Unmanned Aerial Vehicle Observations of the Vertical Distribution of Particulate Matter in the Surface Layer of the Taklimakan Desert in China
Abstract
1. Introduction
2. Data and Method
3. Results and Discussion
3.1. Atmospheric Boundary Layer Conditions
3.2. Correlations between the Vertical Profiles in the Hinterland of the TD
3.3. Correlations between the Vertical Profiles in the Northern Marginal Zone of the TD
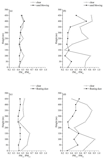
3.4. Ratios of PM1.0/PM2.5 and PM2.5/PM10
3.5. Analysis of the Floating Dust Days
3.6. Characteristics of Air Mass Backward Trajectory
4. Conclusions
- (1)
- The variation ranges of PM1.0, PM2.5, and PM10 were 0.8–91.1, 1.0–200.7, and 1.0–763.7 µg∙m−3, respectively, during the observation period in the TD. The concentrations of PM in the hinterland of the TD (Tazhong) were higher than those along the northern margin of the TD (Xiaotang). The PM1.0, PM2.5, and PM10 concentrations during sand blowing periods were 11.5, 12.5, and 17.7 times larger than in the clear period at Tazhong, and they were 10.0, 12.5, and 12.5 times greater, respectively, at Xiaotang.
- (2)
- Fine particles dominated the boundary layer’s PM composition along the northern margin of the TD, and coarse particles dominated in the hinterland of the TD. The PM1.0/PM2.5 ratios (0.40–0.80) and PM2.5/PM10 ratios (0.10–1.0) at Xiaotang were higher than those at Tazhong (0.25–0.65 for PM1.0/PM2.5 and 0.10–0.85 for PM2.5/PM10). Fine particles dominated the boundary layer’s PM composition during clear periods, and coarse particles dominated during floating dust and sand blowing periods. During the clear period, the ratios of PM1.0/PM2.5 (0.4–0.55 at Tazhong and 0.4–0.65 at Xiaotang) and PM2.5/PM10 (0.25–0.85 at Tazhong and 0.4–0.9 at Xiaotang) were larger than the ratios during the sand blowing and floating dust periods (0.4–0.55 for PM1.0/PM2.5 and 0.25–0.7 for PM2.5/PM10 at Tazhong; 0.4–0.45 for PM1.0/PM2.5 and 0.3–0.55 for PM2.5/PM10 at Xiaotang).
- (3)
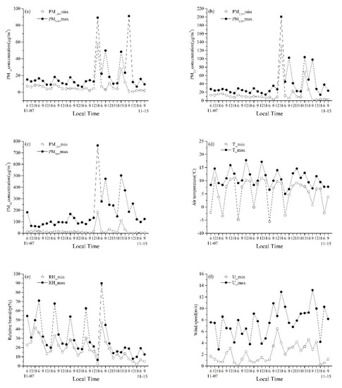
- The PM vertical profile concentrations were significantly affected by the boundary layer height and the considered meteorological factors. When the boundary layer height was higher at 12:00 LST (Local Standard Time) and 15:00, the PM concentration was the lowest in the TD. Moreover, at 12:00 and 15:00, the PM was dominated by low concentrations (≤20 µg∙m−3), while at 18:00, it was dominated by high concentrations (>35 µg∙m−3). When the boundary layer height was lower at 06:00 and 09:00, the values of PM1.0/PM2.5 and PM2.5/PM10 were larger.
- (4)
- Lower concentrations of PM (≤20 µg∙m−3) required air temperature of 8–16 °C and relative humidity < 30%. Higher concentrations of PM (>35 µg∙m−3) required air temperature of 12–16 °C and relative humidity of 10–30%. However, when the PM levels were between 20 and 35 µg∙m−3, higher air temperatures were recorded at Xiaotang (<12 °C) than at Tazhong (<8 °C). Under these conditions, the relative humidity (>30%) and wind speeds (<8 m∙s−1) were similar at both locations.
- (5)
- The concentration of PM at Tazhong was closely related to the wind speed (the highest coefficient correlation was 0.622) and the relative humidity (the highest coefficient correlation was 0.385), while the concentration of PM at Xiaotang was closely related to the air temperature (the highest coefficient correlation was 0.733), indicating that the influence of dust in the boundary layer above Xiaotang was related to thermal action, while the influence of dust in the boundary layer above Tazhong was related to dynamic action. On floating dust days, the PM concentrations were mainly affected by the wind speed, air temperature, and humidity at Tazhong, whereas they were affected by the wind speed and air temperature at Xiaotang.
Author Contributions
Funding
Conflicts of Interest
References
- Liu, X.C.; Zhong, Y.T.; He, Q.; Yang, X.H.; Ali, M.M.T.M. Vertical distribution of dust aerosol mass concentration in Hinterland of the Taklimakan Desert. J. Desert Res. 2012, 32, 1045–1052. (In Chinese) [Google Scholar]
- Charlson, R.J.; Heintzenberg, J. Aerosol Forcing of Climate; John Wiley & Sons: Hoboken, NJ, USA, 1995. [Google Scholar]
- Houghton, J.T.; Ding, Y.; Griggs, D.J.; Noguer, M.; van der Linden, P.J.; Dai, X.; Maskell, K.; Johnson, C.A. Climate Change 2001: The Scientific Basis; Cambridge University Press: Cambridge, UK, 2001. [Google Scholar]
- Zender, C.S.; Miller, R.L.; Tegen, I. Quantifying mineral dust mass budgets: Terminology, constraints, and current estimates. Eos 2004, 85, 509–512. [Google Scholar] [CrossRef]
- Mahowald, N.M.; Engelstaedter, S.; Luo, C.; Sealy, A.M.; Artaxo, P.; Benitez-Nelson, C.R.; Bonnet, S.; Chen, Y.; Chuang, P.Y.; Cohen, D.D.; et al. Atmospheric Iron Deposition: Global Distribution, Variability, and Human Perturbations. Annu. Rev. Mar. Sci. 2009, 1, 245–278. [Google Scholar] [CrossRef] [PubMed]
- Cheng, T.T.; Shen, Z.B. A Numerical Simulation of Optical Characteristics for Atmospheric Dust Aerosols in Northwest China. Plateau Meteorol. 2001, 20, 291–297. [Google Scholar]
- Tegen, I.; Lacis, A.A.; Fung, I. The influence on climate forcing of mineral aerosols from disturbed soils. Nature 1996, 380, 419–422. [Google Scholar] [CrossRef]
- Creamean, J.; Suski, K.J.; Rosenfeld, D.; Cazorla, A.; DeMott, P.; Sullivan, R.; White, A.B.; Ralph, F.M.; Minnis, P.; Comstock, J.; et al. Dust and Biological Aerosols from the Sahara and Asia Influence Precipitation in the Western U.S. Science 2013, 339, 1572–1578. [Google Scholar] [CrossRef]
- Carslaw, K.; Boucher, O.; Spracklen, D.V.; Mann, G.; Rae, J.G.L.; Woodward, S.; Kulmala, M. A review of natural aerosol interactions and feedbacks within the Earth system. Atmos. Chem. Phys. Discuss. 2010, 10, 1701–1737. [Google Scholar] [CrossRef]
- Qiu, J.H.; Sun, J.H. Optically remote sensing of the dust storm and result analysis. Sci. Atmos. Sin. 1994, 18, 1–9. (In Chinese) [Google Scholar]
- Liu, C.; Zhao, T.L.; Xiong, J.; Liu, Y.; Han, Y.X.; Liu, F. A simulated climatology of dust aerosol emissions over 1991–2010 and the influencing factors of atmospheric circulation over the major deserts in the world. J. Desert Res. 2015, 35, 959–970. (In Chinese) [Google Scholar]
- Yue, P.; Niu, S.J.; Shen, J.G.; Ge, Z.P. Observation and analysis of micro meteorology parameters and PM10 for an ultra strong dust-storm. J. Nat. Disasters 2009, 18, 118–123. (In Chinese) [Google Scholar]
- He, Q.; Jin, L.L.; Yang, X.H.; Liu, X.C.; Li, Z.J.; Liu, Q. Analysis on O3 Concentration and Affecting Factors for Boundary-Layer in Hinterland of Taklimakan Desert in Autumn. Plateau Meteorol. 2010, 29, 214–221. (In Chinese) [Google Scholar]
- He, Q.; Liu, Q.; Yang, X.H.; Ali, M.; Huo, W.; Liang, Y. Profiles of atmosphere boundary layer ozone in winter over Hinterland of Taklimakan Desert. J. Desert Res. 2010, 30, 909–916. (In Chinese) [Google Scholar]
- Zhang, X.Y.; Arimoto, R.; An, Z.S. Dust emission from Chinese desert sources linked to variations in atmospheric circulation. J. Geophys. Res. 1997, 102, 28041–28047. [Google Scholar] [CrossRef]
- Perry, K.D.; Cliff, S.; Jimenez-Cruz, M.P. Evidence for hygroscopic mineral dust particles from the Intercontinental Transport and Chemical Transformation Experiment. J. Geophys. Res. Space Phys. 2004, 109. [Google Scholar] [CrossRef]
- Yan, H.; Jiao, M.Y.; Bi, B.G.; Zhang, C.C. Observation on sand-dust aerosol in center of Taklimakan Desert. J. Desert Res. 2006, 26, 389–393. (In Chinese) [Google Scholar]
- Li, X. Effects of meteorological factors on optical properties of aerosol in Urumqi. Arid Zone Res. 2006, 23, 484–488. (In Chinese) [Google Scholar]
- Chan, C.K.; Yao, X. Air pollution in mega cities in China. Atmos. Environ. 2008, 42, 1–42. [Google Scholar] [CrossRef]
- Xin, J.; Zhang, Q.; Wang, L.; Gong, C.; Wang, Y.; Liu, Z.; Gao, W. The empirical relationship between the PM2.5 concentration and aerosol optical depth over the background of North China from 2009 to 2011. Atmos. Res. 2014, 138, 179–188. [Google Scholar] [CrossRef]
- Quan, J.; Tie, X.; Zhang, Q.; Liu, Q.; Li, X.; Gao, Y.; Zhao, D. Characteristics of heavy aerosol pollution during the 2012–2013 winter in Beijing, China. Atmos. Environ. Times 2014, 88, 83–89. [Google Scholar] [CrossRef]
- Wu, D.; Tie, X.X.; Deng, X. Chemical characterizations of soluble aerosols in southern China. Chemosphere 2006, 64, 749–757. [Google Scholar] [CrossRef]
- Fan, S.; Wang, B.; Tesche, M.; Engelmann, R.; Althausen, A.; Liu, J.; Zhu, W.; Fan, Q.; Li, M.; Ta, N.; et al. Meteorological conditions and structures of atmospheric boundary layer in October 2004 over Pearl River Delta area. Atmos. Environ. 2008, 42, 6174–6186. [Google Scholar] [CrossRef]
- Fan, S.J.; Fan, Q.; Yu, W.; Luo, X.Y.; Wang, B.M.; Song, L.L.; Leong, K.L. Atmospheric boundary layer characteristics over the Pearl River Delta, China, during the summer of 2006: Measurement and model results. Atmos. Chem. Phys. Discuss. 2011, 11, 6297–6310. [Google Scholar] [CrossRef]
- Deng, X.J.; Wu, D.; Yu, J.; Lau, A.K.H.; Li, F.; Tan, H.; Yuan, Z.; Ng, W.M.; Deng, T.; Wu, C.; et al. Characterization of secondary aerosol and its extinction effects on visibility over the Pearl River Delta Region, China. J. Air Waste Manag. Assoc. 2013, 63, 1012–1021. [Google Scholar] [CrossRef] [PubMed]
- Lan, Z.; Zhang, B.; Huang, X.; Zhu, Q.; Yuan, J.; Zeng, L.; Hu, M.; He, L. Source apportionment of PM 2.5 light extinction in an urban atmosphere in China. J. Environ. Sci. 2018, 63, 277–284. [Google Scholar] [CrossRef] [PubMed]
- Zhang, T.; Zhu, Z.; Gong, W.; Xiang, H.; Li, Y.; Cui, Z. Characteristics of Ultrafine Particles and Their Relationships with Meteorological Factors and Trace Gases in Wuhan, Central China. Atmosphere 2016, 7, 96. [Google Scholar] [CrossRef]
- Li, Z.; Lei, L.; Chan, P.; Biling, L.; Lijie, Z. Why the number of haze days in Shenzhen, China has reduced since 2005: From a perspective of industrial structure. Mausam 2018, 1, 45–54. [Google Scholar]
- Liu, X.C.; Zhong, Y.T.; He, Q.; Yang, X.H. Spatio-temporal pattern of PM10 concentration and impact factors in the Hinterland and surrounding area of Taklimakan Desert. J. Desert Res. 2011, 31, 323–330. (In Chinese) [Google Scholar]
- Liu, X.C.; Zhong, Y.T.; He, Q. Analysis on mass concentration of atmospheric particulate matter and its influencing factors in sandstorm process in the Taklimakan Desert Hinterland. J. Desert Res. 2011, 31, 1548–1553. (In Chinese) [Google Scholar]
- Cao, J.; Shen, Z.; Chow, J.C.; Qi, G.; Watson, J.G. Seasonal variations and sources of mass and chemical composition for PM10 aerosol in Hangzhou, China. Particuology 2009, 7, 161–168. [Google Scholar] [CrossRef]
- Kang, X.F.; Zhang, J.H.; Liu, H.H. Influences of sandy weather on city’s air quality in China: Scope and scale. Res. Sci. 2002, 24, 1–4. (In Chinese) [Google Scholar]
- Xi, X.X.; Li, J.; Quan, J.N. Study on the mass concentration of the atmospheric dust and aerosol over Lanzhou city in spring. Arid Zone Res. 2004, 21, 112–116. (In Chinese) [Google Scholar]
- Huo, W.; Li, X.; Ali, M. Analysis on the features of sandstorms in the Tarim Basin in spring 2004. Arid Zone Res. 2006, 23, 210–215. (In Chinese) [Google Scholar]
- Liu, Z.D.; Liu, J.G.; Wang, B.; Lu, F.; Huang, S.; Wu, D.; Han, D. Observation Aerosol observation in Fengtai area, Beijing. Particuology 2008, 6, 214–217. [Google Scholar] [CrossRef]
- Zhang, R.J.; Xu, Y.F.; Han, Z.W. Inorganic chemical composition and source signature of PM2.5 in Beijing during ACE—Asia period. Chin. Sci. Bull. 2003, 48, 1002–1005. [Google Scholar] [CrossRef]
- Zhang, R.J.; Han, Z.W.; Cheng, T.T. Chemical properties and origin of dust aerosols in Beijing during springtime. Particuology 2009, 7, 61–67. [Google Scholar] [CrossRef]
- Guo, J.H.; Rahn, K.A.; Zhuang, G.S. A mechanism for the increase of pollution elements in dust storms in Beijing. Atmos. Environ. 2004, 38, 855–862. [Google Scholar] [CrossRef]
- Tao, J.; Ho, K.F.; Chen, L.; Zhu, L.; Han, J.; Xu, Z. Effect of chemical composition of PM2.5 on visibility in Guangzhou, China, 2007 spring. Particuology 2009, 7, 68–75. [Google Scholar] [CrossRef]
- Li, X.X.; Shen, Z.X.; Cao, J.J.; Liu, S.; Zhu, C.; Zhang, T. Distribution of carbonaceous aerosol during spring 2005 over the Horqin Sand land in northeastern China. Particuology 2006, 4, 316–322. [Google Scholar] [CrossRef]
- Li, J.C.; Dong, Z.B.; Wang, X.M.; He, S. Seasonal distribution and causes of dust events in Tarim Basin, China. J. Desert Res. 2008, 28, 142–148. (In Chinese) [Google Scholar]
- Wang, M.Z.; Wei, W.S.; Yang, L.M.; Li, Y.H.; Xiao, S.J.; Ali, M. Analysis on circulating dynamical structure of a strong sand-dust storm case from east in Tarim Basin. J. Desert Res. 2008, 28, 370–376. (In Chinese) [Google Scholar]
- Shen, J.G.; Liu, F.; Niu, S.J. Successive observation and analysis of TSP concentration in a sand-dust storm case. J. Desert Res. 2006, 26, 786–791. (In Chinese) [Google Scholar]
- Gao, W.D.; Yuan, Y.J.; Liu, H.Z.; Wei, W. Status of dust sources and aerosol formatting condition analysis in Xinjiang. J. Desert Res. 2008, 28, 969–973. (In Chinese) [Google Scholar]
- Yang, X.; Mamtimin, A.; He, Q.; Liu, X.; Huo, W. Observation of saltation activity at Tazhong area in Taklimakan Desert, China. J. Arid. Land 2012, 5, 32–41. [Google Scholar] [CrossRef]
- Yang, X.; Shen, S.H.; Yang, F.; He, Q.; Ali, M.; Huo, W.; Liu, X. Spatial and temporal variations of blowing dust events in the Taklimakan Desert. Theor. Appl. Clim. 2015, 125, 669–677. [Google Scholar] [CrossRef]
- Nozaki, K.Y. Mixing Depth Model Using Hourly Surface Observations; Report 7053; USAF Environmental Technical Application Center: Scott Air Force Base, IL, USA, 1973. [Google Scholar]
- Jin, L.; Li, Z.; He, Q.; Liu, Y.; Mamtimin, A.; Liu, X.; Huo, W.; Xin, Y.; Zhang, J.; Zhou, C. Observed Key Surface Parameters for Characterizing Land–Atmospheric Interactions in the Northern Marginal Zone of the Taklimakan Desert, China. Atmosphere 2018, 9, 458. [Google Scholar] [CrossRef]
- Liu, Y.Q.; Ali, M.; He, Q. Modification of Key Parameters in CoLM. Arid Zone Res. 2014, 31, 611–618. (In Chinese) [Google Scholar]
- Stein, A.; Draxler, R.R.; Rolph, G.D.; Stunder, B.J.B.; Cohen, M.D.; Ngan, F. NOAA’s HYSPLIT Atmospheric Transport and Dispersion Modeling System. Bull. Am. Meteorol. Soc. 2015, 96, 2059–2077. [Google Scholar] [CrossRef]
- Meng, L.; Yang, X.; Zhao, T.; He, Q.; Lu, H.; Mamtimin, A.; Huo, W.; Yang, F.; Liu, C. Modeling study on three-dimensional distribution of dust aerosols during a dust storm over the Tarim Basin, Northwest China. Atmos. Res. 2019, 218, 285–295. [Google Scholar] [CrossRef]
- Huang, K.; Lin, Y.; Wang, Q.; Huang, J.; Li, J.; Xue, F.; Zhuang, G. Characteristics and source of black carbon over Taklimakan Desert. Sci. Sin. Chim. 2010, 40, 556–566. [Google Scholar] [CrossRef]















| Parameters | Range Values | Parameters | Range Values |
|---|---|---|---|
| Maximum flight altitude | 500 m | Frequency | 2.4 GHz |
| Rising velocity | 5 m·s−1 | Maximum take-off weight | 15 kg |
| Drop speed | 8 m·s−1 | Empty weight to total weight | 10 kg |
| Hover time | No load: >30 min; Maximum take-off weight: >15 min | Communication interface | BT/Wi-Fi*/GPRS/2.4G SDK |
| Control distance | 5 km | The work environment | −30–50 °C; 10–80% RH |
| Control the height | 2 km | Overall dimensions | 1214 × 980 × 857 mm |
| Elements | Sand Blowing Periods | Difference (%) | Clear Periods | Difference (%) | Floating Dust Periods | Difference (%) | Clear Periods | Difference (%) |
|---|---|---|---|---|---|---|---|---|
| Tazhong | Xiaotang | |||||||
| PM1.0 (µg∙m−3) | 73.2 | 422.9 | 10.1 | −27.9 | 38.5 | 175.0 | 14.4 | 2.9 |
| PM2.5 (µg∙m−3) | 164.8 | 501.5 | 19.7 | −28.1 | 86.4 | 215.3 | 21.4 | −21.9 |
| PM10 (µg∙m−3) | 473.5 | 369.3 | 75.9 | −24.8 | 307.5 | 204.8 | 80.1 | −20.6 |
| T (°C) | 9.9 | 22.2 | 8.4 | 3.7 | 10.4 | 28.4 | 6.0 | −25.9 |
| WS (m∙s−1) | 8.5 | 73.5 | 4.5 | −8.2 | 6.3 | 28.6 | 5.4 | 12.2 |
| RH (%) | 4.7 | −81.0 | 29.9 | 20.6 | 11.7 | −52.8 | 9.5 | −61.7 |
| Height(m) | WS | θ | RH | |
|---|---|---|---|---|
| PM1.0 | <150 | 0.241 | 0.107 | 0.117 |
| 150–300 | 0.570 | 0.131 | 0.194 | |
| >300 | 0.622 | 0.087 | 0.346 | |
| PM2.5 | <150 | 0.236 | 0.044 | 0.182 |
| 150–300 | 0.556 | 0.080 | 0.246 | |
| >300 | 0.619 | 0.056 | 0.380 | |
| PM10 | <150 | 0.240 | 0.024 | 0.253 |
| 150–300 | 0.523 | 0.042 | 0.288 | |
| >300 | 0.534 | 0.013 | 0.385 |
| Elements | Height(m) | WS | θ | RH |
|---|---|---|---|---|
| PM1.0 | <150 | 0.583 | 0.359 | 0.106 |
| 150–300 | 0.171 | 0.703 | 0.270 | |
| >300 | 0.225 | 0.562 | 0.809 | |
| PM2.5 | <150 | 0.468 | 0.547 | 0.006 |
| 150–300 | 0.097 | 0.733 | 0.188 | |
| >300 | 0.198 | 0.558 | 0.784 | |
| PM10 | <150 | 0.295 | 0.571 | 0.011 |
| 150–300 | 0.051 | 0.674 | 0.112 | |
| >300 | 0.173 | 0.482 | 0.657 |
| Pollutants | Weather | WS | θ | RH | |
|---|---|---|---|---|---|
| Tazhong | PM1.0 | Clear | 0.404 | 0.521 | 0.294 |
| Sand blowing | 0.607 | 0.462 | 0.410 | ||
| PM2.5 | Clear | 0.344 | 0.504 | 0.318 | |
| Sand blowing | 0.331 | 0.102 | 0.035 | ||
| PM10 | Clear | 0.161 | 0.142 | 0.160 | |
| Sand blowing | 0.293 | 0.474 | 0.506 | ||
| Xiaotang | PM1.0 | Clear | 0.623 | 0.664 | 0.442 |
| Floating dust | 0.587 | 0.562 | 0.061 | ||
| PM2.5 | Clear | 0.591 | 0.613 | 0.402 | |
| Floating dust | 0.560 | 0.652 | 0.006 | ||
| PM10 | Clear | 0.252 | 0.230 | 0.265 | |
| Floating dust | 0.201 | 0.271 | 0.210 |
© 2020 by the authors. Licensee MDPI, Basel, Switzerland. This article is an open access article distributed under the terms and conditions of the Creative Commons Attribution (CC BY) license (http://creativecommons.org/licenses/by/4.0/).
Share and Cite
Jin, L.; He, Q.; Jiang, H.; Xiao, J.; Zhao, Q.; Zhou, S.; Li, Z.; Zhao, J. Unmanned Aerial Vehicle Observations of the Vertical Distribution of Particulate Matter in the Surface Layer of the Taklimakan Desert in China. Atmosphere 2020, 11, 980. https://doi.org/10.3390/atmos11090980
Jin L, He Q, Jiang H, Xiao J, Zhao Q, Zhou S, Li Z, Zhao J. Unmanned Aerial Vehicle Observations of the Vertical Distribution of Particulate Matter in the Surface Layer of the Taklimakan Desert in China. Atmosphere. 2020; 11(9):980. https://doi.org/10.3390/atmos11090980
Chicago/Turabian StyleJin, Lili, Qing He, Hong Jiang, Junan Xiao, Quanwei Zhao, Sasa Zhou, Zhenjie Li, and Jiawei Zhao. 2020. "Unmanned Aerial Vehicle Observations of the Vertical Distribution of Particulate Matter in the Surface Layer of the Taklimakan Desert in China" Atmosphere 11, no. 9: 980. https://doi.org/10.3390/atmos11090980
APA StyleJin, L., He, Q., Jiang, H., Xiao, J., Zhao, Q., Zhou, S., Li, Z., & Zhao, J. (2020). Unmanned Aerial Vehicle Observations of the Vertical Distribution of Particulate Matter in the Surface Layer of the Taklimakan Desert in China. Atmosphere, 11(9), 980. https://doi.org/10.3390/atmos11090980
