Selected Metals in Urban Road Dust: Upper and Lower Silesia Case Study
Abstract
1. Introduction
2. Experiments
2.1. Sampling Organization
2.2. Extraction and Chemical Analysis
- —solubility (%),
- —corresponding element,
- —concentration of water soluble fraction of element (mg/kg),
- —total concentration of element (mg/kg).
2.3. Exposure Dose
- C—average metal concentration in road dust (mg/kg);
- IngR—value of daily accidental dust intake (mg/d);
- InhR—daily lung ventilation (m3/d);
- EF—contact frequency (d/year);
- ED—duration of contact (year);
- BW—average body weight (kg);
- AT—averaging period (d);
- PEF—particle emission factor (m3/kg);
- SL—coefficient of dust adherence to the skin (mg/cm2 × d);
- SA—skin surface exposed to dust (cm2);
- ABS—percutaneous absorption coefficient, unnamed quantity.
2.4. Non-Cancerogenic Health Risk
2.5. The Assessment of Cancer Risk
- C—average metal concentration in road dust (water soluble) (mg/kg);
- ET—exposure time (h/d);
- EF—contact frequency (d/year);
- ED—duration of contact (year);
- IUR—slope factor (µg/m3);
- BW—average body weight (kg);
- AT—averaging period (d);
2.6. Statistical Methods
3. Results and Discussion
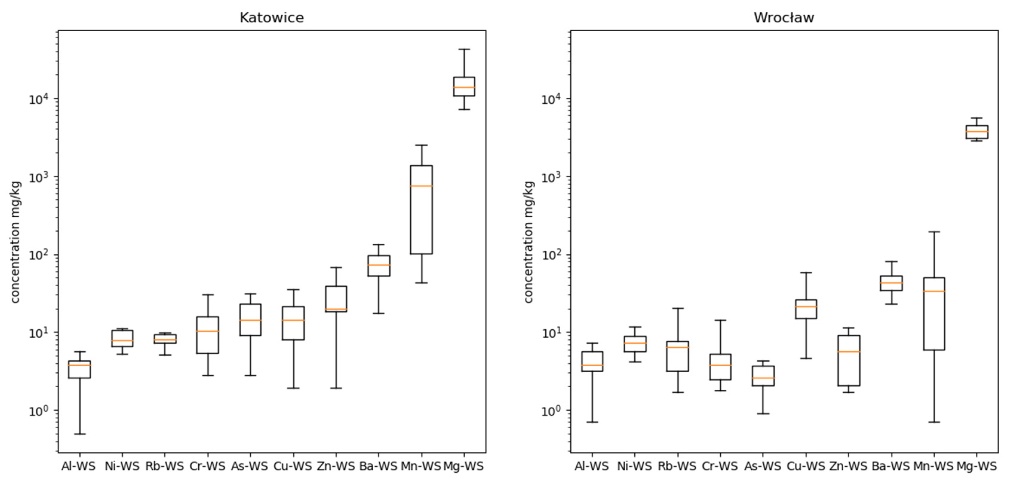
3.1. Road Dust Metal Concentration
3.2. The Origin of URD in Katowice and Wrocław Agglomerations
3.3. Assessment of Heavy Metals Pollution Level
3.3.1. Pollution Load Index (PLI)
3.3.2. The Enrichment Factor (EF)
3.3.3. Geoaccumulation Index
3.4. The Assessment of Health Risk
3.4.1. Exposure Dose
3.4.2. Non-Cancerogenic Health Risk Assessment
3.4.3. Cancer Risk Assessment
4. Conclusions
Supplementary Materials
Author Contributions
Funding
Conflicts of Interest
References
- Guerreiro, C.; de Leeuw, F.; Ortiz, A.G.; Viana, M.; Colette, A. Air Quality in Europe—2018 Report; European Environment Agency: Luxembourg, 2018. [Google Scholar]
- Air Quality in Europe—2017 Report No 13/2017; European Environment Agency: Luxembourg, 2017; ISBN 9789292139216.
- Zajusz-Zubek, E.; Mainka, A.; Korban, Z.; Pastuszka, J.S. Evaluation of highly mobile fraction of trace elements in PM10 collected in Upper Silesia (Poland): Preliminary results. Atmos. Pollut. Res. 2015, 6, 961–968. [Google Scholar] [CrossRef]
- Houthuijs, D.; Breugelmans, O.; Hoek, G.; Vaskövi, É.; Miháliková, E.; Pastuszka, J.S.; Jirik, V.; Sachelarescu, S.; Lolova, D.; Meliefste, K.; et al. PM10 and PM2.5 concentrations in Central and Eastern Europe: Results from the Cesar study. Atmos. Environ. 2001, 35, 2757–2771. [Google Scholar] [CrossRef]
- Huszar, P.; Juda-Rezler, K.; Halenka, T.; Chervenkov, H.; Syrakov, D.; Krüger, B.C.; Zanis, P.; Melas, D.; Katragkou, E.; Reizer, M.; et al. Effects of climate change on ozone and particulate matter over Central and Eastern Europe. Clim. Res. 2011, 50, 51–68. [Google Scholar] [CrossRef]
- Majewski, G.; Rogula-Kozlowska, W.; Czechowski, P.O.; Badyda, A.; Brandyk, A. The impact of selected parameters on visibility: First results from a long-term campaign in Warsaw, Poland. Atmosphere 2015, 6, 1154–1174. [Google Scholar] [CrossRef]
- Sówka, I.; Chlebowska-Styś, A.; Pachurka, Ł.; Rogula-Kozłowska, W. Seasonal variations of PM2.5 and PM10 concentrations and inhalation exposure from PM-bound metals (As, Cd, Ni): First studies in Poznań (Poland). Arch. Environ. Prot. 2018, 44, 86–95. [Google Scholar]
- Majewski, J.G.; Przewožniczuk, W. Study of particulate matter pollution in Warsaw area. Polish J. Environ. Stud. 2009, 18, 293–300. [Google Scholar]
- Rogula-Kozłowska, W.; Błaszczak, B.; Szopa, S.; Klejnowski, K.; Sówka, I.; Zwoździak, A.; Jabłońska, M.; Mathews, B. PM2.5 in the central part of Upper Silesia, Poland: Concentrations, elemental composition, and mobility of components. Environ. Monit. Assess. 2013, 185, 581–601. [Google Scholar] [CrossRef]
- Rogula-Kozłowska, W.; Klejnowski, K. Submicrometer aerosol in rural and urban backgrounds in southern Poland: Primary and secondary components of PM1. Bull. Environ. Contam. Toxicol. 2013, 90, 103–109. [Google Scholar] [CrossRef]
- Kamila, W.; Wioletta, R.K.; Krzysztof, L.; Karolina, K.; Grzegorz, M. Health Risk Impacts of Exposure to Airborne Metals and Benzo(a)Pyrene during Episodes of High PM10Concentrations in Poland. Biomed. Environ. Sci. 2018, 31, 23–36. [Google Scholar]
- Pastuszka, J.S.; Rogula-Kozłowska, W.; Zajusz-Zubek, E. Characterization of PM10 and PM2.5 and associated heavy metals at the crossroads and urban background site in Zabrze, Upper Silesia, Poland, during the smog episodes. Environ. Monit. Assess. 2010, 168, 613–627. [Google Scholar] [CrossRef]
- Juda-Rezler, K.; Reizer, M.; Oudinet, J.P. Determination and analysis of PM10 source apportionment during episodes of air pollution in Central Eastern European urban areas: The case of wintertime 2006. Atmos. Environ. 2011, 45, 6557–6566. [Google Scholar] [CrossRef]
- Majewski, G.; Rogula-Kozłowska, W. The elemental composition and origin of fine ambient particles in the largest Polish conurbation: first results from the short-term winter campaign. Theor. Appl. Climatol. 2016, 125, 79–92. [Google Scholar] [CrossRef]
- Majewski, G.; Rogula-Kozłowska, W.; Rozbicka, K.; Rogula-Kopiec, P.; Mathews, B.; Brandyk, A. Concentration, chemical composition and origin of PM1: Results from the first long-term measurement campaign in warsaw (Poland). Aerosol Air Qual. Res. 2018, 18, 636–654. [Google Scholar] [CrossRef]
- Zgłobicki, W.; Telecka, M.; Skupiński, S. Assessment of short-term changes in street dust pollution with heavy metals in Lublin (E Poland)—Levels, sources and risks. Environ. Sci. Pollut. Res. 2019, 26, 35049–35060. [Google Scholar] [CrossRef]
- Adamiec, E.; Jarosz-Krzemińska, E. Human Health Risk Assessment associated with contaminants in the finest fraction of sidewalk dust collected in proximity to trafficked roads. Sci. Rep. 2019, 9, 16364–16378. [Google Scholar] [CrossRef]
- Trojanowska, M.; Świetlik, R. Investigations of the chemical distribution of heavy metals in street dust and its impact on risk assessment for human health, case study of Radom (Poland). Hum. Ecol. Risk Assess. 2019, 1–20. [Google Scholar] [CrossRef]
- Logiewa, A.; Miazgowicz, A.; Krennhuber, K.; Lanzerstorfer, C. Variation in the Concentration of Metals in Road Dust Size Fractions Between 2 µm and 2 mm: Results from Three Metallurgical Centres in Poland. Arch. Environ. Contam. Toxicol. 2020, 78, 46–59. [Google Scholar] [CrossRef]
- Świetlik, R.; Strzelecka, M.; Trojanowska, M. Evaluation of traffic-related heavy metals emissions using noise barrier road dust analysis. Polish J. Environ. Stud. 2013, 22, 561–567. [Google Scholar]
- Khanal, R.; Furumai, H.; Nakajima, F. Toxicity assessment of size-fractionated urban road dust using ostracod Heterocypris incongruens direct contact test. J. Hazard. Mater. 2014, 264, 53–64. [Google Scholar] [CrossRef]
- Gope, M.; Masto, R.E.; George, J.; Hoque, R.R.; Balachandran, S. Bioavailability and health risk of some potentially toxic elements (Cd, Cu, Pb and Zn) in street dust of Asansol, India. Ecotoxicol. Environ. Saf. 2017, 138, 231–241. [Google Scholar] [CrossRef]
- Birch, G.F.; Scollen, A. Heavy metals in road dust, gully pots and parkland soils in a highly urbanised sub-catchment of Port Jackson, Australia. Aust. J. Soil Res. 2003, 41, 1329–1342. [Google Scholar] [CrossRef]
- Men, C.; Liu, R.; Xu, F.; Wang, Q.; Guo, L.; Shen, Z. Pollution characteristics, risk assessment, and source apportionment of heavy metals in road dust in Beijing, China. Sci. Total Environ. 2018, 612, 138–147. [Google Scholar] [CrossRef] [PubMed]
- Tüzen, M. Investigation of heavy metal levels in street dust samples in Tokat, Turkey. J. Trace Microprobe Tech. 2003, 21, 513–521. [Google Scholar] [CrossRef]
- Bourliva, A.; Papadopoulou, L.; Aidona, E. Study of road dust magnetic phases as the main carrier of potentially harmful trace elements. Sci. Total Environ. 2016, 553, 380–391. [Google Scholar] [CrossRef] [PubMed]
- Voutsa, D.; Anthemidis, A.; Giakisikli, G.; Mitani, K.; Besis, A.; Tsolakidou, A.; Samara, C. Size distribution of total and water-soluble fractions of particle-bound elements—assessment of possible risks via inhalation. Environ. Sci. Pollut. Res. 2015, 22, 13412–13426. [Google Scholar] [CrossRef] [PubMed]
- Hlavay, J.; Polyák, K.; Molnár, Á.; Mészáros, E. Determination of the distribution of elements as a function of particle size in aerosol samples by sequential leaching. Analyst 1998, 123, 859–863. [Google Scholar] [CrossRef]
- Shi, G.; Chen, Z.; Bi, C.; Wang, L.; Teng, J.; Li, Y.; Xu, S. A comparative study of health risk of potentially toxic metals in urban and suburban road dust in the most populated city of China. Atmos. Environ. 2011, 45, 764–771. [Google Scholar] [CrossRef]
- Harrison, R.M.; Jones, A.M.; Gietl, J.; Yin, J.; Green, D.C. Estimation of the contributions of brake dust, tire wear, and resuspension to nonexhaust traffic particles derived from atmospheric measurements. Environ. Sci. Technol. 2012, 46, 6523–6529. [Google Scholar] [CrossRef]
- Pant, P.; Harrison, R.M. Estimation of the contribution of road traffic emissions to particulate matter concentrations from field measurements: A review. Atmos. Environ. 2013, 77, 78–97. [Google Scholar] [CrossRef]
- Pant, P.; Shi, Z.; Pope, F.D.; Harrison, R.M. Characterization of traffic-related particulate matter emissions in a road tunnel in Birmingham, UK: Trace metals and organic molecular markers. Aerosol Air Qual. Res. 2017, 17, 117–130. [Google Scholar] [CrossRef]
- Thorpe, A.; Harrison, R.M. Sources and properties of non-exhaust particulate matter from road traffic: A review. Sci. Total Environ. 2008, 400, 270–282. [Google Scholar] [CrossRef] [PubMed]
- Gunawardana, C.; Goonetilleke, A.; Egodawatta, P.; Dawes, L.; Kokot, S. Source characterisation of road dust based on chemical and mineralogical composition. Chemosphere 2012, 87, 163–170. [Google Scholar] [CrossRef] [PubMed]
- Park, M.; Joo, H.S.; Lee, K.; Jang, M.; Kim, S.D.; Kim, I.; Borlaza, L.J.S.; Lim, H.; Shin, H.; Chung, K.H.; et al. Differential toxicities of fine particulate matters from various sources. Sci. Rep. 2018, 8, 17007–170012. [Google Scholar] [CrossRef] [PubMed]
- Lee, K.Y.; Batmunkh, T.; Joo, H.S.; Park, K. Comparison of the physical and chemical characteristics of fine road dust at different urban sites. J. Air Waste Manag. Assoc. 2018, 68, 812–823. [Google Scholar] [CrossRef]
- Feng, X.D.; Dang, Z.; Huang, W.L.; Yang, C. Chemical speciation of fine particle bound trace metals. Int. J. Environ. Sci. Technol. 2009, 6, 337–346. [Google Scholar] [CrossRef]
- Rogula-Kozłowska, W.; Klejnowski, K.; Rogula-Kopiec, P.; Ośródka, L.; Krajny, E.; Błaszczak, B.; Mathews, B. Spatial and seasonal variability of the mass concentration and chemical composition of PM2.5 in Poland. Air Qual. Atmos. Health 2014, 7, 41–58. [Google Scholar] [CrossRef]
- Han, X.; Lu, X.; Qinggeletu; Wu, Y. Health risks and contamination levels of heavy metals in dusts from parks and squares of an industrial city in semi-arid area of China. Int. J. Environ. Res. Public Health 2017, 14, 886. [Google Scholar] [CrossRef]
- Li, N.; Han, W.; Tang, J.; Bian, J.; Sun, S.; Song, T. Pollution characteristics and human health risks of elements in road dust in Changchun, China. Int. J. Environ. Res. Public Health 2018, 15, 1843. [Google Scholar] [CrossRef]
- Widziewicz, K.; Rogula-Kozłowska, W. Urban environment as a factor modulating metals deposition in the respiratory track and associated cancer risk. Atmos. Pollut. Res. 2018, 9, 399–410. [Google Scholar] [CrossRef]
- Wuana, R.A.; Okieimen, F.E. Heavy Metals in Contaminated Soils: A Review of Sources, Chemistry, Risks and Best Available Strategies for Remediation. ISRN Ecol. 2011, 2011, 1–20. [Google Scholar] [CrossRef]
- Kobza, J.; Geremek, M.; Dul, L. Characteristics of air quality and sources affecting high levels of PM10 and PM2.5 in Poland, Upper Silesia urban area. Environ. Monit. Assess. 2018, 190, 515. [Google Scholar] [CrossRef] [PubMed]
- Sówka, I.; Bezyk, Y.; Pachurka, Ł. Analysis and assessment of air quality in the cities area of Wrocław (Poland) and Lviv (Ukraine). Sci. Rev. Eng. Environ. Sci. 2015, 24, 178–192. [Google Scholar]
- US EPA. Risk Assessment Guidance for Superfund Volume I: Human Health Evaluation Manual (Part F, Supplemental Guidance for Inhalation Risk Assessment). In Off. Superfund Remediat. Technol. Innov. Environ. Prot. Agency; 2009; I, pp. 1–68, EPA-540-R-070-002. [Google Scholar]
- USEPA. Risk Assessment Guidance for Superfund (RAGS) Volume III—Part A: Process for Conducting Probabilistic Risk Assessment, Appendix B. In Off. Emerg. Remedial Response U.S. Environ. Prot. Agency; 2001; III, pp. 1–385. [Google Scholar]
- US-EPA. Framework for Human Health Risk Assessment to Inform Decision Making. 2014. Available online: http://www.epa.gov/sites/production/files/2014-12/documents/hhra-framework-final-2014.pdf (accessed on 6 March 2020).
- US EPA. Risk Assessment Guidance for Superfund, Vol. I: Human Health Evaluation; Office of Emergency and Remedial Response, US EPA: Washington, DC, USA, 1989.
- U.S. EPA. Integrated Risk Information System: Lead. U.S. Environmental Protection Agency. 2004. Available online: https://cfpub.epa.gov/ncea/iris/iris_documents/documents/subst/0277_summary.pdf (accessed on 2 February 2020).
- Jain, S.; Sharma, S.K.; Choudhary, N.; Masiwal, R.; Saxena, M.; Sharma, A.; Mandal, T.K.; Gupta, A.; Gupta, N.C.; Sharma, C. Chemical characteristics and source apportionment of PM2.5 using PCA/APCS, UNMIX, and PMF at an urban site of Delhi, India. Environ. Sci. Pollut. Res. 2017, 24, 14637–14656. [Google Scholar] [CrossRef]
- Olawoyin, R.; Schweitzer, L.; Zhang, K.; Okareh, O.; Slates, K. Index analysis and human health risk model application for evaluating ambient air-heavy metal contamination in Chemical Valley Sarnia. Ecotoxicol. Environ. Saf. 2018, 148, 72–81. [Google Scholar] [CrossRef]
- USEPA. Risk Assessment Guidance for Superfund (RAGS). Volume I. Human Health Evaluation Manual (HHEM). Part E. Supplemental Guidance for Dermal Risk Assessment. US EPA 2004. Available online: https://www.epa.gov/sites/production/files/2015-09/documents/part_e_final_revision_10-03-07.pdf (accessed on 2 February 2020).
- McKinney, W. Data Structures for Statistical Computing in Python. In Proceedings of the 9th Python in Science Conference, Austin, TX, USA, 28 June–3 July 2010; Available online: https://www.semanticscholar.org/paper/Data-Structures-for-Statistical-Computing-in-Python-McKinney/f6dac1c52d3b07c993fe52513b8964f86e8fe381 (accessed on 2 February 2020).
- Hunter, J.D. Matplotlib: A 2D graphics environment. Comput. Sci. Eng. 2007, 9, 99–104. [Google Scholar] [CrossRef]
- Waskom, M. Seaborn: Statistical Data Visualization—Seaborn 0.9.0 Documentation. Sphinx 1.7.4, 2018. [Google Scholar]
- Demšar, J.; Curk, T.; Erjavec, A.; Gorup, Č.; Hočevar, T.; Milutinovič, M.; Možina, M.; Polajnar, M.; Toplak, M.; Starič, A.; et al. Orange: Data mining toolbox in python. J. Mach. Learn. Res. 2013, 14, 2349–2353. [Google Scholar]
- Norris, G.; Duvall, R.; Brown, S.; Bai, S. EPA Positive M atrix Factorization (PMF) 5.0 Fundamentals and User Guide; EPA/600/R-14/108; U.S. Environmental Protection Agency Office of Research and Development: Washington, DC, USA, 2014.
- Thurston, G.D.; Spengler, J.D. A quantitative assessment of source contributions to inhalable particulate matter pollution in metropolitan Boston. Atmos. Environ. 1985, 19, 9–25. [Google Scholar] [CrossRef]
- Chen, H.; Lu, X.; Li, L.Y.; Gao, T.; Chang, Y. Metal contamination in campus dust of Xi’an, China: A study based on multivariate statistics and spatial distribution. Sci. Total Environ. 2014, 484, 27–35. [Google Scholar] [CrossRef]
- Yang, Y.; Yang, X.; He, M.; Christakos, G. Beyond mere pollution source identification: Determination of land covers emitting soil heavy metals by combining PCA/APCS, GeoDetector and GIS analysis. Catena 2020, 185, 104297. [Google Scholar] [CrossRef]
- Yongming, H.; Peixuan, D.; Junji, C.; Posmentier, E.S. Multivariate analysis of heavy metal contamination in urban dusts of Xi’an, Central China. Sci. Total Environ. 2006, 355, 176–186. [Google Scholar] [CrossRef] [PubMed]
- Paatero, P.; Tapper, U. Positive matrix factorization: A non-negative factor model with optimal utilization of error estimates of data values. Environmetrics 1994, 5, 111–126. [Google Scholar] [CrossRef]
- Joints Research Centre, Source Apportionment. Available online: https://source-apportionment.jrc.ec.europa.eu/Specieurope/index.aspx (accessed on 2 February 2020).
- Tomlinson, D.L.; Wilson, J.G.; Harris, C.R.; Jeffrey, D.W. Problems in the assessment of heavy-metal levels in estuaries and the formation of a pollution index. Helgoländer Meeresunters 1980, 33, 566–575. [Google Scholar] [CrossRef]
- Hans Wedepohl, K. The composition of the continental crust. Geochim. Cosmochim. Acta 1995, 59, 1217–1232. [Google Scholar] [CrossRef]
- Nagarajan, R.; Anandkumar, A.; Hussain, S.M.; Jonathan, M.P.; Ramkumar, M.; Eswaramoorthi, S.; Saptoro, A.; Chua, H.B. Geochemical Characterization of Beach Sediments of Miri, NW Borneo, SE Asia: Implications on Provenance, Weathering Intensity, and Assessment of Coastal Environmental Status. Coast. Zone Manag. 2019, 12, 279–330. [Google Scholar]
- Barbieri, M. The Importance of Enrichment Factor (EF) and Geoaccumulation Index (Igeo) to Evaluate the Soil Contamination. J. Geol. Geophys 2016, 5, 1. [Google Scholar] [CrossRef]
- Reimann, C.; De Caritat, P. Intrinsic flaws of element enrichment factors (EFs) in environmental geochemistry. Environ. Sci. Technol. 2000, 34, 5084–5091. [Google Scholar] [CrossRef]
- Bern, C.R.; Walton-Day, K.; Naftz, D.L. Improved enrichment factor calculations through principal component analysis: Examples from soils near breccia pipe uranium mines, Arizona, USA. Environ. Pollut. 2019, 248, 90–100. [Google Scholar] [CrossRef]
- Mueller, G. Schwermetalle in Den Sedimenten des Rheins—Veranderungen Seit 1971. Umsch. Wiss. Tech. 1979, 79, 778–783. [Google Scholar]
- Müller, G. Schadstoffe in Sedimenten—Sedimente als Schadstoffe. Umsch. Wiss. Tech. 1986, 79, 778–783. [Google Scholar]
- Rogula-Kozłowska, W. Chemical composition and mass closure of ambient particulate matter at a crossroads and a highway in Katowice, Poland. Environ. Prot. Eng. 2015, 41, 15–29. [Google Scholar]
- Rybak, J. Accumulation of Major and Trace Elements in Spider Webs. Water Air Soil Pollut. 2015, 226, 105. [Google Scholar] [CrossRef] [PubMed]
- Okorie, A.; Entwistle, J.; Dean, J.R. Estimation of daily intake of potentially toxic elements from urban street dust and the role of oral bioaccessibility testing. Chemosphere 2012, 86, 460–467. [Google Scholar] [CrossRef]
- Saeedi, M.; Li, L.Y.; Salmanzadeh, M. Heavy metals and polycyclic aromatic hydrocarbons: Pollution and ecological risk assessment in street dust of Tehran. J. Hazard. Mater. 2012, 227–228, 9–17. [Google Scholar] [CrossRef]
- KiebałA, A.; Kozieł, M.; Telecka, M.; ZgłObicki, W. Wielowymiarowa analiza statystyczna metali ciężkich w pyle drogowym na obszarze Lublina. J. Civ. Eng. Environ. Archit. 2015, XXXII, 219–232. [Google Scholar] [CrossRef]
- Pulles, T.; Denier van der Gon, H.; Appelman, W.; Verheul, M. Emission factors for heavy metals from diesel and petrol used in European vehicles. Atmos. Environ. 2012, 61, 641–651. [Google Scholar] [CrossRef]
- Ogunfowokan, A.O.; Oyekunle, J.A.O.; Durosinmi, L.M.; Akinjokun, A.I.; Gabriel, O.D. Speciation study of lead and manganese in roadside dusts from major roads in Ile-Ife, South Western Nigeria. Chem. Ecol. 2009, 25, 405–415. [Google Scholar] [CrossRef]
- Balakrishna, G.; Pervez, S.; Bisht, D.S. Source apportionment of arsenic in atmospheric dust fall out in an urban residential area, Raipur, Central India. Atmos. Chem. Phys. 2011, 11, 5141–5151. [Google Scholar] [CrossRef]
- von Schneidemesser, E.; Stone, E.A.; Quraishi, T.A.; Shafer, M.M.; Schauer, J.J. Toxic metals in the atmosphere in Lahore, Pakistan. Sci. Total Environ. 2010, 408, 1640–1648. [Google Scholar] [CrossRef]
- Heal, M.R.; Hibbs, L.R.; Agius, R.M.; Beverland, I.J. Total and water-soluble trace metal content of urban background PM 10, PM2.5 and black smoke in Edinburgh, UK. Atmos. Environ. 2005, 39, 1417–1430. [Google Scholar] [CrossRef]
- Rogula-Kozłowska, W.; Kozielska, B.; Klejnowski, K.; Szopa, S. Hazardous compounds in urban PM in the central part of upper Silesia (Poland) in winter. Arch. Environ. Prot. 2013, 39, 53–65. [Google Scholar] [CrossRef]
- Górka, M.; Bartz, W.; Rybak, J. The mineralogical interpretation of particulate matter deposited on Agelenidae and Pholcidae spider webs in the city of Wrocław (SW Poland): A preliminary case study. J. Aerosol Sci. 2018, 123, 63–75. [Google Scholar] [CrossRef]
- Sówka, I.; Chlebowska-Stys, A.; Pachurka, Ł.; Rogula-Kozłowska, W.; Mathews, B. Analysis of particulate matter concentration variability and origin in selected urban areas in Poland. Sustainability 2019, 11, 5735. [Google Scholar] [CrossRef]
- Wioletta, R.K.; Klejnowski, K.; Patrycja, R.K.; Mathews, B.; Szopa, S. A study on the seasonal mass closure of ambient fine and coarse dusts in Zabrze, Poland. Bull. Environ. Contam. Toxicol. 2012, 88, 722–729. [Google Scholar]
- Świetlik, R.; Trojanowska, M.; Strzelecka, M.; Bocho-Janiszewska, A. Fractionation and mobility of Cu, Fe, Mn, Pb and Zn in the road dust retained on noise barriers along expressway—A potential tool for determining the effects of driving conditions on speciation of emitted particulate metals. Environ. Pollut. 2015, 196, 404–413. [Google Scholar] [CrossRef]
- Widziewicz, K.; Rogula-Kozłowska, W.; Loska, K. Cancer risk from arsenic and chromium species bound to PM2.5 and PM1—Polish case study. Atmos. Pollut. Res. 2016, 7, 884–894. [Google Scholar] [CrossRef]
- Patra, A.; Colvile, R.; Arnold, S.; Bowen, E.; Shallcross, D.; Martin, D.; Price, C.; Tate, J.; ApSimon, H.; Robins, A. On street observations of particulate matter movement and dispersion due to traffic on an urban road. Atmos. Environ. 2008, 42, 3911–3926. [Google Scholar] [CrossRef]






| Parameter | Adults | Children |
|---|---|---|
| IngR | 200 | 100 |
| EF | 180 | 180 |
| ED | 70 | 6 |
| AT | ED × 365 d/year = 70 year × 365 day | ED × 365 d/year = 6 year × 365 day |
| BW | 70 | 15 |
| InhR | 20 | 7,6 |
| PEF | 1.39 × 109 | 1.39 × 109 |
| ABS | 0.001 | 0.001 |
| SL | 0.7 | 0.2 |
| SA | 5700 | 2800 |
| ET | 14 | 8 |
| ng/kg × d | RfDing | RfDinh | RfDderm |
|---|---|---|---|
| Cu | 4 × 104 | 4 × 104 | 1.2 × 104 |
| Ni | 2 × 104 | 2 × 104 | 5.4 × 102 |
| Zn | 3 × 105 | 3 × 105 | 6 × 104 |
| Cr | 3 × 103 | 2.86 × 101 | 6 × 101 |
| Mn | 1.4 × 105 | 1.4 × 105 | 4 × 103 |
| As | 3 × 102 | - | 3 × 102 |
| Mg | 1.4 × 105 | 1.4 × 105 | - |
| Ba | 2 × 105 | 14.3 × 101 | 4.9 × 103 |
| Class of EF | Description |
|---|---|
| minimal enrichment | |
| moderate enrichment | |
| significant enrichment | |
| very high enrichment | |
| extremely high enrichment |
| Description | ||
|---|---|---|
| 0 | Practically unpolluted | |
| 1 | Unpolluted to moderately polluted | |
| 2 | Moderately polluted | |
| 3 | Moderately to strong polluted | |
| 4 | Strong polluted | |
| 5 | Strong to extremely polluted | |
| 6 | Extremely polluted |
| Element | Mn-T | Ni-T | Cu-T | Zn-T | As-T | Rb-T | Ba-T | Cr-T | Mg-T | Al-T |
|---|---|---|---|---|---|---|---|---|---|---|
| Mn-T | 1.00 | |||||||||
| Ni-T | 0.36 | 1.00 | ||||||||
| Cu-T | 0.47 | 0.54 | 1.00 | |||||||
| Zn-T | 0.39 | 0.60 | 0.95 | 1.00 | ||||||
| As-T | 0.40 | 0.59 | 0.97 | 0.99 | 1.00 | |||||
| Rb-T | 0.08 | 0.55 | 0.38 | 0.62 | 0.55 | 1.00 | ||||
| Ba-T | 0.12 | 0.54 | 0.76 | 0.88 | 0.88 | 0.63 | 1.00 | |||
| Cr-T | −0.33 | −0.28 | −0.35 | −0.34 | −0.41 | 0.03 | −0.59 | 1.00 | ||
| Mg-T | 0.54 | 0.89 | 0.67 | 0.76 | 0.76 | 0.65 | 0.73 | −0.46 | 1.00 | |
| Al-T | 0.19 | 0.68 | 0.81 | 0.91 | 0.88 | 0.67 | 0.85 | −0.25 | 0.74 | 1.00 |
| Element | Mn-T | Ni-T | Cu-T | Zn-T | As-T | Rb-T | Ba-T | Cr-T | Mg-T | Al-T |
|---|---|---|---|---|---|---|---|---|---|---|
| Mn-T | 1.00 | |||||||||
| Ni-T | 0.19 | 1.00 | ||||||||
| Cu-T | 0.11 | −0.15 | 1.00 | |||||||
| Zn-T | 0.50 | −0.31 | 0.72 | 1.00 | ||||||
| As-T | 0.64 | 0.62 | 0.27 | 0.33 | 1.00 | |||||
| Rb-T | 0.84 | −0.06 | 0.09 | 0.49 | 0.53 | 1.00 | ||||
| Ba-T | 0.47 | −0.08 | 0.10 | 0.48 | 0.32 | 0.27 | 1.00 | |||
| Cr-T | 0.25 | 0.26 | −0.18 | 0.18 | 0.53 | 0.25 | 0.68 | 1.00 | ||
| Mg-T | 0.02 | 0.82 | −0.25 | −0.32 | 0.58 | −0.19 | 0.28 | 0.66 | 1.00 | |
| Al-T | 0.27 | 0.07 | −0.28 | 0.09 | 0.33 | 0.20 | 0.80 | 0.92 | 0.53 | 1.00 |
| Country | City | Mn-T | Ni-T | Cu-T | Zn-T | As-T | Rb-T | Ba-T | Cr-T | Mg-T | Al-T | References |
|---|---|---|---|---|---|---|---|---|---|---|---|---|
| Poland | Katowice | 1619 | 34 | 175 | 2683 | 109 | 9 | 162 | 106 | 21,015 | 22,370 | this study |
| Poland | Wrocław | 258 | 50 | 126 | 153 | 3 | 10 | 84 | 77 | 6700 | 5133 | this study |
| Greece | Thessaloniki | 529 | 96 | 526 | 671 | 13 | - | - | 187 | 9500 | 29,200 | [26] |
| Australia | Sydney | 48 | 15 | 160 | 850 | - | - | - | 65 | - | - | [23] |
| China | Beijing | 55,373 | 32 | 83 | 280 | 5 | - | - | 92 | - | - | [24] |
| Turkey | Tokat | 285 | 65 | 29 | 63 | - | - | - | 30 | - | - | [25] |
| England | New castle | - | 26 | 132 | 421 | - | - | - | - | - | - | [74] |
| Iran | Teheran | 1176 | 31 | 203 | 791 | - | - | - | 31 | - | - | [75] |
| Poland | Lublin | - | 27 | 66 | 202 | - | - | - | 53 | - | - | [76] |
| Poland | Radom | - | 37 | 173 | 515 | - | - | - | 65 | - | - | [18] |
| Poland | Warszawa | - | - | 109 | 348 | - | - | - | - | - | - | [18] |
| Country | City | Mn-WS | Ni-WS | Cu-WS | Zn-WS | As-WS | Rb-WS | Ba-WS | Cr-WS | Mg-WS | Al-WS | References |
|---|---|---|---|---|---|---|---|---|---|---|---|---|
| Poland | Katowice | 52 | 27 | 17 | 3 | 31 | 90 | 51 | 15 | 86 | 0.0 | this study |
| Poland | Wrocław | 26 | 16 | 27 | 4 | 82 | 66 | 58 | 8 | 65 | 0.1 | this study |
| Greece | Thessaloniki | 12 | 15 | 10 | 10 | 90 | - | 20 | 30 | 30 | 70 | [27] |
| China | Beijing | 30 | 30 | 20 | 40 | 40 | - | - | 10 | - | 2 | [37] |
| Hungary | Tihany (Lake Balaton) | 5 | 32 | 13 | 12 | 19 | - | - | 17 | - | - | [28] |
| UK | Edinburgh | 38 | 10 | 45 | 60 | 63 | - | - | 13 | - | - | [81] |
| Component | PC1 | PC2 | PC3 | PC4 |
|---|---|---|---|---|
| Mn-T | 0.172 | 0.587 | 0.507 | −0.307 |
| Ni-T | 0.297 | −0.033 | 0.442 | 0.363 |
| Cu-T | 0.349 | 0.109 | −0.141 | −0.442 |
| Zn-T | 0.377 | −0.060 | −0.121 | −0.265 |
| As-T | 0.375 | 0.011 | −0.173 | −0.252 |
| Rb-T | 0.261 | −0.495 | 0.254 | 0.196 |
| Ba-T | 0.353 | −0.083 | −0.381 | 0.205 |
| Cr-T | −0.181 | −0.569 | 0.400 | −0.529 |
| Mg-T | 0.352 | 0.084 | 0.324 | 0.282 |
| Al-T | 0.358 | −0.236 | −0.091 | −0.069 |
| Total variance explained | 65% | 78% | 87% | 95% |
| Component | PC1 | PC2 | PC3 | PC4 |
|---|---|---|---|---|
| Mn-T | 0.345 | −0.274 | 0.204 | −0.395 |
| Ni-T | 0.196 | 0.359 | 0.528 | 0.060 |
| Cu-T | 0.023 | −0.399 | 0.224 | 0.632 |
| Zn-T | 0.200 | −0.500 | −0.024 | 0.297 |
| As-T | 0.404 | −0.016 | 0.423 | 0.071 |
| Rb-T | 0.278 | −0.339 | 0.128 | −0.512 |
| Ba-T | 0.380 | −0.091 | −0.390 | 0.168 |
| Cr-T | 0.425 | 0.173 | −0.256 | 0.095 |
| Mg-T | 0.294 | 0.455 | 0.159 | 0.219 |
| Al-T | 0.388 | 0.160 | −0.436 | −0.013 |
| Total variance explained | 40% | 67% | 83% | 94% |
| Mn-T | Ni-T | Cu-T | Zn-T | As-T | Ba-T | Cr-T | Mg-T | ||
|---|---|---|---|---|---|---|---|---|---|
| Adults | ADD ing | 1.3 × 103−4.2 × 103 | 2.3 × 101−8.2 × 101 | 5.5 × 100−6.4 × 102 | 6.6 × 102−5.7 × 103 | 1.7 × 101−5.7 × 102 | 1.6 × 102−3.6 × 102 | 6 × 101−3.4 × 102 | 1.1 × 104−6.1 × 104 |
| ADDinh | 9.4 × 10−2–3 × 10−1 | 1.7 × 10−3–5.9 × 10−3 | 3.3 × 10−3–4.6 × 10−2 | 4.7 × 10−2–9.6 × 10−1 | 1.2 × 10−3–4.1 × 10−2 | 1.2 × 10−2–2.6 × 10−2 | 4.4 × 10−3–2.4 × 10−2 | 7.7 × 10−1–4.4 × 100 | |
| ADDderm | 2.6 × 101–8.3 × 101 | 4.6 × 10−1–1.6 × 100 | 9.2 × 10−1–1.2 × 101 | 1.3 × 10−1–2.7 × 102 | 5 × 10−1–1.1 × 10−0 | 3.3 × 100–7.3 × 100 | 1.2 × 100–6.8 × 100 | 2.1 × 102–1.2 × 103 | |
| Children | ADDing | 9.8 × 103–3 × 103 | 5.4 × 101–1.9 × 102 | 1.1 × 102–1.5 × 103 | 1.5 × 103–3.1 × 104 | 3.9 × 101–1.3 × 103 | 3.8 × 102–8.5 × 102 | 1.4 × 102–7.9 × 102 | 2.5 × 104–1.4 × 105 |
| ADD inh | 1.6 × 10−1–5.3 × 10−1 | 3 × 10−3–1 × 10−2 | 2.6 × 10−3–8.2 × 10−2 | 1.1 × 10−1–1.7 × 100 | 2.1 × 10−3–7.3 × 10−2 | 2 × 10−2–4.6 × 10−2 | 7.7 × 10−3–4.3 × 10−2 | 1.4 × 100–7.8 × 100 | |
| ADDderm | 1.7 × 10−1–5.5 × 101 | 3 × 10−1–1 × 100 | 2.7 × 10−1–8.4 × 100 | 8.7 × 100−1.7 × 102 | 2.2 × 10−1–7.4 × 100 | 2.1 × 100–4.8 × 100 | 7.9 × 10−1–4.5 × 100 | 1.4 × 102–8 × 102 |
| Mn-T | Ni-T | Cu-T | Zn-T | As-T | Ba-T | Cr-T | Mg-T | ||
|---|---|---|---|---|---|---|---|---|---|
| Adults | ADD ing | 2.4 × 102–6 × 102 | 4.2 × 101–1.4 × 102 | 5.3 × 101–6.8 × 102 | 1.2 × 102–3.2 × 102 | 2.9 × 100–6.9 × 100 | 7.5 × 101–1.7 × 102 | 5.5 × 101–2.9 × 102 | 6 × 103–1.6 × 104 |
| ADDinh | 1.7 × 10−2–4.3 × 10−2 | 3 × 10−3–1 × 10−2 | 3.8 × 10−3–4.9 × 10−2 | 8.5 × 10−3–2.3 × 10−2 | 2.1 × 10−4–4.9 × 10−4 | 1.2 × 10−2–4.7 × 10−1 | 4 × 10−3–2.1 × 10−2 | 4.3 × 10−1–1.2 × 100 | |
| ADDderm | 4.8 × 100–1.2 × 101 | 8.4 × 10−1–2.7 × 100 | 1.1 × 100–1.3 × 101 | 2.4 × 100–6.5 × 100 | 5.9 × 10−2–1.4 × 10−1 | 1.5 × 100–3.3 × 100 | 1.1 × 100–5.8 × 100 | 1.4 × 102–3.3 × 102 | |
| Children | ADDing | 5.6 × 102–1.4 × 103 | 9.8 × 101–3.3 × 102 | 1.2 × 102–1.6 × 103 | 2.8 × 102–7.6 × 102 | 6.9 × 100–1.6 × 101 | 1.7 × 102–3.9 × 102 | 1.3 × 102–6.8 × 102 | 1.4 × 104–3.8 × 104 |
| ADD inh | 3.1 × 10−2–7.6 × 10−2 | 5.3 × 10−3–1.8 × 10−2 | 6.7 × 10−3–8.7 × 10−2 | 1.5 × 10−2–4.1 × 10−2 | 3.8 × 10−4–8.8 × 10−4 | 9.6 × 10−3–2.1 × 10−2 | 7.1 × 10−3–3.7 × 10−2 | 7.7 × 10−1–2.1 × 100 | |
| ADDderm | 3.1 × 100–7.8 × 100 | 5.5 × 10−1–1.9 × 100 | 6.9 × 10−1–8.9 × 100 | 1.5 × 100–4.2 × 100 | 3.9 × 10−2–9 × 10−2 | 9.8 × 10−1–2.2 × 100 | 7.2 × 10−1–3.8 × 100 | 7.9 × 101–2.1 × 102 |
| Mn-T | Ni-T | Cu-T | Zn-T | As-T | Ba-T | Cr-T | Mg-T | ||
|---|---|---|---|---|---|---|---|---|---|
| Adults | HQ ing | 9.3 × 10−3–3 × 10−2 | 1.2 × 10−3–4.1 × 10−3 | 1.4 × 10−4–1.6 × 10−2 | 2.2 × 10−3–4.5 × 10−2 | 1.2 × 10−4–4 × 10−3 | 8.2 × 10−4–1 × 10−3 | 2.7 × 10−2–1.1 × 10−4 | 7.6 × 10−2–4.4 × 10−1 |
| HQ inh | 7.5 × 10−7–1.2 × 10−6 | 8.4 × 10−8–1.2 × 10−7 | 8.3 × 10−8–1.2 × 10−6 | 1.6 × 10−7–3.2 × 10−6 | - | 8.4 × 10−8–1.3 × 10−4 | 1.5 × 10−4–8.6 × 10−4 | 5.5 × 10−6–3.2 × 10−5 | |
| HQderm | 7.3 × 10−3–1.3 × 10−2 | 1.2 × 10−3–3.1 × 10−3 | 7.7 × 10−5–1.1 × 10−3 | 2.2 × 10−4–4.4 × 10−3 | 8.4 × 10−5–2.8 × 10−3 | 6.8 × 10−4–1.5 × 10−3 | 2 × 10−2–1.1 × 10−1 | - | |
| HI | 1.6 × 10−2–5.1 × 10−2 | 2 × 10−3–7.2 × 10−3 | 5 × 10−4–1.7 × 10−2 | 2.4 × 10−3–4.9 × 10−2 | 2 × 10−4–6.9 × 10−3 | 1.2 × 10−3–3.3 × 10−3 | 4 × 10−2–2.3 × 10−1 | 7.6 × 10−2–4.4 × 10−1 | |
| Children | HQ ing | 7.5 × 10−8–1.1 × 10−7 | 2.7 × 10−3–9.6 × 10−3 | 2.7 × 10−3–3.8 × 10−2 | 6.9 × 10−3–1 × 10−1 | 1.3 × 10−1–4.4 × 100 | 5.8 × 10−9–1.3 × 10−8 | 4.7 × 10−2–2.6 × 10−1 | 5.4 × 10−7–3.1 × 10−6 |
| HQ inh | 1.2 × 10−6–3.8 × 10−6 | 8.9 × 10−6–1.2 × 10−5 | 6.5 × 10−8–1.3 × 10−6 | 8.9 × 10−7–5.7 × 10−6 | - | 1.5 × 10−7–2.4 × 10−4 | 2.7 × 10−4–1.5 × 10−3 | 9.7 × 10−6–1.4 × 10−5 | |
| HQderm | 4.8 × 10−3–1.3 × 10−2 | 5.6 × 10−4–1.1 × 10−3 | 6.7 × 10−6–2.1 × 10−4 | 1.9 × 10−4–2.9 × 10−3 | 7.4 × 10−4–1.2 × 10−2 | 4.4 × 10−4–9.7 × 10−4 | 1.3 × 10−2–7.4 × 10−2 | - | |
| HI | 4.2 × 10−3–1.4 × 10−2 | 3.3 × 10−3–1.1 × 10−2 | 2.7 × 10−3–3.7 × 10−2 | 5.3 × 10−3–1 × 10−1 | 1.3 × 10−1–4.5 × 100 | 4.3 × 10−4–9.7 × 10−4 | 6.1 × 10−2–3.4 × 10−1 | 1 × 10−5–5.9 × 10−5 |
| Mn-T | Ni-T | Cu-T | Zn-T | As-T | Ba-T | Cr-T | Mg-T | ||
|---|---|---|---|---|---|---|---|---|---|
| Adults | HQ ing | 1.7 × 10−3–4.3 × 10−3 | 2 × 10−3–7.2 × 10−3 | 1.3 × 10−3–1.7 × 10−2 | 3.9 × 10−4–1.1 × 10−3 | 2.1 × 10−5–4.9 × 10−5 | 3.7 × 10−4–8.3 × 10−4 | 1.8 × 10−2–9.7 × 10−2 | 4.3 × 10−2–1.2 × 10−1 |
| HQ inh | 1.2 × 10−7–3 × 10−7 | 1.5 × 10−7–5.2 × 10−7 | 1.1 × 10−7–1.2 × 10−6 | 2.8 × 10−8–7.7 × 10−8 | - | 4.7 × 10−8–3.3 × 10−6 | 1.4 × 10−4–7.3 × 10−4 | 3.1 × 10−6–8.4 × 10−6 | |
| HQderm | 1.2 × 10−3–3 × 10−3 | 1.5 × 10−3–5.3 × 10−3 | 6.2 × 10−5–1.2 × 10−3 | 3.9 × 10−5–1.1 × 10−4 | 1.6 × 10−5–3.4 × 10−5 | 3 × 10−4–6.7 × 10−4 | 1.8 × 10−2–9.6 × 10−2 | - | |
| HI | 2.9 × 10−3–7.2 × 10−3 | 3.6 × 10−3–1.2 × 10−2 | 1.4 × 10−3–1.8 × 10−2 | 4.3 × 10−4–1.2 × 10−3 | 3.6 × 10−5–8.3 × 10−5 | 6.8 × 10−4–1.5 × 10−3 | 3.7 × 10−2–1.9 × 10−1 | 4.3 × 10−2–1.2 × 10−1 | |
| Children | HQ ing | 1.2 × 10−8–3 × 10−8 | 4.9 × 10−3–1.7 × 10−2 | 3 × 10−3–3.9 × 10−2 | 9.2 × 10−4–2.5 × 10−3 | 2.3 × 10−2–5.3 × 10−2 | 2.7 × 10−9–5.9 × 10−9 | 4.3 × 10−2–2.7 × 10−1 | 3 × 10−7–8.3 × 10−7 |
| HQ inh | 2.2 × 10−7–5.4 × 10−7 | 1.6 × 10−5–5.5 × 10−5 | 6.8 × 10−8–2.1 × 10−6 | 5 × 10−8–1.4 × 10−7 | - | 6.8 × 10−8–1.5 × 10−7 | 2.5 × 10−4–1.3 × 10−3 | 5.5 × 10−6–1.5 × 10−5 | |
| HQderm | 9.9 × 10−4–1.9 × 10−3 | 1 × 10−3–3.5 × 10−3 | 1.9 × 10−5–2.3 × 10−4 | 2.6 × 10−5–7 × 10−5 | 1.2 × 10−2–5.3 × 10−2 | 2 × 10−4–4.4 × 10−4 | 1.2 × 10−2–6.3 × 10−2 | - | |
| HI | 9.9 × 10−4–1.9 × 10−3 | 5.9 × 10−3–2 × 10−2 | 3.1 × 10−3–3.9 × 10−2 | 9.5 × 10−4–2.6 × 10−3 | 2.3 × 10−2–5.4 × 10−2 | 2 × 10−4–4.4 × 10−4 | 5.5 × 10−2–2.9 × 10−1 | 5.8 × 10−6–1.6 × 10−5 |
| Element | Group | Ranges |
|---|---|---|
| As-WS | Adults | 2,2 × 10−8−2.4 × 10−7 |
| Children | 5 × 10−9−5.5 × 10−8 | |
| Cr (VI)-WS | Adults | 6 × 10−8–6.7 × 10−7 |
| Children | 1.3 × 10−8–1,5 × 10−7 | |
| Ni–WS | Adults | 2.2 × 10−9–4.8 × 10−9 |
| Children | 5.2 × 10−10–1.1 × 10−9 |
| Element | Group | Ranges |
|---|---|---|
| As-WS | Adults | 7 × 10−9–3.3 × 10−8 |
| Children | 1.6 × 10−9–7.6 × 10−9 | |
| Cr (VI)-WS | Adults | 3.9 × 10−8–3 × 10−7 |
| Children | 8.9 × 10−9–7 × 10−8 | |
| Ni-WS | Adults | 1.8 × 10−9–5.1 × 10−9 |
| Children | 4.1 × 10−10–1.2 × 10−9 |
© 2020 by the authors. Licensee MDPI, Basel, Switzerland. This article is an open access article distributed under the terms and conditions of the Creative Commons Attribution (CC BY) license (http://creativecommons.org/licenses/by/4.0/).
Share and Cite
Rybak, J.; Wróbel, M.; Stefan Bihałowicz, J.; Rogula-Kozłowska, W. Selected Metals in Urban Road Dust: Upper and Lower Silesia Case Study. Atmosphere 2020, 11, 290. https://doi.org/10.3390/atmos11030290
Rybak J, Wróbel M, Stefan Bihałowicz J, Rogula-Kozłowska W. Selected Metals in Urban Road Dust: Upper and Lower Silesia Case Study. Atmosphere. 2020; 11(3):290. https://doi.org/10.3390/atmos11030290
Chicago/Turabian StyleRybak, Justyna, Magdalena Wróbel, Jan Stefan Bihałowicz, and Wioletta Rogula-Kozłowska. 2020. "Selected Metals in Urban Road Dust: Upper and Lower Silesia Case Study" Atmosphere 11, no. 3: 290. https://doi.org/10.3390/atmos11030290
APA StyleRybak, J., Wróbel, M., Stefan Bihałowicz, J., & Rogula-Kozłowska, W. (2020). Selected Metals in Urban Road Dust: Upper and Lower Silesia Case Study. Atmosphere, 11(3), 290. https://doi.org/10.3390/atmos11030290

