Assessing Peak-To-Mean Ratios of Odour Intensity in the Atmosphere near Swine Operations
Abstract
:1. Introduction
2. Experiment
2.1. Description of Study Sites
2.2. Odour Measurement Grid
2.3. Selection and Training of Field Human Odour Sniffers
2.4. Field Odour Intensity Measurement Procedure
2.5. Meteorological Condition Monitoring
2.6. Data Analysis
3. Results and Discussion
3.1. Preliminary Test
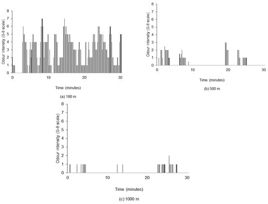
3.2. Intermittency
3.3. Peak-To-Mean Ratio of Odour Intensity
3.3.1. PMR_OI versus CPMR_OI
3.3.2. Variation of PMR_OI with Distance to the Odour Source
3.3.3. Effect of Wind Direction on PMR_OI
3.3.4. Effect of Atmospheric Stability on PMR_OI
3.3.5. Effect of Averaging Time on PMR_OI
4. Conclusions
Author Contributions
Funding
Conflicts of Interest
References
- Gifford, F. Peak to average concentration ratios according to a fluctuating plume dispersion model. Int. J. Air Pollut. 1960, 3, 253–260. [Google Scholar] [PubMed]
- Best, P.R.; Lunney, K.E.; Killip, C.A. Statistical elements of predicting the impact of a variety of odour sources. In Proceedings of the 1st IWA International Conference on Odour and VOCs: Measurement, Regulation and Control Techniques, The University of NSW, Sydney, 25–29 March 2001; pp. 253–261. [Google Scholar]
- Latos, M.; Karageorgos, P.; Mpasiakos, C.H.; Kalogerakis, N.; Lazaridis, M. Dispersion modeling of odours emitted from pig farms: winter-spring measurements. Global NEST J. 2010, 12, 46–53. [Google Scholar]
- Mylne, K.R.; Mason, P.J. Concentration fluctuation measurements in a dispersing plume at a range of up to 1000 m. Quart. J Royal Meteorol Soc. 1991, 117, 177–206. [Google Scholar] [CrossRef]
- Singer, I.A. The relationship between peak and mean concentrations. J. Air Pollut. Control Assoc. 1961, 11, 336–341. [Google Scholar] [CrossRef]
- Smith, M.E. Recommended Guide for the Prediction of the Dispersion of Airborne Effluents; American Society of Mechanical Engineers: New York, NY, USA, 1973. [Google Scholar]
- Nicell, J.A. Assessment and regulation of odour impacts. Atmos. Environ. 2009, 43, 196–206. [Google Scholar] [CrossRef]
- Schauberger, G.; Piringer, M.; Schmitzer, R.; Kamp, M.; Sowa, A.; Koch, R.; Eckhof, W.; Grimm, E.; Kypke, J.; Hartung, E. Concept to assess the human perception of odour by estimating short-time peak concentrations from one-hour mean values. Reply to a comment by Müller, et al. Atmos. Environ. 2012, 54, 624–628. [Google Scholar] [CrossRef]
- Conti, C.; Guarino, M.; Bacenetti, J. Measurements techniques and models to assess odor annoyance: A review. Environ. Int. 2020, 134, 105261. [Google Scholar] [CrossRef] [PubMed]
- Stewart, N.G.; Gale, H.J.; Crooks, R.N. The atmospheric diffusion of gases discharged from the chimney of the Harwell Reactor BEPO. Int. J. Air Pollut. 1958, 1, 87–102. [Google Scholar]
- Cramer, H.E. Measurements of turbulence structure near the ground within the frequency range from 0.5 to 0.01 cycles/sec. In Advances in Geophysics; Landsberg, H.E., Van Mieghem, J., Eds.; Academic Press: New York, NY, USA, 1959; Volume 6, pp. 75–96. [Google Scholar]
- Hino, M. Maximum ground-level concentration and sampling time. Atmos. Environ. 1968, 2, 149–155. [Google Scholar] [CrossRef]
- Smith, R.J. Dispersion of odours from ground level agricultural sources. J. Agric. Eng. Res. 1993, 54, 187–200. [Google Scholar] [CrossRef]
- Schauberger, G.; Piringer, M.; Petz, E. Diurnal and annual variation of the sensation distance of odour emitted by livestock buildings calculated by the Austrian odour dispersion model (AODM). Atmos. Environ. 2000, 34, 4839–4851. [Google Scholar] [CrossRef]
- Stevens, S.S. On the psychophysical law. Psychol. Rev. 1957, 64, 153–181. [Google Scholar] [CrossRef] [PubMed]
- Ambient Air-Determination of Odour in Ambient Air by Using Field Inspection-Part 1: Grid Method; EN 16841-1; European Committee for Standardization CEN: Brussels, Belgium, 2016.
- Ambient Air-Determination of Odour in Ambient Air by Using Field Inspection-Part 2: Plume Method; EN 16841-2:2016; European Committee for Standardization CEN: Brussels, Belgium, 2016.
- ASTM. E544-10: Standard Practices for Referencing Suprathreshold Odour Intensity; Annual Book of ASTM Standards; American Society of Testing and Materials: Philadelphia, PA, USA, 2010. [Google Scholar]
- York, R.K.; Zhang, Q.; King, M.W. Evaluation of Uptake of Swine Odour Simulant Components onto Cloth Swatches Using Instrumental (Electronic Nose) and Sensory Panel Assessments; Paper No. ASCE 02-602; Joint conference of the CSAE/SCGR and Agricultural Institute of Canada: Saskatoon, SK, Canada, 2002. [Google Scholar]
- Green, B.G.; Shaffer, G.S.; Gilmore, M.M. Derivation and evaluation of a semantic scale of oral sensation magnitude with apparent ratio properties. Chem. Senses 1993, 18, 683–702. [Google Scholar] [CrossRef]
- Mannebeck, B.; Mannebeck, C.; Mannebeck, D.; Hauschildt, H.; Van Den Burgd, A. Field inspections according to prEN 16841-1:2015 in a naturally evolved neighborhood of industry and living areas, state-of-the-art-technology of a comprehensive data collection, interaction of different sources and effects on the perceiving citizens. Chem. Eng. Trans. 2016, 54, 181–186. [Google Scholar]
- Lawless, H.T.; Heymann, H. Sensory Evaluation of Food Principles and Practices, 2nd ed.; Springer: New York, NY, USA, 2010. [Google Scholar]
- Henry, C.; Schulte, D.; Hoff, S.; Jacobson, L.; Parkhurst, A. Comparison of Ambient Odor Assessment Techniques in a Controlled Environment. Trans. ASABE 2011, 54. [Google Scholar] [CrossRef]
- Jacobson, L.; Guo, H.; Schmidt, D.; Nicolai, R.; Zhu, J.; Janni, K. Development of the OFFSET model for determination of odor-annoyance-free setback distances from animal production sites: Part I. Review and experiment. Trans. ASAE 2005, 48, 2259–2268. [Google Scholar] [CrossRef]
- Guo, H.; Jacobson, L.; Schmidt, R.; Nicolai, R.; Zhu, J.; Janni, K. Development of the OFFSET model for determination of odor-annoyance-free setback distances from animal production sites: Part II. Model development and evaluations. Trans. ASAE 2005, 48, 2269–2276. [Google Scholar] [CrossRef]
- Kuang, S.; Zhang, T. Smelling directions: Olfaction modulates ambiguous visual motion perception. Sci. Rep. 2015, 4, 5796. [Google Scholar] [CrossRef] [PubMed] [Green Version]
- Duffee, R.A.; O’Brien, M.A.; Ostojic, N. Recent developments and current practices in odour regulations, controls and technology. “Odour Modeling—Why and How. J. Air Waste Manag. Assoc. Trans. 1991, 18, 289–306. [Google Scholar]











| N-Butanol in Water (ppm) | 0 | 120 | 240 | 480 | 960 | 1940 | 3880 | 7750 | 15,500 |
|---|---|---|---|---|---|---|---|---|---|
| Intensity level | 0 | 1 | 2 | 3 | 4 | 5 | 6 | 7 | 8 |
| Stability Class | Number of Sessions |
|---|---|
| A | 2 |
| B | 25 |
| C | 12 |
| D | 6 |
| E | 5 |
| Distance from Source (m) | Direction from Wind (°) | Averaging Time (Minutes) | |||
|---|---|---|---|---|---|
| 1 | 5 | 10 | 30 | ||
| 100 | 0° | 75% | 80% | 83% | 85% |
| 45° | 70% | 74% | 77% | 77% | |
| 500 | 0° | 42% | 61% | 83% | 87% |
| 45° | 35% | 51% | 65% | 74% | |
| 1000 | 0° | 17% | 33% | 50% | 57% |
| 45° | 13% | 21% | 35% | 42% | |
| Stability Class | Slope (Exponent) q (SE *) | R2 |
|---|---|---|
| B | 0.33 (0.031) | 0.85 |
| C | 0.28 (0.030) | 0.79 |
| D | 0.27 (0.032) | 0.75 |
| E | 0.19 (0.011) | 0.94 |
© 2020 by the authors. Licensee MDPI, Basel, Switzerland. This article is an open access article distributed under the terms and conditions of the Creative Commons Attribution (CC BY) license (http://creativecommons.org/licenses/by/4.0/).
Share and Cite
Zhang, Q.; Zhou, X. Assessing Peak-To-Mean Ratios of Odour Intensity in the Atmosphere near Swine Operations. Atmosphere 2020, 11, 224. https://doi.org/10.3390/atmos11030224
Zhang Q, Zhou X. Assessing Peak-To-Mean Ratios of Odour Intensity in the Atmosphere near Swine Operations. Atmosphere. 2020; 11(3):224. https://doi.org/10.3390/atmos11030224
Chicago/Turabian StyleZhang, Qiang, and Xiaojing Zhou. 2020. "Assessing Peak-To-Mean Ratios of Odour Intensity in the Atmosphere near Swine Operations" Atmosphere 11, no. 3: 224. https://doi.org/10.3390/atmos11030224
APA StyleZhang, Q., & Zhou, X. (2020). Assessing Peak-To-Mean Ratios of Odour Intensity in the Atmosphere near Swine Operations. Atmosphere, 11(3), 224. https://doi.org/10.3390/atmos11030224
