Measuring N2O Emissions from Multiple Sources Using a Backward Lagrangian Stochastic Model
Abstract
1. Introduction
2. Materials and Methods
2.1. Field Description and Management
2.2. Experimental Configuration
2.3. Open-Path FTIR
2.4. Emission Measurements
2.4.1. Assumptions for Field Measurements
2.4.2. Backward Lagrangian Stochastic (bLS) Model
2.4.3. Forward Lagrangian Stochastic (fLS) Model
2.4.4. Emissions Quality Assurance
2.4.5. Advective Interferences
2.4.6. Emissions Uncertainty Analysis
2.4.7. Statistical Analysis
3. Results and Discussion
3.1. OP-FTIR Sensitivity
3.2. Emission Measurements
3.2.1. High TDF Threshold (>0.9)
3.2.2. Median TDF Threshold (0.9 > TDF > 0.5)
3.2.3. Low TDF Threshold (0.5 > TDF > 0.1)
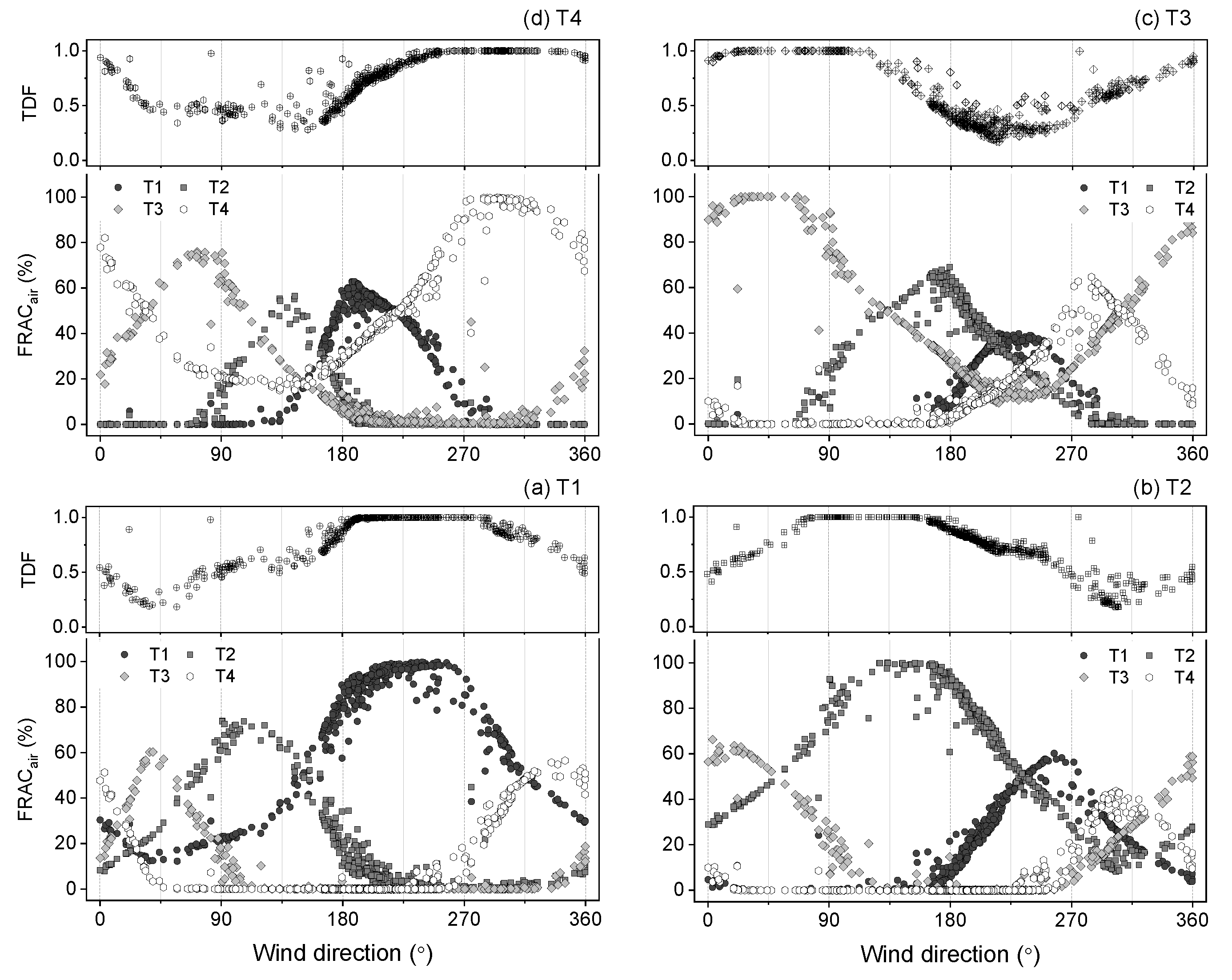
3.3. Integrated Effects of Wind Direction and Speed
3.4. Data Filtering and Statistics
3.5. Treatment Comparisons
3.6. Flux Comparison with Other Studies
3.7. Challenges and Potentials for Improvement
4. Summary and Conclusions
Author Contributions
Funding
Acknowledgments
Conflicts of Interest
References
- Global Anthropogenic of Non-CO2 Greenhouse Gases Emissions: 1990–2030; EPA 430-R-12-006; United States Environmental Protection Agency: Washington, DC, USA, 2012. Available online: https://www.epa.gov/sites/production/files/2016-05/documents/epa_global_nonco2_projections_dec2012.pdf (accessed on 13 June 2020).
- Climate Change 2013: The Physical Science Basis. Working Group I Contribution to the Fifth Assessment Report of the Intergovernmental Panel on Climate Change; Cambridge University Press: Cambridge, UK; New York, NY, USA, 2013; Available online: https://www.ipcc.ch/report/ar5/wg1/ (accessed on 13 June 2020).
- Smith, P.; Martino, D.; Cai, Z.; Gwary, D.; Janzen, H.; Kumar, P.; McCarl, B.; Ogle, S.; O’Mara, F.; Rice, C.; et al. Greenhouse gas mitigation in agriculture. Philos. Trans. R. Soc. B-Biol. Sci. 2008, 363, 789–813. [Google Scholar] [CrossRef] [PubMed]
- Reay, D.S.; Davidson, E.A.; Smith, K.A.; Smith, P.; Melillo, J.M.; Dentener, F.; Crutzen, P.J. Global agriculture and nitrous oxide emissions. Nat. Clim. Chang. 2012, 2, 410–416. [Google Scholar] [CrossRef]
- Bouwman, A.F. Direct emission of nitrous oxide from agricultural soils. Nutr. Cycl. Agroecosyst. 1996, 46, 53–70. [Google Scholar] [CrossRef]
- Mosier, A.; Kroeze, C.; Nevison, C.; Oenema, O.; Seitzinger, S.; van Cleemput, O. Closing the global N2O budget: Nitrous oxide emissions through the agricultural nitrogen cycle. Nutr. Cycl. Agroecosyst. 1998, 52, 225–248. [Google Scholar] [CrossRef]
- Decock, C. Mitigating nitrous oxide emissions from corn cropping systems in the midwestern US: Potential and data gaps. Environ. Sci. Technol. 2014, 48, 4247–4256. [Google Scholar] [CrossRef]
- United States Department of Agriculture Economic Research Service (USDA-ERS). Available online: https://www.ers.usda.gov/data-products/fertilizer-use-and-price.aspx (accessed on 13 June 2020).
- Akiyama, H.; Yan, X.Y.; Yagi, K. Evaluation of effectiveness of enhanced-efficiency fertilizers as mitigation options for N2O and NO emissions from agricultural soils: Meta-analysis. Glob. Chang. Biol. 2010, 16, 1837–1846. [Google Scholar] [CrossRef]
- Snyder, C.S.; Bruulsema, T.W.; Jensen, T.L.; Fixen, P.E. Review of greenhouse gas emissions from crop production systems and fertilizer management effects. Agric. Ecosyst. Environ. 2009, 133, 247–266. [Google Scholar] [CrossRef]
- Venterea, R.T.; Maharjan, B.; Dolan, M.S. Fertilizer source and tillage effects on yield-scaled nitrous oxide emissions in a corn cropping system. J. Environ. Qual. 2011, 40, 1521–1531. [Google Scholar] [CrossRef]
- Omonode, R.A.; Kovács, P.; Vyn, T.J. Tillage and nitrogen rate effects on area- and yield-scaled nitrous oxide emissions from pre-plant anhydrous ammonia. Agron. J. 2015, 107, 605–614. [Google Scholar] [CrossRef]
- Omonode, R.A.; Vyn, T.J. Tillage and nitrogen source impacts on relationships between nitrous oxide emission and nitrogen recovery efficiency in corn. J. Environ. Qual. 2019, 48, 421–429. [Google Scholar] [CrossRef]
- Venterea, R.T.; Coulter, J.A.; Dolan, M.S. Evaluation of intensive “4R” strategies for decreasing nitrous oxide emissions and nitrogen surplus in rainfed corn. J. Environ. Qual. 2016, 45, 1186–1195. [Google Scholar] [CrossRef] [PubMed]
- Laville, P.; Jambert, C.; Cellier, P.; Delmas, R. Nitrous oxide fluxes from a fertilised maize crop using micrometeorological and chamber methods. Agric. For. Meteorol. 1999, 96, 19–38. [Google Scholar] [CrossRef]
- Denmead, O.T. Approaches to measuring fluxes of methane and nitrous oxide between landscapes and the atmosphere. Plant Soil 2008, 309, 5–24. [Google Scholar] [CrossRef]
- Schäfer, K.; Cellier, P.; Bertolini, T.; Dalgaard, T.; Weidinger, T.; Theobald, M.R.; Olesen, J.E. Spatial and temporal variability of nitrous oxide emissions in a mixed farming landscape of Denmark. Biogeosciences 2012, 9, 2989–3002. [Google Scholar] [CrossRef]
- Rowlings, D.W.; Grace, P.R.; Kiese, R.; Weier, K.L. Environmental factors controlling temporal and spatial variability in the soil-atmosphere exchange of CO2, CH4 and N2O from an Australian subtropical rainforest. Glob. Chang. Biol. 2012, 18, 726–738. [Google Scholar] [CrossRef]
- Flesch, T.K.; Wilson, J.D.; Yee, E. Backward-time Lagrangian stochastic dispersion models and their application to estimate gaseous emissions. J. Appl. Meteorol. 1995, 34, 1320–1332. [Google Scholar] [CrossRef]
- Flesch, T.K.; Wilson, J.D.; Harper, L.A.; Crenna, B.P.; Sharpe, R.R. Deducing ground-to-air emissions from observed trace gas concentrations: A field trial. J. Appl. Meteorol. 2004, 43, 487–502. [Google Scholar] [CrossRef]
- Yang, W.L.; Zhu, A.N.; Zhang, J.B.; Zhang, Y.J.; Chen, X.M.; He, Y.; Wang, L.M. An inverse dispersion technique for the determination of ammonia emissions from urea-applied farmland. Atmos. Environ. 2013, 79, 217–224. [Google Scholar] [CrossRef]
- Grant, R.H.; Boehm, M.T.; Bogan, B.W. Methane and carbon dioxide emissions from manure storage facilities at two free-stall dairies. Agric. For. Meteorol. 2015, 213, 102–113. [Google Scholar] [CrossRef]
- Huo, Q.; Cai, X.H.; Kang, L.; Zhang, H.S.; Song, Y.; Zhu, T. Estimating ammonia emissions from a winter wheat cropland in North China Plain with field experiments and inverse dispersion modeling. Atmos. Environ. 2015, 104, 1–10. [Google Scholar] [CrossRef]
- Flesch, T.K.; Baron, V.S.; Wilson, J.D.; Griffith, D.W.T.; Basarab, J.A.; Carlson, P.J. Agricultural gas emissions during the spring thaw: Applying a new measurement technique. Agric. For. Meteorol. 2016, 221, 111–121. [Google Scholar] [CrossRef]
- Lam, S.K.; Suter, H.; Davies, R.; Bai, M.; Sun, J.L.; Chen, D.L. Measurement and mitigation of nitrous oxide emissions from a high nitrogen input vegetable system. Sci. Rep. 2015, 5, 8208. [Google Scholar] [CrossRef] [PubMed]
- McBain, M.C.; Desjardins, R.L. The evaluation of a backward Lagrangian stochastic (bLS) model to estimate greenhouse gas emissions from agricultural sources using a synthetic tracer source. Agric. For. Meteorol. 2005, 135, 61–72. [Google Scholar] [CrossRef]
- Crenna, B.P.; Flesch, T.K.; Wilson, J.D. Influence of source–sensor geometry on multi-source emission rate estimates. Atmos. Environ. 2008, 42, 7373–7383. [Google Scholar] [CrossRef]
- Gao, Z.; Desjardins, R.L.; van Haarlem, R.P.; Flesch, T.K. Estimating gas emissions from multiple sources using a backward Lagrangian stochastic model. J. Air Waste Manag. Assoc. 2008, 58, 1415–1421. [Google Scholar] [CrossRef]
- Flesch, T.K.; Harper, L.A.; Desjardins, R.L.; Gao, Z.L.; Crenna, B.P. Multi-source emission determination using an inverse-dispersion technique. Bound. Layer Meteorol. 2009, 132, 11–30. [Google Scholar] [CrossRef]
- Lin, C.-H.; Grant, R.H.; Heber, A.J.; Johnston, C.T. Application of open-path Fourier transform infrared spectroscopy (OP-FTIR) to measure greenhouse gas concentrations from agricultural fields. Atmos. Meas. Tech. 2019, 12, 3403–3415. [Google Scholar] [CrossRef]
- Lin, C.-H.; Grant, R.H.; Heber, A.J.; Johnston, C.T. Sources of error in open-path FTIR measurements of N2O and CO2 emitted from agricultural fields. Atmos. Meas. Tech. 2020, 13, 2001–2013. [Google Scholar] [CrossRef]
- Hrad, M.; Piringer, M.; Kamarad, L.; Baumann-Stanzer, K.; Huber-Humer, M. Multisource emission retrieval within a biogas plant based on inverse dispersion calculations—A real-life example. Environ. Monit. Assess. 2014, 186, 6251–6262. [Google Scholar] [CrossRef]
- Huo, Q.; Cai, X.; Kang, L.; Zhang, H.; Song, Y.; Zhu, T. Inference of emission rate using the inverse-dispersion method for the multi-source problem. Agric. For. Meteorol. 2014, 191, 12–21. [Google Scholar] [CrossRef]
- Ro, K.S.; Johnson, M.H.; Hunt, P.G.; Flesch, T.K. Measuring trace gas emission from multi-distributed sources using vertical radial plume mapping (VRPM) and backward Lagrangian stochastic (bLS) techniques. Atmosphere 2011, 2, 553–566. [Google Scholar] [CrossRef]
- Ro, K.S.; Johnson, M.H.; Stone, K.C.; Hunt, P.G.; Flesch, T.; Todd, R.W. Measuring gas emissions from animal waste lagoons with an inverse-dispersion technique. Atmos. Environ. 2013, 66, 101–106. [Google Scholar] [CrossRef]
- Mukherjee, S.; McMillan, A.M.S.; Sturman, A.P.; Harvey, M.J.; Laubach, J. Footprint methods to separate N2O emission rates from adjacent paddock areas. Int. J. Biometeorol. 2015, 59, 325–338. [Google Scholar] [CrossRef]
- Flesch, T.K.; Wilson, J.D.; Harper, L.A.; Crenna, B.P. Estimating gas emissions from a farm with an inverse-dispersion technique. Atmos. Environ. 2005, 39, 4863–4874. [Google Scholar] [CrossRef]
- VanderZaag, A.C.; Flesch, T.K.; Desjardins, R.L.; Balde, H.; Wright, T. Measuring methane emissions from two dairy farms: Seasonal and manure-management effects. Agric. For. Meteorol. 2014, 194, 259–267. [Google Scholar] [CrossRef]
- Heber, A.J.; Ni, J.Q.; Lim, T.T.; Tao, P.C.; Schmidt, A.M.; Koziel, J.A.; Beasley, D.B.; Hoff, S.J.; Nicolai, R.E.; Jacobson, L.D.; et al. Quality assured measurements of animal building emissions: Gas concentrations. J. Air Waste Manag. Assoc. 2006, 56, 1472–1483. [Google Scholar] [CrossRef]
- SAS Institute. SAS/STAT 9.2 Users’s Guide; SAS Inst.: Cary, NC, USA, 2007. [Google Scholar]
- Robertson, G.P.; Vitousek, P.M. Nitrogen in agriculture: Balancing the cost of an essential resource. Annu. Rev. Environ. Resour. 2009, 34, 97–125. [Google Scholar] [CrossRef]
- van Kessel, C.; Venterea, R.; Six, J.; Adviento-Borbe, M.A.; Linquist, B.; van Groenigen, K.J. Climate, duration, and N placement determine N2O emissions in reduced tillage systems: A meta-analysis. Glob. Chang. Biol. 2013, 19, 33–44. [Google Scholar] [CrossRef]
- Burton, D.L.; Li, X.; Grant, C.A. Influence of fertilizer nitrogen source and management practice on N2O emissions from two Black Chernozemic soils. Can. J. Soil Sci. 2008, 88, 219–227. [Google Scholar] [CrossRef]
- Omonode, R.A.; Smith, D.R.; Gál, A.; Vyn, T.J. Soil nitrous oxide emissions in corn following three decades of tillage and rotation treatments. Soil Sci. Soc. Am. J. 2011, 75, 152–163. [Google Scholar] [CrossRef]
- Rochette, P.; Angers, D.A.; Chantigny, M.H.; Bertrand, N. Nitrous oxide emissions respond differently to no-till in a loam and a heavy clay soil. Soil Sci. Soc. Am. J. 2008, 72, 1363–1369. [Google Scholar] [CrossRef]
- Drury, C.F.; Reynolds, W.D.; Yang, X.M.; McLaughlin, N.B.; Welacky, T.W.; Calder, W.; Grant, C.A. Nitrogen source, application time, and tillage effects on soil nitrous oxide emissions and corn grain yields. Soil Sci. Soc. Am. J. 2012, 76, 1268–1279. [Google Scholar] [CrossRef]
- Liu, X.J.; Mosier, A.R.; Halvorson, A.D.; Zhang, F. The impact of nitrogen placement and tillage on NO, N2O, CH4 and CO2 fluxes from a clay loam soil. Plant Soil 2006, 280, 177–188. [Google Scholar] [CrossRef]
- Six, J.; Ogle, S.M.; Breidt, F.J.; Conant, R.T.; Mosier, A.R.; Paustian, K. The potential to mitigate global warming with no-tillage management is only realized when practised in the long term. Glob. Chang. Biol. 2004, 10, 155–160. [Google Scholar] [CrossRef]
- Bai, M.; Suter, H.; Lam, S.K.; Sun, J.L.; Chen, D.L. Use of open-path FTIR and inverse dispersion technique to quantify gaseous nitrogen loss from an intensive vegetable production site. Atmos. Environ. 2014, 94, 687–691. [Google Scholar] [CrossRef]
- Bai, M.; Suter, H.; Lam, S.K.; Davies, R.; Flesch, T.K.; Chen, D.L. Gaseous emissions from an intensive vegetable farm measured with slant-path FTIR technique. Agric. For. Meteorol. 2018, 258, 50–55. [Google Scholar] [CrossRef]
- Lam, S.K.; Suter, H.; Davies, R.; Bai, M.; Mosier, A.R.; Sun, J.L.; Chen, D.L. Direct and indirect greenhouse gas emissions from two intensive vegetable farms applied with a nitrification inhibitor. Soil Biol. Biochem. 2018, 116, 48–51. [Google Scholar] [CrossRef]
- Flesch, T.K.; Baron, V.S.; Wilson, J.D.; Basarab, J.A.; Desjardins, R.L.; Worth, D.; Lemke, R.L. Micrometeorological Measurements Reveal Large Nitrous Oxide Losses during Spring Thaw in Alberta. Atmosphere 2018, 9, 128. [Google Scholar] [CrossRef]
- Ni, K.; Koester, J.R.; Seidel, A.; Pacholski, A. Field measurement of ammonia emissions after nitrogen fertilization-A comparison between micrometeorological and chamber methods. Eur. J. Agron. 2015, 71, 115–122. [Google Scholar] [CrossRef]
- Yang, W.L.; Zhu, A.N.; Zhang, J.B.; Xin, X.L.; Zhang, X.F. Evaluation of a backward Lagrangian stochastic model for determining surface ammonia emissions. Agric. For. Meteorol. 2017, 234, 196–202. [Google Scholar] [CrossRef]
- Carozzi, M.; Loubet, B.; Acutis, M.; Rana, G.; Ferrara, R.M. Inverse dispersion modelling highlights the efficiency of slurry injection to reduce ammonia losses by agriculture in the Po Valley (Italy). Agric. For. Meteorol. 2013, 171, 306–318. [Google Scholar] [CrossRef]
- Tenuta, M.; Amiro, B.D.; Gao, X.P.; Wagner-Riddle, C.; Gervais, M. Agricultural management practices and environmental drivers of nitrous oxide emissions over a decade for an annual and an annual-perennial crop rotation. Agric. For. Meteorol. 2019, 276, 107636. [Google Scholar] [CrossRef]
- Machado, P.V.F.; Neufeld, K.; Brown, S.E.; Voroney, P.R.; Bruulsema, T.W.; Wagner-Riddle, C. High temporal resolution nitrous oxide fluxes from corn (Zea mays L.) in response to the combined use of nitrification and urease inhibitors. Agric. Ecosyst. Environ. 2020, 300, 106996. [Google Scholar] [CrossRef]
- Cowan, N.; Levy, P.; Maire, J.; Coyle, M.; Leeson, S.R.; Famulari, D.; Carozzi, M.; Nemitz, E.; Skiba, U. An evaluation of four years of nitrous oxide fluxes after application of ammonium nitrate and urea fertilisers measured using the eddy covariance method. Agric. Ecosyst. Environ. 2020, 280, 107812. [Google Scholar] [CrossRef]
- Jones, S.K.; Famulari, D.; Di Marco, C.F.; Nemitz, E.; Skiba, U.M.; Rees, R.M.; Sutton, M.A. Nitrous oxide emissions from managed grassland: A comparison of eddy covariance and static chamber measurements. Atmos. Meas. Tech. 2011, 4, 2179–2194. [Google Scholar] [CrossRef]
- Wang, K.; Zheng, X.H.; Pihlatie, M.; Vesala, T.; Liu, C.Y.; Haapanala, S.; Mammarella, I.; Rannik, U.; Liu, H.Z. Comparison between static chamber and tunable diode laser-based eddy covariance techniques for measuring nitrous oxide fluxes from a cotton field. Agric. For. Meteorol. 2013, 171, 9–19. [Google Scholar] [CrossRef]
- Maier, M.; Schack-Kirchner, H.; Aubinet, M.; Goffin, S.; Longdoz, B.; Parent, F. Turbulence effect on gas transport in three contrasting forest soils. Soil Sci. Soc. Am. J. 2012, 76, 1518–1528. [Google Scholar] [CrossRef]
- Poulsen, T.G.; Furman, A.; Liberzon, D. Effects of wind speed and wind gustiness on subsurface gas transport. Vadose Zone J. 2017, 16. [Google Scholar] [CrossRef]
- Pourbakhtiar, A.; Poulsen, T.G.; Wilkinson, S.; Bridge, J.W. Effect of wind turbulence on gas transport in porous media: Experimental method and preliminary results. Eur. J. Soil Sci. 2017, 68, 48–56. [Google Scholar] [CrossRef]
- Grant, R.H.; Omonode, R.A. Estimation of nocturnal CO2 and N2O soil emissions from changes in surface boundary layer mass storage. Atmos. Meas. Tech. 2018, 11, 2119–2133. [Google Scholar] [CrossRef]








| Treatment (ha) | Tillage | Anhydrous Ammonia (Total = 220 kg NH3-N ha−1) | |
|---|---|---|---|
| 2014 Fall | 2015 Spring | ||
| T1 (1.2) | No-till | 220 | 0 |
| T2 (1.1) | No-till | 110 | 110 |
| T3 (1.1) | Chisel plow | 110 | 110 |
| T4 (1.2) | No-till | 0 | 220 |
| Fields | Area (ha) | TDF | TD Cover † (ha) | Each Plot | TD Cover at Each Plot § (ha) | FRACair (%) |
|---|---|---|---|---|---|---|
| T2 | 1.5 | 0.24 | 0.36 | T2 | 0.36 | 17 |
| T2 + T1 | 2.7 | 0.28 | 0.76 | T1 | 0.40 | 19 |
| T2 + T3 | 2.9 | 0.32 | 0.93 | T3 | 0.57 | 27 |
| T2 + T4 | 2.6 | 0.43 | 1.12 | T4 | 0.76 | 36 |
Publisher’s Note: MDPI stays neutral with regard to jurisdictional claims in published maps and institutional affiliations. |
© 2020 by the authors. Licensee MDPI, Basel, Switzerland. This article is an open access article distributed under the terms and conditions of the Creative Commons Attribution (CC BY) license (http://creativecommons.org/licenses/by/4.0/).
Share and Cite
Lin, C.-H.; Grant, R.H.; Johnston, C.T. Measuring N2O Emissions from Multiple Sources Using a Backward Lagrangian Stochastic Model. Atmosphere 2020, 11, 1277. https://doi.org/10.3390/atmos11121277
Lin C-H, Grant RH, Johnston CT. Measuring N2O Emissions from Multiple Sources Using a Backward Lagrangian Stochastic Model. Atmosphere. 2020; 11(12):1277. https://doi.org/10.3390/atmos11121277
Chicago/Turabian StyleLin, Cheng-Hsien, Richard H. Grant, and Cliff T. Johnston. 2020. "Measuring N2O Emissions from Multiple Sources Using a Backward Lagrangian Stochastic Model" Atmosphere 11, no. 12: 1277. https://doi.org/10.3390/atmos11121277
APA StyleLin, C.-H., Grant, R. H., & Johnston, C. T. (2020). Measuring N2O Emissions from Multiple Sources Using a Backward Lagrangian Stochastic Model. Atmosphere, 11(12), 1277. https://doi.org/10.3390/atmos11121277

