Next Article in Journal
Heavy Rainfall and Landslide Event in January 1831 at the Pedregoso Mountains (Cabeza Del Buey, SW Spain)
Next Article in Special Issue
Hurricane Dorian Outer Rain Band Observations and 1D Particle Model Simulations: A Case Study
Previous Article in Journal
Application of Lightning Data Assimilation for the 10 October 2018 Case Study over Sardinia
Previous Article in Special Issue
Some Aspects of the Scattering of Light and Microwaves on Non-Spherical Raindrops
 
 
Font Type:
Arial Georgia Verdana
Font Size:
Aa Aa Aa
Line Spacing:
Column Width:
Background:
Article

Secondary Ice Formation in Idealised Deep Convection—Source of Primary Ice and Impact on Glaciation

by
Annette K. Miltenberger
1,*,
Tim Lüttmer
1 and
Christoph Siewert
2
1
Institute for Atmospheric Physics, Johannes Gutenberg University Mainz, 55128 Mainz, Germany
2
Deutscher Wetterdienst, 63067 Offenbach, Germany
*
Author to whom correspondence should be addressed.
Atmosphere 2020, 11(5), 542; https://doi.org/10.3390/atmos11050542
Submission received: 14 April 2020 / Revised: 13 May 2020 / Accepted: 20 May 2020 / Published: 23 May 2020
(This article belongs to the Special Issue Microphysics of Precipitation Particles: Raindrops, Hail, and Snow)

Abstract

Secondary ice production via rime-splintering is considered to be an important process for rapid glaciation and high ice crystal numbers observed in mixed-phase convective clouds. An open question is how rime-splintering is triggered in the relatively short time between cloud formation and observations of high ice crystal numbers. We use idealised simulations of a deep convective cloud system to investigate the thermodynamic and cloud microphysical evolution of air parcels, in which the model predicts secondary ice formation. The Lagrangian analysis suggests that the “in-situ” formation of rimers either by growth of primary ice or rain freezing does not play a major role in triggering secondary ice formation. Instead, rimers are predominantly imported into air parcels through sedimentation form higher altitudes. While ice nucleating particles (INPs) initiating heterogeneous freezing of cloud droplets at temperatures warmer than −10 °C have no discernible impact of the occurrence of secondary ice formation, in a scenario with rain freezing secondary ice production is initiated slightly earlier in the cloud evolution and at slightly different places, although with no major impact on the abundance or spatial distribution of secondary ice in the cloud as a whole. These results suggest that for interpreting and analysing observational data and model experiments regarding cloud glaciation and ice formation it is vital to consider the complex vertical coupling of cloud microphysical processes in deep convective clouds via three-dimensional transport and sedimentation.

1. Introduction

In many clouds ice and liquid particles co-exist (e.g., reference [1], and reference therein). Ice particles in the atmosphere are formed by homogeneous nucleation or homogeneous freezing of cloud droplets in the upper troposphere at temperatures colder than −38 °C and by heterogeneous freezing of cloud droplets triggered by aerosol particles at all temperatures below 0 °C. Aerosol particles that initiate the freezing of liquid hydrometeors are known as ice-nucleating particles (INP) and their abundance varies with temperature as well as geographical location and time (e.g., reference [2], and references therein). The observed number of ice crystals in clouds often exceeds the number of particles expected from the abundance of INP at the same location and temperature. To explain the discrepancy it has been suggested that ice crystals may be formed through what is known as secondary ice production processes. For example, the collision of two or more ice crystals or snow flakes can release a number of additional ice particles (e.g., references [3,4,5]). Other suggested mechanisms are the formation of new ice crystals during the riming of graupel particles (Hallett-Mossop process) (e.g., references [6,7]) or the ejection of ice crystals during the freezing of large rain drops (e.g., reference [8]). Field et al. [9] provides a comprehensive overview of the current knowledge on secondary ice production. Since the overview by Field et al. [9], several observational studies provided further evidence for the importance of secondary ice production for explaining cloud glaciation (e.g., references [10,11,12,13]). In numerical weather prediction models most often only the rime-splintering mechanism is represented although recently formulations for other processes have become available (e.g., references [14,15,16]). However, in the present study we only consider rime-splintering. It is important to note that the parameterisation of secondary ice production (SIP) in models involves considerable uncertainties as they are based on a fairly scant database. Nevertheless, considering how SIP behaves in models and how it affects the cloud evolution can provide interesting insight and serves to develop hypothesis that can be tested with dedicated field or laboratory measurements.
Important issues for understanding SIP and its role for cloud evolution are (i) the initiation of secondary ice production, which necessarily relies on some ice being formed through heterogeneous and/or homogeneous freezing, and (ii) the impact of secondary ice on the further evolution of the cloud (reference [9], and references therein). Rime-splintering occurs at relatively warm temperatures (about −3 °C to −8 °C, which is referred to as the Hallett-Mossop zone or temperature region. However, at these warm temperatures only very few INPs are typically active (e.g., reference [2], and reference therein). Hence, specific attention has been placed on the few INP types that are active at temperatures just below 0 °C, which are mainly biological materials, as well as the number concentration of primary ice crystals necessary to initiate secondary ice production (e.g., references [17,18]). Based on conceptual considerations Beard [17] suggests primary ice crystal number concentration in the order of 0.01 L−1 may suffice to initiate SIP via rime-splintering, which is supported by the idealised 2D simulations by Huang et al. [18]. In parcel model simulations by Sullivan et al. [19] even lower INP concentrations are sufficient to trigger SIP as long as moderate updraft regimes and warm cloud base temperatures are assumed. Beard [17] and Huang et al. [18] highlight the importance of rain or large drizzle drops for the onset of rime-splintering. By heterogeneous freezing or by collision with ice crystals rain drops can fairly quickly provide the graupel particles necessary for riming. The role of drizzle and/or rain drops is further supported by observational evidence (e.g., references [20,21,22]), which is, however, also compatible with other SIP mechanisms such as drop shattering. Once secondary ice production started ice crystals rapidly multiply [23]. The sensitivity studies of Huang et al. [18] and Sullivan et al. [19] provide some insight into the required concentration of INPs. However, the parcel model approach by Sullivan et al. [19] does not allow for particles formed at higher levels within the cloud to impact the processes occurring in the Hallett-Mossop temperature zone. The 2D sensitivity simulations by Huang et al. [18] allow for such interactions, but they do not provide detailed insight into the impact of primary ice nucleation at different temperatures for the initiation of SIP. However, this question is vital for assessing the impact of high-temperature INP (e.g., reference [24]).
The importance of SIP for the cloud microphysical structure, precipitation formation, and cloud evolution is an active research topic. Several sensitivity studies with numerical weather prediction models assessed the impact of SIP on the evolution of more or less idealised clouds (e.g., references [16,25,26,27,28,29,30]). While the results for precipitation formation and cloud macroscopic appearance are inconclusive so far, all studies find a clear impact on the cloud microphysical structure in the form of ice crystal number concentration and glaciation around the freezing level. However, the transport of secondary ice from locations, at which rime-splintering occurs, and the spread of secondary ice through the cloud have so far not been investigated in detail.
The question of SIP initiation and the spread of secondary ice through the cloud are challenging to address with the classical Eulerian perspective on the problem. A Lagrangian perspective, that is, following the evolution of individual air parcels, can provide valuable insight into the importance of primary ice nucleation, “in-situ” formation of graupel, rain freezing, as well as the importance of graupel sedimenting from higher cloud altitudes. Due to the recent development of high-resolution trajectory simulation tools [31], it is now feasible to analyse the evolution of complex three-dimensional cloud simulations from a Lagrangian perspective. In the present study we use this new approach to address the following research questions for idealised three-dimensional simulations of deep convective clouds:
  • How is secondary ice production via rime-splintering initiated in the modelled deep convective clouds?
  • Are high-temperature ice nucleating particles (INP) and/or rain freezing crucial for the initiation of rime-splintering?
  • How does secondary ice spread through the simulated deep convective clouds?
The simulations are described in detail in Section 2. The following Section 3, Section 4 and Section 5 address each of the above research questions in turn. Finally, the results are summarised in Section 6.

2. Numerical Simulations and Analysis Methods

2.1. Model Description and Set-Up

Idealised simulations of deep convection are conducted with the Icosahedral Nonhydrostatic (ICON) model version 2.3 [32] with several extensions as described in the following sections. The simulations are initialised with the thermodynamic and wind speed profiles described in Weisman and Klemp [33]. Simulations with vertical wind shears (Uz) of 5 m s−1, 15 m s−1 and 25 m s−1 were conducted (Figure 1a). As described in Weisman and Klemp [33] an increased vertical shear leads to the formation of split cells, for example, visible in the accumulated precipitation fields (Figure 1c,d), and a longer lifetime of convective cell, as suggested by the sustained large maximum vertical velocity (Figure 1b). At the lower boundary we prescribe a fixed sea-surface temperature of 300 K. Simulations were conducted on a double-periodic domain of roughly 500 × 500 km with a horizontal grid spacing of 1 km and 128 vertical levels. Spacing of vertical levels increases from the surface up to the model top at 23.5 km from 50 m to 300 m. A time step of 1 s was used. Simulations were carried out for 120 min. Convection was initiated by a warm bubble of 10 km diameter in the horizontal and a vertical extend of 1.4 km at the centre of the domain at the first time step. The warm bubble has a temperature anomaly of 2 K.
Cloud microphysical processes are represented with the double-moment scheme of Seifert and Beheng [34] with the “ice-modes” extension (Section 2.2). Details on the parameterisation of ice formation processes are provided in Section 2.2. A saturation adjustment scheme is used to represent the condensation of water vapour. Cloud droplet number concentrations (CDNC) are parameterised according to Hande et al. [35]. CDNC is in this parameterisation dependent on vertical velocity and pressure. For a vertical velocity of 10 m s−1, CDNC in the boundary layer is about 1000 cm−3 and decreases to about 100 cm−3 at 500 hPa. No convection or radiation parameterisation are used and the classical Smagorinsky turbulence scheme is for diffusion and turbulence.

2.2. Representation of Ice Formation Processes and the “Ice Modes” Scheme

Ice crystals can be formed via four different pathways: heterogeneous freezing initiated by ice-nucleating particles (immersion & deposition mode), homogeneous freezing of cloud droplets, homogeneous freezing of solution droplets and rime-splintering. Heterogeneous freezing is parameterised according to Hande et al. [36] using their immersion and deposition freezing coefficients for spring. The parameterisation represents both immersion and deposition freezing. For the homogeneous freezing of solution particles the parameterisation by Kärcher et al. [37] is used. The homogeneous freezing of cloud droplets is described following Jeffery and Austin [38]. During riming of ice, snow, or graupel in the temperature range between −3 °C and −8 °C, secondary ice particles are released due to rime-splintering [6]. This temperature range is referred to as Hallett-Mossop temperature zone in the following. At −5 °C, 350 splinters are released for each 1 mg of rimed mass with linear decreasing amounts toward −3 °C and −8 °C. As only the first and third moments of the size distribution are prognostic variables, no conditions on the size distribution of cloud droplets are used for computing rime-splintering rates. Previous studies suggest a cloud droplets with diameters smaller than 12 μm as well as droplets with diameters larger than 24 μm need to be present for rime-splintering (e.g., references [10,39]). Heterogeneous freezing of rain drops is described using the data from Barklie and Gokhale [40].
The number density and mass mixing ratio of ice crystals formed by the different ice formation processes is traced separately. There are separate prognostic variables for ice formed by immersion freezing, deposition freezing, homogeneous freezing of solution particles, homogeneous freezing of cloud droplets, and rime-splintering. Currently the same parameterisations and parameter settings are used for all “ice modes”. However, the five different “ice modes” are separately treated in advection and turbulent mixing as well as cloud microphysical processes such as riming, melting, or sedimentation. Thereby it is possible to trace ice particles of different origin through the simulation. As an example the distribution of the different ice modes in a cross-section through the deep convective cloud is shown in Figure 2a. The hatched areas indicate regions, where the mass mixing ratio of the respective ice mode exceeds 1 mg kg−1. As expected, ice formed by homogeneous nucleation or deposition freezing occurs mainly at high altitudes towards the cloud top (filled circles). Ice formed by immersion freezing and homogeneous freezing of cloud droplets exists almost everywhere above the 0 °C line. Secondary ice only occurs in a confined region just above the 0 °C line on the downstream side of the updraft (star symbols). The same figure using temperature as vertical coordinate is found in SI Figure S1.
To investigate the role of heterogeneous freezing at warm temperatures for secondary ice production (e.g., references [17,18,41]), simulations have been conducted with varying on-set temperatures for heterogeneous freezing. On-set temperatures (Thet,on) of −5 °C (corresponding to standard configuration) and −10 °C have been tested. It should be noted that the representation of immersion freezing at temperatures warmer than about −12 °C constitutes an extrapolation of parameterisations derived from observations at colder temperatures. In addition, simulations without a parameterisation of rain freezing, and with a factor 10 larger as well as factor 10 smaller INP number concentration have been conducted to test the impact of the rain freezing and the abundance of INPs on SIP initiation. These sensitivity experiments are motivated by previous studies, that find an impact of rain freezing and INP concentrations on secondary ice production (e.g., references [18,26,39,42]). The latter sensitivity experiments use a on-set temperature of −5 °C.

2.3. Online Trajectories

An online trajectory module has been implemented in the ICON model, which is similar in concept and functionality to the online trajectory module for the COSMO-model(the predecessor to ICON, COSMO: Consortium for small-scale modeling) described in Miltenberger et al. [31]. The only major difference is that for the horizontal interpolation, barycentric interpolation is used in acknowledgement of the change in grid structure between the COSMO- and the ICON-model. The main advantage of the computation of trajectories during the integration of the numerical weather prediction model is that the wind fields can be used at the full temporal resolution of the model simulation. Such a high temporal resolution is required for the Lagrangian analysis of air motion in deep convective cloud systems (e.g., references [31,43]) and the Lagrangian analysis of cloud microphysics (e.g., reference [44]). To illustrate the ability of online-trajectories to capture the air motion in deep convective clouds, an exemplary set of trajectories from the simulations is shown in Figure 2b. The trajectories rise from the boundary layer to the upper troposphere through the region of maximum vertical velocity in 5 min to 8 min. Despite this rapid ascent, there are still around 300 to 500 data points in the ascent available to investigate the cloud microphysical evolution of the air parcels.
Here, we use the online trajectory module to investigate the thermodynamic and microphysical evolution of air parcels, which experience at least one secondary ice production event. A SIP event is defined as the time, at which the SIP rate first exceeds 1 × 10 −12 kg−1 s−1 along a trajectory. The threshold was chosen to avoid numerical artefacts from spatial interpolation and numerical diffusion and to be small enough to detect the 10 s interval, in which the SIP started along a trajectory. Trajectories are started every 10 min throughout the simulation at the centre of all triangular grid cells between 240 km to 370 km along the x-axis and altitudes between 0 km to 5 km. New trajectories are only initiated if there is not yet a trajectory in an elective grid cell. In total, this resulted in ∼4.3 (4.6, 4.4) million trajectories for the simulations with U = 5 m s−1 ( 15 m s−1, 25 m s−1). From this large trajectory set, only trajectories that at least once pass through a region with secondary ice production rates larger than 1 × 10−12 kg−1 s−1 are retained for analysis. Note that secondary ice production in the model considers riming on ice, snow, and graupel and the sum of all secondary ice production rates is used for the trajectory analysis. Secondary ice production from riming graupel is at least an order of magnitude larger than that from riming ice and snow in all simulations (not shown). After this selection the trajectory data-set comprises 275,251 (394,048, 612,218) in the three simulations. These trajectories sample the majority of grid-boxes, in which the Hallett-Mossop process is active, throughout the simulated time period (not shown). In the following, we focus on the conditions at and a prior to the first time SIP occurred in a given air parcel, which is referred to as “SIP event” (occurring at time tsip). Note this is different from the first ever occurrence of SIP in the entire simulation, which we are referring to as “initial SIP event” (occurring at time tsip,init).
In addition to the position of the trajectories, additionally 43 trace variables are available at a temporal resolution of 10 s. Microphysical rates are interpolated to the trajectory position at each model time step (1 s) and integrated over the 10 s interval between output time steps. Trace variables have been interpolated to the trajectory position using a barycentric interpolation in the horizontal and linear interpolation in the terrain-following vertical coordinate system. Trace variables include thermodynamic variables, the wind components, mass mixing ratios and number densities of all hydrometeor types, ice production rates from all ice formation processes, as well as sedimentation rates of frozen hydrometeors.

3. Cloud-Microphysical and Thermodynamic History of Air Parcels with Secondary Ice Formation

The Lagrangian data allow for an investigation of the thermodynamic and cloud-microphysical history of air parcels before SIP events. The evolution of the air parcel altitude relative to the time of the SIP event is summarised in Figure 3. In all simulations the majority of air parcels, in which SIP occurs, originate in the boundary layer and typically ascent before the SIP event (Figure 3a–c). In simulations with U = 15 m s−1 and U = 25 m s−1 a small number of trajectories originates at altitudes of up to 1 km above the altitude of the SIP event (Figure 3b,c). If only SIP events in the 10 min after the initial SIP event in each simulation are considered, this picture does change only slightly (Figure 3d–f). While trajectories still predominately originate in the boundary layer and most ascent before the SIP event, the ascent is less pronounced. This is particularly evident in simulations with larger vertical wind shear (U = (15, 25) m s−1). The air parcel altitude after the SIP event is further discussed in Section 5.
The picture emerging from the analysis of trajectory altitudes is reflected in the distribution of the minimum in-cloud air temperature in the 10 min before SIP events (Tmin,ic). Tmin,ic is determined by considering the temperature evolution along trajectories, but only where the condensate mass mixing ratio exceeds 1 × 10−10 kg kg−1. Figure 4 shows the distribution of Tmin,ic throughout the simulation, where the time (ordinate) corresponds to the simulation time, at which the SIP event occurs. Only a small fraction of trajectories have Tmin,ic colder than the coldest temperature of the Hallett-Mossop zone (i.e., −8 °C). Secondary ice production occurs about 20 min into the simulation. Tmin,ic for these first events is between −5 °C to −10 °C, that is, well within the Hallett-Mossop range, and cold enough for heterogeneous freezing to occur. After about 2 min to 5 min warmer Tmin,ic are recorded, which are a consistent with the upper temperature bound of the Hallett-Mossop zone (i.e., −3 °C). There will be no primary ice formation in these trajectories prior to the SIP event. In simulations with larger wind shear, trajectories with colder Tmin,ic remain important throughout the simulation, although minimum temperatures warmer than −3 °C are still most common (Figure 4b,c). The warm minimum temperatures suggest that primary ice formation in parcels encountering SIP is not important. The few parcels that experience temperatures cold enough for heterogeneous freezing only do so a few minutes (<5 min) before the SIP event, which is probably too short for “in-situ” formation of large rimer particles (graupel). SIP from riming ice crystals is not important for the majority of trajectories (SI Figure S2).
To gain a more detailed insight into the cloud microphysical history of air parcels, the composite evolution of cloud droplet mass mixing ratio as well as of the rain and graupel number density is shown in Figure 5. The composite evolution of other hydrometeor types mass mixing ratios and number densities is shown in SI Figures S3 and S4. Consistent with the ascending air parcel motion before the SIP event, the cloud droplet mass mixing ratio increases in the 10 min prior to the event. The rain number density also increase strongly in the 10 min prior to SIP events (Figure 5d–f) as expected. In the simulations with larger vertical wind shear, two different “branches” are visible in the composite evolution of rain drop number density (Figure 5d,e): In a number of trajectories rain drop number density steadily increase over the entire 10 min interval considered akin to the evolution in the simulation with U = 5 m s−1. Additionally there is a even larger number of trajectories, in which rain drop number density steeply increase in the 4 min prior to the SIP event. The increase of rain drops in the first set of trajectories is likely due to sedimentation of rain drops from higher levels, which is less important in higher vertical wind shear conditions. In the other set of trajectories, conversion of cloud droplets to rain drops via collision-coalescence is likely dominant. Efficient conversion of cloud to rain water in updrafts of around 10 m s−1 only starts at cloud droplet mass mixing ratios of about 2 g kg−1 and displays a rapid increase in rain water over the course of a few minutes (e.g., reference [45]). For the median trajectory, this critical value is only reached about 3 min prior to the SIP event. The composite evolution of graupel number density, that is, the number of rimers available for rime splintering, is shown in Figure 5g–i. In the majority of trajectories graupel number concentrations only increase in the last about 4 min prior to the SIP event. The increase occurs closer to the SIP event in higher vertical wind shear conditions. This is not surprising as rime-splintering in the model is tied to the riming rate of graupel. Riming rates are likely high as soon as graupel appears in the trajectories, which in general have high liquid water content (Figure 5a–c).
To gain further insight into the origin of graupel in SIP trajectories, the composite evolution of the integrated ice and graupel production rates from different processes is shown in Figure 6. In most trajectories, secondary ice production is the dominant source of ice crystal at and immediately after the first SIP event (Figure 6a–c). Only in the simulations with larger vertical wind shear the 99th percentile of heterogeneous freezing rates exceeds 1 × 10−3 kg−1 prior to the first SIP event. For graupel, sedimentational influx is the largest source of graupel prior to the first SIP events (Figure 6d–f). In some trajectories rain freezing occurs prior to the first SIP event, again predominantly in the simulations with larger wind shear. “In-situ” graupel formation from riming or depositional growth is becoming important only after the first SIP event. For investigating the importance of different processes throughout the cloud lifecycle, we consider the fraction of trajectories, in which heterogeneous (cyan) or homogeneous freezing rates (blue) of cloud droplets, influx through sedimentation from higher altitudes (light green: snow and ice, dark green: graupel), or rain freezing rates (red) are larger than 1 × 10−12 kg s−1 (Figure 7). All of the named processes except graupel sedimentation and rain freezing only affect a small fraction of trajectories (<20%). Heterogeneous freezing occurs in less than 20% of the SIP trajectories except for the initial SIP event and for simulations with U = 25 m s−1. In the latter in up to 40% of trajectories there is some heterogeneous freezing. Nevertheless SIP from riming ice crystals (SI Figure S2) and “in-situ” graupel formation through depositional or riming growth (magneta line in Figure 7) occurs only in less than 1% of trajectories in the first hour of the simulation. “In-situ” graupel formation from deposition and riming occurs in up to 10% of trajectories in the last 40 min of the simulation. Almost all trajectories are affected by sedimentation of graupel particles from higher altitudes. The trajectory fraction with a significant influx of graupel from sedimentation is larger than 80% in the first 10 min after the initial SIP event and increases to almost 100% after roughly the first hour of the simulation. The simulation time, at which graupel sedimentation affects all SIP trajectories increases with the vertical wind shear. Somewhat less frequent, but still relatively common, is the formation of rimers by freezing of rain drops (red line). The fraction of parcels with rain freezing varies between 20% and almost 100% and increases with simulation time. In many parcels both rain freezing and graupel sedimentation occur. The fraction of air parcels, in which only rain freezing or graupel sedimentation play a role are shown by the red and green dashed lines in Figure 7, respectively. Graupel sedimentation seems to be particularly important in the first 10 min to 20 min after the initial SIP event, while rain freezing is particular important at about 40 min into the simulation. Later in more than 80% of all SIP trajectories both processes occur making it impossible to disentangle from the trajectory data, which is responsible for triggering SIP.
The location of SIP events relative to the position of the updraft cores varies throughout the simulation time and with the vertical wind shear (Figure 8). Shortly after the initial SIP event, SIP mainly occurs downstream of the updraft core. The distance increases with the vertical wind shear (Figure 8). This is consistent with the hypothesis that graupel is formed in the high updraft regions and subsequently sediments downstream of the updraft core, where it eventually triggers SIP. The increasing distance between updraft core and SIP region with larger wind shear is expected, and likely is also the reason for the larger importance of rain freezing in simulations with U of (15, 25) m s−1. Later in the simulation, the regions with most intense SIP events coincide with strong updrafts, although SIP events continue to occur at the fringes and at greater distance from the updraft cores. At these later stages, graupel is more abundant, but likely is still predominantly formed in the high updraft regions. In the Lagrangian analysis graupel sedimentation dominates even in the high updraft regions, where graupel fall velocities are smaller than the vertical velocity of air. However, in an airstream relative framework, that is, a Lagrangian framework, graupel of course still sediments. As discussed previously, as almost all particles with SIP originate in the boundary layer there is too little time before they reach the Hallett-Mossop temperature zone for “in-situ” graupel formation.
In summary, the Lagrangian analysis of air parcels, in which SIP events occur, suggests that the “in-situ” formation of rimers from primary ice particle formation is negligible but that rain freezing can be an important source of rimers in particular for high wind shear conditions. However, in all considered simulations the sedimentation of graupel from higher levels is the dominant source of rimers. Hence the Lagrangian analysis highlights the importance of considering the three-dimensional cloud evolution over time in order to understand the initiation and occurrence of rime splintering in deep convective clouds. The results from the Lagrangian analysis are consistent with previous more idealised studies and some observational studies of SIP in convective clouds, which suggest that either multiple thermals or the penetration of pre-existing cloud layers are important for the occurrence of rime-splintering (e.g., references [11,18,46]). To corroborate this hypothesis as well as to better understand the role of rain freezing and primary ice formation, it would be interesting to investigate the source of graupel particles. However due to their significant fall speed this is not possible in the current modelling framework. For this purpose, simulations with Lagrangian microphysics would be ideally suited, but such simulations are currently not feasible for the three-dimensional cloud evolution considered here. Instead we resort to conducting sensitivity experiments, in which we either delay the onset of heterogeneous freezing to colder temperature (−10 °C instead of −5 °C) or turn off the parameterisation for rain freezing. While not full addressing the above questions, they at least provide some insight into the role of high-temperature INP and rain freezing for graupel formation and the subsequent triggering of SIP. These simulations are discussed in the following section.

4. Impact of Rain Freezing, INP Concentration, and Heterogeneous Freezing at Warm Temperatures

High-temperature INPs have been hypothesised to be important for the triggering of rime-splintering in convective clouds (e.g., references [9,17,18,19,41]). In particular, the freezing of drizzle or rain drops has been suggested to be important as a means to instantly produce graupel-sized frozen particles and thereby rimers for the rime-splintering process (e.g., references [18,39,42]). The Lagrangian analysis in Section 3 indicates that the “in-situ” formation of graupel is less important than the sedimentation of graupel, although rain freezing plays a certain role in the early stages of the cloud evolution. In order to test the importance of high-temperature INP and rain freezing, we have conducted sensitivity experiments in all three wind shear conditions, in which either heterogeneous freezing occurs only at temperatures colder than −10 °C (Thet,on = −10 °C experiment) or there is no freezing of rain drops (“noRF” experiment). Additional sensitivity experiments are conducted with an increased and decreased INP concentration over the entire temperature range (“10 · INP” and “0.1 · INP” experiments, respectively). The time evolution of the mean ice crystal number concentrations (ICNC) from the various sensitivity experiments are shown in Figure 9. In the Hallett-Mossop temperature zone differences, ICNC is dominated by ice crystals formed by secondary ice production throughout the simulation (not shown) and differences between the sensitivity experiments are generally small (Figure 9a). The largest deviation from the baseline simualtion is occuring in the simulations without a rain freezing parameterisation in the first simulation hour (up to a factor 2). In the upper troposphere, secondary ice crystals constitute only a tiny fraction of the total ICNC (not shown) and are not directly account for the differences in total ICNC. Using no rain freezing parameterisation has again the largest impact, but this this smaller than the impact of the windshear (Figure 9b). INP number concentration has also a small impact, as ice crystal concentrations at temperatures below −40 °C are dominated by homogeneously formed ice crystals. ICNC over the full temperature range is shown in SI Figure S5. Here we focus on the thermodynamic and microphysical history of air parcels, in which SIP occurs, in the different sensitivity experiments. The impact of the altered parameterisation on the intensity of SIP events and the spread of secondary ice crystals through the cloud are discussed in Section 5.

4.1. Impact of High-Temperature INP and INP Concentration

The presence of INP inducing freezing of cloud droplets at temperatures warmer than −10 °C does not have any significant impact on the air parcels, in which SIP occurs. The number of SIP trajectories as well as their thermodynamic and cloud microphysical history is very similar to that of air parcels with SIP in the simulation with Thet,on = −5 °C. For example, the distribution of the minimum temperature Tmin,ic in the two simulations is almost identical (Figure 10a,b). Importantly this does hold not only if the entire simulation is considered but also if only SIP events close to the initial event are considered (solid lines). The timing of the initial SIP event and the altitude evolution of air parcels also do not display major differences (SI Figure S6). Regarding the cloud microphysical history, the fraction of trajectories, for which graupel sedimentation and rime freezing occurs is almost unaltered between the simulation with Thet,on = −5 °C and Thet,on = −10 °C (Figure 11a,b) again irrespective of the considered time period (not shown). The difference in the fraction of trajectories with heterogeneous freezing is large, but the change in the fraction of trajectories with “in-situ” graupel formation from riming or deposition is almost identical. This is confirmed by the similar composite evolution of cloud microphysical rates (SI Figures S11 and S12).
Altering the INP concentration by an order of magnitude has only a small impact on the number of SIP trajectories, their thermodynamic or cloud microphysical history prior to the first SIP event (SI Figures S8–S12). In the 10 · INP scenario, primary ice crystal numbers are somewhat larger at first SIP events in the small number of trajectories, in which heterogeneous freezing occurs before the first SIP event. However, there is no “in-situ” formation of graupel until after the onset of SIP and the difference in rain freezing rates is negligible.
The results further confirm the previous conclusion that “in-situ” growth of primary ice to graupel is irrelevant for the triggering of rime-splintering. This is mostly due to the origin of most SIP trajectories in the warm, below cloud layer and the rapid lifting they undergo between the freezing level and the HM temperature zone. Furthermore, the results suggest that in the model enough graupel forms to efficiently trigger SIP even in the absence of high-temperature INP.

4.2. Impact of Rain Freezing

Not considering rain freezing has a stronger impact on the occurrence of SIP and the air parcels, in which SIP occurs. The number of SIP trajectories decreases by 30% (3%, 7%) in the simulations with U = 5 m s−1 (15 m s−1, 25 m s−1). However, the initial SIP event in the simulations is only delayed by 1 min to 3 min depending on the vertical wind shear (SI Figure S7). There are some differences in the thermodynamic and cloud microphysical history of air parcels. These changes are most evident in the 10 min after the initial SIP event. In this time interval, minimum in-cloud temperatures of around −5 °C are less frequent, while minimum temperatures around −10 °C are slightly more frequent (Figure 10c). Consistently, also larger fraction of trajectories descending from above into the Hallett-Mossop temperature zone compared to the other simulations (SI Figure S7). By design rain freezing does not occur along any of the trajectories (Figure 11). Heterogeneous freezing is more abundant in trajectories in particular in the first minutes after the initial SIP event and in higher vertical wind shear. This is consistent with the colder Tmin,ic. Interestingly the fraction of trajectories, which are influenced by graupel sedimentation is reduced to a median of around 70% in the first 10 min after the initial SIP event. This suggests that “in-situ” graupel formation due to riming growth and vapour deposition occurs at least in some trajectories. For later stages of the cloud development, the impact of rain freezing on the air parcels, in which SIP occurs, is much smaller and not evident in either the distribution of Tmin,ic or the cloud microphysical processes (Figure 10c and Figure 11b).
In the “noRF” experiments the SIP regions shift closer to the updraft cores (compare Figure 8 and SI Figure S13). Particular in the early stages of the simulation, high SIP rates primarily occur immediately downstream of the updraft core. This is consistent with graupel being formed in the updraft core through riming and falling into lower updraft regions below or downstream.

5. Propagation of Secondary Ice in the Cloud

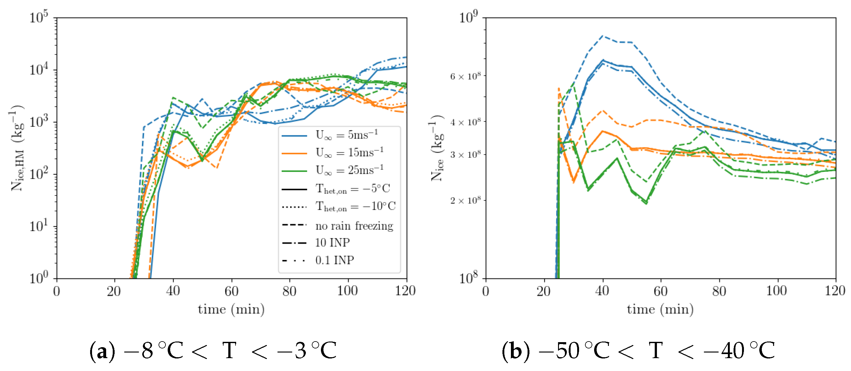
Once secondary ice crystals have been formed their impact on the cloud system depends on how quickly and how widely they spread. With the extended cloud microphysics scheme (Section 2.2) and the online trajectories (Section 2.3) we can explore these questions. Figure 12a–c shows the fraction of cloudy grid-points, in which the secondary ice crystal number concentration Ni,sec exceeds 0.1 L−1, as a function of air temperature and simulation time. In all simulations secondary ice appears between 20 min and 30 min after the start of the simulation in the Hallett-Mossop temperature zone, that is between −3 °C and −8 °C. In this temperature region rapidly more than 50% of the cloudy grid points contain secondary ice crystals. After about 15–20 min the fraction of grid boxes in the Hallett-Mossop zone containing secondary ice crystals decreases to below 20%. In the Hallett-Mossop temperature zone secondary ice dominates the total ice crystal number concentrations throughout the simulation (SI Figure S14). About 45 min into the simulation, secondary ice crystals appear in an increasing number of grid-boxes with very cold temperatures (< −40 °C). After about 70 min more than 50% of the grid-boxes at the coldest temperatures contain secondary ice crystals. However, the average number concentration of secondary ice crystals in cold temperature regions is several orders of magnitude smaller than that of primary ice crystals (SI Figure S14). Heterogeneous and homogeneous freezing generate enough ice crystals at cold temperatures to dwarf the high ice crystal number concentrations produced in the Hallett-Mossop temperature zone, which is confirmed by the composite evolution of the cloud microphysical rates (Figure 6a–c). According to these composites already a few minutes after the first SIP event first heterogeneous freezing and then homogenous cloud droplet freezing exceeds the SIP along the majority of trajectories. This is consistent with simulations of realistic deep convective cloud fields by reference [29] with a different model. At temperatures warmer than −20 °C the average number densities of secondary ice are several orders of magnitudes larger than that of ice crystals formed by other process throughout the simulations (SI Figure S14).
The overall picture is very similar for simulations with a colder onset temperature of heterogeneous freezing (not shown). In the simulations without rain freezing the overall spatio-temporal spread of secondary ice is also similar. However, the first secondary ice crystals appear slightly later and secondary ice appears slightly earlier in the cold temperature regions of the cloud (Figure 12d–f). At temperatures colder than −15 °C the total ice crystal number is lower than in the reference simulation, except around 40 min into the simulation where it is larger (SI Figure S5d–f). The secondary ice crystals are less important in the first 5 min to 15 min after the initial SIP event (several orders of magnitude). But at later times ice enhancement factors from SIP are overall larger (up to an order of magnitude) than in the reference simulation (SI Figure S14d–f). The sensitivity experiments, in which INP number concentrations have been altered, show a clear impact on total ice number concentration up to 30 min after the start of the simulation (SI Figure S5g–l). At later times there are mostly only small changes (less than a factor 2). However, in the 10 · INP experiments, there the ice crystal number concentration clearly decreases at around −25 °C for U = 5 m s−1. The ratio of secondary to primary ice is reduced for the 10 · INP experiment at temperatures warmer than about −25 °C (up to a factor 10, which is consistent with the expected increase in primary ice crystal numbers). At colder temperatures there is a increase in the ice enhancement factor of up to a factor 2 (SI Figure S14g–i). Reducing the INP number concentration has only a small impact on the ratio of secondary to primary ice (generally below factor 1.5, SI Figure S14j–l). Despite the changes in the total number of ice crystals altering the INP number concentration has only a small impact on the number of grid points, in which secondary ice is found (not shown).
The vertical velocities at the location of SIP events together with the location of SIP events relative to the updraft core is vital to understand the spread of secondary ice through the cloud. The distribution of vertical velocities is shown in Figure 13. Almost all SIP events occur in regions with positive vertical velocities of up to 30 m s−1 consistent with the placement of SIP events in or around updraft cores (Figure 8). In the simulation with the largest vertical wind shear (U = 25 m s−1) SIP events occur only at comparatively low updraft speeds (up to 10 m s−1) until 40 min into the simulation. This is consistent with the relative large distance between SIP events and the updraft core (Figure 8) and is likely a consequence of the tilt of the updraft core together with significant downstream advection of graupel before sedimenting into the Hallett-Mossop zone. Between 40 min and 50 min there is a rapid shift of SIP events to updraft velocities between 20 m s−1 and 30 m s−1, that is, the updraft cores. Around 40 min a large number of trajectories record rain freezing events, which coincides with and may be instrumental for the shift of SIP events to the updraft cores (Figure 7c). The large vertical velocities, at which SIP events occur, ensure an efficient transport pathways to the cloud top. The transport to the upper tropopause takes less than 7 min for the majority of trajectories (Figure 3a–c). Accordingly, secondary ice is abundant at outflow levels, while only a much smaller fraction of the cloud contains secondary ice in the mixed-phase region (Figure 12).
The sensitivity experiments with a lower temperature for the onset of heterogeneous freezing, an altered INP number concentration or without a parameterisation of rain freezing show a very similar general behaviour in terms of the vertical velocity during SIP events (not shown). The only major change in the vertical velocity distributions during SIP events is the occurrence of high updraft velocities up to 30 m s−1 from the onset of SIP event in the “noRF” experiment with U = 25 m s−1. Again this is consistent with the shift of the SIP events closer to the updraft core in this simulation (SI Figure S13).

6. Conclusions

Idealised simulations based on the Weisman and Klemp [33] case are used to investigate the initiation of secondary ice production (SIP) via rime-splintering and the spread of secondary ice crystals through the cloud system. The thermodynamic and cloud microphysical evolution of air parcels prior to rime-splintering events is considered by using trajectory data at very high time resolution. It is demonstrated that the online-trajectories, which are computed at the physical time step of the ICON model simulation, successfully capture the rapid vertical motions in intense deep convective clouds and provide sufficient data-points to allow for a meaningful analysis of cloud microphysical processes.
The Lagrangian analysis shows that almost all air parcels, in which SIP occurs, originate in the below cloud layer and ascend prior to SIP events. Accordingly, the air parcel temperatures remain close to 0 °C before air parcels enter the Hallett-Mossop temperature zone, in which rime-splintering occurs. Consistent with the thermodynamic history, heterogeneous freezing of cloud droplets occurs only in less than 1% of air parcels prior to SIP events. The dominant source of graupel, which acts as rimer, is from sedimentation from higher levels and some contribution from freezing of rain drops. As both processes often occur simultaneously it is impossible to disentangle the relative importance of the two processes from the trajectory data alone. Sensitivity experiments, in which the rain freezing parameterisation is not used, suggest, however, the general spatio-temporal distribution of SIP events and the spread of secondary ice through the cloud is not strongly impacted by rain freezing. Nevertheless, rain freezing is more important than the presence of high-temperature INPs for the exact location and timing of SIP events. Previous studies have already suggested that rain freezing is a potentially important source of rimer particles (e.g., references [18,39,42]). While our simulations also suggest rain freezing to be relevant, graupel formation through riming in the updraft core and subsequent sedimentation is clearly more important and seems to be able to produce rimers within about 25 min after the initiation of the cloud. The very efficient formation of graupel is likely dependent on the cloud top temperature and large vertical velocity in the deep convective clouds here. Graupel formation in more shallow cumulus clouds, for which most observational evidence of rime-splintering is available, may be less important and hence in those clouds heterogeneous freezing or rain freezing may be important. Based on our results the importance of warm temperature INP and “in-situ” graupel formation will dependent critically on the air parcel history. If this is found to be similar to what is found in the deep convective clouds investigated here, limits the contribution of “in-situ” graupel formation. It would be very interesting to further explore the formation conditions and the pathway of graupel to the Hallett-Mossop temperature zone. Unfortunately, this is not possible with the current modelling system and available trajectory data due to the significant fall velocities of graupel. However, other Lagrangian frameworks (Lagrangian microphysics schemes) currently in development will allow for an analysis of the graupel pathways in future (e.g., reference [47]). A recent study has demonstrated the feasibility of such a framework for investigating deep convective cloud microphysics [48]. Here, we use instead sensitivity experiments without rain freezing and a colder onset temperature for heterogeneous freezing to shed some light on the sensitivity of graupel formation and sedimentation to high-temperature INP and rain freezing. As mentioned previously high-temperature INP seem to have no impact on the supply of graupel to the Hallett-Mossop temperature zone, while rain freezing results in graupel being present slightly earlier (1 to 3 min) and in regions more distant from the updraft cores. While improved parameterisation of heterogeneous freezing of cloud droplets have become available in the last decade and are used in numerical weather prediction models, better constrained rain freezing parameterisations, in particular also including INP information, would be highly desirable.
The Lagrangian data together with an extended ice microphysics scheme, that separately treats populations of ice crystals formed by different cloud microphysical processes, provides information of the spread of secondary ice through the cloud system. The trajectory data shows that secondary ice is rapidly transported from the Hallett-Mossop temperature zone to the cloud top region with transport typically taking around 5 min. In the roughly 15 min after the initial SIP events (of the entire simulation), this transport is less efficient and hence secondary ice is mainly present within the Hallett-Mossop temperature zone itself. In this stage SIP events occur mainly downstream of updraft cores, where graupel formed in the updraft core is likely sedimenting. Later SIP events increasingly shift closer to the updraft cores as riming growth gets more efficient. This coincides with the onset of efficient vertical transport of secondary ice crystals. While this shift in SIP locations is evident for all investigated vertical wind shear conditions, it is most pronounced in the highest wind shear case (U = 25 m s−1. After roughly 1 h secondary ice crystals are present in more than 50% of cloudy grid-points close to cloud top (temperatures colder than −40 °C) with an further increasing tendency for longer simulation times. In the mixed phase region, only about 10% to 20% of cloudy grid points contain secondary ice crystals. Except for the early phases of the cloud development (20–45 min into the simulation) this also hold for the Hallett-Mossop temperature zone. Despite the widespread presence of secondary ice in the upper parts of the clouds, the average number concentration (over grid boxes containing secondary ice) is several orders of magnitude smaller than that of primary ice crystals for temperatures colder than about −20 °C. This is consistent with other studies investigating the impact of rime-splintering on the cloud microphysical structure of clouds in more realistic cases (e.g., reference [29]). However, at warmer temperatures secondary ice crystal number concentration exceeds that of primary ice crystals by up to 4 orders of magnitude, albeit only in a relatively small area of the cloud.
It is important to note that the representation of ice- and mixed-phase cloud processes in numerical weather prediction models is subject to large uncertainties in the parameterisation formulation. The importance of different ice formation pathways depends of course also on the chosen parameterisations. For example, Hawker et al. [29] show that the impact of secondary ice on the glaciation behaviour and the cloud microphysical properties of the anvil depends on the temperature dependence in the heterogeneous freezing parameterisation. While exploring the sensitivity to various parameterisation schemes is beyond the scope of this study, a systematic investigation of parametric and systematic uncertainty in the model formulation would be very worthwhile. However, there is also substantial uncertainty in representing rime-splintering: The number and size of secondary ice crystals generated per event is highly uncertain and not all observed characteristic of rime-splintering for example regarding necessary properties of the cloud droplet size distribution (e.g., references [49,50,51]) or the surface temperature of graupel (e.g., reference [52]) can be mirrored in bulk microphyscis schemes (as used here). Previous studies have shown that these details in the formulation of the parameterisation have a non-negligible impact on the modelled cloud properties (e.g., references [10,39,53]). Further a number of other SIP mechanisms have been proposed for which there is some evidence from observational studies (e.g., reference [13]) but which have not been considered in the present study. Testing the full parameteric and systematic uncertainty of ice formation in numerical weather prediction models and its impact on cloud glaciation as well as macroscopic cloud properties is beyond the scope of the present study, but should be investigated in future studies. In light of these large uncertainties, there is an evident need to test the conclusions of our study with observational data. Most observational evidence for SIP to date comes from marine cumulus convection or convection embedded in frontal cloud systems (e.g., reference [9], and reference therein). In contrast, here deep convective systems have been considered. As vertical velocities and condensed water content in deep convective systems are much larger than in more shallow convection, differences in the importance of graupel are very likely. Also, the observational evidence mostly comes from clouds with fairly warm cloud top temperatures (>−15 °C), which implies much smaller ice production by heterogeneous and homogeneous freezing of cloud droplets. It is therefore anticipated, that high temperature INP and the rain freezing are more important in these clouds compared to the deep convective system with very cold cloud top temperature considered here. The Lagrangian analysis has clearly illustrated that it is important to consider the three-dimensional transport and sedimentation of hydrometeors for understanding SIP. The transport and sedimentation patterns will be significantly different in less vigourous cloud systems, but may not be less important. Another aspect, which has not been investigated here, is the impact of the aerosol environment. Previous studies have shown that the impact of secondary ice production on the cloud proproperties depends on the abundance of cloud condensation nuclei and ice nucleating particles (e.g., references [27,39,54,55]). Our sensitivity experiments on the number of INP did shown no significant impact on the initiation of SIP or the distribution of secondary ice throughout the cloud, although in the scenarios the ice enhancement factor through SIP is smaller at temperature larger than required for homogeneous freezing. In addition, the interaction between different clouds can impact the SIP in realistic cloud fields (e.g., reference [11]). Future studies, ideally combined with field observations, should systematically investigate these issues and thereby contribute to a more complete picture of the importance of SIP for cloud properties and evolution.
However, despite the constraints of the present study, the Lagrangian analysis provides interesting insight into the processes controlling SIP in the model and provides a link to previous parcel model studies. Our analysis clearly highlighted the importance of considering the complex vertical coupling of cloud microphysical processes in deep convective clouds, which has implications for interpreting observational and modelling data and for the anticipated sensitivity of SIP to high-temperature INPs.

Supplementary Materials

The following are available online at https://www.mdpi.com/2073-4433/11/5/542/s1, Figure S1: Cross-section through convective clouds with temperature as vertical coordiate, Figure S2: Composite evolution of SIP rates from riming on ice, snow and graupel, Figure S3: Composite evolution of ice, graupel and rain mass mixing ratios, Figure S4: Composite evolution of ice and cloud droplet number concentration, Figure S5: Average ice crystal number concentration as a function of temperature and simulation time, Figure S6: Minimum air parcel temperatures and parcel altitudes relative to SIP events for Thet,on = −10 °°C Figure S7: Minimum air parcel temperatures and parcel altitudes relative to SIP events for noRF, Figure S8: Minimum air parcel temperatures and parcel altitudes relative to SIP events for 10 × INP, Figure S9: Minimum air parcel temperatures and parcel altitudes relative to SIP events for 0.1 × INP, Figure S10: Fraction of trajectories with contribution from different freezing proceesses for Thet,on = −10 °°C, noRF, 10 × INP and 0.1 × INP, Figure S11: Composite evolution for integrated ice crystal number concentration rates for Thet,on = −10 °°C, noRF, 10 × INP and 0.1 × INP, Figure S12: Composite evolution for integrated graupel number concentration rates for Thet,on = −10 °°C, noRF, 10 × INP and 0.1 × INP, Figure S13: Updraft regions and average SIP rates for noRF, Figure S14: Ratio of secondary to primary ice crystal number concentration from Thet,on = −5 °°C, noRF, 10 × INP and 0.1 × INP.

Author Contributions

A.K.M. designed the research, conducted the simulations as well as the analysis, and wrote the majority of the text. C.S. implemented the initial version of the Lagrangian online-tracking tool into ICON. A.K.M. improved and adapted it for this research. T.L. implemented the extended ice microphysics module. C.S. and T.L. contributed to the writing of the manuscript. All authors have read and agree to the published version of the manuscript.

Funding

AKM acknowledges support by Deutsche Forschungsgemeinde (DFG) as part of the Transregional Collaborative Research Center SFB/TRR 165’ “Waves to Weather”. CS thanks the German Federal Ministry of Education and Research (BMBF) for funding this project as part of the HD(CP)2 research program under grant 01LK1505B. TL acknowledges support by the German Federal Ministry of Education and Research (BMBF) within the HD(CP)2 initiative, project S3 (01LK1505C) and by the Internal University Research Funding of the Johannes Gutenberg University. The authors thank three anonymous reviewers for their valuable comments.

Acknowledgments

We thank Peter Spichtinger for interesting discussions and input to this study. This research was conducted using the supercomputer Mogon-II at the Johannes Gutenberg University Mainz, which is a member of the AHRP (Alliance for High Performance Computing in Rhineland Palatinate) and the Gauss Alliance e.V. The authors gratefully acknowledge the computing time granted on the supercomputer Mogon-II at Johannes Gutenberg University Mainz.

Conflicts of Interest

The authors declare no conflict of interest.

References

  1. Korolev, A.; McFarquhar, G.; Field, P.R.; Franklin, C.; Lawson, P.; Wang, Z.; Williams, E.; Abel, S.J.; Axisa, D.; Borrmann, S.; et al. Mixed-phase clouds: Progress and challenges. Meteorol. Monogr. 2017, 58, 5.1–5.50. [Google Scholar] [CrossRef]
  2. Petters, M.D.; Wright, T.P. Revisiting ice nucleation from precipitation samples. Geophys. Res. Lett. 2015, 42, 8758–8766. [Google Scholar] [CrossRef]
  3. Vardiman, L. The generation of secondary ice particles in clouds by crystal–crystal collision. J. Atmos. Sci. 1978, 35, 2168–2180. [Google Scholar] [CrossRef]
  4. Takahashi, T.; Nagao, Y.; Kushiyama, Y. Possible High Ice Particle Production during Graupel–Graupel Collisions. J. Atmos. Sci. 1995, 52, 4523–4527. [Google Scholar] [CrossRef]
  5. Yano, J.I.; Phillips, V.T.J. Ice–ice collisions: An ice multiplication process in atmospheric clouds. J. Atmos. Sci. 2011, 68, 322–333. [Google Scholar] [CrossRef]
  6. Hallett, J.; Mossop, S.C. Production of secondary ice particles during the riming process. Nature 1974, 249, 26–28. [Google Scholar] [CrossRef]
  7. Mossop, S.C. Secondary ice particle production during rime growth: The effect of drop size distribution and rimer velocity. Q. J. R. Meteorol. Soc. 1985, 111, 1113–1124. [Google Scholar] [CrossRef]
  8. Lauber, A.; Kiselev, A.; Pander, T.; Handmann, P.; Leisner, T. Secondary ice formation during freezing of levitated droplets. J. Atmos. Sci. 2018, 75, 2815–2826. [Google Scholar] [CrossRef]
  9. Field, P.R.; Lawson, R.P.; Brown, P.R.A.; Lloyd, G.; Westbrook, C.; Moisseev, D.; Miltenberger, A.; Nenes, A.; Blyth, A.; Choularton, T.; et al. Secondary ice production: Current state of the science and recommendations for the future. Meteorol. Monogr. 2017, 58, 7.1–7.20. [Google Scholar] [CrossRef]
  10. Sinclair, V.A.; Moisseev, D.; von Lerber, A. How dual-polarization radar observations can be used to verify model representation of secondary ice. J. Geophys. Res. Atmos. 2016, 2016JD025381. [Google Scholar] [CrossRef]
  11. Jackson, R.; French, J.R.; Leon, D.C.; Plummer, D.M.; Lasher-Trapp, S.; Blyth, A.M.; Korolev, A. Observations of the microphysical evolution of convective clouds in the southwest of the United Kingdom. Atmos. Chem. Phys. 2018, 18, 15329–15344. [Google Scholar] [CrossRef]
  12. Mignani, C.; Creamean, J.M.; Zimmermann, L.; Alewell, C.; Conen, F. New type of evidence for secondary ice formation at around −15 °C in mixed-phase clouds. Atmos. Chem. Phys. 2019, 19, 877–886. [Google Scholar] [CrossRef]
  13. Korolev, A.; Heckman, I.; Wolde, M.; Ackerman, A.S.; Fridlind, A.M.; Ladino, L.; Lawson, P.; Milbrandt, J.; Williams, E. A new look at the environmental conditions favorable to secondary ice production. Atmos. Chem. Phys. Dis. 2019, 2019, 1–67. [Google Scholar] [CrossRef]
  14. Fridlind, A.M.; Ackerman, A.S.; McFarquhar, G.; Zhang, G.; Poellot, M.R.; DeMott, P.J.; Prenni, A.J.; Heymsfield, A.J. Ice properties of single-layer stratocumuls during the Mixed-Phase Arcitc Cloud Experiment: 2. Model results. J. Geophys. Res. 2007, 112, D24202. [Google Scholar] [CrossRef]
  15. Lawson, R.P.; Woods, S.; Morrison, H. The Microphysics of Ice and Precipitation Development in Tropical Cumulus Clouds. J. Atmos. Sci. 2015, 72, 2429–2445. [Google Scholar] [CrossRef]
  16. Sullivan, S.C.; Barthlott, C.; Crosier, J.; Zhukov, I.; Nenes, A.; Hoose, C. The effect of secondary ice production parameterization on the simulation of a cold frontal rainband. Atmos. Chem. Phys. 2018, 18, 16461–16480. [Google Scholar] [CrossRef]
  17. Beard, K.V. Ice initiation in warm-base convective clouds: An assessment of microphysical mechanisms. Atmos. Res. 1992, 28, 125–152. [Google Scholar] [CrossRef]
  18. Huang, Y.; Blyth, A.M.; Brown, P.R.A.; Choularton, T.W.; Cui, Z. Factors controlling secondary ice production in cumulus clouds. Q. J. R. Meteorol. Soc. 2017, 143, 1021–1031. [Google Scholar] [CrossRef]
  19. Sullivan, S.C.; Hoose, C.; Kiselev, A.; Leisner, T.; Nenes, A. Initiation of secondary ice production in clouds. Atmos. Chem. Phys. 2018, 18, 1593–1610. [Google Scholar] [CrossRef]
  20. Koenig, L.R. The glaciating behavior of small cumulonimbus clouds. J. Atmos. Sci. 1963, 20, 29–47. [Google Scholar] [CrossRef]
  21. Heymsfield, A.; Willis, P. Cloud conditions favoring secondary ice particle production in tropical maritime convection. J. Atmos. Sci. 2014, 71, 4500–4526. [Google Scholar] [CrossRef]
  22. Taylor, J.W.; Choularton, T.W.; Blyth, A.M.; Liu, Z.; Bower, K.N.; Crosier, J.; Gallagher, M.W.; Williams, P.I.; Dorsey, J.R.; Flynn, M.J.; et al. Observations of cloud microphysics and ice formation during COPE. Atmos. Chem. Phys. 2016, 16, 799–826. [Google Scholar] [CrossRef]
  23. Chisnell, R.F.; Latham, J. A stochastic model of ice particle multiplication by drop splintering. Q. J. R. Meteorol. Soc. 1974, 100, 296–308. [Google Scholar] [CrossRef]
  24. Cziczo, D.J.; Ladino, L.; Boose, Y.; Kanji, Z.A.; Kupiszewski, P.; Lance, S.; Mertes, S.; Wex, H. Chapter 8: Measurements of ice nucleating particles and ice residuals. Meteorol. Monogr. 2017, 58, 8.1–8.13. [Google Scholar] [CrossRef]
  25. Phillips, V.T.J.; Andronache, C.; Sherwood, S.C.; Bansemer, A.; Conant, W.C.; Demott, P.J.; Flagan, R.C.; Heymsfield, A.; Jonsson, H.; Poellot, M.; et al. Anvil glaciation in a deep cumulus updraught over Florida simulated with the Explicit Microphysics Model. I: Impact of various nucleation processes. Q. J. R. Meteorol. Soc. 2005, 131, 2019–2046. [Google Scholar] [CrossRef]
  26. Connolly, P.J.; Heymsfield, A.J.; Choularton, T.W. Modelling the influence of rimer surface temperature on the glaciation of intense thunderstorms: The rime–splinter mechanism of ice multiplication. Q. J. R. Meteorol. Soc. 2006, 132, 3059–3077. [Google Scholar] [CrossRef]
  27. Connolly, P.J.; Choularton, T.W.; Gallagher, M.W.; Bower, K.N.; Flynn, M.J.; Whiteway, J.A. Cloud-resolving simulations of intense tropical Hector thunderstorms: Implications for aerosol–cloud interactions. Q. J. R. Meteorol. Soc. 2006, 132, 3079–3106. [Google Scholar] [CrossRef]
  28. Zipori, A.; Reicher, N.; Erel, Y.; Rosenfeld, D.; Sandler, A.; Knopf, D.A.; Rudich, Y. The role of secondary ice processes in midlatitude continental clouds. J. Geophys. Res. Atmos. 2018, 123, 12762–12777. [Google Scholar] [CrossRef]
  29. Hawker, R.; Miltenberger, A.K.; Wilkinson, J.M.; Hill, A.A.; Shipway, B.J.; Cui, Z.; Cotton, R.J.; Carslaw, K.S.; Field, P.R.; Murray, B.J. Ice-nucleating particles impact the radiative properties of deep convective clouds in the Tropical Atlantic. 2020. in preparation. [Google Scholar]
  30. Miltenberger, A.K.; Field, P.R. Sensitivity of mixed-phase moderately deep convective clouds to parameterisations of ice formation—An ensemble perspective. 2020. in preparation. [Google Scholar]
  31. Miltenberger, A.K.; Pfahl, S.; Wernli, H. An online trajectory module (version 1.0) for the non-hydrostatic numerical weather prediction model COSMO. Geosci. Model Dev. 2013, 6, 1989–2004. [Google Scholar] [CrossRef]
  32. Zängl, G.; Reinert, D.; Rípodas, P.; Baldauf, M. The ICON (ICOsahedral Non-hydrostatic) modelling framework of DWD and MPI-M: Description of the non-hydrostatic dynamical core. Q. J. R. Meteorol. Soc. 2015, 141, 563–579. [Google Scholar] [CrossRef]
  33. Weisman, M.L.; Klemp, J.B. The dependence of numerically simulated convective storms on vertical wind shear and buoyancy. Mon. Wea. Rev. 1982, 110, 504–520. [Google Scholar] [CrossRef]
  34. Seifert, A.; Beheng, K.D. A two-moment cloud microphysics parameterization for mixed-phase clouds. Part 1: Model description. Meteorol. Atmos. Phys. 2006, 92, 45–66. [Google Scholar] [CrossRef]
  35. Hande, L.B.; Engler, C.; Hoose, C.; Tegen, I. Parameterizing cloud condensation nuclei concentrations during HOPE. Atmos. Chem. Phys. 2016, 16, 12059–12079. [Google Scholar] [CrossRef]
  36. Hande, L.B.; Engler, C.; Hoose, C.; Tegen, I. Seasonal variability of Saharan desert dust and ice nucleating particles over Europe. Atmos. Chem. Phys. 2015, 15, 4389–4397. [Google Scholar] [CrossRef]
  37. Kärcher, B.; Hendricks, J.; Lohmann, U. Physically based parameterization of cirrus cloud formation for use in global atmospheric models. J. Geophys. Res. Atmos. 2006, 111. [Google Scholar] [CrossRef]
  38. Jeffery, C.A.; Austin, P.H. Homogeneous nucleation of supercooled water: Results from a new equation of state. J. Geophys. Res. Atmos. 1997, 102, 25269–25279. [Google Scholar] [CrossRef]
  39. Huang, Y.; Blyth, A.M.; Brown, P.R.A.; Choularton, T.W.; Connolly, P.; Gadian, A.M.; Jones, H.; Latham, J.; Cui, Z.; Carslaw, K. The development of ice in a cumulus cloud over southwest England. New J. Phys. 2008, 10, 105021. [Google Scholar] [CrossRef]
  40. Barklie, R.H.D.; Gokhale, N.R. The freezing of supercooled water drops. Stormy Weather Group McGill Univ. Sci. Rep. 1959, 30, 43–64. [Google Scholar]
  41. Crawford, I.; Bower, K.N.; Choularton, T.W.; Dearden, C.; Crosier, J.; Westbrook, C.; Capes, G.; Coe, H.; Connolly, P.J.; Dorsey, J.R.; et al. Ice formation and development in aged, wintertime cumulus over the UK: Observations and modelling. Atmos. Chem. Phys. 2012, 12, 4963–4985. [Google Scholar] [CrossRef]
  42. Koenig, L.R. The rime-splintering hypothesis of cumulus glaciation examined using a field-of-flow cloud model. Q. J. R. Meteorol. Soc. 1977, 103, 585–606. [Google Scholar] [CrossRef]
  43. Stern, D.P.; Zhang, F. How does the eye warm? Part II: Sensitivity to vertical wind shear, and a trajectory analysis. J. Atmos. Sci. 2013, 70, 1849–1873. [Google Scholar] [CrossRef]
  44. Miltenberger, A.K.; Reynolds, S.; Sprenger, M. Revisiting the latent heating contribution to foehn warming: Lagrangian analysis of two foehn events over the Swiss Alps. Q. J. R. Meteorol. Soc. 2016, 142, 2194–2204. [Google Scholar] [CrossRef]
  45. Stevens, B.; Seifert, A. Understanding macrophysical outcomes of microphysical choices in simulations of shallow cumulus convection. J. Meteorol. Soc. Jpn. 2008, 86A, 143–162. [Google Scholar] [CrossRef]
  46. Blyth, A.M.; Latham, J. A multi-thermal model of cumulus glaciation via the Hallett-Mossop process. Q. J. R. Meteorol. Soc. 1997, 123, 1185–1198. [Google Scholar] [CrossRef]
  47. Brdar, S.; Seifert, A. McSnow: A Monte-Carlo particle model for riming and aggregation of ice particles in a multidimensional microphysical phase space. J. Adv. Model. Earth Sys. 2018, 10, 187–206. [Google Scholar] [CrossRef]
  48. Shima, S.; Sato, Y.; Hashimoto, A.; Misumi, R. Predicting the morphology of ice particles in deep convection using the super-droplet method: Development and evaluation of SCALE-SDM 0.2.5-2.2.0/2.2.1. Geosci. Model Dev. Discuss. 2019, 2019, 1–83. [Google Scholar] [CrossRef]
  49. Mossop, S.C. Production of secondary ice particles during the growth of graupel by riming. Q. J. R. Meteorol. Soc. 1976, 102, 45–57. [Google Scholar] [CrossRef]
  50. Mossop, S.C. The influence of drop size distribution on the production of secondary ice particles during graupel growth. Q. J. R. Meteorol. Soc. 1978, 104, 323–330. [Google Scholar] [CrossRef]
  51. Beheng, K.D. Microphysical properties of glaciating cumulus clouds: Comparison of measurements with a numerical simu-lation. Q. J. R. Meteorol. Soc. 1987, 113, 1377–1382. [Google Scholar] [CrossRef]
  52. Heymsfield, A.J.; Mossop, S.C. Temperature de-pendence of secondary ice crystal production during soft hail growth by riming. Q. J. R. Meteorol. Soc. 1984, 110, 765–770. [Google Scholar] [CrossRef]
  53. Young, G.; Lachlan-Cope, T.; O’Shea, S.J.; Dearden, C.; Listowski, C.; Bower, K.N.; Choularton, T.W.; Gallagher, M.W. Radiative Effects of Secondary Ice Enhancement in Coastal Antarctic Clouds. Geophys. Res. Lett. 2019, 46, 2312–2321. [Google Scholar] [CrossRef]
  54. Phillips, V.T.J.; Blyth, A.M.; Brown, P.R.A.; Choularton, T.W.; Latham, J. The glaciation of a cumulus cloud over New Mexico. Q. J. R. Meteorol. Soc. 2001, 127, 1513–1534. [Google Scholar] [CrossRef]
  55. Phillips, V.T.J.; Donner, L.J.; Garner, S.T. Nucleation Processes in Deep Convection Simulated by a Cloud-System-Resolving Model with Double-Moment Bulk Microphysics. J. Atmos. Sci. 2007, 64, 738–761. [Google Scholar] [CrossRef]
Figure 1. (a) Time series of the domain wide maximum vertical velocity in simulations with different vertical wind shear. (b) Temperature dependence of the number of ice nucleating particles acting in immersion mode. The dashed orange lines show the onset temperatures for heterogeneous freezing used in the sensitivity experiments and the grey shaded area the Hallett-Mossop temperature range. (ce) Distribution of accumulated surface precipitation (shading) after 120 min for the simulations with vertical wind shear of 5 m s−1 (d), 15 m s−1 (e) and 25 m s−1 (f).
Figure 1. (a) Time series of the domain wide maximum vertical velocity in simulations with different vertical wind shear. (b) Temperature dependence of the number of ice nucleating particles acting in immersion mode. The dashed orange lines show the onset temperatures for heterogeneous freezing used in the sensitivity experiments and the grey shaded area the Hallett-Mossop temperature range. (ce) Distribution of accumulated surface precipitation (shading) after 120 min for the simulations with vertical wind shear of 5 m s−1 (d), 15 m s−1 (e) and 25 m s−1 (f).
Atmosphere 11 00542 g001
Figure 2. (a) Vertical cross-section through the deep convective cloud along the initial wind direction 30 min after the start of the simulation with a wind shear of 25 m s−1 (at y = 0 km). The colour shading shows the mass mixing ratio of cloud droplets, ice (all modes) and snow. Different hatching indicates areas with mass mixing ratios of the different ice modes (see legend) in excess of 1 mg kg−1. The black line corresponds to the altitude of the 0 °C line. (b) Cross-section through the deep convective cloud 50 min after the start of the simulation with a wind shear of 25 m s−1 (at y = 0 km). As in (a) the colour shading represents the mass mixing ratio fo cloud droplets, ice (all modes) and snow. The red lines show the trajectories, which pass through the region of maximum vertical velocity at this time. The black contours show the vertical velocity (solid: 2 m s−1 and 20 m s−1, dashed: −2 m s−1.
Figure 2. (a) Vertical cross-section through the deep convective cloud along the initial wind direction 30 min after the start of the simulation with a wind shear of 25 m s−1 (at y = 0 km). The colour shading shows the mass mixing ratio of cloud droplets, ice (all modes) and snow. Different hatching indicates areas with mass mixing ratios of the different ice modes (see legend) in excess of 1 mg kg−1. The black line corresponds to the altitude of the 0 °C line. (b) Cross-section through the deep convective cloud 50 min after the start of the simulation with a wind shear of 25 m s−1 (at y = 0 km). As in (a) the colour shading represents the mass mixing ratio fo cloud droplets, ice (all modes) and snow. The red lines show the trajectories, which pass through the region of maximum vertical velocity at this time. The black contours show the vertical velocity (solid: 2 m s−1 and 20 m s−1, dashed: −2 m s−1.
Atmosphere 11 00542 g002
Figure 3. Composite evolution of trajectory altitude relative to the time and altitude of the first SIP event for simulations with U = 5 m s−1 (a,d), 15 m s−1 (b,e) and 25 m s−1 (c,f). Panels (ac) shows the composite for all SIP events during the simulation. Panels (df) lower row only those occurring in the first 10 min after the first overall SIP event.
Figure 3. Composite evolution of trajectory altitude relative to the time and altitude of the first SIP event for simulations with U = 5 m s−1 (a,d), 15 m s−1 (b,e) and 25 m s−1 (c,f). Panels (ac) shows the composite for all SIP events during the simulation. Panels (df) lower row only those occurring in the first 10 min after the first overall SIP event.
Atmosphere 11 00542 g003
Figure 4. Distribution of minimum temperatures along trajectories in 10 min prior to first SIP event. The shading indicates the frequency of occurrence of a particular minimum temperature, the ordinate corresponds to the simulation time, at which the SIP event occurred. The different panels shows simulations with different vertical wind shear: (a) U = 5 m s−1, (b) 15 m s−1, and (c) 25 m s−1. In the shown simulations heterogeneous freezing commences at −5 °C.
Figure 4. Distribution of minimum temperatures along trajectories in 10 min prior to first SIP event. The shading indicates the frequency of occurrence of a particular minimum temperature, the ordinate corresponds to the simulation time, at which the SIP event occurred. The different panels shows simulations with different vertical wind shear: (a) U = 5 m s−1, (b) 15 m s−1, and (c) 25 m s−1. In the shown simulations heterogeneous freezing commences at −5 °C.
Atmosphere 11 00542 g004
Figure 5. Composite evolution of cloud droplet mass mixing ratio (ac) as well as the rain drop (df) and graupel (gi) number density along trajectories relative to the time and altitude of the first SIP event for simulations with U = 5 m s−1 (a,d,g), 15 m s−1 (b,e,h) and 25 m s−1 (c,f,i). In the shown simulations heterogeneous freezing commences at −5 °C.
Figure 5. Composite evolution of cloud droplet mass mixing ratio (ac) as well as the rain drop (df) and graupel (gi) number density along trajectories relative to the time and altitude of the first SIP event for simulations with U = 5 m s−1 (a,d,g), 15 m s−1 (b,e,h) and 25 m s−1 (c,f,i). In the shown simulations heterogeneous freezing commences at −5 °C.
Atmosphere 11 00542 g005
Figure 6. (ac) Composite evolution of integrated ice crystal number concentration rates due to SIP (grey), heterogeneous freezing (blue), homogeneous nucleation (cyan), and homogeneous cloud droplet freezing (green). (df) Composite evolution of integrated graupel number concentration rates due to riming (magenta), sedimentation influx (blue), and rain freezing (red). Solid (dashed) lines show the 50th (99th and 1st) percentile of the rates from all trajectories. Composites are centred on the time of the first SIP event along each trajectory. In the shown simulations heterogeneous freezing commences at −5 °C.
Figure 6. (ac) Composite evolution of integrated ice crystal number concentration rates due to SIP (grey), heterogeneous freezing (blue), homogeneous nucleation (cyan), and homogeneous cloud droplet freezing (green). (df) Composite evolution of integrated graupel number concentration rates due to riming (magenta), sedimentation influx (blue), and rain freezing (red). Solid (dashed) lines show the 50th (99th and 1st) percentile of the rates from all trajectories. Composites are centred on the time of the first SIP event along each trajectory. In the shown simulations heterogeneous freezing commences at −5 °C.
Atmosphere 11 00542 g006
Figure 7. Fraction of trajectories, in which heterogeneous freezing (cyan), homogeneous freezing (blue), rain drop freezing (red), sedimentation influx of ice and snow (light green) or sedimentation influx of graupel (dark green) happened during the 10 min before the first SIP event. The abscissa shows the time after the start of the simulation, at which the SIP event occurred. The red (dark green) dashed lines indicates the fraction of trajectories, which are not influenced by graupel sedimentation (rain freezing) but in which rain freezing (graupel sedimentation) occurs. The different panels shows simulations with different vertical wind shear: (a) U = 5 m s−1, (b) 15 m s−1, and (c) 25 m s−1. In the shown simulations heterogeneous freezing commences at −5 °C.
Figure 7. Fraction of trajectories, in which heterogeneous freezing (cyan), homogeneous freezing (blue), rain drop freezing (red), sedimentation influx of ice and snow (light green) or sedimentation influx of graupel (dark green) happened during the 10 min before the first SIP event. The abscissa shows the time after the start of the simulation, at which the SIP event occurred. The red (dark green) dashed lines indicates the fraction of trajectories, which are not influenced by graupel sedimentation (rain freezing) but in which rain freezing (graupel sedimentation) occurs. The different panels shows simulations with different vertical wind shear: (a) U = 5 m s−1, (b) 15 m s−1, and (c) 25 m s−1. In the shown simulations heterogeneous freezing commences at −5 °C.
Atmosphere 11 00542 g007
Figure 8. Updraft cores (cyan contours: 15 m s−1 and 30 m s−1) and average SIP rate (shading) at simulations times of 35 min (ac) and 100 min (df). The orange contour encircles the region in the Hallett-Mossop zone with vertical velocities larger than 15 m s−1. The different columns shows simulations with different vertical wind shear: (a,d) U = 5 m s−1, (b,e) 15 m s−1, and (c,f) 25 m s−1. In the shown simulations heterogeneous freezing commences at −5 °C. Note different sections of the simulation domain are shown reflecting the varying propagation speed of the cells in different wind shear conditions.
Figure 8. Updraft cores (cyan contours: 15 m s−1 and 30 m s−1) and average SIP rate (shading) at simulations times of 35 min (ac) and 100 min (df). The orange contour encircles the region in the Hallett-Mossop zone with vertical velocities larger than 15 m s−1. The different columns shows simulations with different vertical wind shear: (a,d) U = 5 m s−1, (b,e) 15 m s−1, and (c,f) 25 m s−1. In the shown simulations heterogeneous freezing commences at −5 °C. Note different sections of the simulation domain are shown reflecting the varying propagation speed of the cells in different wind shear conditions.
Atmosphere 11 00542 g008
Figure 9. Average ice crystal number concentration in the Hallett-Mossop temperature zone (a) and in the upper troposphere (b) for the simulations with Thet,on = −5 °C (solid), Thet,on = −10 °C (dotted), and no parameterisation of rain freezing (dashed). The different line colours correspond to the different vertical wind shear conditions (see legend).
Figure 9. Average ice crystal number concentration in the Hallett-Mossop temperature zone (a) and in the upper troposphere (b) for the simulations with Thet,on = −5 °C (solid), Thet,on = −10 °C (dotted), and no parameterisation of rain freezing (dashed). The different line colours correspond to the different vertical wind shear conditions (see legend).
Atmosphere 11 00542 g009
Figure 10. Distribution of minimum in-cloud temperature along trajectories in the 10 min prior to the first SIP event along the considered trajectories for simulations with Thet,on = −5 °C (a), −10 °C (b), and with no rain freezing parameterisation and Thet,on = −5 °C (c). The solid lines indicate the distribution during the first 5 min after the onset of SIP in the simulation, while the dashed lines indicate the distribution over the entire simulation time. Different line colours represent simulations with different vertical wind shear (see legend).
Figure 10. Distribution of minimum in-cloud temperature along trajectories in the 10 min prior to the first SIP event along the considered trajectories for simulations with Thet,on = −5 °C (a), −10 °C (b), and with no rain freezing parameterisation and Thet,on = −5 °C (c). The solid lines indicate the distribution during the first 5 min after the onset of SIP in the simulation, while the dashed lines indicate the distribution over the entire simulation time. Different line colours represent simulations with different vertical wind shear (see legend).
Atmosphere 11 00542 g010
Figure 11. Fraction of trajectories, for which heterogeneous freezing rates (cyan), rain freezing rates (red), or the sedimentation influx of graupel from higher levels (green) are larger than 1 × 10−12 kg−1 s−1 in the 10 min prior to the first SIP event. Orange marker show the fraction of trajectories, in which only rain freezing rates, but not the sedimentation influx of graupel exceeds the 1 × 10−12 kg−1 s−1 threshold. In (a) only trajectories, in which SIP occurs within 10 min after the onset of SIP in the simulation, are considered, while in (b) all SIP trajectories are taken into account. The square markers indicate the mean and the whiskers the minimum and maximum fraction. For each wind shear (marked above the plot), results from simulations with Thet,on = −5 °C, Thet,on = −10 °C and no rain freezing parameterisation are shown (marked at the bottom of the plot).
Figure 11. Fraction of trajectories, for which heterogeneous freezing rates (cyan), rain freezing rates (red), or the sedimentation influx of graupel from higher levels (green) are larger than 1 × 10−12 kg−1 s−1 in the 10 min prior to the first SIP event. Orange marker show the fraction of trajectories, in which only rain freezing rates, but not the sedimentation influx of graupel exceeds the 1 × 10−12 kg−1 s−1 threshold. In (a) only trajectories, in which SIP occurs within 10 min after the onset of SIP in the simulation, are considered, while in (b) all SIP trajectories are taken into account. The square markers indicate the mean and the whiskers the minimum and maximum fraction. For each wind shear (marked above the plot), results from simulations with Thet,on = −5 °C, Thet,on = −10 °C and no rain freezing parameterisation are shown (marked at the bottom of the plot).
Atmosphere 11 00542 g011
Figure 12. Fraction of cloudy grid-boxes, in which ice crystals produced by SIP are present (Ni,sec > 0.11 −1) as a function of simulation time and air temperature (shading). The upper row shows simulations with a parameterisation of rain freezing and the lower row ones without a rain freezing parameterisation. The cyan line indicates the onset of cloud fraction larger than 0.01. The different panels shows simulations with different vertical wind shear: (a,c) U = 5 m s−1, (b,d) 15 m s−1, (f) U = 25 m s−1 and (c,e) 25 m s−1. In the shown simulations heterogeneous freezing commences at −5 °C.
Figure 12. Fraction of cloudy grid-boxes, in which ice crystals produced by SIP are present (Ni,sec > 0.11 −1) as a function of simulation time and air temperature (shading). The upper row shows simulations with a parameterisation of rain freezing and the lower row ones without a rain freezing parameterisation. The cyan line indicates the onset of cloud fraction larger than 0.01. The different panels shows simulations with different vertical wind shear: (a,c) U = 5 m s−1, (b,d) 15 m s−1, (f) U = 25 m s−1 and (c,e) 25 m s−1. In the shown simulations heterogeneous freezing commences at −5 °C.
Atmosphere 11 00542 g012
Figure 13. Vertical velocity at the location of the first SIP event along each trajectory. The ordinate indicates the time in the simulation, at which the first SIP event occurred. The different panels shows simulations with different vertical wind shear: (a) U = 5 m s−1, (b) 15 m s−1, and (c) 25 m s−1. In the shown simulations heterogeneous freezing commences at −5 °C.
Figure 13. Vertical velocity at the location of the first SIP event along each trajectory. The ordinate indicates the time in the simulation, at which the first SIP event occurred. The different panels shows simulations with different vertical wind shear: (a) U = 5 m s−1, (b) 15 m s−1, and (c) 25 m s−1. In the shown simulations heterogeneous freezing commences at −5 °C.
Atmosphere 11 00542 g013

Share and Cite

MDPI and ACS Style

Miltenberger, A.K.; Lüttmer, T.; Siewert, C. Secondary Ice Formation in Idealised Deep Convection—Source of Primary Ice and Impact on Glaciation. Atmosphere 2020, 11, 542. https://doi.org/10.3390/atmos11050542

AMA Style

Miltenberger AK, Lüttmer T, Siewert C. Secondary Ice Formation in Idealised Deep Convection—Source of Primary Ice and Impact on Glaciation. Atmosphere. 2020; 11(5):542. https://doi.org/10.3390/atmos11050542

Chicago/Turabian Style

Miltenberger, Annette K., Tim Lüttmer, and Christoph Siewert. 2020. "Secondary Ice Formation in Idealised Deep Convection—Source of Primary Ice and Impact on Glaciation" Atmosphere 11, no. 5: 542. https://doi.org/10.3390/atmos11050542

APA Style

Miltenberger, A. K., Lüttmer, T., & Siewert, C. (2020). Secondary Ice Formation in Idealised Deep Convection—Source of Primary Ice and Impact on Glaciation. Atmosphere, 11(5), 542. https://doi.org/10.3390/atmos11050542

Note that from the first issue of 2016, this journal uses article numbers instead of page numbers. See further details here.

Article Metrics

Back to TopTop