Relationship of Weather Types on the Seasonal and Spatial Variability of Rainfall, Runoff, and Sediment Yield in the Western Mediterranean Basin
Abstract
1. Introduction
2. Experiments
2.1. Data
2.2. Method
3. Results
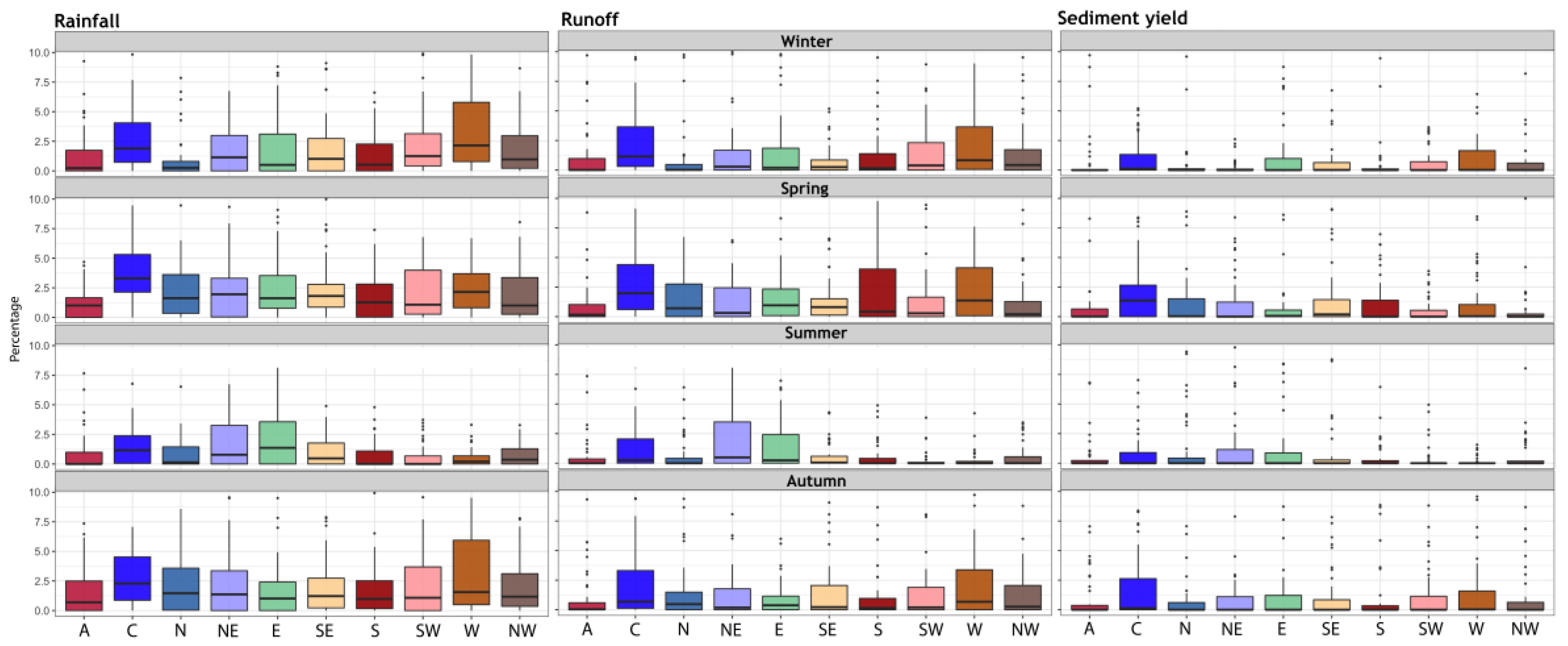
3.1. Temporal Relationships between Rainfall, Runoff, and Sediment Yield with Weather Types
3.2. Seasonal Efficiency of Weather Types to Produce Rainfall, Runoff, and Sediment Yield
4. Discussion
4.1. Seasonal Differences in the Contribution of Rainfall, Runoff, and Sediment Yield Produced by the Weather Types
4.2. Seasonal Efficiency of the Different Weather Types Related to Rainfall, Runoff, and Sediment Yield
5. Conclusions
- ▪
- The most frequent WTs is the anticyclonic, however it tends to produce a small number of rainfall events, and does not significantly contribute to the rainfall, runoff, and sediment yield (low efficiency).
- ▪
- Westerly WTs (NW, W, and SW) predominate throughout the western Mediterranean basin and generate the highest rainfall, runoff, and sediment yield during the cold period (winter and autumn).
- ▪
- Easterly WTs (NE, E, and SE) dominate rainfall, runoff, and sediment yield production during the warmer seasons (spring and summer).
- ▪
- The spatial influence of the westerly WTs is particularly large, except in the eastern study area, during the cold period, and decreases in summer. Cyclonic WTs spread their influence over extensive areas of the western Mediterranean region. The easterly WTs predominate during the warm period and it is located on the Mediterranean coast of the study area. Other WTs provide a more localized contribution over relative narrow areas.
- ▪
- Similar patterns for rainfall and runoff configurations were observed for sediment yield, although the last was influenced by a very marked spatial and temporal variability.
- ▪
- This study indicates that the WTs analyses offer a high potential research for the design of water resources management and soil erosion measurements, because they play a key role on determining rainfall, runoff, and sediment yield response and its temporal and spatial patterns. Finally, the results suggest that the WTs approach could be a useful tool for soil erosion modelling research and climate model scenarios.
Supplementary Materials
Author Contributions
Funding
Acknowledgments
Conflicts of Interest
References
- Esteban, P.; Jones, P.D.; Mases, M.; Martín-Vide, J. Atmospheric circulation patterns related to heavy snowfall days in Andorra, Pyrenees. Int. J. Clim. 2005, 25, 319–329. [Google Scholar] [CrossRef]
- Peña-Angulo, D.; Trigo, R.M.; Cortesi, N.; Gonzalez-Hidalgo, J.C. The influence of weather types on the monthly average maximum and minimum temperatures in the Iberian Peninsula. Atmos. Res. 2016, 217–230. [Google Scholar] [CrossRef]
- Sánchez-Benítez, A.; García-Herrera, R.; Vicente-Serrano, S.M. Revisiting rainfall variability, trends and drivers in the Canary Islands. Int. J. Climatol. 2017, 37, 3565–3576. [Google Scholar] [CrossRef]
- Lionello, P.; Boscoso, R.; Malanotte-Rizzoli, P. Mediterranean Climate Variability; Elsevier: Amsterdam, The Netherlands, 2006; p. 438. [Google Scholar]
- Cortesi, N.; Trigo, R.M.; González-Hidalgo, J.C.; Ramos, A.M. Modelling monthly rainfallwith circulation weather types for a dense network of stations over Iberia. Hydrol. Earth Syst. Sci. 2013, 17, 665–678. [Google Scholar] [CrossRef]
- Ramos, A.M.; Cortesi, N.; Trigo, R. Circulation weather types and spatial variability of daily rainfallin the Iberian Peninsula. Front. Earth Sci. 2014, 2, 25–45. [Google Scholar] [CrossRef]
- Nadal-Romero, E.; Gonzalez-Hidalgo, J.C.; Cortesi, N.; Desir, G.; Gómez, J.A.; Lasanta, T.; Lucía, A.; Marin, C.; Martínez-Murillo, J.; Pacheco, E.; et al. Relationship of runoff, erosion and sediment yield to weather types in the Iberian Peninsula. Geomorphology 2015, 228, 372–381. [Google Scholar] [CrossRef]
- Peña-Angulo, D.; Nadal-Romero, E.; Gonzalez-Hidalgo, J.C.; Albaladejo, J.; Andreu, V.; Bagarello, V.; Bahri, H.; Batalla, R.J.; Bernal, S.; Bienes, R.; et al. Spatial variability of the relationships of runoff and sediment yield with weather types throughout the Mediterranean basin. J. Hydrol. 2019, 571, 390–405. [Google Scholar] [CrossRef]
- Fernández-Raga, M.; Fraile, R.; Palencia, C.; Marcos, E.; Castañón, A.; Castro, A. The Role of Weather Types in Assessing the Rainfall Key Factors for Erosion in Two Different Climatic Regions. Atmosphere 2020, 11, 443. [Google Scholar] [CrossRef]
- Langbein, W.B.; Schumm, S.A. Yield of sediment in relation to mean annual precipitation. Trans. Am. Geophys. Union 1958, 39, 1076. [Google Scholar] [CrossRef]
- Andrade, C.; Santos, J.A.; Pinto, J.G.; Corte-Real, J. Large-scale atmospheric dynamics of the wet winter 2009–2010 and its impact on hydrology in Portugal. Clim. Res. 2011, 46, 29–41. [Google Scholar] [CrossRef]
- Auffray, A.; Clavel, A.; Jourdain, S.; Ben Daoud, A.; Sauquet, E.; Lang, M.; Obled, C.; Panthou, G.; Gautheron, A.; Gottardi, F.; et al. Reconstructing the hydrometeorological scenario of the 1859 flood of the Isere River. Houille Blanche-Revue Int. de l’eau 2011, 1, 44–50. [Google Scholar] [CrossRef][Green Version]
- Nadal-Romero, E.; Peña-Angulo, D.; Regüés, D. Rainfall, run-off, and sediment transport dynamics in a humid mountain badland area: Long-term results from a small catchment. Hydrol. Process. 2018, 32, 1588–1606. [Google Scholar] [CrossRef]
- Caspary, H.J. Die Winterhochwasser 1990, 1993 und 1995 in Südwestdeutschland-Signale einer bereits eingetretenen Klimaänderung. In Klimänderung und Wasserwirtschaft; Bechteler, W., Günthert, F.A., Kleeberg, H.-B., Eds.; Internationales Symposium am: Puerto Vallarta, Mexico, 1995; Volume 27, p. 28. [Google Scholar]
- Wilby, R.; Quinn, N. Reconstructing multi-decadal variations in fluvial flood risk using atmospheric circulation patterns. J. Hydrol. 2013, 487, 109–121. [Google Scholar] [CrossRef]
- Montreuil, A.-L.; Elyahyioui, J.; Chen, M. Effect of Large-Scale Atmospheric Circulation and Wind on Storm Surge Occurrence. J. Coast. Res. 2016, 75, 755–759. [Google Scholar] [CrossRef]
- Tylkowski, J. The temporal and spatial variability of coastal dune erosion in the Polish Baltic coastal zone. Baltica 2018, 30, 97–106. [Google Scholar] [CrossRef]
- Kostopoulou, E.; Jones, P. Comprehensive analysis of the climate variability in the eastern Mediterranean. Part II: Relationships between atmospheric circulation patterns and surface climatic elements. Int. J. Clim. 2007, 27, 1351–1371. [Google Scholar] [CrossRef]
- Fernández-Raga, M.; Fraile, R.; Keizer, J.; Teijeiro, M.E.V.; Castro, A.; Palencia, C.; Calvo, A.; Koenders, J.; Marques, R.L.D.C. The kinetic energy of rain measured with an optical disdrometer: An application to splash erosion. Atmos. Res. 2010, 96, 225–240. [Google Scholar] [CrossRef]
- Grimalt, M.; Tomas, M.; Garau, G.A.; Martin-Vide, J.; Moreno-García, M. Determination of the Jenkinson and Collison’s weather types for the western Mediterranean basin over the 1948–2009 period. Temporal analysis. Atmósfera 2013, 26, 75–94. [Google Scholar] [CrossRef]
- Royé, D.; Lorenzo, N.; Martin-Vide, J. Spatial–temporal patterns of cloud-to-ground lightning over the northwest Iberian Peninsula during the period 2010–2015. Nat. Hazards 2018, 92, 857–884. [Google Scholar] [CrossRef]
- Llasat, M.-C.; Barriendos, M.; Barrera, A.; Rigo, T.; Barrera-Escoda, A. Floods in Catalonia (NE Spain) since the 14th century. Climatological and meteorological aspects from historical documentary sources and old instrumental records. J. Hydrol. 2005, 313, 32–47. [Google Scholar] [CrossRef]
- Rodrigo-Comino, J.; Senciales, J.M.; Sillero-Medina, J.; Gyasi-Agyei, Y.; Ruiz-Sinoga, J.D.; Ries, J.B. Analysis of Weather-Type-Induced Soil Erosion in Cultivated and Poorly Managed Abandoned Sloping Vineyards in the Axarquía Region (Málaga, Spain). Air Soil Water Res. 2019, 12, 1–11. [Google Scholar] [CrossRef]
- Gilabert, J.; Llasat, M.C. Circulation weather types associated with extreme flood events in Northwestern Mediterranean. Int. J. Clim. 2017, 38, 1864–1876. [Google Scholar] [CrossRef]
- Wolman, M.G.; Miller, J.P. Magnitude and frequency of forces in geomorphic processes. J. Geol. 1960, 68, 54–74. [Google Scholar] [CrossRef]
- Thornes, J.B.; Brunsden, D. Geomorphology and time. Earth Surf. Process. Landf. 1977, 3, 211–212. [Google Scholar]
- Wolman, M.G.; Gerson, R. Relative scales of time and effectiveness of climate in watershed geomorphology. Earth Surf. Process. Landf. 1978, 3, 189–208. [Google Scholar] [CrossRef]
- Thorn, C.E. An Introduction to Theoretical Geomorphology; Unwin Hyman: London, UK, 1988. [Google Scholar]
- Kalnay, E.; Kanamitsu, M.; Kistler, R.; Collins, W.; Deaven, D.; Gandin, L.; Iredell, M.; Saha, S.; White, G.; Woollen, J.; et al. The NMC/NCAR 40-Year Reanalysis Project. Bull. Am. Meteorol. Soc. 1996, 77, 437–471. [Google Scholar] [CrossRef]
- Jenkinson, A.F.; Collison, F.P. An Initial Climatology of Gales over the North Sea, Synoptic Climatology Branch Memorandum; Meteorological Office: Bracknell, UK, 1977.
- Lamb, H.H. British Isles Weather Types and a Register of Daily Sequence of Circulation Patterns, 1861-1971 (Geophysical Memoir); HMSO: London, UK, 1972; Volume 116.
- Jones, P.D.; Hulme, M.; Briffa, K.R. A comparison of Lamb circulation types with an objective classification scheme. Int. J. Clim. 1993, 13, 655–663. [Google Scholar] [CrossRef]
- Trigo, R.M.; DaCamara, C. Circulation weather types and their influence on the rainfallregime in Portugal. Int. J. Climatol. 2000, 20, 1559–1581. [Google Scholar] [CrossRef]
- Nadal-Romero, E.; Lasanta, T.; García-Ruiz, J.M. Runoff and sediment yield from land under various uses in a Mediterranean mountain area: Long-Term results from an experimental station. Earth Surf. Process. Landf. 2012, 38, 346–355. [Google Scholar] [CrossRef]
- Zabaleta, A.; Martínez, M.; Uriarte, J.A.; Antigüedad, I. Factors controlling suspended sediment yield during runoff events in small headwater catchments of the Basque Country. Catena 2007, 71, 179–190. [Google Scholar] [CrossRef]
- Bienes, R.; Guerrero-Campo, J.; Aroca, J.A.; Gómez, B.; Nicolau, J.M.; Espigares, T. Evolución del coeficiente de escorrentía en campos agrícolas del centro de España con diferentes usos del suelo. Ecología 2001, 15, 23–36. [Google Scholar]
- Bienes, R.; Moré, A.; Marqués, M.J.; Moreiro, S.; Nicolau, J.M. Efficiency of different plant cover to control water erosion in central Spain. In: A. Faz Cano R, Ortíz Silla AR, Mermut (Eds.), Sustainable Use and Management of Soils. Arid and Semiarid Regions. Adv. Geoecol. 2005, 36, 155–162. [Google Scholar]
- Nadal-Romero, E.; Regüés, D. Geomorphological dynamics of subhumid mountain badland areas—weathering, hydrological and suspended sediment transport processes: A case study in the Araguás catchment (Central Pyrenees) and implications for altered hydroclimatic regimes. Prog. Phys. Geogr. 2010, 4, 123–150. [Google Scholar] [CrossRef]
- Díaz, E.; Roldán, A.; Castillo, V.; Albaladejo, J. Plant colonization and biomass production in a Xeric Torriorthent amended with urban refuse. Land Degrad. Dev. 2017, 8, 245–255. [Google Scholar] [CrossRef]
- Romero Díaz, A.; Cammeraat, L.H.; Vacca, A.; Kosmas, C. Soil erosion at experimental sites in three Mediterranean countries: Italy, Greece and Spain. Earth Surf. Process. Landf. 1999, 24, 1243–1256. [Google Scholar] [CrossRef]
- Lana-Renault, N.; Latron, J.; Karssenberg, D.; Serrano-Muela, P.; Regüès, D.; Bierkens, M.F.P. Differences in stream flow in relation to changes in land cover: A comparative study in two sub-Mediterranean mountain catchments. J. Hydrol. 2011, 411, 366–378. [Google Scholar] [CrossRef]
- Desir, G.; Marin, C. Factors controlling the erosion rates in a semi-arid zone (Bardenas Reales, NE Spain). Catena 2007, 71, 31–40. [Google Scholar] [CrossRef]
- Martínez-Mena, M.; López, J.; Almagro, M.; Boix-Fayos, C.; Albaladejo, J. Effect of water erosion and cultivation on the soil carbon stock in a semiarid area of South-East Spain. Soil Tillage Res. 2008, 99, 119–129. [Google Scholar] [CrossRef]
- Estrany, J.; Garcia, C.; Batalla, R.J. Suspended sediment transport in a small Mediterranean agricultural catchment. Earth Surf. Process. Landf. 2009, 34, 929–940. [Google Scholar] [CrossRef]
- Rodríguez-Blanco, M.; Taboada-Castro, M.; Taboada-Castro, M. Linking the field to the stream: Soil erosion and sediment yield in a rural catchment, NW Spain. Catena 2013, 102, 74–81. [Google Scholar] [CrossRef]
- Cantón, Y.; Domingo, F.; Solé-Benet, A.; Puigdefábregas, J.; Castilla, M.Y.C. Hydrological and erosion response of a badlands system in semiarid SE Spain. J. Hydrol. 2001, 252, 65–84. [Google Scholar] [CrossRef]
- Duarte, A.C. Water pollution induced by rainfed and irrigated agriculture in Mediterranean environment at basin scale. Ecohydrol. Hydrobiol. 2011, 11, 35–46. [Google Scholar] [CrossRef]
- Gómez, J.A.; Vanwalleghem, T.; De Hoces, A.; Taguas, E. Hydrological and erosive response of a small catchment under olive cultivation in a vertic soil during a five-year period: Implications for sustainability. Agric. Ecosyst. Environ. 2014, 188, 229–244. [Google Scholar] [CrossRef]
- Gimeno-García, E.; Andreu, V.; Rubio, J.L. Influence of vegetation recovery on water erosion at short and medium-term after experimental fires in a Mediterranean shrubland. Catena 2007, 69, 150–160. [Google Scholar] [CrossRef]
- Cid, P.; Gomez-Macpherson, H.; Boulal, H.; Mateos, L. Catchment scale hydrology of an irrigated cropping system under soil conservation practices. Hydrol. Process. 2016, 30, 4593–4608. [Google Scholar] [CrossRef]
- Desir, G.; Sirvent, J.; Gutierrez, M.; Sancho, C. Sediment yield from gypsiferous degraded areas in the middle Ebro basin (NE, Spain). Phys. Chem. Earth 1995, 20, 385–393. [Google Scholar] [CrossRef]
- Casalí, J.; Gastesi, R.; Álvarez-Mozos, J.; De Santisteban, L.; Lersundi, J.D.V.D.; Gimenez, R.; Larrañaga, A.; Goñi, M.; Agirre, U.; Campo-Bescós, M.A.; et al. Runoff, erosion, and water quality of agricultural watersheds in central Navarre (Spain). Agric. Water Manag. 2008, 95, 1111–1128. [Google Scholar] [CrossRef]
- Sirvent, J.; Desir, G.; Gutierrez, M.; Sancho, C.; Benito, G. Erosion rates in badland areas recorded by collectors, erosion pins and profilometer techniques (Ebro Basin, NE-Spain). Geomorphology 1997, 18, 61–75. [Google Scholar] [CrossRef]
- Cambon, J.P.; Esteves, M.; Klotz, S.; Le Bouteiller, C.; Legout, C.; Liebault, F.; Mathys, N.; Meunier, M.; Olivier, J.E.; Richard, D. Observatoire hydrosedimentaire de montagne Draix-Bleone. Irstea 2015. [Google Scholar] [CrossRef]
- Hernandez-Santana, V.; Martínez-Fernández, J. TDR measurement of stem and soil water content in two Mediterranean oak species. Hydrol. Sci. J. 2008, 53, 921–931. [Google Scholar] [CrossRef]
- Lana-Renault, N.; López-Vicente, M.; Nadal-Romero, E.; Ojanguren, R.; Llorente, J.; Errea, P.; Regüès, D.; Ruiz, P.; Khorchani, M.; Arnáez, J.; et al. Catchment based hydrology under post farmland abandonment scenarios. Cuad. Investig. Geográfica 2018, 44, 503. [Google Scholar] [CrossRef]
- Casalí, J.; Giménez, R.; Diez, J.; Álvarez-Mozos, J.; Lersundi, J.D.V.D.; Goñi, M.; Campo-Bescós, M.A.; Chahor, Y.; Gastesi, R.; López, J.J. Sediment production and water quality of watersheds with contrasting land use in Navarre (Spain). Agric. Water Manag. 2010, 97, 1683–1694. [Google Scholar] [CrossRef]
- Andreu, V.; Imeson, A.; Rubio, J. Temporal changes in soil aggregates and water erosion after a wildfire in a Mediterranean pine forest. Catena 2001, 44, 69–84. [Google Scholar] [CrossRef]
- Taguas, E.; Ayuso, J.; Pérez, R.; Giráldez, J.; Gómez, J.A. Intra and inter-annual variability of runoff and sediment yield of an olive micro-catchment with soil protection by natural ground cover in Southern Spain. Geoderma 2013, 206, 49–62. [Google Scholar] [CrossRef]
- Molénat, J.; Raclot, D.; Zitouna, R.; Andrieux, P.; Coulouma, G.; Feurer, D.; Grunberger, O.; Lamachère, J.; Bailly, J.-S.; Belotti, J.; et al. OMERE: A Long-Term Observatory of Soil and Water Resources, in Interaction with Agricultural and Land Management in Mediterranean Hilly Catchments. Vadose Zone J. 2018, 17, 180086. [Google Scholar] [CrossRef]
- Martínez-Mena, M.; Rogel, J.Á.; Castillo, V.M.; Albaladejo, J. Organic carbon and nitrogen losses influenced by vegetation removal in a semiarid mediterranean soil. Biogeochemistry 2002, 61, 309–321. [Google Scholar] [CrossRef]
- Estrany, J.; Garcia, C.; Batalla, R.J. Groundwater control on the suspended sediment load in the Na Borges River, Mallorca, Spain. Geomorphology 2009, 106, 292–303. [Google Scholar] [CrossRef]
- Taguas, E.; Guzmán, E.; Guzmán, G.; Vanwalleghem, T.; Gomez, J. Characteristics and importance of rill and gully erosion: a case study in a small catchment of a marginal olive grove. Cuad. Investig. Geográfica 2015, 41, 107. [Google Scholar] [CrossRef]
- Castillo, V.M.; Gómez-Plaza, A.; Martínez-Mena, M. The role of antecedent soil water content in the runoff response of semiarid catchments: a simulation approach. J. Hydrol. 2003, 284, 114–130. [Google Scholar] [CrossRef]
- Boix-Fayos, C.; Martínez-Mena, M.; Calvo-Cases, A.; Arnau-Rosalén, E.; Albaladejo, J.; Castillo, V.M. Causes and underlying processes of measurement variability in field erosion plots in Mediterranean conditions. Earth Surf. Process. Landf. 2006, 32, 85–101. [Google Scholar] [CrossRef]
- Outeiro, L.; Úbeda, X.; Farguell, J. The impact of agriculture on solute and suspended sediment load on a Mediterranean watershed after intense rainstorms. Earth Surf. Process. Landf. 2010, 35, 549–590. [Google Scholar] [CrossRef]
- Martínez Fernández, J.; Sánchez Martín, N.; Rodríguez Ruiz, M.; Scaini, A. Dinámica de la humedad del suelo en una cuenca agrícola del sector central de la cuenca del Duero. Cuad. Investig. Geográfica 2010, 38, 75–90. [Google Scholar] [CrossRef]
- Cerda, A.; Rodrigo-Comino, J.; Giménez-Morera, A.; Keesstra, S. An economic, perception and biophysical approach to the use of oat straw as mulch in Mediterranean rainfed agriculture land. Ecol. Eng. 2017, 108, 162–171. [Google Scholar] [CrossRef]
- Latron, J.; Llorens, P.; Gallart, F. The Hydrology of Mediterranean Mountain Areas. Geogr. Compass 2009, 3, 2045–2064. [Google Scholar] [CrossRef]
- Latron, J.; Llorens, P.; Soler, M.; Poyatos, R.; Rubio, C.M.; Muzylo, A.; Martínez-Carreras, N.; Delgado, J.; Regüés, D.; Catari, G.; et al. Hydrology in a Mediterranean mountain environment—The Vallcebre research basins (northeastern Spain). I. 20 years of investigations of hydrological dynamics. In Status and Perspectives of Hydrology in Small Basins; IAHS Publication: Clausthal-Zellerfeld, Germany, 2009; Volume 336, pp. 38–43. [Google Scholar]
- Schnabel, S.; Gómez-Gutiérrez, Á. The role of interannual rainfall variability on runoff generation in a small dry sub-humid watershed with disperse tree cover. Cuad. Investig. Geográfica 2013, 39, 259. [Google Scholar] [CrossRef]
- Bernal, S.; Sabater, F. Changes in discharge and solute dynamics between hillslope and valley-bottom intermittent streams. Hydrol. Earth Syst. Sci. 2012, 16, 1595–1605. [Google Scholar] [CrossRef]
- Dalgaard, P. Introductory Statistics with R; Springer Science and Business Media LLC: Berlin/Heidelberg, Germany, 2008; pp. 99–100. [Google Scholar]
- R Development Core Team. R: A Language and Environment for Statistical Computing; R Foundation for Statistical Computing: Vienna, Austria, 2013. [Google Scholar]
- Lionello, P.; Giorgi, F. Winter precipitation and cyclones in the Mediterranean region: Future climate scenarios in a regional simulation. Adv. Geosci. 2007, 12, 153–158. [Google Scholar] [CrossRef]
- Fernández-González, S.; Del Rio, S.; Castro, A.; Peñas, A.; Fernández-Raga, M.; Calvo, A.; Fraile, R. Connection between NAO, weather types and precipitation in León, Spain (1948–2008). Int. J. Clim. 2011, 32, 2181–2196. [Google Scholar] [CrossRef]
- Kosmas, C.; Danalatos, N.; Cammeraat, E.; Chabart, M.; Diamantopoulos, J.; Farand, R.; Gutiérrez, L.; Jacob, A.; Marques, H.; Martínez-Fernández, J.; et al. The effect of land use on runoff and soil erosion rates under Mediterranean conditions. Catena 1997, 29, 45–59. [Google Scholar] [CrossRef]
- Latron, J.; Gallart, F. Runoff generation processes in a small Mediterranean research catchment (Vallcebre, Eastern Pyrenees). J. Hydrol. 2008, 358, 206–220. [Google Scholar] [CrossRef]
- Lana-Renault, N.; Regüès, D. Seasonal patterns of suspended sediment transport in an abandoned farmland catchment in the Central Spanish Pyrenees. Earth Surf. Process. Landf. 2009, 34, 1291–1301. [Google Scholar] [CrossRef]
- Smetanová, A.; Le Bissonnais, Y.; Raclot, D.; Zema, D.A.; Licciardello, F.; Le Bouteiller, C.; Latron, J.; Rodríguez-Caballero, E.; Mathys, N.; Klotz, S.; et al. Temporal variability and time compression of sediment yield in small Mediterranean catchments: Impacts for land and water management. Soil Use Manag. 2018, 34, 388–403. [Google Scholar] [CrossRef]
- Tuset, J.; Vericat, D.; Batalla, R. Rainfall, runoff and sediment transport in a Mediterranean mountainous catchment. Sci. Total. Environ. 2016, 540, 114–132. [Google Scholar] [CrossRef]
- Lana-Renault, N.; Latron, J.; Regüés, D. Streamflow response and water-table dynamics in a sub-Mediterranean research catchment (Central Pyrenees). J. Hydrol. 2007, 347, 497–507. [Google Scholar] [CrossRef]
- Martı́nez-Casasnovas, J.; Ramos, M.C.; Ribes-Dasi, M. Soil erosion caused by extreme rainfall events: mapping and quantification in agricultural plots from very detailed digital elevation models. Geoderma 2002, 105, 125–140. [Google Scholar] [CrossRef]
- Mohamadi, M.A.; Kavian, A. Effects of rainfall patterns on runoff and soil erosion in field plots. Int. Soil Water Conserv. Res. 2015, 3, 273–281. [Google Scholar] [CrossRef]
- Anache, J.A.A.; Wendland, E.; Oliveira, P.T.S.; Flanagan, D.C.; Nearing, M.A. Runoff and soil erosion plot-scale studies under natural rainfall: A meta-analysis of the Brazilian experience. Catena 2017, 152, 29–39. [Google Scholar] [CrossRef]
- Cerdà, A. The influence of geomorphological position and vegetation cover on the erosional and hydrological processes on a Mediterranean hillslope. Hydrol. Process. 1998, 12, 661–671. [Google Scholar] [CrossRef]
- Morán-Tejeda, E.; Fassnacht, S.R.; Lorenzo-Lacruz, J.; López-Moreno, J.; García, C.; Alonso-González, E.; Collados-Lara, A. Hydro-Meteorological Characterization of Major Floods in Spanish Mountain Rivers. Water 2019, 11, 2641. [Google Scholar] [CrossRef]
- Keesstra, S.; Zema, D.A.; Saco, P.M.; Parsons, A.; Pöppl, R.; Masselink, R.; Cerda, A. The way forward: Can connectivity be useful to design better measuring and modelling schemes for water and sediment dynamics? Sci. Total. Environ. 2018, 644, 1557–1572. [Google Scholar] [CrossRef]
- Russo, A.; Sousa, P.; Durão, R.; Ramos, A.; Salvador, P.; Linares, C.; Díaz, R.; Trigo, R. Saharan dust intrusions in the Iberian Peninsula: Predominant synoptic conditions. Sci. Total. Environ. 2020, 717, 137041. [Google Scholar] [CrossRef]
- Russo, A.; Trigo, R.M.; Martins, H.; Mendes, M.T. NO2, PM10 and O3 urban concentrations and its association with circulation weather types in Portugal. Atmos. Environ. 2014, 89, 768–785. [Google Scholar] [CrossRef]
- Fernández-Raga, M.; Castro, A.; Marcos, E.; Palencia, C.; Fraile, R. Weather types and rainfall microstructure in Leon, Spain. Int. J. Clim. 2016, 37, 1834–1842. [Google Scholar] [CrossRef]
- Teale, N.G.; Quiring, S.M.; Ford, T.W. Association of synoptic-scale atmospheric patterns with flash flooding in watersheds of the New York City water supply system. Int. J. Clim. 2016, 37, 358–370. [Google Scholar] [CrossRef]







| ID | Name | Lat. | Long. | Scale | Start | End | Records | Reference |
|---|---|---|---|---|---|---|---|---|
| 1 | Aisa | 42.6744 | −0.6119 | Plots | 1995 | 2010 | 637 | Nadal-Romero et al. [34] |
| 2 | Aixola | 43.1529 | −2.5014 | Catch. | 2003 | 2008 | 222 | Zabaleta et al. [35] |
| 3 | Albaladejito | 40.0762 | −2.1957 | Plots | 1994 | 1997 | 28 | Bienes et al. [36,37] |
| 4 | Araguás | 42.5958 | −0.6208 | Catch. | 2005 | 2015 | 360 | Nadal-Romero and Regüés [38] |
| 5 | Aranjuez | 40.0798 | −3.5250 | Plots | 1994 | 1997 | 38 | Bienes et al. [36,37] |
| 6 | Abanilla | 38.1994 | −1.0917 | Plots | 1988 | 1992 | 40 | Díaz et al. [39] |
| 7 | Ardal | 38.0741 | −1.5383 | Plots | 1989 | 2000 | 146 | Romero-Díaz et al. [40] |
| 8 | Arnas | 42.6430 | −0.5847 | Catch. | 1999 | 2009 | 96 | Lana-Renault et al. [41] |
| 9 | Bardenas Norte | 42.1677 | −1.4547 | Plots | 1993 | 2004 | 118 | Desir and Marín [42] |
| 10 | Bardenas Sur | 42.1550 | −1.4191 | Plots | 1993 | 2004 | 89 | Desir and Marín [42] |
| 11 | Burete | 38.0500 | −1.7667 | Plots | 2006 | 2011 | 142 | Martínez-Mena et al. [43] |
| 12 | Can Revull | 39.5500 | 3.1011 | Catch. | 2004 | 2007 | 19 | Estrany et al. [44] |
| 13 | Corbeira | 43.2181 | −8.2285 | Catch. | 2005 | 2014 | 651 | Rodríguez-Blanco et al. [45] |
| 14 | El Cautivo | 37.0027 | −2.4404 | Catch. | 1992 | 2014 | 134 | Cantón et al. [46] |
| 15 | Idanha | 39.8467 | −7.1667 | Catch. | 2010 | 2015 | 27 | Canatario-Duarte [47] |
| 16 | La Conchuela | 37.8178 | −4.8958 | Catch. | 2006 | 2011 | 185 | Gómez et al. [48] |
| 17 | La Concordia | 39.7500 | −0.7167 | Plots | 1995 | 2012 | 203 | Gimeno-García et al. [49] |
| 18 | La Parrilla | 37.7333 | −5.1500 | Catch. | 2010 | 2013 | 74 | Cid et al. [50] |
| 19 | La Puebla | 41.6645 | −0.7239 | Plots | 1991 | 2003 | 187 | Desir et al. [51] |
| 20 | La Tejeria | 42.7363 | −1.9492 | Catch. | 2000 | 2014 | 177 | Casali et al. [52] |
| 21 | Lanaja | 41.7797 | −0.2889 | Plots | 1991 | 2004 | 163 | Sirvent et al. [53] |
| 22 | Latxaga | 42.7854 | −1.4364 | Catch. | 2003 | 2014 | 189 | Casali et al. [52] |
| 23 | Laval | 44.1406 | 5.6392 | Catch. | 1985 | 2014 | 465 | Cambon et al. [54] |
| 24 | Marchamalo | 40.6822 | −3.2147 | Plots | 1994 | 1997 | 48 | Bienes et al. [36,37] |
| 25 | Mediana | 41.4534 | −0.7158 | Plots | 1991 | 2004 | 137 | Desir et al. [51] |
| 26 | Morille | 40.8315 | −5.7053 | Catch. | 2002 | 2010 | 88 | Hernández-Santana and Martínez [55] |
| 27 | Moulin | 44.1406 | 5.6392 | Catch. | 1988 | 2003 | 149 | Cambon et al. [54] |
| 28 | Munilla | 42.1912 | −2.2908 | Catch. | 2012 | 2015 | 17 | Lana-Renault et al. [56] |
| 29 | Oskotz | 42.9584 | −1.7792 | Catch. | 2003 | 2014 | 416 | Casali et al. [57] |
| 30 | Porta Coeli | 39.6590 | −0.4890 | Plots | 1988 | 2012 | 240 | Andreu et al. [58] |
| 31 | Puente Genil | 37.4128 | −4.8383 | Catch. | 2005 | 2011 | 93 | Taguas et al. [59] |
| 32 | Rinconada | 40.6003 | −6.0367 | Catch. | 2000 | 2010 | 331 | Hernández-Santana and Martínez [55] |
| 33 | Roujan | 43.4917 | 3.3213 | Catch. | 1992 | 2015 | 410 | Molénat et al. [60] |
| 34 | Santomera | 38.2700 | −1.1167 | Plots | 1989 | 2002 | 283 | Martínez-Mena et al. [61] |
| 35 | Sa Vall | 39.6386 | 3.1766 | Catch. | 2004 | 2006 | 77 | Estrany et al. [62] |
| 36 | Setenil | 36.8736 | −5.1269 | Catch. | 2005 | 2011 | 121 | Taguas et al. [63] |
| 37 | Venta Olivo | 38.3544 | −1.5194 | Catch. | 1997 | 2011 | 108 | Castillo et al. [64] |
| 38 | Venta Olivo plot | 38.3833 | −1.1667 | Plots | 2001 | 2008 | 161 | Boix-Fayos et al. [65] |
| 39 | Vernega Bosc | 41.8772 | 2.9325 | Catch. | 1993 | 2011 | 44 | Outeiro et al. [66] |
| 40 | Vernega Campas | 41.8738 | 2.9213 | Catch. | 1993 | 2011 | 44 | Outeiro et al. [66] |
| 41 | Villamor | 41.2457 | −5.5839 | Catch. | 2002 | 2010 | 87 | Martínez Fernádez et al. [67] |
| 42 | Navalón | 38.9166 | −0.8333 | Plots | 2004 | 2014 | 470 | Cerdà et al. [68] |
| 43 | Ca L’Isard | 42.1934 | 1.8232 | Catch. | 2005 | 2012 | 55 | Latron et al. [69] |
| 44 | Can Vila | 42.1981 | 1.8234 | Catch. | 2005 | 2012 | 93 | Latron et al. [70] |
| 45 | Parapuños | 39.6105 | −6.1333 | Catch. | 2001 | 2015 | 161 | Schnabel and Gómez Gutiérrez [71] |
| 46 | Montnegre | 41.7000 | 2.5666 | Catch. | 1998 | 2002 | 77 | Bernal and Sabater [72] |
© 2020 by the authors. Licensee MDPI, Basel, Switzerland. This article is an open access article distributed under the terms and conditions of the Creative Commons Attribution (CC BY) license (http://creativecommons.org/licenses/by/4.0/).
Share and Cite
Peña-Angulo, D.; Nadal-Romero, E.; González-Hidalgo, J.C.; Albaladejo, J.; Andreu, V.; Bahri, H.; Bernal, S.; Biddoccu, M.; Bienes, R.; Campo, J.; et al. Relationship of Weather Types on the Seasonal and Spatial Variability of Rainfall, Runoff, and Sediment Yield in the Western Mediterranean Basin. Atmosphere 2020, 11, 609. https://doi.org/10.3390/atmos11060609
Peña-Angulo D, Nadal-Romero E, González-Hidalgo JC, Albaladejo J, Andreu V, Bahri H, Bernal S, Biddoccu M, Bienes R, Campo J, et al. Relationship of Weather Types on the Seasonal and Spatial Variability of Rainfall, Runoff, and Sediment Yield in the Western Mediterranean Basin. Atmosphere. 2020; 11(6):609. https://doi.org/10.3390/atmos11060609
Chicago/Turabian StylePeña-Angulo, D., E. Nadal-Romero, J.C. González-Hidalgo, J. Albaladejo, V. Andreu, H. Bahri, S. Bernal, M. Biddoccu, R. Bienes, J. Campo, and et al. 2020. "Relationship of Weather Types on the Seasonal and Spatial Variability of Rainfall, Runoff, and Sediment Yield in the Western Mediterranean Basin" Atmosphere 11, no. 6: 609. https://doi.org/10.3390/atmos11060609
APA StylePeña-Angulo, D., Nadal-Romero, E., González-Hidalgo, J. C., Albaladejo, J., Andreu, V., Bahri, H., Bernal, S., Biddoccu, M., Bienes, R., Campo, J., Campo-Bescós, M. A., Canatário-Duarte, A., Cantón, Y., Casali, J., Castillo, V., Cavallo, E., Cerdà, A., Cid, P., Cortesi, N., ... Zorn, M. (2020). Relationship of Weather Types on the Seasonal and Spatial Variability of Rainfall, Runoff, and Sediment Yield in the Western Mediterranean Basin. Atmosphere, 11(6), 609. https://doi.org/10.3390/atmos11060609

