The Comparison of Predicting Storm-Time Ionospheric TEC by Three Methods: ARIMA, LSTM, and Seq2Seq
Abstract
1. Introduction
2. TEC Prediction Methods
2.1. ARIMA
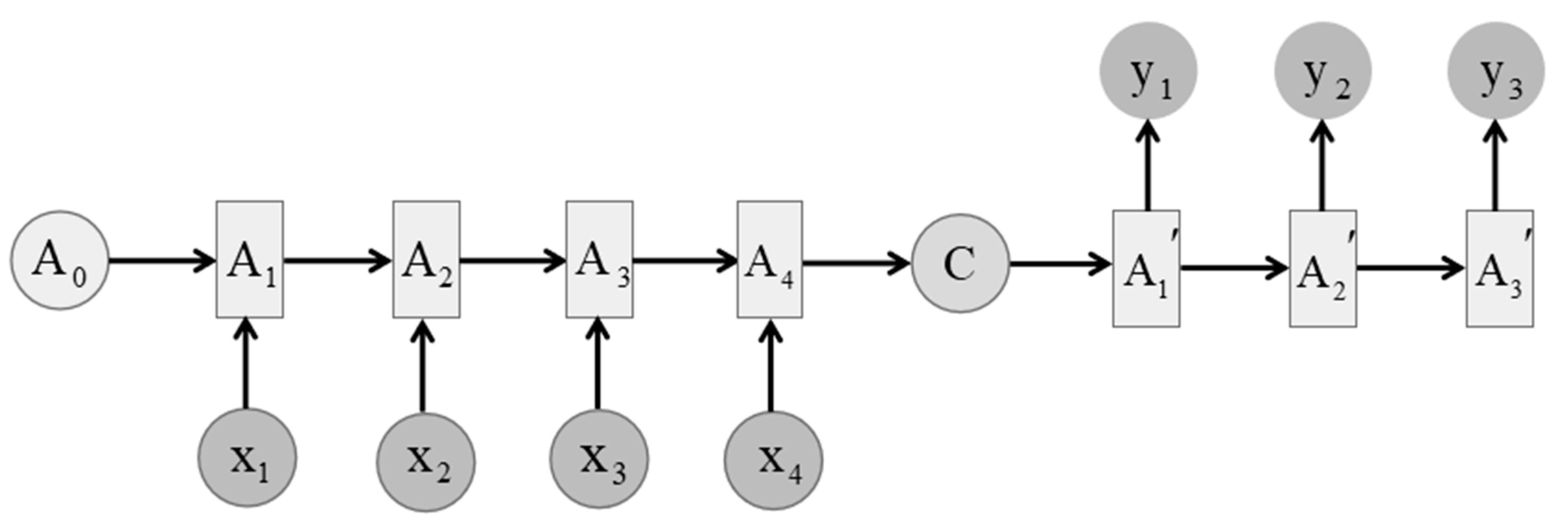
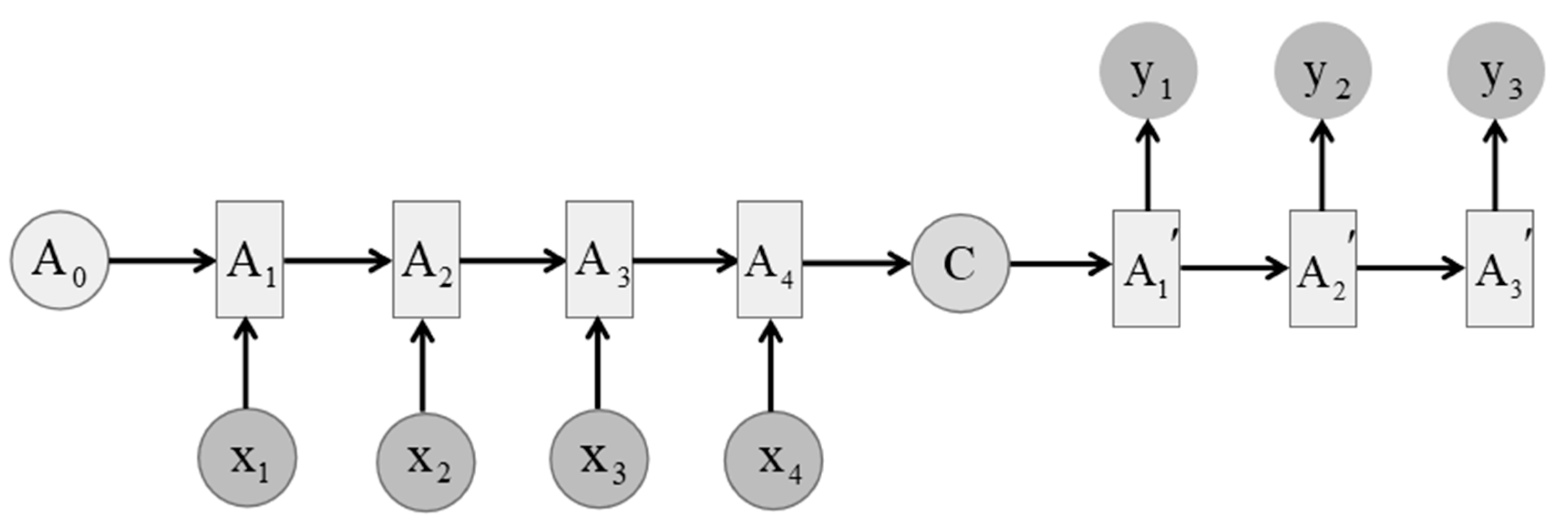
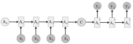
2.2. LSTM and Seq2Seq
3. Simulation Results and Discussions
3.1. Data Description
3.2. Prediction Analysis
3.3. Statistical Analysis
4. Conclusions
- The geomagnetic storm can significantly affect the prediction performance of these three methods. During the geomagnetic quiet period, the ARIMA and Seq2Seq will have more deviation and unusual spikes under moderate and strong geomagnetic storm conditions. The LSTM can achieve the best performance.
- Based on statistical analysis of 55 geomagnetic storm events (minimum Dst ≤ −100 nT) selected from 2001 to 2016, the RMSE and the correlation coefficient of the prediction trend changes were carefully studied under different geomagnetic storm intensities. The LSTM, a deep learning algorithm, is superior to the traditional ARIMA and the Seq2Seq. The overall prediction effect of the LSTM is the best. It is very robust for accurate trend prediction of strong geomagnetic storms (more than 70%). In contrast, the ARIMA and Seq2Seq have relatively poor performance, and their predictions for the strong geomagnetic storm trends were 58.18% and 45.45%.
- The Seq2Seq method used in this paper is based on the original RNN algorithm, which is sensitive to a short-term TEC feature. Therefore, more random noise is involved and adopted by the final model during the training process. It finally results in higher randomness and error in the prediction performance. On the other hand, the LSTM can learn both features of the long-term and short-term trend of TEC in the training process. It significantly adds a hidden state, called ’cell state’, in the hidden layer of the recurrent structure. This state can make optimal decisions to keep or forget the knowledge they have learned from long-term or short-term trend variation of the ionospheric TEC data. In such a case, the LSTM can effectively provide a high level and more accurate prediction for most of the moderate and strong geomagnetic storms.
- All the algorithms show consistent seasonal dependence in the storm-time ionospheric prediction, which clearly suggests that seasonal variation is an important factor to affect the performance of prediction.
Author Contributions
Funding
Acknowledgments
Conflicts of Interest
References
- Zhou, M.; Ashour-Abdalla, M.; Deng, X.; Schriver, D.; El-Alaoui, M.; Pang, Y. THEMIS observation of multiple dipolarization fronts and associated wave characteristics in the near-Earth magnetotail. Geophys. Res. Lett. 2009, 36. [Google Scholar] [CrossRef]
- Tang, R.; Summers, D.; Deng, X. Effects of cold electron number density variation on whistler-mode wave growth. Ann. Geophys. 2014, 32, 889–898. [Google Scholar] [CrossRef]
- Vemareddy, P.; Mishra, W. A full study on the Sun–Earth connection of an Earth-directed CME magnetic flux rope. Astrophys. J. 2015, 814, 59. [Google Scholar] [CrossRef]
- Lowder, C.; Qiu, J.; Leamon, R.J. Coronal Holes and Open Magnetic Flux over Cycles 23 and 24. Sol. Phys. 2016, 292, 18. [Google Scholar] [CrossRef]
- Ashour-Abdalla, M.; El-Alaoui, M.; Goldstein, M.L.; Zhou, M.; Schriver, D.; Richard, R.; Walker, R.; Kivelson, M.G.; Hwang, K.-J. Observations and simulations of non-local acceleration of electrons in magnetotail magnetic reconnection events. Nat. Phys. 2011, 7, 360–365. [Google Scholar] [CrossRef]
- Zhou, M.; Pang, Y.; Deng, X.H.; Yuan, Z.; Huang, S.Y. Density cavity in magnetic reconnection diffusion region in the presence of guide field. J. Geophys. Res. Space Phys. 2011, 116. [Google Scholar] [CrossRef]
- Zhou, M.; Ashour-Abdalla, M.; Berchem, J.; Walker, R.J.; Liang, H.; El-Alaoui, M.; Goldstein, M.L.; Lindqvist, P.A.; Marklund, G.; Khotyaintsev, Y.V.; et al. Observation of high-frequency electrostatic waves in the vicinity of the reconnection ion diffusion region by the spacecraft of the Magnetospheric Multiscale (MMS) mission. Geophys. Res. Lett. 2016, 43, 4808–4815. [Google Scholar] [CrossRef]
- Zhou, M.; El Alaoui, M.; Lapenta, G.; Berchem, J.; Richard, R.L.; Schriver, D.; Walker, R. Suprathermal Electron Acceleration in a Reconnecting Magnetotail: Large-Scale Kinetic Simulation. J. Geophys. Res. Space Phys. 2018, 123, 8087–8108. [Google Scholar] [CrossRef]
- Zhou, M.; Ni, B.; Huang, S.Y.; Deng, X.; Ashour-Abdalla, M.; Nishimura, Y.; Yuan, Z.; Pang, Y.; Li, H. Observation of large-amplitude magnetosonic waves at dipolarization fronts. J. Geophys. Res. Space Phys. 2014, 119, 4335–4347. [Google Scholar] [CrossRef]
- Fuller-Rowell, T.J.; Codrescu, M.V.; Moffett, R.J.; Quegan, S. Response of the thermosphere and ionosphere to geomagnetic storms. J. Geophys. Res. Space Phys. 1994, 99, 3893. [Google Scholar] [CrossRef]
- Mannucci, A.J.; Tsurutani, B.T.; Iijima, B.A.; Komjathy, A.; Saito, A.; Gonzalez, W.D.; Guarnieri, F.L.; Kozyra, J.U.; Skoug, R. Dayside global ionospheric response to the major interplanetary events of October 29–30, 2003 “Halloween Storms”. Geophys. Res. Lett. 2005, 32. [Google Scholar] [CrossRef]
- Wang, W.; Lei, J.; Burns, A.G.; Solomon, S.C.; Wiltberger, M.; Xu, J.; Zhang, Y.; Paxton, L.; Coster, A. Ionospheric response to the initial phase of geomagnetic storms: Common features. J. Geophys. Res. Space Phys. 2010, 115. [Google Scholar] [CrossRef]
- Chen, Z.; Wang, J.-S.; Deng, Y.; Deng, Y.; Huang, C.; Li, H.M.; Wu, Z.X. Study on the relationship between the residual 27 day quasiperiodicity and ionospheric Q disturbances. J. Geophys. Res. Space Phys. 2017, 122, 2542–2550. [Google Scholar] [CrossRef]
- Prölss, G.W. Magnetic storm associated perturbations of the upper atmosphere. Sea Ice 1997, 98, 227–241. [Google Scholar]
- Mendillo, M. Storms in the ionosphere: Patterns and processes for total electron content. Rev. Geophys. 2006, 44. [Google Scholar] [CrossRef]
- Wang, J.-S.; Chen, Z.; Huang, C.-M. A method to identify aperiodic disturbances in the ionosphere. Ann. Geophys. 2014, 32, 563–569. [Google Scholar] [CrossRef][Green Version]
- Chen, Z.; Wang, J.; Huang, C.; Huang, L. A new pair of indices to describe the relationship between ionospheric disturbances and geomagnetic activity. J. Geophys. Res. Space Phys. 2014, 119. [Google Scholar] [CrossRef]
- Chen, Z.; Wang, J.-S.; Deng, Y.; Huang, C.-M. Extraction of the geomagnetic activity effect from TEC data: A comparison between the spectral whitening method and 28 day running median. J. Geophys. Res. Space Phys. 2017, 122, 3632–3639. [Google Scholar] [CrossRef]
- Buonsanto, M. Ionospheric Storms—A Review. Space Sci. Rev. 1999, 88, 563–601. [Google Scholar] [CrossRef]
- Fuller-Rowell, T.J.; Codrescu, M.C.; Wilkinson, P. Quantitative modeling of the ionospheric response to geomagnetic activity. In Annales Geophysicae; Springer: Berlin/Heidelberg, Germany, 2000; Volume 18, pp. 766–781. [Google Scholar]
- Schunk, R.; Thompson, D.C.; Sojka, J.J.; Zhu, L.; Scherliess, L. Ionospheric Weather Forecasting on the Horizon. Space Weather. 2005, 3. [Google Scholar] [CrossRef]
- Jin, S.; Jin, R.; Kutoglu, H. Positive and negative ionospheric responses to the March 2015 geomagnetic storm from BDS observations. J. Geod. 2017, 91, 613–626. [Google Scholar] [CrossRef]
- Chen, L.; Wang, S.; Fan, W.; Sun, J.; Naoi, S. Beyond human recognition: A CNN-based framework for handwritten character recognition. In Proceedings of the 2015 3rd IAPR Asian Conference on Pattern Recognition (ACPR), Kuala Lumpur, Malaysia, 3–6 November 2015; pp. 695–699. [Google Scholar]
- Brockwell, P.J.; Davis, R.A. Introduction to Time Series and Forecasting; Springer Science and Business Media LLC: Berlin/Heidelberg, Germany, 2002; Volume 2. [Google Scholar]
- Zhang, X.; Ren, X.; Wu, F.; LU, Q. Short-term TEC prediction of ionosphere based on ARIMA model. Acta Geod. Cart. Sin 2014, 2, 118–124. [Google Scholar] [CrossRef]
- LeCun, Y.; Bengio, Y.; Hinton, G. Deep learning. Nature 2015, 521, 436. [Google Scholar] [CrossRef] [PubMed]
- Xenos, T.D. Neural-network-based prediction techniques for single station modeling and regional mapping of the foF2 and M (3000) F2 ionospheric characteristics. Nonlinear Proc. Geoph. 2002, 9, 477–486. [Google Scholar] [CrossRef][Green Version]
- Oyeyemi, E.O.; McKinnell, L.A.; Poole, A.W.V. Near-real time foF2 predictions using neural networks. J. Atmos. Sol. Terr. Phys. 2006, 68, 1807–1818. [Google Scholar] [CrossRef]
- Mandrikova, O.V.; Fetisova, N.V.; Al-Kasasbeh, R.T.; Klionskiy, D.M.; Geppener, V.V.; Ilyash, M.Y. Ionospheric parameter modelling and anomaly discovery by combining the wavelet transform with autoregressive models. Ann. Geophys. 2015, 58, 550. [Google Scholar]
- Sun, W.; Xu, L.; Huang, X.; Zhang, W.; Yuan, T.; Chen, Z.; Yan, Y. Forecasting of ionospheric vertical total electron content (TEC) using LSTM networks. In Proceedings of the 2017 International Conference on Machine Learning and Cybernetics (ICMLC), Ningbo, China, 9–12 July 2017; Volume 2, pp. 340–344. [Google Scholar]
- Cherrier, N.; Castaings, T.; Boulch, A. Deep Sequence-to-Sequence Neural Networks for Ionospheric Activity Map Prediction; Springer Science and Business Media LLC: Berlin/Heidelberg, Germany, 2017; Volume 10638, pp. 545–555. [Google Scholar]
- Gruet, M.A.; Chandorkar, M.; Sicard, A.; Camporeale, E. Multiple-Hour-Ahead Forecast of the Dst Index Using a Combination of Long Short-Term Memory Neural Network and Gaussian Process. Space Weather. 2018, 16, 1882–1896. [Google Scholar] [CrossRef]
- Tan, Y.; Hu, Q.; Wang, Z.; Zhong, Q. Geomagnetic Index Kp Forecasting With LSTM. Space Weather. 2018, 16, 406–416. [Google Scholar] [CrossRef]
- Chen, Z.; Jin, M.; Deng, Y.; Wang, J.-S.; Huang, H.; Deng, X.; Huang, C. Improvement of a Deep Learning Algorithm for Total Electron Content Maps: Image Completion. J. Geophys. Res. Space Phys. 2019, 124, 790–800. [Google Scholar] [CrossRef]
- Geurts, M.; Box, G.E.P.; Jenkins, G.M. Time Series Analysis: Forecasting and Control. J. Mark. Res. 1977, 14, 269. [Google Scholar] [CrossRef]
- Yi, H.; Jung, H.; Bae, S. Deep Neural Networks for traffic flow prediction. In Proceedings of the 2017 IEEE International Conference on Big Data and Smart Computing (BigComp), Jeju, South Korea, 13–16 February 2017; pp. 328–331. [Google Scholar]
- Wang, J.; Tang, J.; Xu, Z.; Wang, Y.; Xue, G.; Zhang, X.; Yang, D. Spatiotemporal modeling and prediction in cellular networks: A big data enabled deep learning approach. In Proceedings of the IEEE INFOCOM 2017—IEEE Conference on Computer Communications, Atlanta, GA, USA, 1–4 May 2017; pp. 1–9. [Google Scholar]
- Zhang, Q.; Yang, L.T.; Chen, Z.; Li, P. A survey on deep learning for big data. Inf. Fusion 2018, 42, 146–157. [Google Scholar] [CrossRef]
- Dorffner, G. Neural networks for time series processing. Neural Netw. World 1996, 6, 447–468. [Google Scholar]
- Connor, J.T.; Martin, R.D.; Atlas, L.E. Recurrent neural networks and robust time series prediction. IEEE Trans. Neural Networks 1994, 5, 240–254. [Google Scholar] [CrossRef] [PubMed]
- Bengio, Y.; Simard, P.; Frasconi, P. Learning long-term dependencies with gradient descent is difficult. IEEE Trans. Neural Networks 1994, 5, 157–166. [Google Scholar] [CrossRef] [PubMed]
- Hochreiter, S. Recurrent neural net learning and vanishing gradient. Int. J. Uncertainity Fuzziness Knowl. Based Syst. 1998, 6, 107–116. [Google Scholar] [CrossRef]
- Hochreiter, S.; Schmidhuber, J. Long Short-Term Memory. Neural Comput. 1997, 9, 1735–1780. [Google Scholar] [CrossRef]
- Sutskever, I.; Vinyals, O.; Le, Q.V. Sequence to sequence learning with neural networks. In Advances in Neural Information Processing Systems; Curran Associates: Dutchess, NY, USA, 2014; pp. 3104–3112. [Google Scholar]
- Cho, K.; Van Merrienboer, B.; Gulcehre, C.; Bahdanau, D.; Bougares, F.; Schwenk, H.; Bengio, Y. Learning Phrase Representations using RNN Encoder–Decoder for Statistical Machine Translation. In Proceedings of the 2014 Conference on Empirical Methods in Natural Language Processing (EMNLP), Doha, Qatar, 25–29 October 2014; pp. 1724–1734. [Google Scholar]
- Hernández-Pajares, M. IGS ionosphere WG status report: Performance of IGS ionosphere TEC maps-position paper. In Proceedings of the 2004 IGS Workshop, Presented at IGS Technical Meeting, Bern, Switzerland, 2004. [Google Scholar]
- Rideout, W.; Coster, A. Automated GPS processing for global total electron content data. GPS Solutions 2006, 10, 219–228. [Google Scholar] [CrossRef]
- Madrigal CEDAR Database. Available online: http://cedar.openmadrigal.org/ftp/ (accessed on 21 March 2020).
- Gonzalez, W.D.; Joselyn, J.A.; Kamide, Y.; Kroehl, H.W.; Rostoker, G.; Tsurutani, B.T.; Vasyliunas, V.M. What is a geomagnetic storm? J. Geophys. Res. Space Phys. 1994, 99, 5771–5792. [Google Scholar] [CrossRef]









| Parameters and Hyperparameters | Setting Values |
|---|---|
| length of sequence | 50 |
| activation | “relu” |
| loss | “mae” |
| optimizer | “Adam” |
| num of LSTM layers | 2 |
| num of dense layers | 1 |
| epochs | 500 |
| dropout | 0.2 |
| input_dim | 1 |
| output_dim | 1 |
| batch_size | 48 |
| validation_split | 0.05 |
| verbose | 1 |
| Parameters and Hyperparameters | Setting Values |
|---|---|
| learning_rate | 0.01 |
| lambda_l2_reg | 0.003 |
| LSTM cell hidden_dim | 64 |
| num of stacked LSTM layers | 1 |
| GRADIENT_CLIPPING | 2.5 |
| num of input signals | 1 |
| num of output signals | 1 |
| optimizer | “Adam” |
| iterations | 1500 |
| loss | Mse |
| Performance of Methods | ARIMA | LSTM | Seq2Seq |
|---|---|---|---|
| Weak (CC < 0.3) | 5.45% | 1.82% | 12.73% |
| Medium (0.3 ≤ CC < 0.6) | 36.36% | 27.27% | 41.82% |
| Strong (CC ≥ 0.6) | 58.18% | 70.91% | 45.45% |
© 2020 by the authors. Licensee MDPI, Basel, Switzerland. This article is an open access article distributed under the terms and conditions of the Creative Commons Attribution (CC BY) license (http://creativecommons.org/licenses/by/4.0/).
Share and Cite
Tang, R.; Zeng, F.; Chen, Z.; Wang, J.-S.; Huang, C.-M.; Wu, Z. The Comparison of Predicting Storm-Time Ionospheric TEC by Three Methods: ARIMA, LSTM, and Seq2Seq. Atmosphere 2020, 11, 316. https://doi.org/10.3390/atmos11040316
Tang R, Zeng F, Chen Z, Wang J-S, Huang C-M, Wu Z. The Comparison of Predicting Storm-Time Ionospheric TEC by Three Methods: ARIMA, LSTM, and Seq2Seq. Atmosphere. 2020; 11(4):316. https://doi.org/10.3390/atmos11040316
Chicago/Turabian StyleTang, Rongxin, Fantao Zeng, Zhou Chen, Jing-Song Wang, Chun-Ming Huang, and Zhiping Wu. 2020. "The Comparison of Predicting Storm-Time Ionospheric TEC by Three Methods: ARIMA, LSTM, and Seq2Seq" Atmosphere 11, no. 4: 316. https://doi.org/10.3390/atmos11040316
APA StyleTang, R., Zeng, F., Chen, Z., Wang, J.-S., Huang, C.-M., & Wu, Z. (2020). The Comparison of Predicting Storm-Time Ionospheric TEC by Three Methods: ARIMA, LSTM, and Seq2Seq. Atmosphere, 11(4), 316. https://doi.org/10.3390/atmos11040316

