Measurements of Indoor and Outdoor Fine Particulate Matter during the Heating Period in Jinan, in North China: Chemical Composition, Health Risk, and Source Apportionment
Abstract
1. Introduction
2. Experiment and Methodology
2.1. Sample Site and Chemical Analysis
2.2. Positive Matrix Factorization (PMF) Analysis
3. Results and Discussion
3.1. Concentrations of PM2.5 and Its Chemical Components
3.2. Assessment of Health Risks for Metals and Sulfur in PM2.5
3.3. Source Analysis
3.3.1. Indoor/Outdoor Ratio (I/O Ratio)
3.3.2. Infiltration Factor (FINF) and Indoor Source Contribution (Cig)
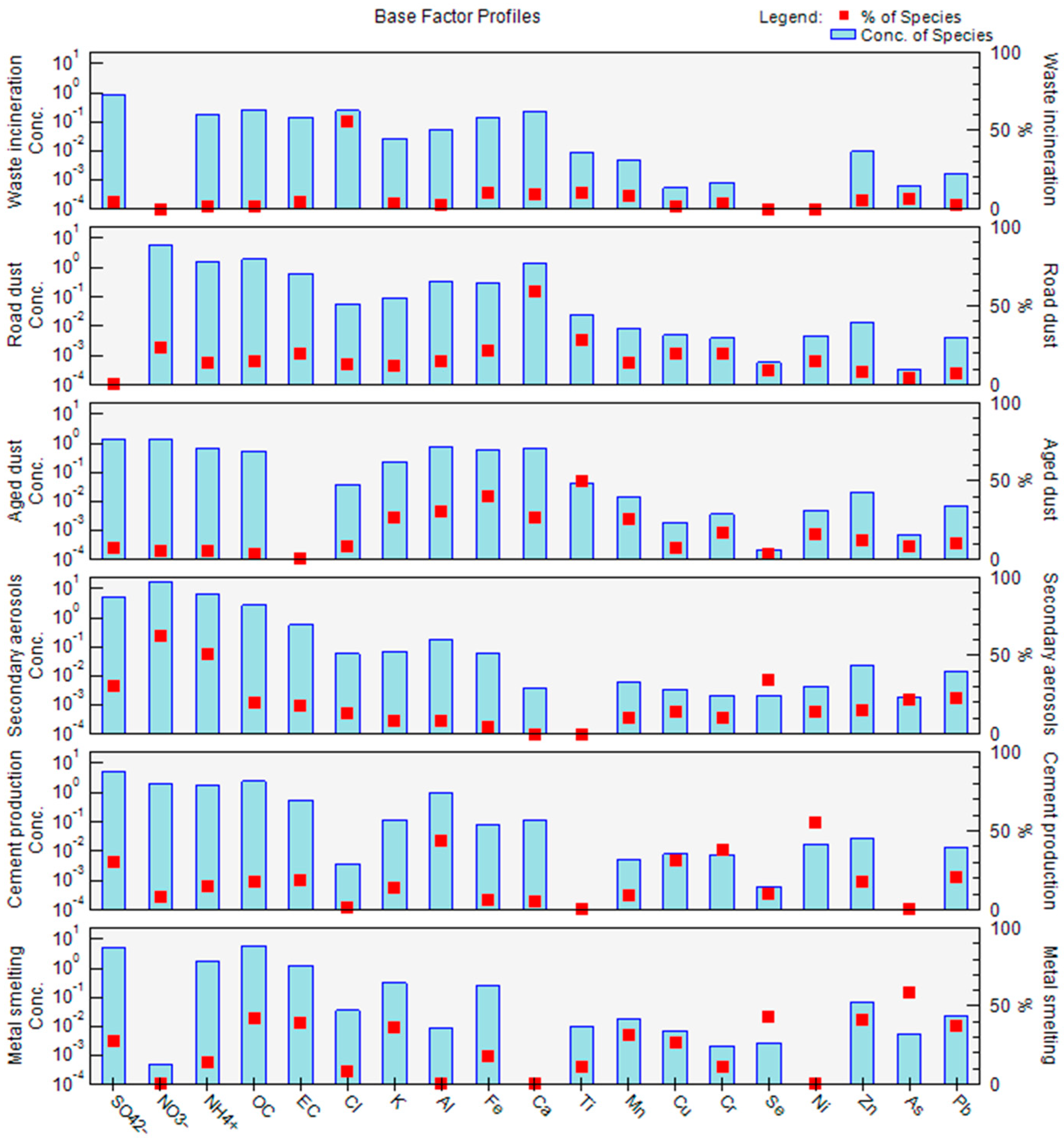
3.3.3. Source Identification by PMF
4. Conclusions
Author Contributions
Funding
Conflicts of Interest
References
- Dockery, D.W.; Pope, C.A.; Xu, S.P.; Spengler, J.D.; Ware, J.H.; Fay, M.E.; Ferris, B.G.; Speizer, F.E. An association between air pollution and mortality in six United States cities. N. Engl. J. Med. 1993, 329, 1753–1759. [Google Scholar] [CrossRef] [PubMed]
- Pope, C.A.; Bates, D.V.; Raizenne, M.E. Health effects of particulate air pollution: Time for reassessment? Environ. Health Perspect. 1995, 103, 1390–1406. [Google Scholar] [CrossRef] [PubMed]
- Zhou, J.; Ito, K.; Lall, R.; Lippmann, M.; Thurston, G. Time-series analysis of mortality effects of fine particulate matter components in Detroit and Seattle. Environ. Health Perspect. 2011, 119, 461–466. [Google Scholar] [CrossRef] [PubMed]
- Englert, N. Fine particles and human health–a review of epidemiological studies. Toxicol. Lett. 2004, 149, 235–242. [Google Scholar] [CrossRef]
- Sangiorgi, G.; Ferrero, L.; Ferrini, B.S.; Lo Porto, C.; Perrone, M.G.; Zangrando, R.; Gambaro, A.; Lazzati, Z.; Bolzacchini, E. Indoor airborne particle sources and semi-volatile partitioning effect of outdoor fine PM in offices. Atmos. Environ. 2013, 65, 205–214. [Google Scholar] [CrossRef]
- Zhang, Y.H.; Zhu, X.L.; Slanina, S.; Shao, M.; Zeng, L.M.; Hu, M.; Bergin, M.; Salmon, L. Aerosol pollution in some Chinese cities. Pure Appl. Chem. 2004, 76, 1227–1239. [Google Scholar] [CrossRef]
- Chan, C.K.; Yao, X.H. Air pollution in mega cities in China. Atmos. Environ. 2008, 42, 1–42. [Google Scholar] [CrossRef]
- Yang, F.; Tan, J.; Zhao, Q.; Du, Z.; He, K.; Ma, Y.; Duan, F.; Chen, G.; Zhao, Q. Characteristics of PM2.5 speciation in representative megacities and across China. Atmos. Chem. Phys. 2011, 11, 5207–5219. [Google Scholar] [CrossRef]
- Zhang, Y.L.; Cao, F. Fine particulate matter (PM2.5) in China at a city level. Sci. Rep. 2015, 5, 14884. [Google Scholar] [CrossRef]
- Cheng, Z.; Luo, L.N.; Wang, S.X.; Wang, Y.G.; Sharma, S.; Shimadera, H.; Wang, X.L.; Bressi, M.; de Miranda, R.M.; Jiang, J.K.; et al. Status and characteristics of ambient PM2.5 pollution in global megacities. Environ. Int. 2016, 89–90, 212–221. [Google Scholar] [CrossRef]
- Isley, C.F.; Nelson, P.F.; Taylor, M.P.; Mani, F.S.; Maata, M.; Atanacio, A.; Stelcer, E.; Cohen, D.D. PM2.5 and aerosol black carbon in Suva, Fiji. Atmos. Environ. 2017, 150, 55–66. [Google Scholar] [CrossRef]
- Klepeis, N.E.; Nelson, W.C.; Ott, W.R.; Robinson, J.P.; Tsang, A.M.; Switzer, P.; Behar, J.V.; Hern, S.C.; Engelmann, W.H. The National Human Activity Pattern Survey (NHAPS): A resource for assessing exposure to environmental pollutants. J. Expo. Anal. Environ. Epidemiol. 2001, 11, 231–252. [Google Scholar] [CrossRef] [PubMed]
- Adgate, J.L.; Ramachandran, G.; Pratt, G.; Waller, L.; Sexton, K. Spatial and temporal variability in outdoor, indoor, and personal PM2.5 exposure. Atmos. Environ. 2002, 36, 3255–3265. [Google Scholar] [CrossRef]
- Ohura, T.; Amagai, T.; Fusaya, M.; Matsushita, H. Polycyclic aromatic hydrocarbons in indoor and outdoor environments and factors affecting their concentrations. Environ. Sci. Technol. 2004, 38, 77–83. [Google Scholar] [CrossRef] [PubMed]
- Banerjee, S.; Annesi-Maesano, I. Spatial variability of indoor air pollutants in schools. A multilevel approach. Atmos. Environ. 2012, 61, 558–561. [Google Scholar] [CrossRef]
- Chi, C.C.; Chen, W.D.; Guo, M.; Weng, M.L.; Yan, G.; Shen, X.Y. Law and features of TVOC and Formaldehyde pollution in urban indoor air. Atmos. Environ. 2016, 132, 85–90. [Google Scholar] [CrossRef]
- Xu, J.; Szyszkowicz, M.; Jovic, B.; Cakmak, S.; Austin, C.C.; Zhu, J.P. Estimation of indoor and outdoor ratios of selected volatile organic compounds in Canada. Atmos. Environ. 2016, 141, 523–531. [Google Scholar] [CrossRef]
- Huang, S.D.; Wei, W.J.; Weschler, L.B.; Salthammer, T.; Kan, H.D.; Bu, Z.M.; Zhang, Y.P. Indoor formaldehyde concentrations in urban China: Preliminary study of some important influencing factors. Sci. Total Environ. 2017, 590–591, 394–405. [Google Scholar] [CrossRef]
- Huang, L.H.; Qian, H.; Deng, S.X.; Guo, J.F.; Li, Y.P.; Zhao, W.P.; Yue, Y. Urban residential indoor volatile organic compounds in summer, Beijing: Profile, concentration and source characterization. Atmos. Environ. 2018, 188, 1–11. [Google Scholar] [CrossRef]
- Villanueva, F.; Tapia, A.; Lara, S.; Amo-Salas, M. Indoor and outdoor air concentrations of volatile organic compounds and NO2 in schools of urban, industrial and rural areas in Central-Southern Spain. Sci. Total Environ. 2018, 622–623, 222–235. [Google Scholar] [CrossRef]
- Vu, D.C.; Ho, T.L.; Vo, P.H.; Bayati, M.; Davis, A.N.; Gulseven, Z.; Carlo, G.; Palermo, F.; McElroy, J.A.; Nagel, S.C.; et al. Assessment of indoor volatile organic compounds in Head Start child care facilities. Atmos. Environ. 2019, 215, 116900. [Google Scholar] [CrossRef]
- Cao, J.J.; Huang, H.; Lee, S.C.; Chow, J.C.; Zou, C.W.; Ho, K.F.; Watson, J.G. Indoor/outdoor relationships for organic and elemental carbon in pm2.5 at residential homes in guangzhou, China. Aerosol Air Qual. Res. 2012, 12, 902–910. [Google Scholar] [CrossRef]
- Chithr, V.S.; Shiva Nagendr, S.M. Chemical and morphological characteristics of indoor and outdoor particulate matter in an urban environment. Atmos. Environ. 2013, 77, 579–587. [Google Scholar] [CrossRef]
- Dong, C.; Yang, L.X.; Yan, C.; Yuan, Q.; Yu, Y.C.; Wang, W.X. Particle size distributions, PM2.5 concentrations and water soluble inorganic ions in different public indoor environments: A case study in Jinan, China. Front. Environ. Sci. Eng. 2013, 7, 55–65. [Google Scholar] [CrossRef]
- Buczyńska, A.J.; Krata, A.; Grieken, R.V.; Brown, A.; Polezer, G.; DeWael, K.; Potgieter-Vermaak, S. Composition of PM2.5 and PM1 on high and low pollution event days and its relation to indoor air quality in a home for the elderly. Sci. Total Environ. 2014, 490, 134–143. [Google Scholar] [CrossRef] [PubMed]
- Zhang, J.M.; Chen, J.M.; Yang, L.X.; Sui, X.; Yao, L.; Zheng, L.F.; Wen, L.; Xu, C.H.; Wang, W.X. Indoor PM2.5 and its chemical composition during a heavy haze-fog episode at Jinan, China. Atmos. Environ. 2014, 99, 641–649. [Google Scholar] [CrossRef]
- Zhu, Y.H.; Yang, L.X.; Meng, C.P.; Yuan, Q.; Yan, C.; Dong, C.; Sui, X.; Yao, L.; Yang, F.; Lu, Y.L.; et al. Indoor/outdoor relationships and diurnal/nocturnal variations in water-soluble ion and PAH concentrations in the atmospheric PM2.5 of a business office area in Jinan, a heavily polluted city in China. Atmos. Res. 2015, 153, 276–285. [Google Scholar] [CrossRef]
- Gao, P.; Lei, T.T.; Jia, L.M.; Song, Y.; Xing, Y.F.; Zhang, Z.H.; Yu, D.H.; Feng, Y.J.; Xing, B.S. Exposure assessment of PM2.5 during winter in outdoor and indoor environments of research center: Spatial-temporal distribution, carbonaceous compositions and contributions of infiltration. Sci. Total Environ. 2016, 573, 854–861. [Google Scholar] [CrossRef]
- Xu, H.M.; Guinot, B.; Cao, J.J.; Li, Y.Q.; Niu, X.Y.; Ho, K.F.; Shen, Z.X.; Liu, S.X.; Zhang, T.; Lei, Y.L.; et al. Source, health risk and composition impact of outdoor very fine particles (VFPs) to school indoor environment in Xi’an, Northwestern China. Sci. Total Environ. 2018, 612, 238–246. [Google Scholar] [CrossRef]
- Wang, X.H.; Bi, X.H.; Sheng, G.Y.; Fu, J.M. Hospital indoor PM10/PM2.5 and associated trace elements in Guangzhou, China. Sci. Total Environ. 2006, 366, 124–135. [Google Scholar] [CrossRef]
- Fromme, H.; Diemer, J.; Dietrich, S.; Cyrys, J.; Heinrich, J.; Lang, W.; Kiranoglu, M.; Twardella, D. Chemical and morphological properties of particulate matter (PM10, PM2.5) in school classrooms and outdoor air. Atmos. Environ. 2008, 42, 6597–6605. [Google Scholar] [CrossRef]
- Polidori, A.; Cheung, K.L.; Arhami, M.; Delfino, R.J.; Schauer, J.J.; Sioutas, C. Relationships between size-fractionated indoor and outdoor trace elements at four retirement communities in southern California. Atmos. Chem. Phys. 2009, 9, 4521–4536. [Google Scholar] [CrossRef]
- Wang, S.X.; Wei, W.; Li, D.; Aunan, K.; Hao, J.M. Air Pollutants in rural homes in Guizhou, China—Concentrations, speciation, and size distribution. Atmos. Environ. 2010, 44, 4575–4581. [Google Scholar] [CrossRef]
- Saraga, D.; Maggos, T.; Sfetsos, A.; Tolis, E.; Andronopoulos, S.; Bartzis, J.; Vasilakos, C. PAHs sources contribution to the air quality of an office environment: Experimental results and receptor model (PMF) application. Air Qual. Atmos. Health 2010, 3, 225–234. [Google Scholar] [CrossRef]
- Li, Z.S.; Wen, Q.M.; Zhang, R.L. Sources, health effects and control strategies of indoor fine particulate matter (PM2.5): A review. Sci. Total Environ. 2017, 586, 610–622. [Google Scholar] [CrossRef]
- Martins, N.R.; da Graca, G.C. Impact of PM2.5 in indoor urban environments: A review. Sustain. Cities Soc. 2018, 42, 259–275. [Google Scholar] [CrossRef]
- Chen, C.; Zhao, B. Review of relationship between indoor and outdoor particles: I/O ratio, infiltration factor and penetration factor. Atmos. Environ. 2011, 45, 275–288. [Google Scholar] [CrossRef]
- Diapouli, E.; Chaloulakou, A.; Koutrakis, P. Estimating the concentration of indoor particles of outdoor origin: A review. J. Air Waste Manag. Assoc. 2013, 63, 1113–1129. [Google Scholar] [CrossRef]
- Rivas, M.; Viana, T.; Moreno, L.; Bouso, M.; Pandolfi, M.; Alvarez-Pedrerol, J.; Forns, A.; Alastuey, J.; Sunyer, X. Outdoor infiltration and indoor contribution of UFP and BC, OC, secondary inorganic ions and metals in PM2.5 in schools. Atmos. Environ. 2015, 106, 129–138. [Google Scholar] [CrossRef]
- Assimakopoulos, V.D.; Bekiari, T.; Pateraki, S.; Maggos, T.; Stamatis, P.; Nicolopoulou, P.; Assimakopoulos, M.N. Assessing personal exposure to PM using data from an integrated indoor-outdoor experiment in Athens-Greece. Sci. Total Environ. 2018, 636, 1303–1320. [Google Scholar] [CrossRef]
- Zwoździak, A.; Sówka, I.; Krupińska, B.; Zwoździak, J.; Nych, A. Infiltration or indoor sources as determinants of the elemental composition of particulate matter inside a school in Wrocław, Poland? Build. Environ. 2013, 66, 173–180. [Google Scholar] [CrossRef]
- Custodio, D.; Pinho, I.; Cerqueira, M.; Nunes, T.; Pio, C. Indoor and outdoor suspended particulate matter and associated carbonaceous species at residential homes in northwestern Portugal. Sci. Total Environ. 2014, 473–474, 72–76. [Google Scholar] [CrossRef] [PubMed]
- Meng, Q.Y.; Spector, D.; Colome, S.; Turpin, B. Determinants of indoor and personal exposure to PM2.5 of indoor and outdoor origin during the RIOPA study. Atmos. Environ. 2009, 43, 5750–5758. [Google Scholar] [CrossRef] [PubMed]
- Jeong, C.H.; Salehi, S.; Wu, J.; North, M.L.; Kim, J.S.; Chow, C.W.; Evans, G.J. Indoor measurements of air pollutants in residential houses in urban and suburban areas: Indoor versus ambient concentrations. Sci. Total Environ. 2019, 693, 133446. [Google Scholar] [CrossRef]
- Li, C.L.; Fu, J.M.; Sheng, G.Y.; Bi, X.H.; Hao, Y.M.; Wang, X.M.; Mai, B.X. Vertical distribution of PAHs in the indoor and outdoor PM2.5 in Guangzhou, China. Build. Environ. 2005, 40, 329–341. [Google Scholar] [CrossRef]
- Wang, Y.; Zhang, Q.Q.; He, K.; Zhang, Q.; Chai, L. Sulfate-nitrate-ammonium aerosols over China: Response to 2000–2015 emission changes of sulfur dioxide, nitrogen oxides, and ammonia. Atmos. Chem. Phys. 2013, 13, 2635–2652. [Google Scholar] [CrossRef]
- Li, C.; McLinden, C.; Fioletov, V.; Krotkov, N.; Carn, S.; Joiner, J.; Streets, D.; He, H.; Ren, X.; Li, Z.; et al. India Is Overtaking China as the World’s Largest Emitter of Anthropogenic Sulfur Dioxide. Sci. Rep. 2017, 7, 14304. [Google Scholar] [CrossRef]
- Wen, L.; Xue, L.K.; Wang, X.X.; Xu, C.H.; Chen, T.S.; Yang, L.X.; Wang, T.; Zhang, Q.Z.; Wang, W.X. Summertime fine particulate nitrate pollution in the North China Plain: Increasing trends, formation mechanisms and implications for control policy. Atmos. Chem. Phys. 2018, 18, 11261–11275. [Google Scholar] [CrossRef]
- Nie, W.; Wang, T.; Gao, X.M.; Pathak, R.K.; Wang, X.F.; Gao, R.; Zhang, Q.Z.; Yang, L.X.; Wang, W.X. Comparison among filter-based, impactor based and continuous techniques for measuring atmospheric fine sulfate and nitrate. Atmos. Environ. 2010, 44, 4396–4403. [Google Scholar] [CrossRef]
- Zhou, Y.; Wang, T.; Gao, X.M.; Xue, L.K.; Wang, X.F.; Wang, Z.; Gao, J.; Zhang, Q.Z.; Wang, W.X. Continuous observations of water-soluble ions in PM2.5 at Mount Tai (1534 m a.s.l.) in central-eastern China. J. Atmos. Chem. 2010, 64, 107–127. [Google Scholar] [CrossRef]
- Wang, Z.; Wang, T.; Gao, R.; Xue, L.K.; Guo, J.; Zhou, Y.; Nie, W.; Wang, X.F.; Xu, P.J.; Gao, J.; et al. Source and variation of carbonaceous aerosols at Mount Tai, North China: Results from a semicontinuous instrument. Atmos. Environ. 2011, 45, 1655–1667. [Google Scholar] [CrossRef]
- Norris, G.; Duvall, R.; Brown, S.; Bai, S. EPA-Positive Matrix Factorization (PMF) 5.0 Fundamentals and User Guide; U.S. Environmental Protection Agency: Washington, DC, USA, 2014.
- Wang, Q.Q.; He, X.; Huang, X.H.; Griffith, S.M.; Feng, Y.M.; Zhang, T.; Zhang, Q.Y.; Wu, D.; Yu, J.Z. Impact of Secondary Organic Aerosol Tracers on Tracer-Based Source Apportionment of Organic Carbon and PM2.5: A Case Study in the Pearl River Delta, China. ACS Earth Space Chem. 2017, 1, 562–571. [Google Scholar] [CrossRef]
- World Health Organization. Air Quality Guidelines-Global Update 2005: Particulate Matter, Ozone, Nitrogen Dioxide and Sulfur Dioxide; WHO Regional Office for Europe: Copenhagen, Denmark, 2006; ISBN 92-890-21926. Available online: http://www.euro.who.int/_data/assets/pdf_file/0005/78638/E90038.pdf (accessed on 20 August 2020).
- Cheng, S.H.; Yang, L.X.; Zhou, X.H.; Wang, Z.; Zhou, Y.; Gao, X.M.; Nie, W.; Wang, X.X.; Xu, P.J.; Wang, W.X. Evaluating PM2.5 ionic components and source apportionment in Jinan, China from 2004 to 2008 using trajectory statistical methods. J. Environ. Monit. 2011, 13, 1662. [Google Scholar] [CrossRef] [PubMed]
- USEPA (United States Environmental Protection Agency). Human Health Evaluation Manual. EPA/540/1–89/002. Risk Assessment Guidance for Superfund; U.S. Environmental Protection Agency: Washington, DC, USA, 1989; Volume I.
- Yang, Y.L.; Cheng, S.H.; Wang, X.F.; Nie, W.; Xu, P.J.; Gao, X.M.; Yuan, C.; Wang, W.X. Source identification and health impact of PM2.5 in a heavily polluted urban atmosphere in China. Atmos. Environ. 2013, 75, 265–269. [Google Scholar] [CrossRef]
- Setyan, A.; Patrick, M.; Wang, J. Very low emissions of airborne particulate pollutants measured from two municipal solid waste incineration plants in Switzerland. Atmos. Environ. 2017, 166, 99–109. [Google Scholar] [CrossRef]
- Liu, Y.M.; Fan, Q.; Chen, X.Y.; Zhao, J.; Ling, Z.H.; Hong, Y.Y.; Li, W.B.; Chen, X.L.; Wang, M.J.; Wei, X.L. Modeling the impact of chlorine emissions from coal combustion and prescribed waste incineration on tropospheric ozone formation in China. Atmos. Chem. Phys. 2018, 18, 2709–2724. [Google Scholar] [CrossRef]
- Lough, G.C.; Schauer, J.J.; Park, J.S.; Shafer, M.M.; Deminter, J.T.; Weinstein, J.P. Emissions of metal associated with motor vehicle roadways. Environ. Sci. Technol. 2005, 39, 826–836. [Google Scholar] [CrossRef]
- Morishita, M.; Keeler, G.J.; Wagner, J.G.; Harkema, J.R. Source identification of ambient PM2.5 during summer inhalation exposure studies in Detroit, MI. Atmos. Environ. 2006, 40, 3823–3834. [Google Scholar] [CrossRef]
- Duan, J.C.; Tan, J.H. Atmospheric heavy metals and Arsenic in China: Situation, sources and control policies. Atmos. Environ. 2013, 74, 93–101. [Google Scholar] [CrossRef]
- Liu, B.S.; Song, N.; Dai, Q.L.; Mei, R.B.; Sui, B.H.; Bi, X.H.; Feng, Y.C. Chemical composition and source apportionment of ambient PM2.5 during the non-heating period in Taian, China. Atmos. Res. 2016, 170, 23–33. [Google Scholar] [CrossRef]
- Lim, J.M.; Lee, J.H.; Moon, J.H.; Chung, Y.S.; Kin, K.H. Source apportionment of PM10 at a small industrial area using Positive Matrix Factorization. Atmos. Res. 2010, 95, 88–100. [Google Scholar] [CrossRef]
- Alleman, L.Y.; Lamaison, L.; Perdri, E.; Robache, A.; Galloo, J.C. PM10 metal concentrations and source identification using positive matrix. Atmos. Res. 2010, 96, 612–625. [Google Scholar] [CrossRef]








| Indoor | Outdoor | |||||
|---|---|---|---|---|---|---|
| Species | 24 h Mean (N = 20) | Day Mean (N = 13) | Night Mean (N = 13) | 24 h Mean (N = 20) | Day Mean (N = 13) | Night Mean (N = 13) |
| PM2.5 | 69.03 ± 50.47 | 85.65 ± 52.87 | 79.70 ± 56.31 | 128.74 ± 67.94 | 146.92 ± 78.01 | 148.42 ± 71.95 |
| SO42− | 14.55 ± 6.92 | 18.25 ± 7.10 | 16.46 ± 7.82 | 17.73 ± 9.27 | 22.62 ± 10.22 | 20.65 ± 10.05 |
| NO3− | 14.00 ± 7.80 | 17.72 ± 8.61 | 14.37 ± 7.48 | 34.39 ± 16.37 | 41.58 ± 17.55 | 40.63 ± 15.80 |
| Cl− | 1.01 ± 0.45 | 1.18 ± 0.38 | 0.92 ± 0.43 | 2.71 ± 1.74 | 3.33 ± 2.19 | 3.11 ± 2.21 |
| F− | 0.41 ± 0.18 | 0.52 ± 0.26 | 0.41 ± 0.21 | 0.44 ± 0.20 | 0.59 ± 0.33 | 0.48 ± 0.19 |
| NO2− | 0.59 ± 0.21 | 0.75 ± 0.05 | 0.61 ± 0.27 | 0.60 ± 0.21 | 0.75 ± 0.06 | 0.62 ± 0.30 |
| Na+ | 0.47 ± 0.22 | 0.55 ± 0.25 | 0.50 ± 0.26 | 0.51 ± 0.23 | 0.62 ± 0.30 | 0.55 ± 0.27 |
| NH4+ | 8.20 ± 4.90 | 10.11 ± 5.07 | 9.50 ± 5.91 | 15.04 ± 8.03 | 18.70 ± 9.15 | 17.74 ± 8.34 |
| K+ | 0.83 ± 0.45 | 1.00 ± 0.45 | 1.04 ± 0.47 | 1.11 ± 0.55 | 1.33 ± 0.64 | 1.38 ± 0.57 |
| Mg2+ | 0.14 ± 0.13 | 0.15 ± 0.16 | 0.15 ± 0.13 | 0.29 ± 0.20 | 0.33 ± 0.28 | 0.34 ± 0.19 |
| Ca2+ | 1.50 ± 0.81 | 1.52 ± 0.72 | 1.41 ± 0.72 | 2.42 ± 0.86 | 2.68 ± 1.07 | 2.16 ± 1.10 |
| OC | 11.46 ± 5.62 | 13.53 ± 6.20 | 13.96 ± 5.86 | 14.88 ± 7.80 | 16.98 ± 9.40 | 18.55 ± 8.81 |
| EC | 2.53 ± 1.06 | 2.86 ± 1.23 | 2.92 ± 1.10 | 3.53 ± 1.56 | 3.63 ± 1.98 | 4.24 ± 1.56 |
| Indoor | Outdoor | |||||
|---|---|---|---|---|---|---|
| Elements | Children (2–6 Years) | Children (6–12 Years) | Older Adults | Children (2–6 Years) | Children (6–12 Years) | Older Adults |
| S | 0.15 | 0.16 | 0.12 | 0.19 | 0.19 | 0.14 |
| V | 6.61 × 10−5 | 6.71 × 10−5 | 5.02 × 10−5 | 8.16 × 10−5 | 8.29 × 10−5 | 6.20 × 10−5 |
| Cr | 0.14 | 0.14 | 0.10 | 0.16 | 0.16 | 0.12 |
| Mn | 0.28 | 0.28 | 0.21 | 0.35 | 0.35 | 0.26 |
| Ni | 3.18 × 10−4 | 3.22 × 10−4 | 2.41 × 10−4 | 3.33 × 10−4 | 3.38 × 10−4 | 2.53 × 10−4 |
| Cu | 1.24 × 10−4 | 1.25 × 10−4 | 9.38 × 10−5 | 1.50 × 10−4 | 1.52 × 10−4 | 1.14 × 10−4 |
| Zn | 1.20 × 10−4 | 1.22 × 10−4 | 9.13 × 10−5 | 1.37 × 10−4 | 1.39 × 10−4 | 1.04 × 10−4 |
| Pb | 3.31 × 10−3 | 3.36 × 10−3 | 2.51 × 10−3 | 4.22 × 10−3 | 4.28 × 10−3 | 3.20 × 10−3 |
| As | 5.94 × 10−3 | 6.03 × 10−3 | 4.51 × 10−3 | 7.69 × 10−3 | 7.80 × 10−3 | 5.83 × 10−3 |
| Co | 0.21 | 0.21 | 0.16 | 0.19 | 0.19 | 0.14 |
| Total | 0.78 | 0.80 | 0.59 | 0.90 | 0.91 | 0.68 |
© 2020 by the authors. Licensee MDPI, Basel, Switzerland. This article is an open access article distributed under the terms and conditions of the Creative Commons Attribution (CC BY) license (http://creativecommons.org/licenses/by/4.0/).
Share and Cite
Gao, X.; Gao, W.; Sun, X.; Jiang, W.; Wang, Z.; Li, W. Measurements of Indoor and Outdoor Fine Particulate Matter during the Heating Period in Jinan, in North China: Chemical Composition, Health Risk, and Source Apportionment. Atmosphere 2020, 11, 885. https://doi.org/10.3390/atmos11090885
Gao X, Gao W, Sun X, Jiang W, Wang Z, Li W. Measurements of Indoor and Outdoor Fine Particulate Matter during the Heating Period in Jinan, in North China: Chemical Composition, Health Risk, and Source Apportionment. Atmosphere. 2020; 11(9):885. https://doi.org/10.3390/atmos11090885
Chicago/Turabian StyleGao, Xiaomei, Weidong Gao, Xiaoyan Sun, Wei Jiang, Ziyi Wang, and Wenshuai Li. 2020. "Measurements of Indoor and Outdoor Fine Particulate Matter during the Heating Period in Jinan, in North China: Chemical Composition, Health Risk, and Source Apportionment" Atmosphere 11, no. 9: 885. https://doi.org/10.3390/atmos11090885
APA StyleGao, X., Gao, W., Sun, X., Jiang, W., Wang, Z., & Li, W. (2020). Measurements of Indoor and Outdoor Fine Particulate Matter during the Heating Period in Jinan, in North China: Chemical Composition, Health Risk, and Source Apportionment. Atmosphere, 11(9), 885. https://doi.org/10.3390/atmos11090885
