Inversion Method of Regional Range-Dependent Surface Ducts with a Base Layer by Doppler Weather Radar Echoes Based on WRF Model
Abstract
1. Introduction
2. Equivalent Reflectivity Factor Measured by the Doppler Weather Radar
3. Numerical Simulation of Tropospheric Duct Based on the WRF Model
3.1. Brief Description of the WRF Model
3.2. Modified Refractivity Profile Model for Surface Ducts
3.3. Modeling Results of the Tropospheric Duct Parameters
4. Inversion Model of the Regional Range-Dependent Surface Duct with a Base Layer
4.1. Sea Clutter Power
4.2. Horizontal Inhomogeneity of Duct Parameters
4.3. Inversion Process
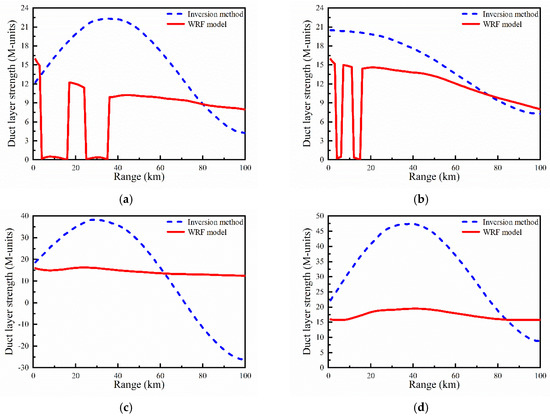
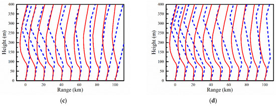
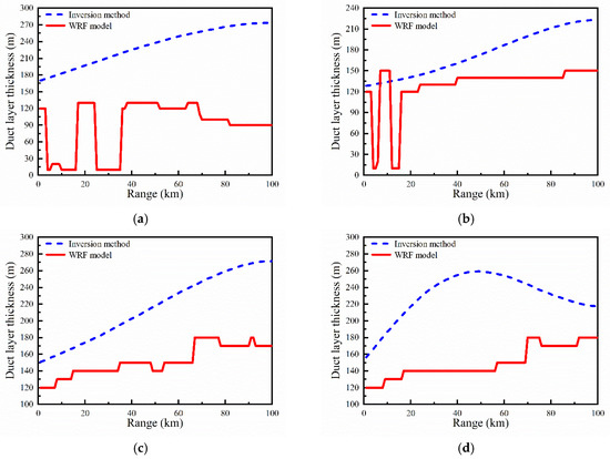
5. Results and Discussion
6. Conclusions
Author Contributions
Funding
Acknowledgments
Conflicts of Interest
References
- Sirkova, I. Anomalous tropospheric propagation: Usage possibilities and limitations in radar and wireless communications systems. In Proceedings of the 10th Jubilee International Conference of the Balkan Physical Union, Sofia, Bulgaria, 26–30 August 2018; Volume 2075, pp. 120017-1–120017-6. [Google Scholar]
 - Bech, J.; Codina, B.; Lorente, J. Forecasting weather radar propagation conditions. Meteor. Atmos. Phys. 2007, 96, 229–243. [Google Scholar] [CrossRef]
 - Sirkova, I. Duct occurrence and characteristics for Bulgarian Black sea shore derived from ECMWF data. J. Atmos. Sol. Terr. Phy. 2015, 135, 107–117. [Google Scholar] [CrossRef]
 - Ullah, A.; Rehman, S.U.; Mufti, N. Investigations into the occurrence of elevated ducts in lower atmosphere near Arabian Sea. In Proceedings of the International Conference on Space Science and Communication, Langkawi, Malaysia, 10–12 August 2015; pp. 128–131. [Google Scholar]
 - Rehman, S.U.; Mufti, N. Investigations into the occurrence of evaporation ducts near Karachi. In Proceedings of the International Conference on Communication Technologies, Azad Rashmir Rawalpindi, Pakistan, 19–21 April 2017; pp. 34–38. [Google Scholar]
 - Mesnard, F.; Sauvageot, H. Climatology of anomalous propagation radar echoes in a coastal area. J. Appl. Meteor. Climatol. 2010, 49, 2285–2300. [Google Scholar] [CrossRef]
 - Huuskonen, A.; Saltikoff, E.; Holleman, I. The operational weather radar network in Europe. Bull. Am. Meteor. Soc. 2014, 95, 897–907. [Google Scholar] [CrossRef]
 - Bruen, M. Using radar information in hydrological modeling: COST 717 WG-1 activities. Phys. Chem. Earth B 2000, 25, 1305–1310. [Google Scholar] [CrossRef]
 - Macphersonc, B. Radar data in NWP models, an outline of COST-717 working group 3. Phys. Chem. Earth B 2000, 25, 1225–1227. [Google Scholar] [CrossRef]
 - Saltikof, E.; Huuskonen, A.; Hohti, H.; Koistinen, J.; Järvinen, H. Quality assurance in the FMI Doppler Weather radar network. Boreal Env. Res. 2010, 15, 579–594. [Google Scholar]
 - Werner, M. A new radar data post-processing quality control workflow for the DWD Weather Radar Network. In Proceedings of the 8th European Conference on Radar in Meteorology and Hydrology, Garmisch-Partenkirchen, Germany, 1–5 September 2014; Volume DAC.P04. [Google Scholar]
 - Szturc, J.; Ośródka, K.; Jurczyk, A. Quality control algorithms applied on weather radar reflectivity data. In Doppler Radar Observations-Weather Radar, Wind Profiler, Ionospheric Radar, and Other Advanced Applications; Bech, J., Chau, J.L., Eds.; InTech: Rijeka, Croatia, 2012; pp. 289–306. [Google Scholar]
 - Moisseev, D.N.; Chandrasekar, V. Polarimetric spectral filter for adaptive clutter and noise suppression. J. Atmos. Oceanic Technol. 2009, 26, 215–228. [Google Scholar] [CrossRef]
 - Torres, S.M.; Warde, D.A. Ground clutter mitigation for weather radars using the autocorrelation spectral density. J. Atmos. Oceanic Technol. 2014, 31, 2049–2066. [Google Scholar] [CrossRef]
 - Prtenjak, M.T.; Horvat, I.; Tomažić, I.; Kvakić, M.; Viher, M.; Grisogono, B. Impact of mesoscale meteorological processes on anomalous radar propagation conditions over the northern Adriatic area. J. Geophys. Res. Atmos. 2015, 120, 8759–8782. [Google Scholar] [CrossRef]
 - Stagliano, J.; Kerce, J.C.; Hall, G.M.; Bock, R.D.; Holder, E.J.; Dugas, S.F.; Vandenberghe, F. Prediction and mitigation of anomalous propagation with the Total Atmospheric Effects Mitigation (TAEM) system. In Proceedings of the 24th International Interactive Information and Processing Systems (IIPS) for Meteorology, Oceanography, and Hydrology, New Orleans, LA, USA, 21 January 2008; pp. 20–24. [Google Scholar]
 - Peter, J.R.; Seed, A.; Steinle, P.J. Application of a Bayesian classifier of anomalous propagation to single-polarization radar reflectivity data. J. Atmos. Oceanic Technol. 2013, 30, 1985–2005. [Google Scholar] [CrossRef][Green Version]
 - Rowland, J.R.; Konstanzer, G.C.; Neves, M.R.; Miller, R.E.; Meyer, J.H.; Rottier, J.R. SEAWASP: Refractivity characterization using shipboard sensors. In Proceedings of the Battlespace Atmospherics Conference, San Diego, CA, USA, 3–5 December 1996; Volume 2938, pp. 155–164. [Google Scholar]
 - Burk, S.D.; Thompson, W.T. Mesoscale modeling of summertime refractive conditions in the Southern California Bight. J. Appl. Meteorol. 1997, 36, 22–31. [Google Scholar] [CrossRef]
 - Wang, W.; Bruyère, C.; Duda, M.; Dudhia, J.; Gill, D.; Kavulich, M.; Keene, K.; Lin, H.C.; Michalakes, J.; Rizvi, S.; et al. WRF-ARW Version 3 Modeling System User’s Guide; Mesoscale and Microscale Meteorology Division, National Center for Atmospheric Research: Boulder, CO, USA, 2015. [Google Scholar]
 - Yang, S.B.; Li, X.F.; Wu, C.; He, X.; Zhong, Y. Application of the PJ and NPS evaporation duct models over the South China Sea (SCS) in winter. PLoS ONE 2017, 12, e0172284. [Google Scholar] [CrossRef] [PubMed]
 - Zhang, J.P.; Wu, Z.S.; Zhu, Q.L.; Wang, B. A four-parameter M-profile model for the evaporation duct estimation from radar clutter. Prog. Electromagn. Res. 2011, 114, 353–368. [Google Scholar] [CrossRef]
 - Zhao, X.F.; Huang, S.X. Atmospheric duct estimation using radar sea clutter returns by the adjoint method with regularization technique. J. Atmos. Ocean. Tech. 2014, 31, 1250–1262. [Google Scholar] [CrossRef]
 - Fountoulakis, V.; Earls, C. Inverting for maritime environments using proper orthogonal bases from sparsely sampled electromagnetic propagation data. IEEE Trans. Geosci. Remote Sens. 2016, 54, 7166–7176. [Google Scholar] [CrossRef]
 - Compaleo, J.; Yardim, C.; Xu, L.Y.; Wijesundara, S.; Johnson, J.; Burkholde, B.; Wang, Q.; Alappattu, D. Preliminary refractivity from clutter (RFC) evaporation duct inversion results from CASPER west experiment. In Proceedings of the IEEE Radar Conference, Oklahoma City, OK, USA, 23–27 April 2018; pp. 1516–1521. [Google Scholar]
 - Marshall, R.E.; Thornton, W.D.; Lefurjah, G.; Casey, T.S. Modeling and simulation of notional future radar in non-standard propagation environments facilitated by mesoscale numerical weather prediction modeling. Nav. Eng. J. 2008, 120, 55–66. [Google Scholar] [CrossRef]
 - Benzon, H.H.; Bovith, T. Simulation and prediction of weather radar clutter using a wave propagator on high resolution NWP data. IEEE Trans. Antennas Propag. 2008, 56, 3885–3890. [Google Scholar] [CrossRef]
 - Shi, Y.; Yang, K.D.; Yang, Y.X.; Ma, Y.L. Experimental verification of effect of horizontal inhomogeneity of evaporation duct on electromagnetic wave propagation. Chin. Phys. B 2015, 24, 044102. [Google Scholar] [CrossRef]
 - Wang, L.; Yuan, Y.; Zhu, M. Study on the propagation characteristics of electromagnetic waves in horizontally inhomogeneous environment. In Electronics and Signal Processing; Hu, W., Ed.; Springer: Berlin, Germany, 2011; Volume LNEE 97, pp. 913–920. [Google Scholar]
 - Stark, H.; Woods, J.W. Probability and Random Processes with Applications to Signal Processing, 3rd ed.; Prentice Hall: Upper Saddle River, NJ, USA, 2001; pp. 518–524. [Google Scholar]
 - Tabrikian, J.; Krolik, J.L.; Vasudevan, S. Estimating tropospheric refractivity parameters from radar sea clutter. In Proceedings of the IEEE Signal Processing Workshop on Higher-Order Statistics, Caesarea, Israel, 16 June 1999; pp. 345–348. [Google Scholar]
 - Vasudevan, S.; Krolik, J.L. Refractivity estimation from radar clutter by sequential importance sampling with a Markov model for microwave propagation. In Proceedings of the IEEE International Conference on Acoustics, Speech, and Signal Processing, Salt Lake City, UT, USA, 7–11 May 2001; Volume 5, pp. 2905–2908. [Google Scholar]
 - Vasudevan, S.; Anderson, R.H.; Kraut, S.; Gerstoft, P.; Rogers, L.T.; Krolik, J.L. Recursive Bayesian electromagnetic refractivity estimation from radar sea clutter. Radio Sci. 2007, 42, RS2014. [Google Scholar] [CrossRef]
 - Gerstoft, P.; Rogers, L.T.; Krolik, J.L.; Hodgkiss, W.S. Inversion for refractivity parameters from radar sea clutter. Radio Sci. 2003, 38, 8053. [Google Scholar] [CrossRef]
 - Blum, C.; Li, X.D. Swarm Intelligence in Optimization. In Swarm Intelligence: Introduction and Applications; Blum, C., Merkle, D., Eds.; Springer Verlag: Berlin, Germany, 2008; pp. 43–85. [Google Scholar]
 - Battan, L.J. Radar Observation of the Atmosphere; The University of Chicago Press: Chicago, IL, USA, 1973; pp. 29–44. [Google Scholar]
 - Skamarock, W.C.; Klemp, J.B.; Dudhia, J.; Gill, D.O.; Barker, D.M.; Duda, M.G.; Huang, X.Y.; Wang, W.; Powers, J.G. A Description of the Advanced Research WRF Version 3; Mesoscale and Microscale Meteorology Division, National Center for Atmospheric Research: Boulder, CO, USA, 2008. [Google Scholar]
 - Bean, B.R.; Dutton, E.J. Radio Meteorology; Dover Publications: New York, NY, USA, 1968; p. 435. [Google Scholar]
 - Skolnik, M.I. Radar Handbook, 3rd ed.; McGraw-Hill: New York, NY, USA, 2008. [Google Scholar]
 - Levy, M. Parabolic Equation Methods for Electromagnetic Wave Propagation; The Institution of Engineering and Technology: London, UK, 2000. [Google Scholar]
 - Anderson, R.; Vasudevan, S.; Krolik, J.L.; Rogers, L.T. Maximum a posteriori refractivity estimation from radar clutter using a Markov model for microwave propagation. In Proceedings of the IEEE International Geoscience and Remote Sensing Symposium, Sydney, Ausralia, 9–13 July 2001; Volume 2, pp. 906–909. [Google Scholar]
 



















| Parameters | Values | 
|---|---|
| Frequency (GHz) | 3.0 | 
| Elevation (deg.) | 0.48 | 
| Height (m) | 169 | 
| Transmitted power (kW) | 700 | 
| Antenna gain (dB) | 45 | 
| Horizontal beam width (deg.) | 1.0 | 
| Vertical beam width (deg.) | 1.0 | 
| Pulse duration (μs) | 1.0 | 
© 2020 by the authors. Licensee MDPI, Basel, Switzerland. This article is an open access article distributed under the terms and conditions of the Creative Commons Attribution (CC BY) license (http://creativecommons.org/licenses/by/4.0/).
Share and Cite
Liu, X.; Wu, Z.; Wang, H. Inversion Method of Regional Range-Dependent Surface Ducts with a Base Layer by Doppler Weather Radar Echoes Based on WRF Model. Atmosphere 2020, 11, 754. https://doi.org/10.3390/atmos11070754
Liu X, Wu Z, Wang H. Inversion Method of Regional Range-Dependent Surface Ducts with a Base Layer by Doppler Weather Radar Echoes Based on WRF Model. Atmosphere. 2020; 11(7):754. https://doi.org/10.3390/atmos11070754
Chicago/Turabian StyleLiu, Xiaozhou, Zhensen Wu, and Hongguang Wang. 2020. "Inversion Method of Regional Range-Dependent Surface Ducts with a Base Layer by Doppler Weather Radar Echoes Based on WRF Model" Atmosphere 11, no. 7: 754. https://doi.org/10.3390/atmos11070754
APA StyleLiu, X., Wu, Z., & Wang, H. (2020). Inversion Method of Regional Range-Dependent Surface Ducts with a Base Layer by Doppler Weather Radar Echoes Based on WRF Model. Atmosphere, 11(7), 754. https://doi.org/10.3390/atmos11070754
        
