The Observation Path Problems and the Formation Conditions of the Elevated Layer of Black Carbon Aerosol
Abstract
1. Introduction
2. Cases and Research Scheme
2.1. Cases
2.2. Observation Scheme
2.3. Simulation Scheme
3. Results and Discussion
3.1. Airborne Detection Results and the Interpretation
3.1.1. Airborne Detection Results
3.1.2. The Evaluation of Modeling on the Case on 25 October
3.1.3. A Numerical Simulation Analysis on the Authenticity of the Elevated BC Concentration Layers
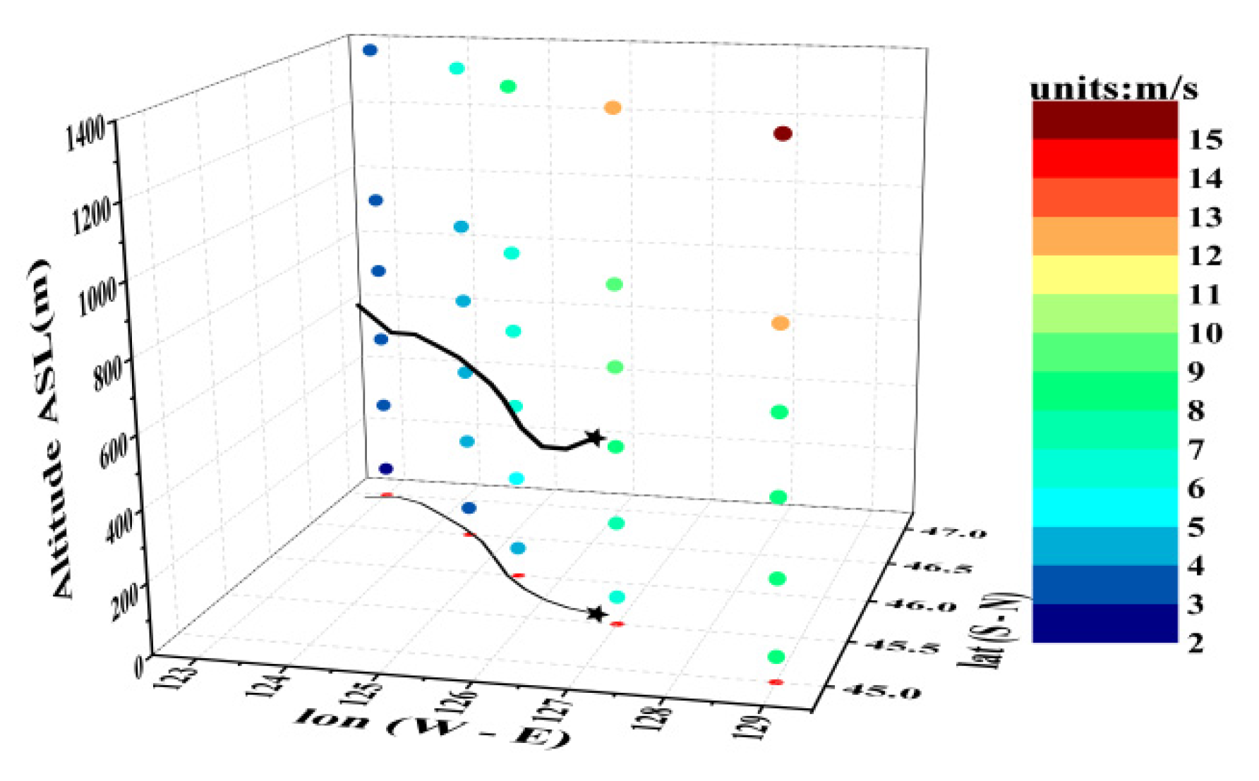
3.1.4. Discussion about the Observation Path
3.2. Simulation Analysis of the Influence of the Turbulence on the Formation of the Elevated BC Layer
3.3. Simulation Analysis of the Formation of the Elevated BC Concentration Layers Due to the Weak Upward Motion
4. Conclusions
- (1)
- The numerical simulation results for the flight area on the afternoon of that day show that the turbulent energy in the lower and middle layers of the mixing layer is greater than that in the upper layers, and there is no particularly prominent peak of total advection transport in the lower and middle layers of the mixing layer. Therefore, in the lower and middle layers of the mixing layer, no elevated BC concentration layers appear, but constant BC concentration occurs. The numerical simulation shows that even though Ping Fang District in Harbin covers a horizontal area of only 10–20 km, in the early phase of the heating period, the horizontal variability of the BC concentration in the atmospheric mixing layer is sufficiently large. As a result, an elevated BC concentration layer is simulated when we conduct the point-by-point analysis along with one round of spiral flight, the same as the flight path on 25 October, however, it is a false elevated layer. The horizontal variability of the BC concentration in the mixing layer does not change with the altitude. Above the mixing layer, the root mean square decreases rapidly with the altitude. As the thickness of the mixing layer increases, the root mean square in the mixing layer decreases. Therefore, in the observation of the vertical distribution of the BC concentration, more special attention should be paid to the horizontal variability of the BC concentration for smaller thicknesses of the mixing layer to avoid observing false elevated BC concentration layers. In the planning of the flight path, a few rounds of spiral flights should be performed in the mixing layer.
- (2)
- The numerical simulation results also show that the weak vertical upward flow (on the order of cm/s) in the mixing layer during the daytime can hardly form elevated BC concentration layers due to strong turbulence in the mixing layer. However, during the nighttime, the proper combination of a weak vertical flow with the BC concentration or the vertical gradient of the BC concentration is conducive for the formation of elevated BC concentration layers. More specifically, if the BC concentration in the convergence region of weak vertical upward flow is sufficiently large or the vertical gradient of the BC concentration at the center of the weak vertical upward flow is sufficiently large, the conditions are conducive to the formation of elevated BC concentration layers. Because in the high BC emission areas, the BC concentration and the vertical gradient of the BC concentration in the lower layer of the atmosphere are large in all probability in the nighttime, the lower altitude of the weak vertical upward flow in the nighttime favors more the formation of elevated BC concentration layers.
Author Contributions
Funding
Acknowledgments
Conflicts of Interest
References
- Ferrero, L.; Cappelletti, D.; Busetto, M.; Mazzola, M.; Lupi, A.; Lanconelli, C.; Becagli, S.; Traversi, R.; Caiazzo, L.; Giardi, F.; et al. Vertical profiles of aerosol and black carbon in the Arctic: A seasonal phenomenology along 2 years (2011–2012) of field campaigns. Atmos. Chem. Phys. 2016, 16, 12601–12629. [Google Scholar] [CrossRef]
- Flanner, M.G. Arctic climate sensitivity to local black carbon. Geophys. Res. Lett. 2013, 118, 1840–1851. [Google Scholar] [CrossRef]
- Brock, C.A.; Cozic, J.; Bahreini, R.; Froyd, K.D.; Middlebrook, A.M.; McComiskey, A.; Brioude, J.; Cooper, O.R.; Stohl, A.; Aikin, K.C.; et al. Characteristics, sources, and transport of aerosols measured in spring 2008 during the aerosol, radiation, and cloud processes affecting Arctic Climate (ARCPAC) Project. Atmos. Chem. Phys. 2011, 11, 2423–2453. [Google Scholar] [CrossRef]
- Myhre, G.; Samset, B.H.; Schulz, M.; Balkanski, Y.; Bauer, S.; Berntsen, T.K.; Bian, H.; Bellouin, N.; Chin, M.; Diehl, T.; et al. Radiative forcing of the direct aerosol effect from AeroCom Phase II simulations. Atmos. Chem. Phys. 2013, 13, 1853–1877. [Google Scholar] [CrossRef]
- Schwarz, J.P.; Weinzierl, B.; Samset, B.H.; Dollner, M.; Heimerl, K.; Markovic, M.Z.; Perring, A.E.; Ziemba, L. Aircraft measurements of black carbon vertical profiles show upper tropospheric variability and stability. Geophys. Res. Lett. 2017, 44, 1132–1140. [Google Scholar] [CrossRef]
- Ding, A.J.; Huang, X.; Nie, W.; Sun, J.N.; Kerminen, V.M.; Petäjä, T.; Su, H.; Cheng, Y.F.; Yang, X.Q.; Wang, M.H.; et al. Enhanced haze pollution by black carbon in megacities in China. Geophys. Res. Lett. 2016, 43, 2873–2879. [Google Scholar] [CrossRef]
- Li, Z.; Guo, J.; Ding, A.; Liao, H.; Zhu, B. Aerosol and boundary-layer interactions and impact on air quality. Nat. Sci. Rev. 2017, 6. [Google Scholar] [CrossRef]
- Huang, X.; Wang, Z.; Ding, A. Impact of aerosol-PBL interaction on haze pollution: Multiyear observational evidences in North China. Geophys. Res. Lett. 2018, 45, 8596–8603. [Google Scholar] [CrossRef]
- Chow, J.C.; Watson, J.G.; Lowenthal, D.H.; Chen, L.W.; Motallebi, N. PM2.5 source profiles for black and organic carbon emission inventories. Atmos. Environ. 2011, 45, 5407–5414. [Google Scholar] [CrossRef]
- Liu, Y.; Yan, C.; Zheng, M. Source apportionment of black carbon during winter in Beijing. Sci. Total Environ. 2018, 618, 531–541. [Google Scholar] [CrossRef]
- Wang, Z.L.; Huang, X.; Ding, A.J. Dome effect of black carbon and its key influencing factors: A one-dimensional modelling study. Atmos. Chem. Phys. 2018, 18, 2821–2834. [Google Scholar] [CrossRef]
- Trompetter, W.J.; Grange, S.K.; Davy, P.K.; Ancelet, T. Vertical and temporal variations of black carbon in New Zealand urban areas during winter. Atmos. Environ. 2013, 75, 179–187. [Google Scholar] [CrossRef]
- Ferrero, L.; Castelli, M.; Ferrini, B.; Moscatelli, M.; Perrone, M.; Sangiorgi, G.; D’Angelo, L.; Rovelli, G.; Moroni, B.; Scardazza, F.; et al. Impact of black carbon aerosol over Italian basin valleys: High resolution measurements along vertical profiles, radiative forcing and heating rate. Atmos. Chem. Phys. 2014, 14, 541–591. [Google Scholar] [CrossRef]
- Li, J.; Fu, Q.; Huo, J.; Wang, D.; Yang, W.; Bian, Q.; Duan, Y.; Zhang, Y.; Pan, J.; Lin, Y.; et al. Tethered balloon-based black carbon profiles within the lower troposphere of Shanghai in the 2013 East China smog. Atmos. Environ. 2015, 123, 327–338. [Google Scholar] [CrossRef]
- Bisht, D.S.; Tiwari, S.; Dumka, U.C.; Srivastava, A.K.; Safai, P.D.; Ghude, S.D.; Chate, D.M.; Rao, P.S.P.; Ali, K.; Prabhakaran, T.; et al. Tethered balloon-borne and ground-based measurements of black carbon and particulate profiles within the lower troposphere during the foggy period in Delhi, India. Sci. Total Environ. 2016, 573, 894–905. [Google Scholar] [CrossRef] [PubMed]
- Ran, L.; Deng, Z.; Xu, X.; Peng, Y.; Lin, W.; Wang, Y.; Tian, P.; Wang, P.; Pan, W.; Lu, D. Vertical profiles of black carbon measured by a micro-aethalometer in summer in the North China Plain. Atmos. Chem. Phys. 2016, 16, 10441–10454. [Google Scholar] [CrossRef]
- Chilinski, M.T.; Markowicz, K.M.; Markowicz, J. Observation of vertical variability of black carbon concentration in lower troposphere on campaigns in Poland. Atmos. Environ. 2016, 137, 155–170. [Google Scholar] [CrossRef]
- Spackman, J.R.; Gao, R.S.; Neff, W.D.; Schwarz, J.P.; Watts, L.A.; Fahey, D.W.; Holloway, J.S.; Ryerson, T.B.; Peischl, J.; Brock, C.A. Aircraft observations of enhancement and depletion of black carbonmass in the springtime Arctic. Atmos. Chem. Phys. 2010, 10, 9667–9680. [Google Scholar] [CrossRef]
- Spackman, J.R.; Gao, R.; Schwarz, J.P.; Watts, L.A.; Fahey, D.W.; Pfister, L.; Bui, T.P. Seasonal variability of black carbon mass in the tropical tropopause layer. Geophys. Res. Lett. 2011, 38, L09803. [Google Scholar] [CrossRef]
- Schwarz, J.P.; Spackman, J.R.; Gao, R.S.; Watts, L.A.; Stier, P.; Schulz, M.; Davis, S.M.; Wofsy, S.C.; Fahey, D.W. Global-scale black carbon profiles observed in the remote atmosphere and compared to models. Geophys. Res. Lett. 2010, 37, L18812. [Google Scholar] [CrossRef]
- McMeeking, G.R.; Hamburger, T.; Liu, D.; Flynn, M.; Morgan, W.T.; Northway, M.; Highwood, E.J.; Krejci, R.; Allan, J.D.; Minikin, A.; et al. Black carbon measurements in the boundary layer over western and northern Europe. Atmos. Chem. Phys. 2010, 10, 9393–9414. [Google Scholar] [CrossRef]
- Safai, P.D.; Raju, M.P.; Maheshkumar, R.S.; Kulkarni, J.R.; Rao, P.S.P.; Devaral, P.C.S. Vertical profiles of black carbon aerosols over the urban locations in South India. Sci. Total Environ. 2012, 431, 323–331. [Google Scholar] [CrossRef] [PubMed]
- Rahul, P.R.C.; Bhawar, R.L.; Ayantika, D.C.; Panicker, A.S.; Safai, P.D.; Tharaprabhakaran, V.; Padmakumari, B.; Raju, M.P. Double blanket effect caused by two layers of black carbon aerosols escalates warming in the Brahmaputra River Valley. Sci. Rep. 2014, 4, 3670. [Google Scholar] [CrossRef] [PubMed]
- Zhao, D.; Tie, X.; Gao, Y.; Zhang, Q.; Tian, H.; Bi, K.; Jin, Y.; Chen, P. In-Situ Aircraft Measurements of the Vertical Distribution of Black Carbon in the Lower Troposphere of Beijing, China, in the Spring and Summer Time. Atmosphere 2015, 6, 713–731. [Google Scholar] [CrossRef]
- Zhao, D.; Huang, M.; Liu, D.; Ding, D.; Tian, P.; Liu, Q.; Zhou, W.; Sheng, J.; Wang, F.; Bi, K.; et al. Aircraft measurements of black carbon in the boundary layer over the north china plain. Atmos. Chem. Phys. Discuss. 2018, 1–25. [Google Scholar] [CrossRef]
- Schwarz, J.P.; Samset, B.H.; Perring, A.E.; Spackman, J.R.; Gao, R.S.; Stier, P.; Schultz, M.G.; Moore, F.L.; Ray, E.A.; Fahey, D.W. Global-scale seasonally resolved black carbon vertical profiles over the Pacific. Geophys. Res. Lett. 2013, 40, 5542–5547. [Google Scholar] [CrossRef]
- Zhao, D.; Liu, D.; Yu, C.; Tian, P.; Hu, D.; Zhou, W.; Ding, S.; Hu, K.; Sun, Z.; Huang, M.; et al. Vertical evolution of black carbon characteristics and heating rate during a haze event in Beijing winter. Sci. Total Environ. 2019. [Google Scholar] [CrossRef]
- Zhao, D.; Huang, M.; Tian, P.; He, H.; Lowe, D.; Zhou, W.; Sheng, J.; Wang, F.; Bi, K.; Kong, S.; et al. Vertical characteristics of black carbon physical properties over Beijing region in warm and cold seasons. Atmos. Environ. 2019, 213, 296–310. [Google Scholar] [CrossRef]
- Ding, A.J.; Wang, T.; Xue, L.K.; Gao, J.; Stohl, A.; Lei, H.C.; Jin, D.Z.; Ren, Y.; Wang, X.Z.; Wei, X.L.; et al. Transport of north China air pollution by midlatitude cyclones: Case study of aircraft measurements in summer. Geophys. Res. Lett. 2009, 114, D08304. [Google Scholar] [CrossRef]
- Zhang, Q.; Ma, X.; Tie, X.; Huang, M.; Zhao, C. Vertical distributions of aerosols under different weather conditions: Analysis of in-situ aircraft measurements in Beijing, China. Atmos. Environ. 2009, 43, 5526–5535. [Google Scholar] [CrossRef]
- He, K. Multi-resolution Emission Inventory for China (MEIC): Model framework and 1990–2010 anthropogenic emissions. In Proceedings of the AGU Fall Meeting Abstracts, San Francisco, CA, USA, 3–7 December 2012. [Google Scholar]
- Schwarz, J.; Gao, R.; Fahey, D.; Thomson, D.; Watts, L.; Wilson, J.; Reeves, J.; Darbeheshti, M.; Baumgardner, D.; Kok, G. Single particle measurements of midlatitude black carbon and light-scattering aerosols from the boundary layer to the lower stratosphere. J. Geophys. Res. Atmos. 2006, 111, D16207. [Google Scholar] [CrossRef]
- Grell, G.; Peckham, S.; Schmitz, R.; McKeen, S.; Frost, G.; Skamarock, W.; Eder, B. Fully coupled “online” chemistry within the WRF model. Atmos. Environ. 2005, 39, 6957–6976. [Google Scholar]
- Emmons, L.K.; Walters, S.; Hess, P.G.; Lamarque, J.F.; Pfister, G.G.; Fillmore, D.; Granier, C.; Guenther, A.; Kinnison, D.; Laepple, T.; et al. Description and evaluation of the Model for Ozone and Related chemical Tracers, version 4 (MOZART-4). Geosci. Model Dev. 2010, 3, 43–67. [Google Scholar] [CrossRef]
- Lin, Y.L.; Farley, R.D.; Orville, H.D. Bulk Parameterization of the Snow Field in a Cloud Model. J. Clim. Appl. Meteorol. 1983, 22, 1065–1092. [Google Scholar] [CrossRef]
- Grell, G.A.; Freitas, S.R. A scale and aerosol aware stochastic convective parameterization for weather and air quality modeling. Atmos. Chem. Phys. 2014, 14, 5233–5250. [Google Scholar] [CrossRef]
- Iacono, M.J.; Delamere, J.S.; Mlawer, E.J.; Shephard, M.W.; Clough, S.A.; Collins, W.D. Radiative forcing by long-lived greenhouse gases: Calculations with the AER radiative transfer models. J. Geophys. Res. Atmos. 2008, 113. [Google Scholar] [CrossRef]
- Tastula, E.M.; LeMone, M.A.; Dudhia, J.; Galperin, B. The impact of the QNSE-EDMF scheme and its modifications on boundary layer parameterization in WRF: Modelling of CASES-97. Q. J. R. Meteorol. Soc. 2016, 142, 1182–1195. [Google Scholar] [CrossRef]
- Tewari, M.; Chen, F.; Wang, W.; Dudhia, J.; LeMone, M.A.; Mitchell, K.; Ek, M.; Gayno, G.; Wegiel, J.; Cuenca, R.H. Implementation and verification of the unified Noah land-surface model in the WRF model. In Conference on Weather Analysis & Forecasting/Conference on Numerical Weather Prediction; American Meteorological Society: Seattle, WA, USA, 2004. [Google Scholar]
- Wild, O.; Zhu, X.; Prather, M.J. Fast-J: Accurate simulation of in-and below-cloud photolysis in tropospheric chemical models. J. Atmos. Chem. 2000, 37, 245–282. [Google Scholar] [CrossRef]
- Wesely, M.L. Parameterization of surface resistances to gaseous dry deposition in regional-scale numerical models. Atmos. Environ. 2007, 41 (Suppl. S), 52–63. [Google Scholar] [CrossRef]
- Wesely, M.L.; Hicks, B.B. A review of the current status of knowledge on dry deposition. Atmos. Environ. 2000, 34, 2261–2282. [Google Scholar] [CrossRef]
- Zaveri, R.A.; Peters, L.K. A new lumped structure photochemical mechanism for large-scale applications. J. Geophys. Res. Atmos. 1999, 104, 30387–30415. [Google Scholar] [CrossRef]
- Zaveri, R.A.; Easter, R.C.; Fast, J.D.; Peters, L.K. Model for Simulating Aerosol Interactions and Chemistry (MOSAIC). J. Geophys. Res. Atmos. 2008, 113. [Google Scholar] [CrossRef]
- Guenther, A.; Karl, T.; Harley, P.; Wiedinmyer, C.; Palmer, P.I.; Geron, C. Estimates of global terrestrial isoprene emissions using MEGAN (Model of Emissions of Gases and Aerosols from Nature). Atmos. Chem. Phys. 2006, 6, 3181–3210. [Google Scholar] [CrossRef]
- Wiedinmyer, C.; Akagi, S.K.; Yokelson, R.J.; Emmons, L.K.; Al-Saadi, J.A.; Orlando, J.J.; Soja, A.J. The Fire Inventory from NCAR (FINN): A high resolution global model to estimate the emissions from open burning. Geosci. Model Dev. 2010, 3, 2439–2476. [Google Scholar] [CrossRef]
- Kipling, Z.; Stier, P.; Schwarz, J.P.; Perring, A.E.; Spackman, J.R.; Mann, G.W.; Johnson, C.E.; Telford, P.J. Constraints on aerosol processes in climate models from vertically-resolved aircraft observations of black carbon. Atmos. Chem. Phys. 2013, 13, 5969–5986. [Google Scholar] [CrossRef]
- Liu, M.; Peng, X.; Meng, Z.; Zhou, T.; Long, L.; She, Q. Spatial characteristics and determinants of in-traffic black carbon in Shanghai, China: Combination of mobile monitoring and land use regression model. Sci. Total Environ. 2019, 658, 51–61. [Google Scholar] [CrossRef] [PubMed]
- Wang, Z.L.; Huang, X.; Ding, A.J. Optimization of vertical grid setting for air quality modelling in China considering the effect of aerosol-boundary layer interaction. Atmos. Environ. 2019, 210, 1–13. [Google Scholar] [CrossRef]
- Allen, R.J.; Landuyt, W. The vertical distribution of black carbon in CMIP5 models: Comparison to observations and the importance of convective transport. J. Geophys. Res. Atmos. 2014, 119, 4808–4835. [Google Scholar] [CrossRef]
- Saji, V.; Baerbel, L.; Darius, C.; Colin, D.; O’Dowd, C.D. Effect of horizontal resolution on meteorology and air-quality prediction with a regional scale model. Atmos. Res. 2011, 101, 574–594. [Google Scholar]
- Raut, J.C.; Marelle, L.; Fast, J.D.; Thomas, J.L.; Weinzierl, B.; Law, K.S.; Berg, L.K.; Roiger, A.; Easter, R.C.; Heimerl, K.; et al. Cross-polar transport and scavenging of Siberian aerosols containing black carbon during the 2012 ACCESS summer campaign. Atmos. Chem. Phys. 2017, 17, 10969–10995. [Google Scholar] [CrossRef]


















| Processes | Selected Schemes |
|---|---|
| Cloud microphysics | Lin |
| Cumulus convection | Grell–Freitas ensemble |
| Long-wave radiation | RRTMG |
| Short-wave radiation | RRTMG |
| Boundary layer | QNSE–EDMF |
| Land-surface | unified Noah |
| Photolysis | Fast-J |
| Dry deposition | Wesely |
| Gas-phase chemical | CBM-Z |
| Aerosol mechanism | MOSAIC |
© 2020 by the authors. Licensee MDPI, Basel, Switzerland. This article is an open access article distributed under the terms and conditions of the Creative Commons Attribution (CC BY) license (http://creativecommons.org/licenses/by/4.0/).
Share and Cite
Jin, L.; Lin, L.; Ding, D.; Zhao, D.; Zhu, B.; Zhai, Q.; Liu, Z. The Observation Path Problems and the Formation Conditions of the Elevated Layer of Black Carbon Aerosol. Atmosphere 2020, 11, 481. https://doi.org/10.3390/atmos11050481
Jin L, Lin L, Ding D, Zhao D, Zhu B, Zhai Q, Liu Z. The Observation Path Problems and the Formation Conditions of the Elevated Layer of Black Carbon Aerosol. Atmosphere. 2020; 11(5):481. https://doi.org/10.3390/atmos11050481
Chicago/Turabian StyleJin, Lianji, Liang Lin, Deping Ding, Delong Zhao, Bin Zhu, Qingfei Zhai, and Zheng Liu. 2020. "The Observation Path Problems and the Formation Conditions of the Elevated Layer of Black Carbon Aerosol" Atmosphere 11, no. 5: 481. https://doi.org/10.3390/atmos11050481
APA StyleJin, L., Lin, L., Ding, D., Zhao, D., Zhu, B., Zhai, Q., & Liu, Z. (2020). The Observation Path Problems and the Formation Conditions of the Elevated Layer of Black Carbon Aerosol. Atmosphere, 11(5), 481. https://doi.org/10.3390/atmos11050481
