Long-Term Air Quality Study in Fairbanks, Alaska: Air Pollutant Temporal Variations, Correlations, and PM2.5 Source Apportionment
Abstract
1. Introduction
2. Experiments
2.1. Study Area
2.2. Data Acquisition and Pretreatment
2.3. PM2.5 Source Apportionment
2.4. Statistical Methods
3. Results and Discussion
3.1. Data Overview
3.2. Temporal Variations of Air Pollutants and Meteorological Parameters
3.3. Correlation Analysis
3.3.1. Correlations between Air Pollutants
3.3.2. Correlations between Air Pollutants and Meteorological Parameters
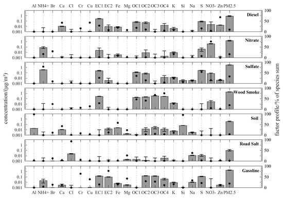
3.4. PM2.5 Source Identification
3.4.1. Sulfate
3.4.2. Wood Smoke
3.4.3. Nitrate
3.4.4. Diesel and Gasoline
3.4.5. Soil and Road Salt
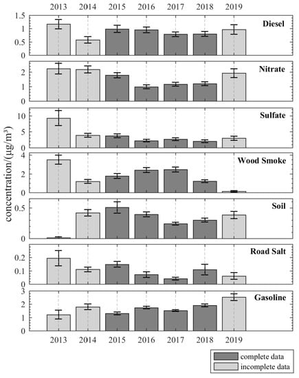
3.5. Analysis Based on Two-Season Criterion
4. Conclusions
Supplementary Materials
Author Contributions
Funding
Acknowledgments
Conflicts of Interest
Appendix A
| Data | Information | |||
|---|---|---|---|---|
| Sample Period 1 | Station | Source | ||
| Criteria air pollutant | CO, SO2, PM2.5, PM10 | November 2013–May 2019 | NCORE (Site ID: 20900034, 64.85° N, 147.73° W, 132 m above sea level) | https://www.epa.gov/outdoor-air-quality-data (AQS database) |
| NO2 | July 2014–July 2016; September 2016–May 2019 | |||
| O3 | November 2013–February 2017; April 2017–May 2019 | |||
| PM2.5 speciation | OC1, OC2, OC3, OC4, EC1, EC2 | November 2015–May 2019 | ||
| Al, NH4+, Br, Ca, Cl, Cr, Cu, Fe, Mg, K, Si, Na, S, NO3−, Zn | November 2013–July 2014; January 2015–May 2019 | |||
| Meteorological variable | Temp, WS, RH | November 2013–May 2019 | Fairbanks International Airport (Station ID: WBAN:26411, 64.80° N, 147.88° W, 132 m above sea level) | https://www.ncdc.noaa.gov/cdo-web/datatools/lcd (LCD dataset) |
Appendix B
| PM2.5 Speciation | Q/Qexp |
|---|---|
| Ca | 9.3327 |
| Cu | 6.4368 |
| EC2 | 2.3205 |
| Fe | 6.0573 |
| OC1 | 3.4210 |
| K | 4.5472 |
| Si | 3.8780 |
| S | 2.7508 |
| BS\Base | Diesel | Nitrate | Sulfate | Wood Smoke | Soil | Gasoline | Road Salt | Unmapped |
|---|---|---|---|---|---|---|---|---|
| Diesel | 100 | 0 | 0 | 0 | 0 | 0 | 0 | 0 |
| Nitrate | 0 | 100 | 0 | 0 | 0 | 0 | 0 | 0 |
| Sulfate | 0 | 0 | 100 | 0 | 0 | 0 | 0 | 0 |
| Wood Smoke | 0 | 0 | 0 | 100 | 0 | 0 | 0 | 0 |
| Soil | 0 | 0 | 0 | 0 | 100 | 0 | 0 | 0 |
| Gasoline | 23 | 0 | 3 | 2 | 2 | 70 | 0 | 0 |
| Road Salt | 28 | 3 | 0 | 1 | 8 | 14 | 39 | 7 |
References
- Fairbanks Air Quality Plan|EPA in Alaska|US EPA. Available online: https://www.epa.gov/ak/fairbanks-air-quality-plan (accessed on 13 August 2020).
- Ward, T.; Trost, B.; Conner, J.; Flanagan, J.; Jayanty, R. Source apportionment of PM 2.5 in a subarctic airshed-fairbanks, Alaska. Aerosol Air Qual. Res. 2012, 12, 536–543. [Google Scholar] [CrossRef]
- Wang, Y.; Hopke, P.K. Is Alaska truly the great escape from air pollution? Long term source apportionment of fine particulate matter in Fairbanks, Alaska. Aerosol Air Qual. Res. 2014, 14, 1875–1882. [Google Scholar] [CrossRef]
- Mölders, N.; Fochesatto, G.J.; Edwin, S.G.; Kramm, G. Geothermal, Oceanic, Wildfire, Meteorological and Anthropogenic Impacts on PM 2.5 Concentrations in the Fairbanks Metropolitan Area. Open J. Air Pollut. 2019, 8, 19–68. [Google Scholar] [CrossRef]
- Tran, H.N.; Mölders, N. Investigations on meteorological conditions for elevated PM 2.5 in Fairbanks, Alaska. Atmos. Res. 2011, 99, 39–49. [Google Scholar] [CrossRef]
- Mölders, N. Investigations on the impact of single direct and indirect, and multiple emission–control measures on cold–season near–surface PM 2.5 concentrations in Fairbanks, Alaska. Atmos. Pollut. Res. 2013, 4, 87–100. [Google Scholar] [CrossRef][Green Version]
- Fairbanks, Alaska—Wikipedia. Available online: https://en.wikipedia.org/wiki/Fairbanks,_Alaska (accessed on 13 August 2020).
- Wendler, G.; Nicpon, P. Low-level temperature inversions in Fairbanks, central Alaska. Mon. Weather Rev. 1975, 103, 34–44. [Google Scholar] [CrossRef][Green Version]
- United States Environmental Protection Agency, National Exposure Research Laboratory, Human Exposure and Atmospheric Science Devision. Reference and Equivalent Method Applications, Guidelines for Applicants; United States Environmental Protection Agency, National Exposure Research Laboratory, Human Exposure and Atmospheric Science Devision: Research Triangle Park, NC, USA, 2011. [Google Scholar]
- Dan, M.; Zhuang, G.; Li, X.; Tao, H.; Zhuang, Y. The characteristics of carbonaceous species and their sources in PM2. 5 in Beijing. Atmos. Environ. 2004, 38, 3443–3452. [Google Scholar] [CrossRef]
- Paatero, P.; Tapper, U. Positive matrix factorization: A non-negative factor model with optimal utilization of error estimates of data values. Environmetrics 1994, 5, 111–126. [Google Scholar] [CrossRef]
- Polissar, A.V.; Hopke, P.K.; Paatero, P.; Malm, W.C.; Sisler, J.F. Atmospheric aerosol over Alaska: 2. Elemental composition and sources. J. Geophys. Res. Atmos. 1998, 103, 19045–19057. [Google Scholar] [CrossRef]
- Paatero, P.; Eberly, S.; Brown, S.; Norris, G. Methods for estimating uncertainty in factor analytic solutions. Atmos. Meas. Tech. 2014, 7, 781. [Google Scholar] [CrossRef]
- Paatero, P.; Hopke, P.K.; Song, X.-H.; Ramadan, Z. Understanding and controlling rotations in factor analytic models. Chemom. Intell. Lab. Syst. 2002, 60, 253–264. [Google Scholar] [CrossRef]
- Hartmann, B.; Wendler, G. Climatology of the winter surface temperature inversion in Fairbanks, Alaska. In Proceedings of the 85th American Meteorological Society Annual Meeting, San Diego, CA, USA, 8–14 January 2005. [Google Scholar]
- Department of Environmental Conservation, State of Alaska. 2015 Alaska Wildfire Emissions Inventory; Department of Environmental Conservation, State of Alaska, Air Quality Division, Non-Point Mobile Sources Program: Juneau, AK, USA, 2016; p. 10.
- Aggie Creek Fire—AK Fire Info. Available online: https://akfireinfo.com/tag/aggie-creek-fire/ (accessed on 13 August 2020).
- Wang, Y.; Ying, Q.; Hu, J.; Zhang, H. Spatial and temporal variations of six criteria air pollutants in 31 provincial capital cities in China during 2013–2014. Environ. Int. 2014, 73, 413–422. [Google Scholar] [CrossRef] [PubMed]
- Atkinson, R. Atmospheric chemistry of VOCs and NOx. Atmos. Environ. 2000, 34, 2063–2101. [Google Scholar] [CrossRef]
- Ran, L.; Zhao, C.; Geng, F.; Tie, X.; Tang, X.; Peng, L.; Zhou, G.; Yu, Q.; Xu, J.; Guenther, A. Ozone photochemical production in urban Shanghai, China: Analysis based on ground level observations. J. Geophys. Res. Atmos. 2009, 114. [Google Scholar] [CrossRef]
- Zhang, H.; Wang, Y.; Hu, J.; Ying, Q.; Hu, X.-M. Relationships between meteorological parameters and criteria air pollutants in three megacities in China. Environ. Res. 2015, 140, 242–254. [Google Scholar] [CrossRef] [PubMed]
- Shoopak, B.F.; Amos, J.C.; Norvell, T.J. Report of Shelton Wood-Coal Firing Tests Conducted 16 March–2 April 1980; Miles (Thomas R.): Beaverton, OR, USA, 1980. [Google Scholar]
- Usibelli Coal Mine—Data Sheet. Available online: http://www.usibelli.com/coal/data-sheet (accessed on 13 August 2020).
- Coal Power in Alaska. Available online: http://www.groundtruthtrekking.org/Issues/AlaskaCoal/AlaskaCoalPower.html (accessed on 13 August 2020).
- Carlson, T.; Zhang, W. Analysis of Fairbanks 2013–2015 Home Heating Surveys; Sierra Research: Sacramento, CA, USA, 2016; p. 1, 9. [Google Scholar]
- Real Estate requirement—Fairbanks North Star Borough PM 2.5 Nonattainment Area. Available online: https://dec.alaska.gov/air/anpms/communities/fbks-pm2-5-real-estate/ (accessed on 13 August 2020).
- Wood Seller Information. Available online: https://dec.alaska.gov/air/burnwise/wood-seller/ (accessed on 13 August 2020).
- 2019—PM 2.5 SIP and Regulations: Questions & Answers. Available online: https://dec.alaska.gov/air/anpms/communities/fbks-pm2-5-qa-table-2019/ (accessed on 13 August 2020).
- Pan, Y.; Tian, S.; Liu, D.; Fang, Y.; Zhu, X.; Zhang, Q.; Zheng, B.; Michalski, G.; Wang, Y. Fossil fuel combustion-related emissions dominate atmospheric ammonia sources during severe haze episodes: Evidence from 15N-stable isotope in size-resolved aerosol ammonium. Environ. Sci. Technol. 2016, 50, 8049–8056. [Google Scholar] [CrossRef] [PubMed]
- Heating Oil—Wikipedia. Available online: https://en.wikipedia.org/wiki/Heating_oil (accessed on 13 August 2020).
- Petras, S. Coal Ash in Alaska: Our Health, Our Right to Know A Report on Toxic Chemicals Found in Coal Combustion Waste in Alaska; Alaska Community Action on Toxics: Anchorage, AK, USA, 2011; pp. 10–13. [Google Scholar]










| SO2 | NO2 | O3 | CO | PM2.5 | PM10 | |
|---|---|---|---|---|---|---|
| Min | 0.80 | 1.00 | 0.00 | 0.00 | 0.00 | 0.00 |
| Median | 8.70 | 20.70 | 20.00 | 400.00 | 5.30 | 15.00 |
| Max | 53.50 | 107.80 | 56.00 | 3800.00 | 102.40 | 84.00 |
| Arithmetic Mean | 11.55 | 23.21 | 20.27 | 568.18 | 9.04 | 16.46 |
| SE | 0.19 | 0.37 | 0.29 | 9.87 | 0.28 | 0.43 |
| Count | 1981 | 1639 | 1800 | 1898 | 1056 | 623 |
| RH | WS | T | |
|---|---|---|---|
| Min | 28.00 | 0.00 | −43.33 |
| Median | 73.00 | 1.75 | 0.56 |
| Max | 100.00 | 10.43 | 25.00 |
| Arithmetic Mean | 70.69 | 1.97 | −1.44 |
| SE | 0.32 | 0.03 | 0.33 |
| Count | 2022 | 2033 | 2033 |
| Species | Arithmetic Mean | SE | Geometric Mean | Percent BDL | MDL | Percent Missing |
|---|---|---|---|---|---|---|
| Al | 0.019 | 0.002 | 0.050 | 66.8% | 0.027 | 0.0% |
| NH4+ | 0.478 | 0.031 | 0.345 | 32.8% | 0.026 | 0.5% |
| Br | 0.002 | 0.000 | 0.004 | 100.0% | 0.003 | 0.0% |
| Ca | 0.031 | 0.001 | 0.029 | 56.7% | 0.008 | 0.0% |
| Cl | 0.025 | 0.003 | 0.040 | 77.2% | 0.011 | 2.2% |
| Cr | 0.002 | 0.000 | 0.005 | 99.2% | 0.003 | 0.0% |
| Cu | 0.003 | 0.000 | 0.005 | 99.5% | 0.003 | 0.0% |
| EC1 | 1.024 | 0.059 | 0.626 | 0.0% | 0.097 | 34.5% |
| EC2 | 0.134 | 0.005 | 0.141 | 4.3% | 0.065 | 34.5% |
| Fe | 0.047 | 0.002 | 0.035 | 34.8% | 0.003 | 0.0% |
| Mg | 0.010 | 0.001 | 0.035 | 84.3% | 0.019 | 0.0% |
| OC1 | 0.498 | 0.040 | 0.366 | 17.6% | 0.065 | 34.5% |
| OC2 | 0.556 | 0.025 | 0.402 | 0.0% | 0.065 | 34.5% |
| OC3 | 0.566 | 0.025 | 0.446 | 0.3% | 0.097 | 34.5% |
| OC4 | 0.397 | 0.021 | 0.305 | 0.3% | 0.097 | 34.5% |
| K | 0.068 | 0.005 | 0.047 | 35.0% | 0.011 | 0.0% |
| Si | 0.072 | 0.004 | 0.066 | 35.8% | 0.019 | 0.0% |
| Na | 0.039 | 0.003 | 0.102 | 58.8% | 0.057 | 0.0% |
| S | 0.542 | 0.027 | 0.299 | 1.0% | 0.011 | 0.0% |
| NO3− | 0.502 | 0.023 | 0.282 | 4.9% | 0.023 | 0.5% |
| Zn | 0.026 | 0.001 | 0.025 | 65.2% | 0.004 | 0.0% |
| PM2.5 | 9.743 | 0.474 | 6.397 | 0.2% | 0.840 | 16.2% |
| Yearly | NO2 | O3 | CO | PM2.5 | PM10 |
|---|---|---|---|---|---|
| SO2 | 0.80 *** | −0.43 *** | 0.76 *** | 0.75 *** | 0.55 *** |
| NO2 | — | −0.38 *** | 0.79 *** | 0.72 *** | 0.53 *** |
| O3 | — | −0.61 *** | −0.53 *** | −0.28 *** | |
| CO | — | 0.82 *** | 0.54 *** | ||
| PM2.5 | — | 0.72 *** | |||
| Spring | NO2 | O3 | CO | PM2.5 | PM10 |
| SO2 | 0.71 *** | −0.22 ** | 0.63 *** | 0.65 *** | 0.27 ** |
| NO2 | — | −0.35** | 0.74 *** | 0.68 *** | 0.21 * |
| O3 | — | −0.32 ** | −0.23 ** | 0.00 1 | |
| CO | — | 0.63 *** | 0.21 * | ||
| PM2.5 | — | 0.50 *** | |||
| Summer | NO2 | O3 | CO | PM2.5 | PM10 |
| SO2 | 0.38 *** | 0.06 | 0.19 * | 0.37 *** | 0.30 ** |
| NO2 | — | 0.41 *** | 0.18 | 0.34 ** | 0.46 *** |
| O3 | — | −0.02 | 0.19 * | 0.27 ** | |
| CO | — | 0.52 *** | 0.39 *** | ||
| PM2.5 | — | 0.74 *** | |||
| Fall | NO2 | O3 | CO | PM2.5 | PM10 |
| SO2 | 0.79 *** | −0.43 *** | 0.84 *** | 0.84 *** | 0.57 ** |
| NO2 | — | −0.25 ** | 0.78 *** | 0.76 *** | 0.64 *** |
| O3 | — | −0.47 *** | −0.57 *** | −0.40 *** | |
| CO | — | 0.84 *** | 0.58 *** | ||
| PM2.5 | — | 0.71 *** | |||
| Winter | NO2 | O3 | CO | PM2.5 | PM10 |
| SO2 | 0.41 *** | −0.55 *** | 0.63 *** | 0.81 *** | 0.77 *** |
| NO2 | — | −0.25 ** | 0.58 *** | 0.47 *** | 0.51 *** |
| O3 | — | −0.51 *** | −0.63 *** | −0.65 *** | |
| CO | — | 0.74 *** | 0.74 *** | ||
| PM2.5 | — | 0.95 *** |
| SO2 | NO2 | O3 | CO | PM2.5 | PM10 | |
|---|---|---|---|---|---|---|
| T | −0.70 *** | −0.76 *** | 0.50 *** | −0.72 *** | −0.62 *** | −0.32 *** |
| WS | −0.50 *** | −0.43 *** | 0.55 *** | −0.56 *** | −0.56 *** | −0.34 *** |
| RH | 0.20 *** | 0.20 *** | −0.69 *** | 0.42 *** | 0.25 *** | −0.13 ** |
| Source | Spring (March–May) | Summer (June–August) | Fall (September–November) | Winter (December–February) | Average | |||||
|---|---|---|---|---|---|---|---|---|---|---|
| Mean ± SE (μg/m3) | % | Mean ± SE (μg/m3) | % | Mean ± SE (μg/m3) | % | Mean ± SE (μg/m3) | % | Mean ± SE (μg/m3) | % | |
| Diesel | 0.352 ± 0.039 | 5.9 | −0.018 ± 0.015 | −0.5 | 1.022 ± 0.087 | 13.4 | 2.041 ± 0.097 | 10.7 | 0.858 ± 0.047 | 9.2 |
| Nitrate | 1.211 ± 0.094 | 20.4 | 0.406 ± 0.074 | 10.6 | 0.949 ± 0.086 | 12.5 | 3.043 ± 0.165 | 16 | 1.455 ± 0.070 | 15.7 |
| Sulfate | 1.579 ± 0.198 | 26.5 | 0.051 ± 0.065 | 1.3 | 1.697 ± 0.317 | 22.3 | 8.318 ± 0.620 | 43.7 | 3.038 ± 0.229 | 32.7 |
| Wood Smoke | 0.666 ± 0.094 | 11.2 | 1.440 ± 0.203 | 37.6 | 1.832 ± 0.186 | 24 | 3.287 ± 0.248 | 17.3 | 1.787 ± 0.102 | 19.3 |
| Soil | 0.595 ± 0.061 | 10 | 0.334 ± 0.030 | 8.7 | 0.343 ± 0.042 | 4.5 | 0.119 ± 0.013 | 0.6 | 0.355 ± 0.022 | 3.8 |
| Gasoline | 1.505 ± 0.070 | 25.3 | 1.598 ± 0.062 | 41.8 | 1.694 ± 0.104 | 22.2 | 1.985 ± 0.152 | 10.4 | 1.694 ± 0.053 | 18.2 |
| Road Salt | 0.040 ± 0.007 | 0.7 | 0.013 ± 0.006 | 0.3 | 0.084 ± 0.017 | 1.1 | 0.234 ± 0.034 | 1.2 | 0.095 ± 0.011 | 1.0 |
| Sum | 5.947 ± 0.353 | 100 | 3.827 ± 0.302 | 100 | 7.621 ± 0.556 | 100 | 19.026 ± 0.782 | 100 | 9.282 ± 0.363 | 100 |
Publisher’s Note: MDPI stays neutral with regard to jurisdictional claims in published maps and institutional affiliations. |
© 2020 by the authors. Licensee MDPI, Basel, Switzerland. This article is an open access article distributed under the terms and conditions of the Creative Commons Attribution (CC BY) license (http://creativecommons.org/licenses/by/4.0/).
Share and Cite
Ye, L.; Wang, Y. Long-Term Air Quality Study in Fairbanks, Alaska: Air Pollutant Temporal Variations, Correlations, and PM2.5 Source Apportionment. Atmosphere 2020, 11, 1203. https://doi.org/10.3390/atmos11111203
Ye L, Wang Y. Long-Term Air Quality Study in Fairbanks, Alaska: Air Pollutant Temporal Variations, Correlations, and PM2.5 Source Apportionment. Atmosphere. 2020; 11(11):1203. https://doi.org/10.3390/atmos11111203
Chicago/Turabian StyleYe, Lexuan, and Yungang Wang. 2020. "Long-Term Air Quality Study in Fairbanks, Alaska: Air Pollutant Temporal Variations, Correlations, and PM2.5 Source Apportionment" Atmosphere 11, no. 11: 1203. https://doi.org/10.3390/atmos11111203
APA StyleYe, L., & Wang, Y. (2020). Long-Term Air Quality Study in Fairbanks, Alaska: Air Pollutant Temporal Variations, Correlations, and PM2.5 Source Apportionment. Atmosphere, 11(11), 1203. https://doi.org/10.3390/atmos11111203
