Evaluation of Noah-MP Land-Model Uncertainties over Sparsely Vegetated Sites on the Tibet Plateau
Abstract
1. Introduction
- What is the relative contribution of precipitation-forcing uncertainty to the overall uncertainty range of Noah-MP simulations?
- What are the most sensitive physical parameterization for different sites in the alpine region?
- How do the precipitation uncertainty and soil organic matter impact the energy flux and runoff?
2. Data and Methods
2.1. Site Description and Measurements
2.2. Numerical Experiments
3. Results
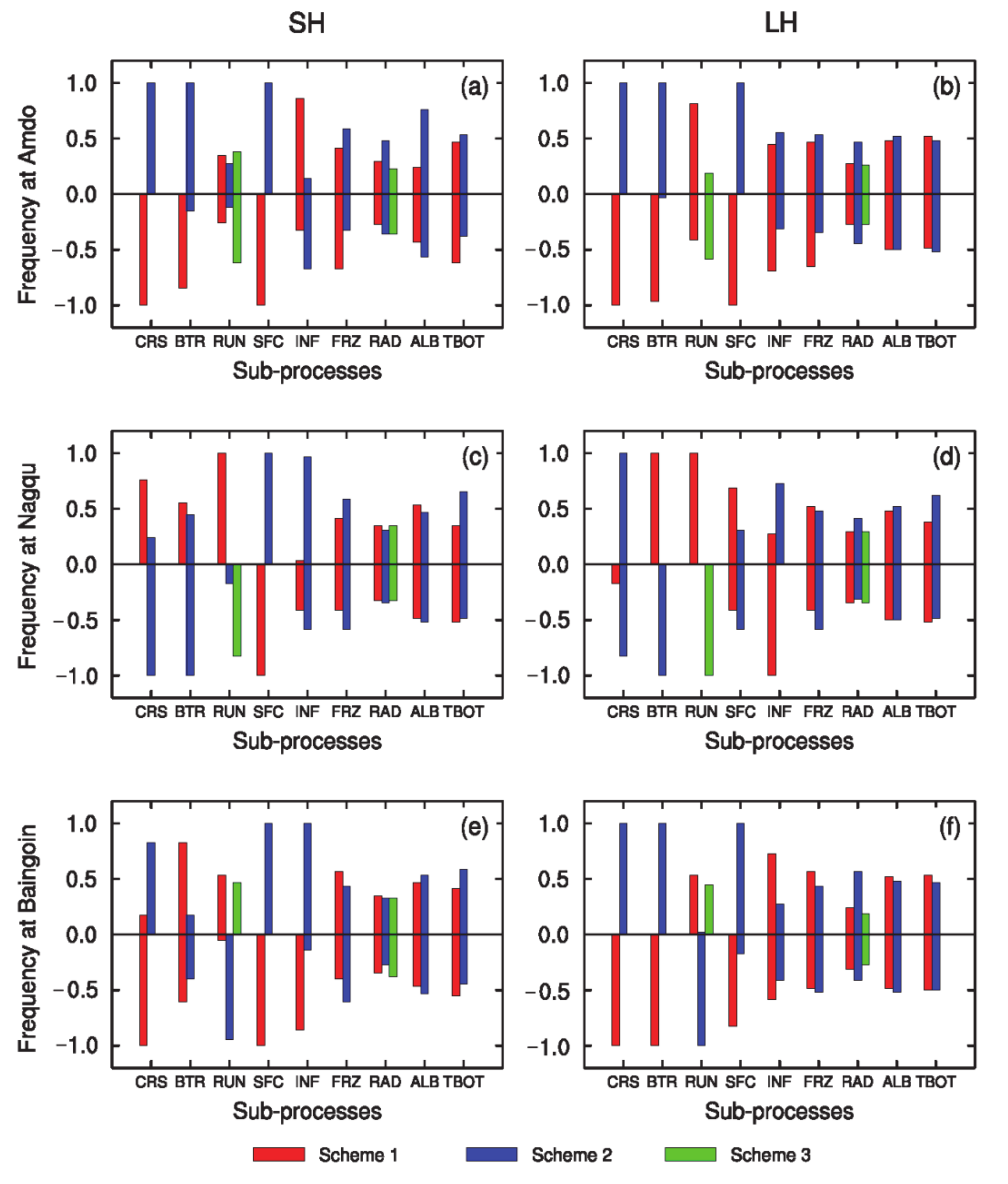
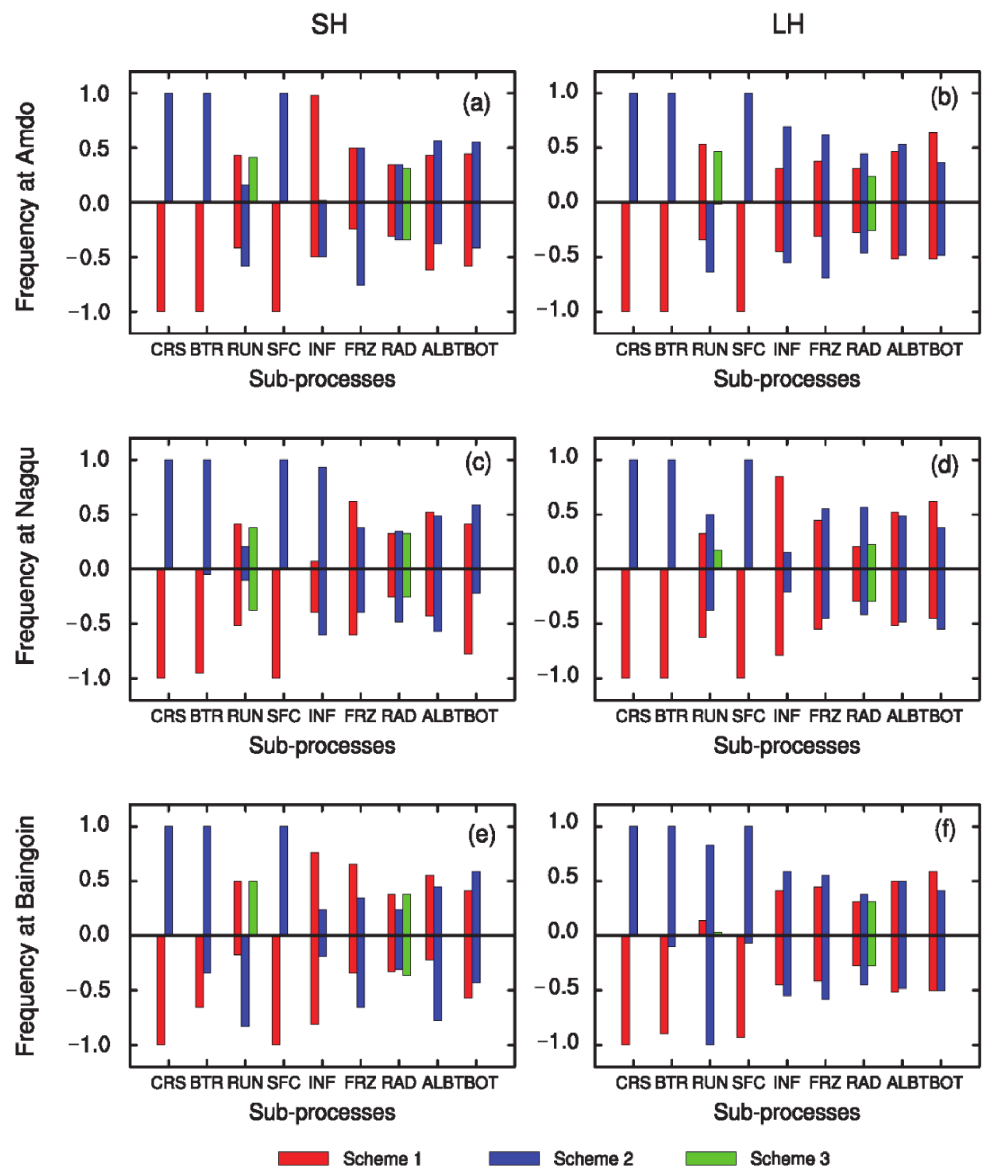
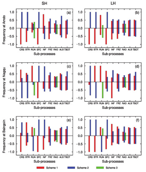
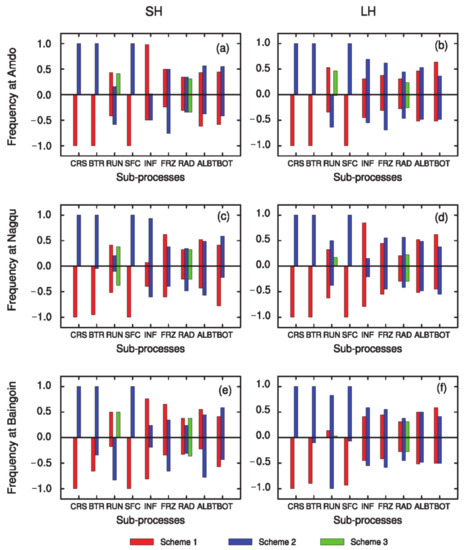
3.1. Uncertainty Analysis of Noah-MP for TP Sparsely Vegetated Sites
3.2. Noah-MP Optimal Parameterization Schemes and Simulations for TP Sparsely Vegetated Sites
3.3. Impact of Precipitation Uncertainty on theSurface Hydrologic Cycle Simulated with Optimized Noah-MP
3.4. Impact of Soil Organic Matter on Simulated Surface Hydrologic Cycle
3.5. The Effects ofPrecipitationand Soil Organic Matter on Annual Total Values
4. Discussion
5. Conclusions
- The uncertainty analyses indicated that there are greater uncertainties in the subprocesses of CRS (canopy resistance), BTR (soil moisture threshold for evaporation), RUN (runoff and groundwater) and SFC (surface-layer parameterization) at these three sites by using the natural selection method. The uncertainties in the INF (frozen soil permeability) parameterization scheme are significant for the simulated SH. A larger precipitation amount could decrease RMSEs and biases and improve the IOA but not the dispersion (i.e., the uncertainties of subprocesses do not change with the different datasets).
- The sensitivity analyses reveal that more precipitation can increase the total annual Rn, LH and RNF, but decrease the total annual SH. It shows ~2% and 34% averaged increases in Rn and LH respectively, but an ~11% reduction in SH. Much more precipitation in ERA5 precipitation could increase the RNF by ~6–9 times.
- Soil organic matter enlarges the annual total LH by ~26%, but lessens the annual total Rn, SH, and RNF by ~7%, 7%, and 39%, respectively. Its effect on the LH and RNF at the Nagqu site, which has a sand soil texture type, is more significant than that at the other two sites with sandy loam.
Author Contributions
Funding
Acknowledgments
Conflicts of Interest
References
- Zhang, G.; Chen, F.; Gan, Y. Assessing uncertainties in the Noah-MP ensemble simulations of a cropland site during the Tibet Joint International Cooperation program field campaign. J. Geophys. Res. Atmos. 2016, 121, 9576–9596. [Google Scholar] [CrossRef]
- Zhao, P.; Xu, X.; Chen, F.; Guo, X.; Zheng, X.; Liu, L.; Hong, Y.; Li, Y.; La, Z.; Ma, Y.; et al. The Third Atmospheric Scientific Experiment for Understanding the Earth–Atmosphere Coupled System over the Tibetan Plateau and Its Effects. Bull. Am. Meteor. Soc. 2018, 99, 757–776. [Google Scholar] [CrossRef]
- Gao, Y.; Li, K.; Chen, F.; Jiang, Y.; Lu, C. Assessing and improving Noah-MP land model simulations for the central Tibetan Plateau. J. Geophys. Res. Atmos. 2015, 120, 9258–9278. [Google Scholar] [CrossRef]
- Li, J.D.; Zhang, G.; Chen, F. Evaluation of land surface sub-processes and their impacts on model performance with global flux data. J. Adv. Model. Earth Syst. 2019. [Google Scholar] [CrossRef]
- Gan, Y.; Liang, X.Z.; Duan, Q.; Chen, F.; Li, J.; Zhang, Y. Assessment and reduction of the physical parameterization uncertainty for Noah—MP Land Surface Model. Water Resour. Res. 2019, 55. [Google Scholar] [CrossRef]
- Gao, Y.; Xiao, X.; Chen, D.; Chen, F.; Xu, J.; Xu, Y. Quantification of the relative role of land surface processes and large scale forcing in dynamic downscaling over the Tibetan Plateau. Clim. Dyn. 2017. [Google Scholar] [CrossRef]
- Wan, B.; Gao, Z.; Chen, F.; Lu, C. Impact of Tibetan-Plateau Surface Heating on Persistent Extreme Precipitation Events in Southeastern China. Mon. Wea. Rev. 2017. [Google Scholar] [CrossRef]
- Wu, G.; Duan, A.; Liu, Y.; Mao, J.; Ren, R.; Bao, Q. Tibetan Plateau climate dynamics: Recent research progress and outlook. Natl. Sci. Rev. 2015, 2, 100–116. [Google Scholar] [CrossRef]
- Gu, S.; Tang, Y.H.; Cui, X.Y. Characterizing evapotranspiration over a meadow ecosystem on theQinghai-Tibetan Plateau. J. Geophys. Res. 2008, 113, D08118. [Google Scholar] [CrossRef]
- Yang, K.; Koike, T.; Ye, B.S.; Bastidas, L. Inverse analysis of the role of soil vertical heterogeneity in controlling surface soil state andenergy partition. J. Geophys. Res. 2005, 110, D08101. [Google Scholar] [CrossRef]
- Yang, K.; Chen, Y.Y.; Qin, J. Some practical notes on theland surface modeling in the Tibetan Plateau. Hydrol. Earth Syst. Sci. 2009, 13, 687–701. [Google Scholar] [CrossRef]
- Chen, Y.; Yang, K.; Tang, W. Parameterizing soil organic carbon’s impacts on soil porosity and thermal parameters for Eastern Tibet grasslands. Sci China Earth Sci. 2012, 55, 1001–1011. [Google Scholar] [CrossRef]
- Duan, Y.; Li, F.; Wang, M.; Wu, G. Persistent Weakening Trend in the Spring Sensible Heat Source over the Tibetan Plateau and Its Impact on the Asian Summer Monsoon. J. Clim. 2011, 24, 5671–5682. [Google Scholar] [CrossRef]
- Zheng, H.; Yang, Z.-L.; Lin, P.; Wei, J.; Wu, W.-Y.; Li, L.; Zhao, L.; Wang, S. On the sensitivity of the precipitation partitioning into evapotranspiration and runoff in land surface parameterizations. Water Resour. Res. 2019, 55, 95–111. [Google Scholar] [CrossRef]
- Yates, D.N.; Chen, F.; LeMone, M.A. A Cooperative Atmosphere–Surface Exchange Study (CASES) dataset for analyzing and parameterizing the effects of land surface heterogeneity on area-averaged surface heat fluxes. J. Appl. Meteor. 2001, 40, 921–937. [Google Scholar] [CrossRef]
- Zhang, G.; Zhou, G.; Chen, F.; Barlage, M.; Xue, L. A trial to improve surface heat exchange simulation through sensitivity experiments over a desert steppe site. J. Hydrometeorol. 2014, 15, 664–684. [Google Scholar] [CrossRef]
- Ferguson, C.R.; Sheffield, J.; Wood, E.F.; Gao, H. Quantifying uncertainty in a remote sensing-based estimate of evapotranspiration over continental USA. Int. J. Remote Sens. 2010, 31, 3821–3865. [Google Scholar] [CrossRef]
- Badgley, G.; Fisher, J.B.; Jiménez, C.; Tu, K.; Vinukollu, R.K. On uncertainty in global Terrestrial evapotranspiration estimates from choice of input forcing datasets. J. Hydrometeor. 2015, 16, 150317081742006. [Google Scholar] [CrossRef]
- Wang, A.; Zeng, X. Evaluation of multi-reanalysis products with in situ observations over the Tibetan Plateau. J. Geophys. Res. 2012, 117, D05102. [Google Scholar] [CrossRef]
- Trier, S.B.; Lemone, M.A.; Chen, F.; Manning, K.W. Effects of Surface Heat and Moisture Exchange on ARW-WRF Warm-Season Precipitation Forecasts over the Central United States. Weather Forecast. 2011, 26, 3–25. [Google Scholar] [CrossRef]
- Bonan, G.B.; Shugar, H.H. Environmental-factors and ecological processes in boreal forests. Annu. Rev. Ecol. Syst. 1989, 20, 1–28. [Google Scholar] [CrossRef]
- Chen, L.; Li, Y.; Chen, F.; Barr, A.; Barlage, M.; Wan, B. The incorporation of an organic soil layer in the Noah-MP Land Surface Model and its evaluation over a Boreal Aspen Forest. Atmos. Chem. Phys. 2016, 16, 8375–8387. [Google Scholar] [CrossRef]
- LeMone, M.A.; Wan, B.; Barlage, M.; Chen, F. The influence of fire-induce surface changes on the diurnal temperature change over the Hayman fire scar. J. Appl. Meteorol. Climatol. 2017. [Google Scholar] [CrossRef]
- Wang, Y.; Xu, X.; Liu, H. Analysis of land surface parameters and turbulence characteristics over the Tibetan Plateau and surrounding region. J. Geophys. Res.Atmos. 2016, 121, 9540–9560. [Google Scholar] [CrossRef]
- Cai, X.; Yang, Z.L.; Xia, Y.; Huang, M.; Wei, H.; Leung, R.; Ek, M. Assessment of simulated water balance from Noah, Noah-MP, CLM, and VIC over CONUS using the NLDAS test bed. J. Geophys. Res. Atmos. 2014, 119, 13–751. [Google Scholar] [CrossRef]
- Chen, F.; Manning, K.W.; Lemone, M.A.; Trier, S.B.; Alfieri, J.G.; Roberts, R.D.; Tewari, M.; Niyogi, D.; Horst, T.W.; Oncley, S.P.; et al. Description and evaluation of the characteristics of the NCAR high-resolution land data assimilation system. J. Appl.Meteorol. Climatol. 2007, 46, 694–713. [Google Scholar] [CrossRef]
- Amdo site, Nagqu site, and Baingoin site. Available online: http://daac.ornl.gov/MODIS/modis.html (accessed on 15 February 2018).
- Lawrence, D.M.; Slater, A.G. Incorporating organic soil into a global climate model. Clim. Dynam. 2008, 30, 145–160. [Google Scholar] [CrossRef]
- Shangguan, W.; Dai, Y.; Liu, B.; Zhu, A.-X.; Duan, Q.; Wu, L.; Ji, D.; Ye, A.; Yuan, H.; Zhang, Q.; et al. A China dataset of soil properties for land surface modeling. J. Adv. Model. Earth Syst. 2013, 5, 212–224. [Google Scholar] [CrossRef]
- Niu, G.Y.; Yang, Z.L.; Dickinson, R.E.; Gulden, L.E.; Su, H. Development of a simple groundwater model for use in climate models and evaluation with gravity recovery and climate experiment data. J. Geophys. Res. 2007, 112, D07103. [Google Scholar] [CrossRef]
- Chen, F.; Dudhia, J. Coupling an advanced land surface hydrology model with the Penn State-NCAR MM5 modeling system. Part I: Model implementation and sensitivity. Mon. Weather Rev. 2001, 129, 569–585. [Google Scholar] [CrossRef]
- Chen, F.; Mitchell, K.; Schaake, J.; Xue, Y.; Pan, H.-L.; Koren, V.; Duan, Q.Y.; Ek, M.; Betts, A. Modeling of land-surface evaporation by four schemes and comparison with FIFE observations. J. Geophys. Res. 1996, 101, 7251–7268. [Google Scholar] [CrossRef]
- Oleson, K.W. Technical Description of the Community Land Model (CLM); NCAR Tech. Note NCAR/TN-461 + STR;NCAR: Boulder, CO, USA, 2004; p. 174. [Google Scholar]
- Gayler, S.; Wöhling, T.; Grzeschik, M.; Ingwersen, J.; Wizemann, H.-D.; Warrach-Sagi, K.; Högy, P.; Attinger, S.; Streck, T.; Wulfmeyer, V. Incorporating dynamic root growth enhances the performance of Noah-MP at two contrasting winter wheat field sites. Water Resour. Res. 2014, 50, 1337–1356. [Google Scholar] [CrossRef]
- Yang, Z.L.; Niu, G.Y.; Mitchell, K.E.; Chen, F.; Ek, M.B.; Barlage, M.; Longuevergne, L.; Manning, K.; Niyogi, D.; Tewari, M.; et al. The community Noah land surface model with multiparameterization options (Noah-MP): 2. Evaluation over global river basins. J. Geophys. Res.Atmos. 2011, 116, D12110. [Google Scholar] [CrossRef]
- Gutowski, W.J.; Vorosmarty, C.J.; Person, M.; Otles, Z.; Fekete, B.; York, J. A coupled land-atmosphere simulation program (CLASP): Calibration and validation. J. Geophys. Res. 2002, 107, 4283. [Google Scholar] [CrossRef]
- Barlage, M.; Tewari, M.; Chen, F.; Miguez-Macho, G.; Yang, Z.-L.; Niu, G.-Y. The effect of groundwater interaction in North American regional climate simulations with WRF/Noah-MP. Clim. Chang. 2015, 129, 485–498. [Google Scholar] [CrossRef]
- Hong, S.; Yu, X.; Park, S.K.; Choi, Y.-S.; Myoung, B. Assessing optimal set of implemented physical parameterization schemes in amulti-physics land surface model using genetic algorithm. Geosci. Model Dev. 2014, 7, 2517–2529. [Google Scholar] [CrossRef]
- Stull, R.B. An Introduction to Boundary Layer Meteorology; Kluwer Academic Publisher: Dordrecht, The Netherlan, 1988. [Google Scholar]
- Niu, G.Y.; Yang, Z.L.; Mitchell, K.E.; Chen, F.; Ek, M.B.; Barlage, M.; Kumar, A.; Manning, K.; Niyogi, D.; Rosero, E.; et al. The community Noah land surface model with multiparameterization options (Noah-MP): 1. Model description and evaluation with local-scale measurements. J. Geophys. Res. 2011, 116, D12109. [Google Scholar] [CrossRef]













| Site | In Situ | AWS | ERA5 | AWS Minus In Situ | ERA5 Minus AWS |
|---|---|---|---|---|---|
| Amdo | 258.72 | 347.65 | 717.99 | 88.93 | 370.74 |
| Nagqu | 261.84 | 477.55 | 734.82 | 215.71 | 257.27 |
| Baingoin | 185.70 | 258.45 | 560.42 | 72.75 | 301.97 |
| Site | Elevation (m) | Land Cover Type | Mounted Height (m) of Automatic Micrometeorological Observing System | Gradient Observation Height (m) of Ws, Wd, Ta, Rh | Depth (cm) of Soil Temperature and Soil Moisture |
|---|---|---|---|---|---|
| Amdo | 4695 | alpine grassland | 2.98 | 1.5, 3, 6, 12 | 5, 10, 20, 40, 80, 160 |
| Nagqu | 4509 | alpine grassland | 3.02 | 0.75, 1.5, 3, 6, 12, 22 | 5, 10, 20, 40, 80, 160 |
| Baingoin | 4700 | alpine grassland | 2.1 | 2, 4, 10 | 5, 10, 20, 40, 100 |
| Depth | Soil Organic Fraction | Reference | |
|---|---|---|---|
| Amdo | Nagqu | ||
| 0–10cm | 27.67% | 21.44% | [12] |
| 10–20cm | 16.27% | 14.51% | |
| 20–30cm | 12.80% | 12.08% | |
| 30–40cm | 5.47% | 16.05% | |
| Depth | Baingoin | Reference | |
| 0–4.5cm | 16.59% | [29] | |
| 4.5–9.1cm | 17.68% | ||
| 9.1–16.6cm | 17.10% | ||
| 16.6–28.9cm | 14.43% | ||
| 28.9–49.3cm | 8.35% | ||
| 49.3–82.9cm | 4.85% | ||
| Experiment Name | Experiment Description | Members |
|---|---|---|
| Ens1 | In situ measurements from August 2014 to August 2015 are used as forcing data. Leaf area index is assigned based MODIS composite data. | 1152 |
| Ens2 | Same as Ens1, but with AWS precipitation data | 1152 |
| Ens3 | Same as Ens1, but with ERA5 precipitation data | 1152 |
| CTL | Optimal from Ens1 | 1 |
| CTLAP | Same as CTL, but with AWS precipitation data | 1 |
| CTLEP | Same as CTL, but with ERA5 precipitation data | 1 |
| SOM | Same as CTL, but with soil organic matter incorporated | 1 |
| SOMAP | Same as SOM, but with AWS precipitation data | 1 |
| SOMEP | Same as SOM, but with ERA5 precipitation data | 1 |
© 2020 by the authors. Licensee MDPI, Basel, Switzerland. This article is an open access article distributed under the terms and conditions of the Creative Commons Attribution (CC BY) license (http://creativecommons.org/licenses/by/4.0/).
Share and Cite
Zhang, G.; Chen, F.; Chen, Y.; Li, J.; Peng, X. Evaluation of Noah-MP Land-Model Uncertainties over Sparsely Vegetated Sites on the Tibet Plateau. Atmosphere 2020, 11, 458. https://doi.org/10.3390/atmos11050458
Zhang G, Chen F, Chen Y, Li J, Peng X. Evaluation of Noah-MP Land-Model Uncertainties over Sparsely Vegetated Sites on the Tibet Plateau. Atmosphere. 2020; 11(5):458. https://doi.org/10.3390/atmos11050458
Chicago/Turabian StyleZhang, Guo, Fei Chen, Yueli Chen, Jianduo Li, and Xindong Peng. 2020. "Evaluation of Noah-MP Land-Model Uncertainties over Sparsely Vegetated Sites on the Tibet Plateau" Atmosphere 11, no. 5: 458. https://doi.org/10.3390/atmos11050458
APA StyleZhang, G., Chen, F., Chen, Y., Li, J., & Peng, X. (2020). Evaluation of Noah-MP Land-Model Uncertainties over Sparsely Vegetated Sites on the Tibet Plateau. Atmosphere, 11(5), 458. https://doi.org/10.3390/atmos11050458

