRef] [PubMed]
- Guenther, A.B.; Jiang, X.; Heald, C.L.; Sakulyanontvittaya, T.; Duhl, T.; Emmons, L.K.; Wang, X. The Model of Emissions of Gases and Aerosols from Nature version 2.1 (MEGAN2.1): An extended and updated framework for modeling biogenic emissions. Geosci. Model Dev. 2012, 5, 1471–1492. [Google Scholar] [CrossRef]
- Nozière, B.; Kalberer, M.; Claeys, M.; Allan, J.; D’Anna, B.; Decesari, S.; Finessi, E.; Glasius, M.; Grgić, I.; Hamilton, J.F.; et al. The Molecular Identification of Organic Compounds in the Atmosphere: State of the Art and Challenges. Chem. Rev. 2015, 115, 3919–3983. [Google Scholar] [CrossRef]
- Spolnik, G.; Wach, P.; Rudzinski, K.J.; Skotak, K.; Danikiewicz, W.; Szmigielski, R. Improved UHPLC-MS/MS Methods for Analysis of Isoprene-Derived Organosulfates. Anal. Chem. 2018, 90, 3416–3423. [Google Scholar] [CrossRef]
- De Vijlder, T.; Valkenborg, D.; Lemière, F.; Romijn, E.P.; Laukens, K.; Cuyckens, F. A tutorial in small molecule identification via electrospray ionization-mass spectrometry: The practical art of structural elucidation. Mass Spec. Rev. 2018, 37, 607–629. [Google Scholar] [CrossRef]
- Lapthorn, C.; Pullen, F.; Chowdhry, B.Z. Ion mobility spectrometry-mass spectrometry (IMS-MS) of small molecules: Separating and assigning structures to ions. Mass Spectrom. Rev. 2013, 32, 43–71. [Google Scholar] [CrossRef]
- Iinuma, Y.; Böge, O.; Kahnt, A.; Herrmann, H. Laboratory chamber studies on the formation of organosulfates from reactive uptake of monoterpene oxides. Phys. Chem. Chem. Phys. 2009, 11, 7985–7997. [Google Scholar] [CrossRef]
- Krechmer, J.E.; Groessl, M.; Zhang, X.; Junninen, H.; Massoli, P.; Lambe, A.T.; Kimmel, J.R.; Cubison, M.J.; Graf, S.; Lin, Y.-H.; et al. Ion mobility spectrometry–mass spectrometry (IMS–MS) for on- and offline analysis of atmospheric gas and aerosol species. Atmos. Meas. Tech. 2016, 9, 3245–3262. [Google Scholar] [CrossRef]
- Zhang, X.; Zhang, H.; Xu, W.; Wu, X.; Tyndall, G.S.; Orlando, J.J.; Jayne, J.T.; Worsnop, D.R.; Canagaratna, M.R. Molecular characterization of alkyl nitrates in atmospheric aerosols by ion mobility mass spectrometry. Atmos. Meas. Tech. 2019, 12, 5535–5545. [Google Scholar] [CrossRef]
- Zhang, X.; Krechmer, J.E.; Groessl, M.; Xu, W.; Graf, S.; Cubison, M.; Jayne, J.T.; Jimenez, J.L.; Worsnop, D.R.; Canagaratna, M.R. A novel framework for molecular characterization of atmospherically relevant organic compounds based on collision cross section and mass-to-charge ratio. Atmos. Chem. Phys. 2016, 16, 12945–12959. [Google Scholar] [CrossRef]
- Renard, P.; Tlili, S.; Ravier, S.; Quivet, E.; Monod, A. Aqueous phase oligomerization of α,β-unsaturated carbonyls and acids investigated using ion mobility spectrometry coupled to mass spectrometry (IMS-MS). Atmos. Environ. 2016, 130, 153–162. [Google Scholar] [CrossRef]
- Zhang, X.; Lambe, A.T.; Upshur, M.A.; Brooks, W.A.; Gray Bé, A.; Thomson, R.J.; Geiger, F.M.; Surratt, J.D.; Zhang, Z.; Gold, A.; et al. Highly Oxygenated Multifunctional Compounds in α-Pinene Secondary Organic Aerosol. Environ. Sci. Technol. 2017, 51, 5932–5940. [Google Scholar] [CrossRef]
- Zhao, Z.; Le, C.; Xu, Q.; Peng, W.; Jiang, H.; Lin, Y.-H.; Iii, D.R.C.; Zhang, H. Compositional Evolution of Secondary Organic Aerosol as Temperature and Relative Humidity Cycle in Atmospherically Relevant Ranges. ACS Earth Space Chem. 2019, 3, 2549–2558. [Google Scholar] [CrossRef]
- Zhao, Z.; Tolentino, R.; Lee, J.; Vuong, A.; Yang, X.; Zhang, H. Interfacial Dimerization by Organic Radical Reactions during Heterogeneous Oxidative Aging of Oxygenated Organic Aerosols. J. Phys. Chem. A 2019, 123, 10782–10792. [Google Scholar] [CrossRef]
- Zhao, Z.; Mayorga, R.; Lee, J.; Yang, X.; Tolentino, R.; Zhang, W.; Vuong, A.; Zhang, H. Site-Specific Mechanisms in OH-Initiated Organic Aerosol Heterogeneous Oxidation Revealed by Isomer-Resolved Molecular Characterization. ACS Earth Space Chem. 2020, 4, 783–794. [Google Scholar] [CrossRef]
- Kahnt, A.; Vermeylen, R.; Iinuma, Y.; Safi Shalamzari, M.; Maenhaut, W.; Claeys, M. High-molecular-weight esters in α-pinene ozonolysis secondary organic aerosol: Structural characterization and mechanistic proposal for their formation from highly oxygenated molecules. Atmos. Chem. Phys. 2018, 18, 8453–8467. [Google Scholar] [CrossRef]
- Beck, M.; Hoffmann, T. A detailed MSn study for the molecular identification of a dimer formed from oxidation of pinene. Atmos. Environ. 2016, 130, 120–126. [Google Scholar] [CrossRef]
- Yasmeen, F.; Vermeylen, R.; Szmigielski, R.; Iinuma, Y.; Böge, O.; Herrmann, H.; Maenhaut, W.; Claeys, M. Terpenylic acid and related compounds: Precursors for dimers in secondary organic aerosol from the ozonolysis of α and β-pinene. Atmos. Chem. Phys. 2010, 10, 9383–9392. [Google Scholar] [CrossRef]
- Gao, Y.; Hall, W.A.; Johnston, M.V. Molecular Composition of Monoterpene Secondary Organic Aerosol at Low Mass Loading. Environ. Sci. Technol. 2010, 44, 7897–7902. [Google Scholar] [CrossRef] [PubMed]
- Kristensen, K.; Enggrob, K.L.; King, S.M.; Worton, D.R.; Platt, S.M.; Mortensen, R.; Rosenoern, T.; Surratt, J.D.; Bilde, M.; Goldstein, A.H.; et al. Formation and occurrence of dimer esters of pinene oxidation products in atmospheric aerosols. Atmos. Chem. Phys. 2013, 13, 3763–3776. [Google Scholar] [CrossRef]
- Kourtchev, I.; Fuller, S.J.; Giorio, C.; Healy, R.M.; Wilson, E.; O’Connor, I.; Wenger, J.C.; McLeod, M.; Aalto, J.; Ruuskanen, T.M.; et al. Molecular composition of biogenic secondary organic aerosols using ultrahigh-resolution mass spectrometry: Comparing laboratory and field studies. Atmos. Chem. Phys. 2014, 14, 2155–2167. [Google Scholar] [CrossRef]
- Kourtchev, I.; Doussin, J.-F.; Giorio, C.; Mahon, B.; Wilson, E.M.; Maurin, N.; Pangui, E.; Venables, D.S.; Wenger, J.C.; Kalberer, M. Molecular composition of fresh and aged secondary organic aerosol from a mixture of biogenic volatile compounds: A high-resolution mass spectrometry study. Atmos. Chem. Phys. 2015, 15, 5683–5695. [Google Scholar] [CrossRef]
- Kristensen, K.; Watne, Å.K.; Hammes, J.; Lutz, A.; Peta, T.; Hallquist, M.; Bilde, M.; Glasius, M. High-Molecular Weight Dimer Esters Are Major Products in Aerosols from α-Pinene Ozonolysis and the Boreal Forest. Environ. Sci. Technol. Lett. 2016, 3, 280–285. [Google Scholar] [CrossRef]
- Docherty, K.S.; Wu, W.; Lim, Y.B.; Ziemann, P.J. Contributions of Organic Peroxides to Secondary Aerosol Formed from Reactions of Monoterpenes with O3. Environ. Sci. Technol. 2005, 39, 4049–4059. [Google Scholar] [CrossRef]
- Ziemann, P.J. Formation of Alkoxyhydroperoxy Aldehydes and Cyclic Peroxyhemiacetals from Reactions of Cyclic Alkenes with O 3 in the Presence of Alcohols. J. Phys. Chem. A 2003, 107, 2048–2060. [Google Scholar] [CrossRef]
- Davidson, K.L.; Bush, M.F. Effects of Drift Gas Selection on the Ambient-Temperature, Ion Mobility Mass Spectrometry Analysis of Amino Acids. Anal. Chem. 2017, 89, 2017–2023. [Google Scholar] [CrossRef]
- Asbury, G.R.; Hill, H.H. Using Different Drift Gases to Change Separation Factors (α) in Ion Mobility Spectrometry. Anal. Chem. 2000, 72, 580–584. [Google Scholar] [CrossRef]
- Kurulugama, R.T.; Darland, E.; Kuhlmann, F.; Stafford, G.; Fjeldsted, J. Evaluation of drift gas selection in complex sample analyses using a high performance drift tube ion mobility-QTOF mass spectrometer. Analyst 2015, 140, 6834–6844. [Google Scholar] [CrossRef] [PubMed]
- Matz, L.M.; Hill, H.H.; Beegle, L.W.; Kanik, I. Investigation of drift gas selectivity in high resolution ion mobility spectrometry with mass spectrometry detection. J. Am. Soc. Mass. Spectrom. 2002, 13, 300–307. [Google Scholar] [CrossRef]
- Fasciotti, M.; Sanvido, G.B.; Santos, V.G.; Lalli, P.M.; McCullagh, M.; de Sá, G.F.; Daroda, R.J.; Peter, M.G.; Eberlin, M.N. Separation of isomeric disaccharides by traveling wave ion mobility mass spectrometry using CO2 as drift gas: Increasing ion mobility Synapt resolution with CO2. J. Mass Spectrom. 2012, 47, 1643–1647. [Google Scholar] [CrossRef] [PubMed]
- Sato, K.; Hatakeyama, S.; Imamura, T. Secondary Organic Aerosol Formation during the Photooxidation of Toluene: NOx Dependence of Chemical Composition. J. Phys. Chem. A 2007, 111, 9796–9808. [Google Scholar] [CrossRef] [PubMed]
- Ramasamy, S.; Nakayama, T.; Imamura, T.; Morino, Y.; Kajii, Y.; Sato, K. Investigation of dark condition nitrate radical- and ozone-initiated aging of toluene secondary organic aerosol: Importance of nitrate radical reactions with phenolic products. Atmos. Environ. 2019, 219, 117049. [Google Scholar] [CrossRef]
- Akimoto, H.; Hoshino, M.; Inoue, G.; Sakamaki, F.; Washida, N.; Okuda, M. Design and characterization of the evacuable and bakable photochemical smog chamber. Environ. Sci. Technol. 1979, 13, 471–475. [Google Scholar] [CrossRef]
- Claeys, M.; Iinuma, Y.; Szmigielski, R.; Surratt, J.D.; Blockhuys, F.; Van Alsenoy, C.; Böge, O.; Sierau, B.; Gómez-González, Y.; Vermeylen, R.; et al. Terpenylic Acid and Related Compounds from the Oxidation of α-Pinene: Implications for New Particle Formation and Growth above Forests. Environ. Sci. Technol. 2009, 43, 6976–6982. [Google Scholar] [CrossRef]
- Kołodziejczyk, A.; Pyrcz, P.; Pobudkowska, A.; Błaziak, K.; Szmigielski, R. Physicochemical Properties of Pinic, Pinonic, Norpinic, and Norpinonic Acids as Relevant α-Pinene Oxidation Products. J. Phys. Chem. B 2019, 123, 8261–8267. [Google Scholar] [CrossRef]
- Paglia, G.; Williams, J.P.; Menikarachchi, L.; Thompson, J.W.; Tyldesley-Worster, R.; Halldórsson, S.; Rolfsson, O.; Moseley, A.; Grant, D.; Langridge, J.; et al. Ion Mobility Derived Collision Cross Sections to Support Metabolomics Applications. Anal. Chem. 2014, 86, 3985–3993. [Google Scholar] [CrossRef]
- Paglia, G.; Astarita, G. Metabolomics and lipidomics using traveling-wave ion mobility mass spectrometry. Nat. Protoc. 2017, 12, 797–813. [Google Scholar] [CrossRef]
- Campuzano, I.; Bush, M.F.; Robinson, C.V.; Beaumont, C.; Richardson, K.; Kim, H.; Kim, H.I. Structural Characterization of Drug-like Compounds by Ion Mobility Mass Spectrometry: Comparison of Theoretical and Experimentally Derived Nitrogen Collision Cross Sections. Anal. Chem. 2012, 84, 1026–1033. [Google Scholar] [CrossRef] [PubMed]
- Mesleh, M.F.; Hunter, J.M.; Shvartsburg, A.A.; Schatz, G.C.; Jarrold, M.F. Structural Information from Ion Mobility Measurements: Effects of the Long-Range Potential. J. Phys. Chem. 1996, 100, 16082–16086. [Google Scholar] [CrossRef]
- Müller, L.; Reinnig, M.-C.; Hayen, H.; Hoffmann, T. Characterization of oligomeric compounds in secondary organic aerosol using liquid chromatography coupled to electrospray ionization Fourier transform ion cyclotron resonance mass spectrometry. Rapid Commun. Mass Spectrom. 2009, 23, 971–979. [Google Scholar] [CrossRef] [PubMed]
- Müller, L.; Reinnig, M.-C.; Warnke, J.; Hoffmann, T. Unambiguous identification of esters as oligomers in secondary organic aerosol formed from cyclohexene and cyclohexene/α-pinene ozonolysis. Atmos. Chem. Phys. 2008, 8, 1423–1433. [Google Scholar] [CrossRef]
- Alelyunas, Y.W.; Smith, K.; Cleland, G.; Mortishire-Smith, R.; Wrona, M.D. Building a Collision Cross Section Library of Pharmaceutical Drugs Using the Vion IMS QT of Platform. Verification of System Performance, Precision and Deviation of CCS Measurements. Waters Appl. Note 2017, 720005903. Available online: https://www.waters.com/webassets/cms/library/docs/720005903en.pdf (accessed on 7 December 2020).







| Parameter | |
|---|---|
| Mass range (m/z) | 50–1200 |
| Capillary voltage (kV) | 2.5 |
| Sampling cone voltage (V) | 40 |
| Source offset (V) | 10 |
| Source temperature (°C) | 120 |
| Desolvation temperature (°C) | 350 |
| Desolvation Gas Flow (Lh−1) | 800 |
| Nebuliser Gas Flow (Bar) | 6.5 |
| Cone gas flow (Lh−1) | 50 |
| IMS Cell Pressure (mbar) | 3 (N2) 1.5 (CO2) |
| Buffer gas flow rate (mLmin−1) | 90 |
| IMS Wave height (V) | 40 |
| IMS Wave Velocity (ms−1) | 650 |
| IMS resolution (Ω/ΔΩ) | 40 |
| Trap Collision Energy (eV) | 4 |
| Transfer Collision Energy (eV) | 2 |
| Trap Collision Energy Ramp Start for MS2 (eV) | 15.0 |
| Trap Collision Energy Ramp End for MS2 (eV) | 40.0 |
| Name | Formula | m/z | ΩN2 IMS | ΩN2 MOBCAL | RD% |
|---|---|---|---|---|---|
| (Å2) | (Å2) | ||||
| cis-pinic acid | C9H13O4- | 185.0789 | 140.6 | 147.0 | −4.5% |
| cis-pinic acid with an intramolecular hydrogen bond | ” | ” | ” | 141.7 | −0.8% |
| 10-Hydroxy-cis-pinonic acid | C10H15O4- | 199.0931 | 144.3 | 142.2 | 1.48% |
| Abbreviation | Structure | m/z | ΩN2 IMS | ΩN2 MOBCAL | RD% | |
|---|---|---|---|---|---|---|
| (Å2) | (Å2) | |||||
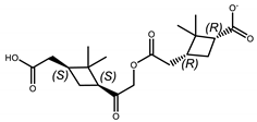
| 357a(R,R) | ![]() | C17H25O8- | 357.1549 | 178.6 | 191.4 | 6.91% |
| 357a(S,S) | ![]() | ” | ” | ” | 209.8 | 16.07% |
| 357b(S,S) | ![]() | ” | ” | ” | 195.1 | 8.83% |
| 357b(R,R) | ![]() | ” | ” | ” | 196.1 | 9.36% |
| 367a(S,S)(S,S) | ![]() | C19H27O7- | 367.1757 | 182.5 | 216.4 | 16.99% |
| 367a(S,S)(R,R) | ![]() | ” | ” | ” | 227.5 | 21.93% |
| 367b(S,S)(R,R) | ![]() | ” | ” | ” | 205.7 | 11.95% |
| 367b(S,S)(S,S) | ![]() | ” | ” | ” | 201.1 | 9.69% |
| Abbreviation | Structure | m/z | ΩN2 IMS | ΩN2 MOBCAL | RD% | |
|---|---|---|---|---|---|---|
| (Å2) | (Å2) | |||||
| 357aHB(R)(S,S) | ![]() | C17H25O8- | 357.1549 | 178.6 | 188.2 | 5.27% |
| 357aHB(R)(R,R) | ![]() | ” | ” | ” | 205.0 | 13.76% |
| 357bHB(R)(R,R) | ![]() | ” | ” | ” | 182.8 | 2.35% |
| 357bHB(S)(S,S) | ![]() | ” | ” | ” | 198.4 | 10.50% |
| 367aHB(S,S)(R,R) | ![]() | C19H27O7- | 367.1757 | 182.5 | 192.2 | 5.19% |
| 367aHB(R,R)(R,R) | ![]() | ” | ” | ” | 193.0 | 5.56% |
| 367bHB(R,R)(R,R) | ![]() | ” | ” | ” | 185.1 | 1.42% |
| 367bHB(R,R)(S,S) | ![]() | ” | ” | ” | 195.7 | 6.97% |
Publisher’s Note: MDPI stays neutral with regard to jurisdictional claims in published maps and institutional affiliations. |
© 2020 by the authors. Licensee MDPI, Basel, Switzerland. This article is an open access article distributed under the terms and conditions of the Creative Commons Attribution (CC BY) license (http://creativecommons.org/licenses/by/4.0/).
Share and Cite
Iinuma, Y.; Ramasamy, S.; Sato, K.; Kołodziejczyk, A.; Szmigielski, R. Structural Characterisation of Dimeric Esters in α-Pinene Secondary Organic Aerosol Using N2 and CO2 Ion Mobility Mass Spectrometry. Atmosphere 2021, 12, 17. https://doi.org/10.3390/atmos12010017
Iinuma Y, Ramasamy S, Sato K, Kołodziejczyk A, Szmigielski R. Structural Characterisation of Dimeric Esters in α-Pinene Secondary Organic Aerosol Using N2 and CO2 Ion Mobility Mass Spectrometry. Atmosphere. 2021; 12(1):17. https://doi.org/10.3390/atmos12010017
Chicago/Turabian StyleIinuma, Yoshiteru, Sathiyamurthi Ramasamy, Kei Sato, Agata Kołodziejczyk, and Rafal Szmigielski. 2021. "Structural Characterisation of Dimeric Esters in α-Pinene Secondary Organic Aerosol Using N2 and CO2 Ion Mobility Mass Spectrometry" Atmosphere 12, no. 1: 17. https://doi.org/10.3390/atmos12010017
APA StyleIinuma, Y., Ramasamy, S., Sato, K., Kołodziejczyk, A., & Szmigielski, R. (2021). Structural Characterisation of Dimeric Esters in α-Pinene Secondary Organic Aerosol Using N2 and CO2 Ion Mobility Mass Spectrometry. Atmosphere, 12(1), 17. https://doi.org/10.3390/atmos12010017

















