Pressure-Gradient Forcing Methods for Large-Eddy Simulations of Flows in the Lower Atmospheric Boundary Layer
Abstract
1. Introduction
2. Model Description
2.1. HIGRAD/FIRETEC
2.2. Large-Scale-Pressure Gradient Forces
2.2.1. Background: EKB and CPGF Formulations
2.2.2. Differences of Pressure Profiles and Balance Stability between EKB and CPGF
2.2.3. Development of the New PGFs (Pressure-Gradient Forces)
3. Numerical Experiments
3.1. Vegetation Scenarios
3.2. Numerical Details
3.3. Simulation Set
3.4. Data Analysis
4. Results
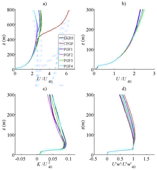
4.1. Sensitivity Analysis to Domain Size and Resolution of EKB and CPGF
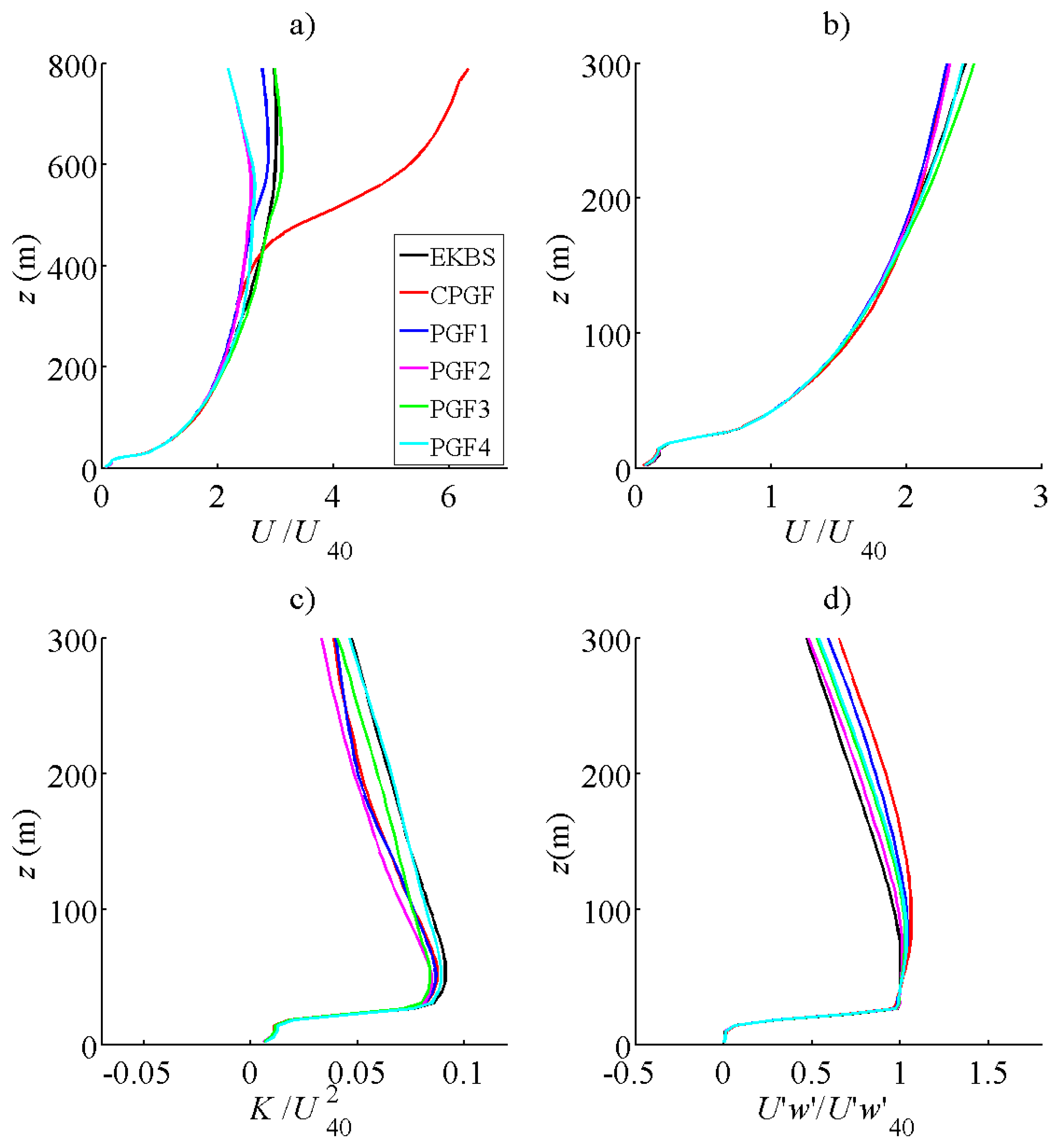
4.2. Evaluation of PGF-Boundary-Layer Simulations (1568 m × 1568 m × 800 m)
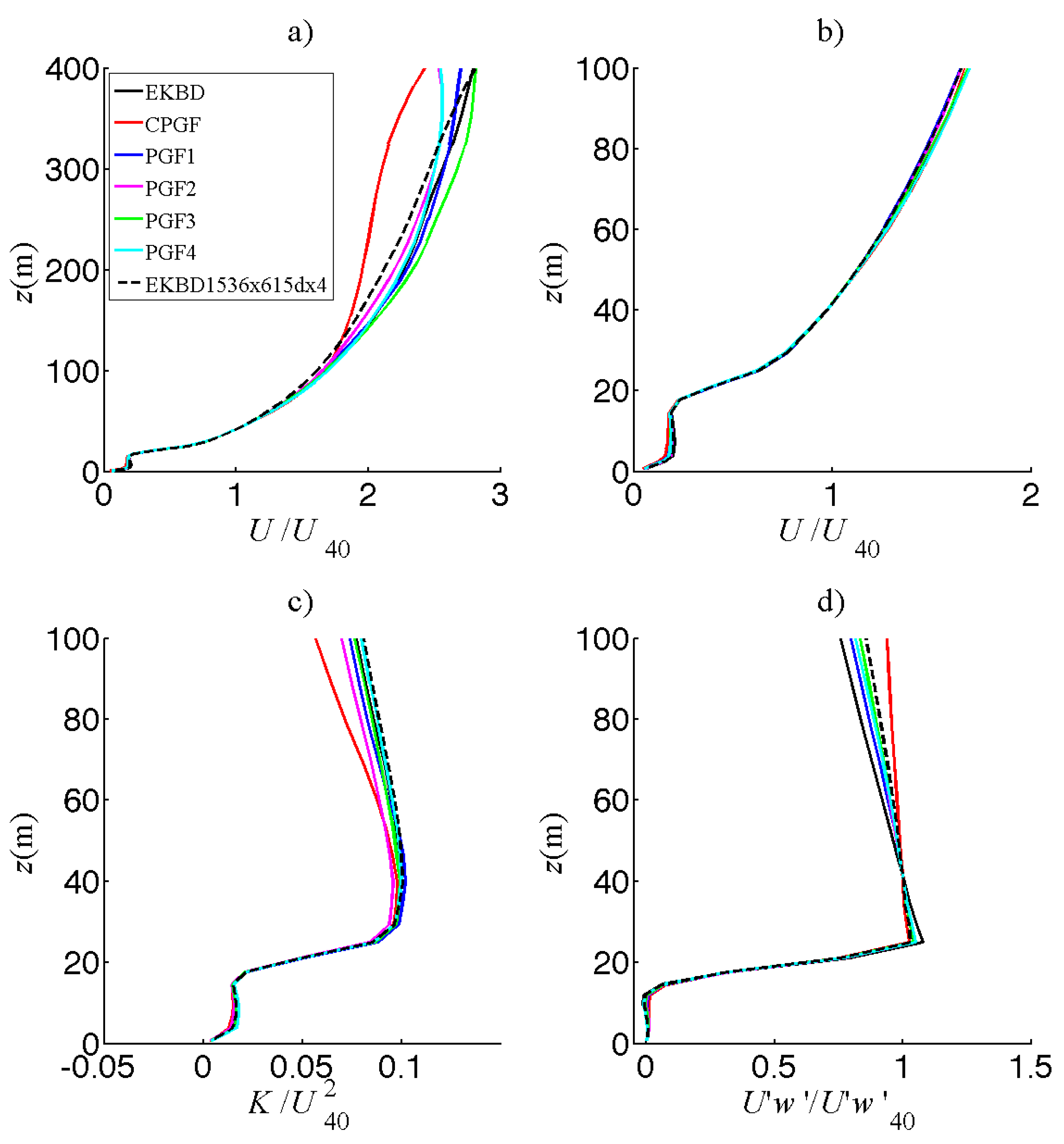
4.3. Evaluation of PGF-Wildfire-Precursor Simulations (512 m × 512 m × 615 m)
5. Discussion
5.1. Limitations of CPGF and EKB Approaches for Flow Simulations within and above Canopies
5.2. Applicability of PGF-Methods to Idealized Boundary-Layer, Canopy-Flow, and Wildfire-Precursor Simulations
5.3. Comparison of PGF Wildfire-Precursor Simulations to Observations and Application to Heterogeneous Scenarios
5.4. Domain Size and Resolution of Canopy-Flow LES
6. Conclusions
Author Contributions
Funding
Acknowledgments
Conflicts of Interest
Appendix A. Initial Empirical Wind Profile
Appendix B. Implementation of PGF4 When the Flow Is Not Aligned with a Domain Axis

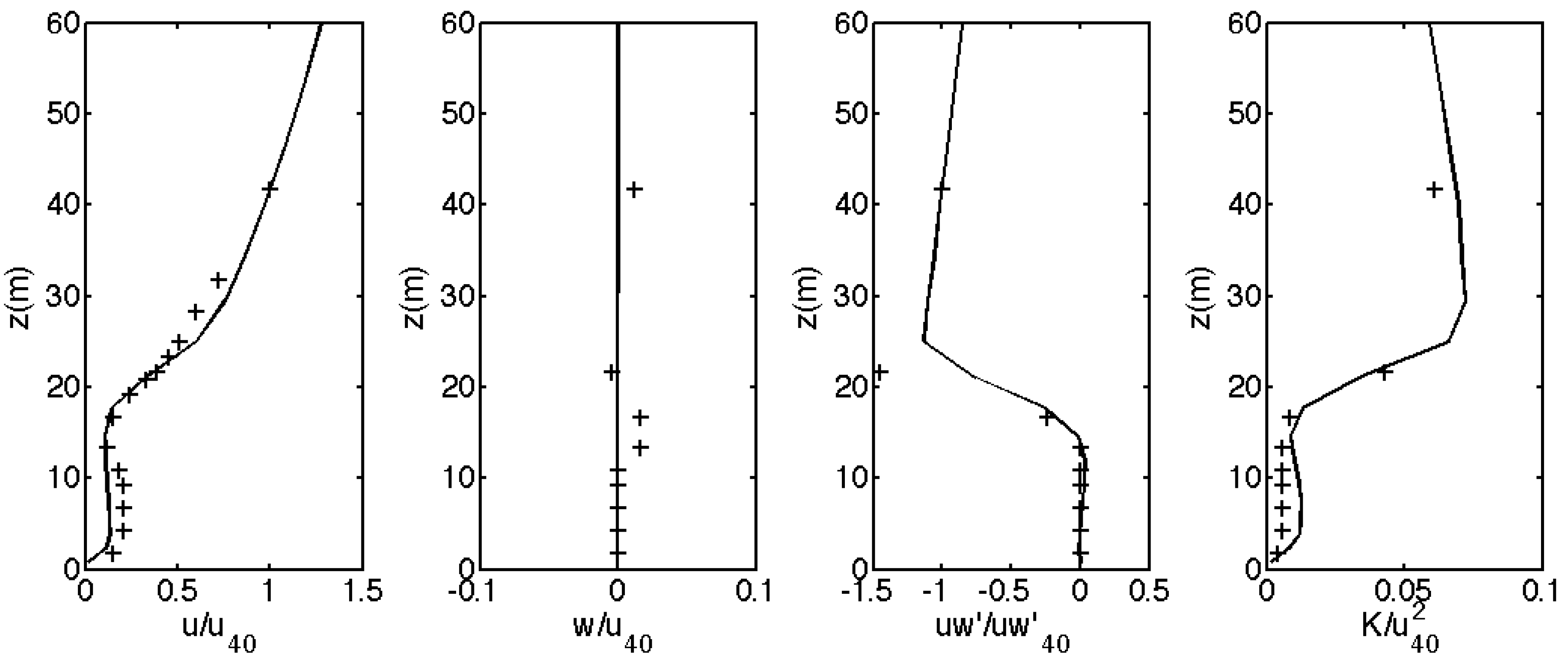
Appendix C. Validation of the Model Incorporating PGF4 against Four Experimental Datasets




References
- Finnigan, J. Turbulence in Plant Canopies. Annu. Rev. Fluid Mech. 2000, 32, 519–571. [Google Scholar] [CrossRef]
- Pimont, F.; Dupuy, J.-L.; Linn, R.R.; Dupont, S. Impacts of tree canopy structure on wind flows and fire propagation simulated with FIRETEC. Ann. Sci. 2011, 68, 523–530. [Google Scholar] [CrossRef]
- Mueller, E.; Mell, W.; Simeoni, A. Large eddy simulation of forest canopy flow for wildland fire modeling. Can. J. Res. 2014, 44, 1534–1544. [Google Scholar] [CrossRef]
- Yang, B.; Raupach, M.R.; Shaw, R.H.; U, K.T.P.; Morse, A.P. Large-eddy Simulation of Turbulent Flow Across a Forest Edge. Part I: Flow Statistics. Bound. Layer Meteorol. 2006, 120, 377–412. [Google Scholar] [CrossRef]
- Dupont, S.; Brunet, Y. Influence of foliar density profile on canopy flow: A large-eddy simulation study. Agric. Meteorol. 2008, 148, 976–990. [Google Scholar] [CrossRef]
- Pimont, F.; Dupuy, J.-L.; Linn, R.R.; Dupont, S. Validation of FIRETEC wind-flows over a canopy and a fuel-break. Int. J. Wildland Fire 2009, 18, 775. [Google Scholar] [CrossRef]
- Dwyer, M.J.; Patton, E.G.; Shaw, R.H. Turbulent kinetic energy budgets from a large-eddy simulation of airflow above and within a forest canopy. Bound. Layer Meteorol. 1997, 84, 23–43. [Google Scholar] [CrossRef]
- Dupont, S.; Brunet, Y. Coherent structures in canopy edge flow: A large-eddy simulation study. J. Fluid Mech. 2009, 630, 93–128. [Google Scholar] [CrossRef]
- Dupont, S.; Bonnefond, J.-M.; Irvine, M.R.; Lamaud, E.; Brunet, Y. Long-distance edge effects in a pine forest with a deep and sparse trunk space: In situ and numerical experiments. Agric. Meteorol. 2011, 151, 328–344. [Google Scholar] [CrossRef]
- Nathan, R.; Sapir, N.; Trakhtenbrot, A.; Katul, G.G.; Bohrer, G.; Otte, M.; Avissar, R.; Soons, M.B.; Horn, H.S.; Wikelski, M.; et al. Long-distance biological transport processes through the air: Can nature’s complexity be unfolded in silico?: Turbulence and biological transport. Divers. Distrib. 2005, 11, 131–137. [Google Scholar] [CrossRef]
- Chamecki, M.; Meneveau, C.; Parlange, M.B. Large eddy simulation of pollen transport in the atmospheric boundary layer. J. Aerosol Sci. 2009, 40, 241–255. [Google Scholar] [CrossRef]
- Koo, E.; Linn, R.R.; Pagni, P.J.; Edminster, C.B. Modelling firebrand transport in wildfires using HIGRAD/FIRETEC. Int. J. Wildland Fire 2012, 21, 396. [Google Scholar] [CrossRef]
- Pimont, F.; Dupuy, J.-L.; Linn, R.R.; Parsons, R.; Martin-StPaul, N. Representativeness of wind measurements in fire experiments: Lessons learned from large-eddy simulations in a homogeneous forest. Agric. Meteorol. 2017, 232, 479–488. [Google Scholar] [CrossRef]
- Kanda, M.; Inagaki, A.; Letzel, M.O.; Raasch, S.; Watanabe, T. LES Study of the Energy Imbalance Problem with Eddy Covariance Fluxes. Bound. Layer Meteorol. 2004, 110, 381–404. [Google Scholar] [CrossRef]
- Wu, Y.-T.; Porté-Agel, F. Large-Eddy Simulation of Wind-Turbine Wakes: Evaluation of Turbine Parametrisations. Bound. Layer Meteorol. 2011, 138, 345–366. [Google Scholar] [CrossRef]
- Muñoz-Esparza, D.; Kosović, B.; Mirocha, J.; van Beeck, J. Bridging the Transition from Mesoscale to Microscale Turbulence in Numerical Weather Prediction Models. Bound. Layer Meteorol. 2014, 153, 409–440. [Google Scholar] [CrossRef]
- Muñoz-Esparza, D.; Kosović, B.; van Beeck, J.; Mirocha, J. A stochastic perturbation method to generate inflow turbulence in large-eddy simulation models: Application to neutrally stratified atmospheric boundary layers. Phys. Fluids 2015, 27, 035102. [Google Scholar] [CrossRef]
- Linn, R.; Anderson, K.; Winterkamp, J.; Brooks, A.; Wotton, M.; Dupuy, J.-L.; Pimont, F.; Edminster, C. Incorporating field wind data into FIRETEC simulations of the International Crown Fire Modeling Experiment (ICFME): Preliminary lessons learned. Can. J. Res. 2012, 42, 879–898. [Google Scholar] [CrossRef]
- Lei, L.; Stauffer, D.R.; Deng, A. A hybrid nudging-ensemble Kalman filter approach to data assimilation in WRF/DART: A Hybrid Nudging-Ensemble Kalman Filter. Q. J. R. Meteorol. Soc. 2012, 138, 2066–2078. [Google Scholar] [CrossRef]
- Zajaczkowski, F.J. A preliminary study of assimilating numerical weather prediction data into computational fluid dynamics models for wind prediction. J. Wind Eng. Ind. Aerodyn. 2011, 99, 320–329. [Google Scholar] [CrossRef]
- Allaerts, D.; Quon, E.; Draxl, C.; Churchfield, M. Development of a Time–Height Profile Assimilation Technique for Large-Eddy Simulation. Bound. Layer Meteorol. 2020, 176, 329–348. [Google Scholar] [CrossRef]
- Holton, J.R.; Hakim, G.J. An Introduction to Dynamic Meteorology, 5th ed.; Academic Press: Amsterdam, The Netherlands, 2013; ISBN 978-0-12-384866-6. [Google Scholar]
- Moeng, C.-H.; Sullivan, P.P. A Comparison of Shear- and Buoyancy-Driven Planetary Boundary Layer Flows. J. Atmos. Sci. 1994, 51, 999–1022. [Google Scholar] [CrossRef]
- Hutchins, N.; Marusic, I. Evidence of very long meandering features in the logarithmic region of turbulent boundary layers. J. Fluid Mech. 2007, 579, 1–28. [Google Scholar] [CrossRef]
- Deardorff, J.W. Stratocumulus-capped mixed layers derived from a three-dimensional model. Bound. Layer Meteorol. 1980, 18, 495–527. [Google Scholar] [CrossRef]
- Drobinski, P.; Foster, R.C. On the Origin of Near-Surface Streaks in the Neutrally-Stratified Planetary Boundary Layer. Bound. Layer Meteorol. 2003, 108, 247–256. [Google Scholar] [CrossRef]
- Foster, R.C. Structure and energetics of optimal Ekman layer perturbations. J. Fluid Mech. 1997, 333, 97–123. [Google Scholar] [CrossRef]
- Drobinski, P.; Brown, R.A.; Flamant, P.H.; Pelon, J. Evidence of Organized Large Eddies by Ground-Based Doppler Lidar, Sonic Anemometer and Sodar. Bound. Layer Meteorol. 1998, 88, 343–361. [Google Scholar] [CrossRef]
- Esau, I.N. The Coriolis effect on coherent structures in planetary boundary layers. J. Turbul. 2003, 4, N17. [Google Scholar] [CrossRef]
- Shaw, R.H.; Schumann, U. Large-eddy simulation of turbulent flow above and within a forest. Bound. Layer Meteorol. 1992, 61, 47–64. [Google Scholar] [CrossRef]
- Patton, E.G. Large-Eddy Simulation of Turbulent Flow Above and within a Plant Canopy. Ph.D. Thesis, University of California Davis, Davis, CA, USA, 1997. [Google Scholar]
- Patton, E.G.; Shaw, R.H.; Judd, M.J.; Raupach, M.R. Large-Eddy Simulation of Windbreak Flow. Bound. Layer Meteorol. 1998, 87, 275–307. [Google Scholar] [CrossRef]
- Su, H.-B.; Shaw, R.H.; Paw, K.T.; Moeng, C.-H.; Sullivan, P.P. Turbulent Statistics of Neutrally Stratified Flow Within and Above a Sparse Forest from Large-Eddy Simulation and Field Observations. Bound. Layer Meteorol. 1998, 88, 363–397. [Google Scholar] [CrossRef]
- Huang, J.; Cassiani, M.; Albertson, J.D. Analysis of Coherent Structures within the Atmospheric Boundary Layer. Bound. Layer Meteorol. 2009, 131, 147–171. [Google Scholar] [CrossRef]
- Lu, H.; Porté-Agel, F. A modulated gradient model for large-eddy simulation: Application to a neutral atmospheric boundary layer. Phys. Fluids 2010, 22, 015109. [Google Scholar] [CrossRef]
- Munters, W.; Meneveau, C.; Meyers, J. Shifted periodic boundary conditions for simulations of wall-bounded turbulent flows. Phys. Fluids 2016, 28, 025112. [Google Scholar] [CrossRef]
- Fishpool, G.M.; Lardeau, S.; Leschziner, M.A. Persistent Non-Homogeneous Features in Periodic Channel-Flow Simulations. Flow Turbul. Combust. 2009, 83, 323–342. [Google Scholar] [CrossRef]
- Reisner, J.; Wynne, S.; Margolin, L.; Linn, R. Coupled Atmospheric–Fire Modeling Employing the Method of Averages. Mon. Weather Rev. 2000, 128, 3683–3691. [Google Scholar] [CrossRef]
- Linn, R.R. Numerical simulations of grass fires using a coupled atmosphere–fire model: Basic fire behavior and dependence on wind speed. J. Geophys. Res. 2005, 110. [Google Scholar] [CrossRef]
- Raupach, M.R.; Bradley, E.F.; Ghadiri, H. A Wind Tunnel Investigation into the Aerodynamic Effect of Forest Clearings on the Nesting of Abbott’s Booby on Christmas Island: Progress Report on a Study Commissioned by the Australian National Parks and Wildlife Service; CSIRO Division of Environmental Mechanics: Canberra, Australia, 1987. [Google Scholar] [CrossRef]
- Muñoz-Esparza, D.; Kosović, B.; García-Sánchez, C.; van Beeck, J. Nesting Turbulence in an Offshore Convective Boundary Layer Using Large-Eddy Simulations. Bound. Layer Meteorol. 2014, 151, 453–478. [Google Scholar] [CrossRef]
- Watanabe, T. Large-Eddy Simulation of Coherent Turbulence Structures Associated with Scalar Ramps over Plant Canopies. Bound. Layer Meteorol. 2004, 112, 307–341. [Google Scholar] [CrossRef]
- Smith, F.B.; Carson, D.J.; Oliver, H.R. Mean wind-direction shear through a forest canopy. Bound. Layer Meteorol. 1972, 3, 178–190. [Google Scholar] [CrossRef]
- Wilson, J.D.; Flesch, T.K. Wind and remnant tree sway in forest cutblocks. III. A windflow model to diagnose spatial variation. Agric. Meteorol. 1999, 93, 259–282. [Google Scholar] [CrossRef]
- Fang, J.; Porté-Agel, F. Large-Eddy Simulation of Very-Large-Scale Motions in the Neutrally Stratified Atmospheric Boundary Layer. Bound. Layer Meteorol. 2015, 155, 397–416. [Google Scholar] [CrossRef]
- Dupont, S.; Brunet, Y. Edge Flow and Canopy Structure: A Large-Eddy Simulation Study. Bound. Layer Meteorol. 2007, 126, 51–71. [Google Scholar] [CrossRef]
- Patton, E.G.; Sullivan, P.P.; Davis, K.J. The influence of a forest canopy on top-down and bottom-up diffusion in the planetary boundary layer. Q. J. R. Meteorol. Soc. 2003, 129, 1415–1434. [Google Scholar] [CrossRef]
- Dupont, S.; Brunet, Y.; Finnigan, J.J. Large-eddy simulation of turbulent flow over a forested hill: Validation and coherent structure identification. Q. J. R. Meteorol. Soc. 2008, 134, 1911–1929. [Google Scholar] [CrossRef]
- Pimont, F.; Dupuy, J.-L.; Linn, R.R. Fire effects on the physical environment in the WUI using FIRETEC. In Advances in Forest Fire Research; Imprensa da Universidade de Coimbra: Coimbra, Portugal, 2014; pp. 749–758. ISBN 978-989-26-0884-6. [Google Scholar]
- Raupach, M.R. Simplified expressions for vegetation roughness length and zero-plane displacement as functions of canopy height and area index. Bound. Layer Meteorol. 1994, 71, 211–216. [Google Scholar] [CrossRef]












| Mode | Forcing | Forcing Update | Integrated Momentum |
|---|---|---|---|
| EKB | and in x and y direction | No | No |
| CPGF | If < 0 Else > 0 | ||
| PGF1 | |||
| PGF2 | |||
| PGF3 | |||
| PGF4 |
| Scenario | Canopy Type | Reference | Canopy Height and LAI; Structure |
|---|---|---|---|
| Can1 | Homogeneous, maritime pine | [9] | h = 22 m and LAI = 2 |
| Can2 | Forest edge, maritime pine | [9] | h = 22 m and LAI = 2; 200 m open |
| Can3 | Deciduous forest | [6] | h = 18 m and LAI = 2 |
| Can4 | Extrapolated from wind tunnel, forest edge | [6,40] | h = 13.3 m and LAI = 2; 394 m open |
| Grid Names | Domain Extents (m) | dx, dy (m) | az | nz | dt (s) | |
|---|---|---|---|---|---|---|
| 3136x800dx8 | 3136 × 3136 × 800 | 8 | 10 | 0.4 | 80 | 0.004 |
| 1568x800dx8 1 | 1568 × 1568 × 800 | 8 | 10 | 0.4 | 80 | 0.004 |
| 1568x615dx4 | 1568 × 1568 × 615 | 4 | 15 | 0.1 | 41 | 0.002 |
| 768x615dx2 | 768 × 512 × 615 | 2 | 15 | 0.1 | 41 | 0.002 |
| 512x615dx2 2 | 512 × 512 × 615 | 2 | 15 | 0.1 | 41 | 0.002 |
| 256x615dx2 | 256 × 256 × 615 | 2 | 15 | 0.1 | 41 | 0.002 |
| 512x199dx2 | 512 × 512 × 199 | 2 | 7.35 | 0.2 | 27 | 0.002 |
| 512x106dx2 | 512 × 512 × 106 | 2 | 5 | 0.3 | 21 | 0.002 |
| 256x106dx2 | 256 × 256 × 106 | 2 | 5 | 0.3 | 21 | 0.002 |
| Simulation | Pressure-Gradient Forcing | Upper Boundary | Canopy |
|---|---|---|---|
| EKBS_3136x800dx8 | Ekman balance | Geostrophic wind, capping inversion | Can1 |
| EKBS_1568x800dx8 | Ekman balance | Geostrophic wind, capping inversion | Can1 |
| CPGF_1568x800dx8 | Constant pressure gradient | Free slip, capping inversion | Can1 |
| PGF1_1568x800dx8 | PGF1 | Geostrophic wind, capping inversion | Can1 |
| PGF2_1568x800dx8 | PGF2 | Geostrophic wind, capping inversion | Can1 |
| PGF3_1568x800dx8 | PGF3 | Geostrophic wind, capping inversion | Can1 |
| PGF4_1568x800dx8 | PGF4 | Geostrophic wind, capping inversion | Can1 |
| EKBD_1568x615dx4 | Ekman balance | Rayleigh damper | Can1 |
| EKBD_512x615dx2 | Ekman balance | Rayleigh damper | Can1 |
| CPGF_512x615dx2 | Constant pressure gradient | Free slip | Can1 |
| PGF1_512x615dx2 | PGF1 | Rayleigh damper | Can1 |
| PGF2_512x615dx2 | PGF2 | Rayleigh damper | Can1 |
| PGF3_512x615dx2 | PGF3 | Rayleigh damper | Can1 |
| PGF4_512x615dx2 | PGF4 | Rayleigh damper | Can1 |
| PGF4_512x615dx2_Can2 | PGF4 | Rayleigh damper | Can2 |
| PGF4_512x615dx2_Can3 | PGF4 | Rayleigh damper | Can3 |
| PGF4_768x615dx2_Can4 | PGF4 | Rayleigh damper | Can4 |
| EKBD_256x615dx2 | Ekman balance | Rayleigh damper | Can1 |
| CPGF_512x199dx2 | Constant pressure gradient | Free slip | Can1 |
| CPGF_512x106dx2 | Constant pressure gradient | Free slip | Can1 |
| CPGF_256x106dx2 | Constant pressure gradient | Free slip | Can1 |
| Simulation | (m s−1) |
|---|---|
| EKBS_1568x800dx8 | 2.24 |
| CPGF_1568x800dx8 | 1.67 |
| PGF1_1568x800dx8 | 2.42 |
| PGF2_1568x800dx8 | 3.02 |
| PGF3_1568x800dx8 | 2.25 |
| PGF4_1568x800dx8 | 3.03 |
| EKBS_512x615dx2 | 2.04 |
| CPGF_512x615dx2 | 2.34 |
| PGF1_512x615dx2 | 2.29 |
| PGF2_512x615dx2 | 3.04 |
| PGF3_512x615dx2 | 2.17 |
| PGF4_512x615dx2 | 2.98 |
Publisher’s Note: MDPI stays neutral with regard to jurisdictional claims in published maps and institutional affiliations. |
© 2020 by the authors. Licensee MDPI, Basel, Switzerland. This article is an open access article distributed under the terms and conditions of the Creative Commons Attribution (CC BY) license (http://creativecommons.org/licenses/by/4.0/).
Share and Cite
Pimont, F.; Dupuy, J.-L.; Linn, R.R.; Sauer, J.A.; Muñoz-Esparza, D. Pressure-Gradient Forcing Methods for Large-Eddy Simulations of Flows in the Lower Atmospheric Boundary Layer. Atmosphere 2020, 11, 1343. https://doi.org/10.3390/atmos11121343
Pimont F, Dupuy J-L, Linn RR, Sauer JA, Muñoz-Esparza D. Pressure-Gradient Forcing Methods for Large-Eddy Simulations of Flows in the Lower Atmospheric Boundary Layer. Atmosphere. 2020; 11(12):1343. https://doi.org/10.3390/atmos11121343
Chicago/Turabian StylePimont, François, Jean-Luc Dupuy, Rodman R. Linn, Jeremy A. Sauer, and Domingo Muñoz-Esparza. 2020. "Pressure-Gradient Forcing Methods for Large-Eddy Simulations of Flows in the Lower Atmospheric Boundary Layer" Atmosphere 11, no. 12: 1343. https://doi.org/10.3390/atmos11121343
APA StylePimont, F., Dupuy, J.-L., Linn, R. R., Sauer, J. A., & Muñoz-Esparza, D. (2020). Pressure-Gradient Forcing Methods for Large-Eddy Simulations of Flows in the Lower Atmospheric Boundary Layer. Atmosphere, 11(12), 1343. https://doi.org/10.3390/atmos11121343

