Concentrations of Four Major Air Pollutants among Ecological Functional Zones in Shenyang, Northeast China
Abstract
1. Introduction
2. Methods
2.1. Study Area
2.2. Air Pollution, Meteorological, Urbanization, and Imaging Data
2.3. Ecological Function Zones
3. Results and Discussion
3.1. Diurnal Variations in Four Major Air Pollutants among Ecological Functional Zones
3.2. Seasonal Variations in Four Major Air Pollutants among Ecological Functional Zones
3.3. Annual Variations in Four Major Air Pollutants among Ecological Functional Zones
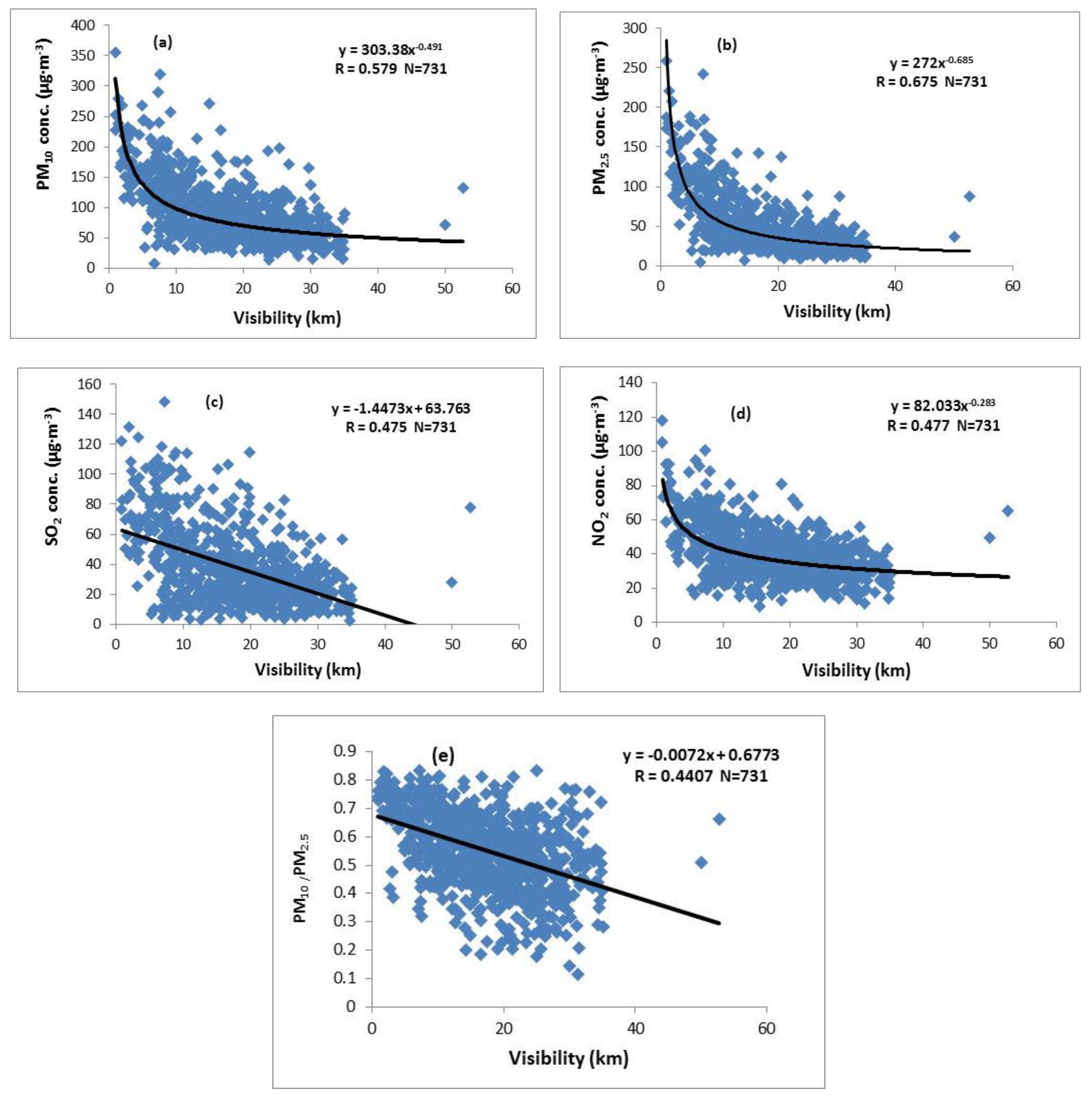
3.4. Meteorological Factors and Major Air Pollutants
3.5. Land-Use Types and Major Air Pollutants
4. Conclusions
Author Contributions
Funding
Acknowledgments
Conflicts of Interest
References
- Adachi, K.; Tainosho, Y. Characterization of heavy metal particles embedded in tire dust. Environ. Int. 2004, 30(8), 1009–1017. [Google Scholar] [CrossRef] [PubMed]
- Kampa, M.; Castanas, E. Human health effects of air pollution. Environ. Pollut. 2008, 151(2), 362–367. [Google Scholar] [CrossRef] [PubMed]
- Richardson, E.A.; Pearce, J.; Tunstall, H.; Mitchell, R.; Shortt, N.K. Particulate air pollution and health inequalities: A Europe-wide ecological analysis. Int. J. Health Geogr. 2013, 12, 1–10. [Google Scholar] [CrossRef] [PubMed]
- Chen, J.; Zhao, C.S.; Ma, N.; Liu, P.F.; Göbel, T.; Hallbauer, E.; Deng, Z.Z.; Ran, L.; Xu, W.Y.; Liu, H.J.; et al. A parameterization of low visibilities for hazy days in the North China Plain. Atmos. Chem. Phys. 2012, 12(11), 4935–4950. [Google Scholar] [CrossRef]
- Fan, G.F.; Ma, H.; Zhang, X.W.; Liu, Y. Impacts of relative humidity and PM2.5 concentration on atmospheric visibility: A comparative study of hourly observations of multiple stations. Acta Meteor. Sinica. 2016, 74(6), 959–973. [Google Scholar]
- Liu, Z.; Hu, B.; Wang, L.; Wu, F.; Gao, W.; Wang, Y. Seasonal and diurnal variation in particulate matter (PM10 and PM2.5) at an urban site of Beijing: Analyses from a 9-year study. Environ. Sci. Pollut. R. 2015, 22(1), 627–642. [Google Scholar] [CrossRef]
- Yu, M.F.; Zhu, Y.; Lin, C.J.; Wang, S.X.; Xing, J.; Jang, C.; Huang, J.Z.; Huang, J.Y.; Jin, J.B.; Yu, L. Effects of pollution control measures on air quality improvement in Guangzhou, China. J. Environ. Man. 2019, 244, 127–137. [Google Scholar] [CrossRef] [PubMed]
- He, B.-J. Potentials of meteorological characteristics and synoptic conditions to mitigate urban heat island effects. Urban Clim. 2018, 24, 26–33. [Google Scholar] [CrossRef]
- Huang, J.; Wang, T.; Wang, W.; Li, Z.Q.; Yan, H.R. Climate effects of dust aerosols over East Asian arid and semiarid regions. J. Geophys. Res. 2014, 119(19), 11398–11416. [Google Scholar] [CrossRef]
- Bapna, M. Toward an environmentally sustainable future: Country environmental analysis of the People’s Republic of China. The Asian Development Bank: Manila, Philippines, 2012. [Google Scholar]
- Zheng, S.; Wang, M.; Wang, S.; Tao, Y.; Shang, K. Short-term effects of gaseous pollutants and particulate matter on daily hospital admissions for cardio-cerebrovascular disease in Lanzhou: Evidence from a heavily polluted city in China. Inter. J. Environ. Res. Public Health 2013, 10(2), 462–477. [Google Scholar] [CrossRef]
- Chai, F.H.; Gao, J.; Chen, Z.X.; Wang, S.L. Spatial and temporal variation of particulate matter and gaseous pollutants in 26 cities in China. J. Environ. Sci. 2014, 26, 75–82. [Google Scholar] [CrossRef]
- Chen, Y.; Xie, S. Characteristics and formation mechanism of a heavy air pollution episode caused by biomass burning in Chengdu, southwest China. Sci. Total Environ. 2014, 473–474, 507–517. [Google Scholar] [CrossRef] [PubMed]
- Zhao, S.P.; Yu, Y.; Yin, D.Y.; He, J.J.; Qu, J.J.; Xiao, J.H. Annual and diurnal variations of gaseous and particulate pollutants in 31 provincial capital cities based on in situ air quality monitoring data from China National Environmental Monitoring Center. Environ. Int. 2016, 86, 92–106. [Google Scholar] [CrossRef] [PubMed]
- Lv, B.L.; Cai, J.; Xu, B.; Bai, Y. Understanding the rising phase of the PM2.5 concentration evolution in large China cities. Sci. Rep. 2017, 7, 46456. [Google Scholar] [CrossRef]
- Wang, Y.Q.; Zhang, X.Y.; Sun, J.Y.; Zhang, X.C.; Che, H.Z.; Li, Y. Spatial and temporal variations of the concentrations of PM10, PM2.5 and PM1.0 in China. Atmos. Chem. Phys. 2015, 15, 13585–13598. [Google Scholar] [CrossRef]
- Zhang, Y.L.; Cao, F. Fine particulate matter (PM2.5) in China at a city level. Sci. Rep. 2015, 5, 14884. [Google Scholar] [CrossRef]
- Zhang, H.; Wang, Y.; Hu, J.; Ying, Q.; Hu, X.M. Relationships between meteorological parameters and criteria air pollutants in three megacities in China. Environ. Res. 2015, 140, 242–254. [Google Scholar] [CrossRef]
- Kota, H.S.; Guo, H.; Myllyvirta, L.; Hu, J.; Sahu, S.K.; Garage, R.; Ying, Q.; Gao, A.; Dahiya, S.; Wang, Y.; et al. Year-long simulation of gaseous and air particulate in India. Atmos. Environ. 2018, 180, 244–255. [Google Scholar] [CrossRef]
- Meng, X.Y.; Wu, Y.P.; Pan, Z.H.; Wang, H.; Yin, G.; Zhao, H.G. Seasonal characteristics and particle-size distributions of particulate air pollutants in Urumqi. Int. J. Environ. Res. Pubic Health 2019, 16(3), 396. [Google Scholar] [CrossRef]
- Zhao, H.; Che, H.; Zhang, X.; Ma, Y.; Wang, Y.; Wang, H.; Wang, Y. Characteristics of visibility and particulate matter (PM) in an urban area of Northeast China. Atmos. Pollut. Res. 2013, 4(4), 427–434. [Google Scholar] [CrossRef]
- Bhaskar, B.V.; Mehta, V.M. Atmospheric particulate pollutants and their relationship with meteorology in Ahmedabad. Aerosol Air Qual. Res. 2010, 10(4), 301–315. [Google Scholar] [CrossRef]
- Cheng, Y.; He, K.B.; Du, Z.Y.; Zheng, M.; Duan, F.K.; Ma, Y.L. Humidity plays an important role in the PM2.5 pollution in Beijing. Environ. Pollut. 2015, 197, 68–75. [Google Scholar] [CrossRef] [PubMed]
- Fallmann, J.; Forkel, R.; Emeis, S. Secondary effects of urban heat island mitigation measures on air quality. Atmos. Environ. 2016, 125, 199–211. [Google Scholar] [CrossRef]
- Malek, E.; Davis, T.; Martin, R.S.; Silva, P.J. Meteorological and environmental aspects of one of the worst national air pollution episodes (January, 2004) in Logan, Cache Valley, Utah, USA. Atmos. Res. 2006, 79, 108–122. [Google Scholar] [CrossRef]
- Ulpiani, G. On the linkage between urban heat island and urban pollution island: Three-decade literature review towards a conceptual framework. Sci. Total Environ. 2020. [Google Scholar] [CrossRef]
- Romero, H.; Ihl, M.; Rivera, A.; Zalazar, P.; Azocar, P. Rapid urban growth, land-use changes and air pollution in Santiago, Chile. Atmos. Environ. 1999, 33, 4039–4047. [Google Scholar] [CrossRef]
- Feizizadeh, B.; Blaschke, T. Examining urban heat island relations to land use and air pollution: Multiple endmemeber spectral mixture analysis or thermal remote sensing. IEEE J. Sel. Top. Appl. Earth Obs. Remote Sens. 2013, 6(3), 1749–1756. [Google Scholar] [CrossRef]
- Li, X.L.; Ma, Y.J.; Wang, Y.F.; Liu, N.W.; Hong, Y. Temporal and spatial analyses of particulate matter (PM10 and PM2.5) and its relationship with meteorological parameters over an urban city in northeast China. Atmos. Res. 2017, 198, 185–193. [Google Scholar] [CrossRef]
- Rendón, A.M.; Salazar, J.F.; Palacio, C.A.; Wirth, V.; Brötz, B. Effects of urbanization on the temperature inversion breakup in a mountain valley with implications for air quality. J. Appl. Meteorol. Climatol. 2014, 53, 840–858. [Google Scholar]
- Rendón, A.M.; Salazar, J.F.; Palacio, C.A.; Wirth, V. Temperature inversion breakup with impacts on air quality in urban valleys influenced by topographic shading. J. Appl. Meteorol. Climatol. 2015, 54, 302–321. [Google Scholar]
- Ma, Y.J.; Wang, Y.F.; Liu, N.W.; Hong, Y. Analysis of inhalable particulate matter: PM10 and PM2.5 pollution levels in grouped cities of central Liaoning province. China Power Sci. Techn. 2010, 16, 9–13. [Google Scholar]
- Zhao, H.J.; Che, H.Z.; Ma, Y.J.; Xia, X.G.; Wang, Y.F.; Wang, P.; Wu, X.C. Temporal variability of the visibility, particulate matter mass concentration and aerosol optical properties over an urban site in Northeast China. Atmos. Res. 2015, 166, 204–212. [Google Scholar] [CrossRef]
- Li, L.G.; Zhou, D.P.; Wang, Y.F.; Hong, Y.; Cui, J.; Jiang, P. An observational study of atmospheric ice nuclei number concentration during three fog-haze weather periods in Shenyang, northeastern China. Atmos. Res. 2017, 188(5), 11–19. [Google Scholar] [CrossRef]
- Tao, Z.H.; Xie, S.Q.; He, W.N.; Yu, B.B.; Fang, C.; Ge, L.L.; Li, W.; Wang, Q.L.; Wang, X.Q. Pollution characteristics of PM2.5 in Taizhou, Zhejiang Province. J. Zhejiang Univ. 2017, 44(4), 464–471. [Google Scholar]
- Feng, W.F.; Zhou, J.L.; Zhang, J.S.; Shan, Y.X.; Li, Y.F.; Zhang, Y.H. PM10 and PM2.5 pollution characteristics in different ecological function zones in Xinyang. J. Northwest For. Univ. 2018, 33(2), 269–275. [Google Scholar]
- Li, L.G.; Wang, H.B.; Zhao, Z.Q.; Cai, F.; Zhao, X.L.; Xu, S.L. Characteristics of urban heat island (UHI) source and sink areas in urban region of Shenyang. In Proceedings of the 3rd International Workshop on Earth Observation and Remote Sensing Applications, EORSA, Changsha, China, 11–14 June 2014; pp. 62–66. [Google Scholar]
- Zhao, Z.; Shen, L.; Li, L.; Wang, H.; He, B.J. Local climate zone classification scheme can also indicate local-scale urban ventilation performance: An evidence-based study. Atmosphere 2020, 11(8), 776. [Google Scholar] [CrossRef]
- He, B.-J.; Zhao, Z.Q.; Shen, L.D.; Wang, H.B.; Li, L.G. An approach to examining performances of cool/hot sources in mitigating/enhancing land surface temperature under different temperature backgrounds based on landsat 8 image. Sustain. Cities Soc. 2019, 44, 416–427. [Google Scholar] [CrossRef]
- Xie, X.J.; Li, J.; Wang, Z.F. Numerical simulati on of diurnal variations of the air pollutant s in winter of Lanzhou city. Clim. Environ. Res. 2010, 15(5), 695–703. [Google Scholar]
- Zhang, X.M. Diurnal Variationand Correlation analysis of mass concentration of PM2.5 and gaseous pollutants in a district in Guangzhou. Guangzhou Environ. Sci. 2017, 32(1), 8–11. [Google Scholar]
- Shi, H.Q.; Zeng, S.L.; Li, H.N. Temporal and spatial distribution characteristics and influencing meteorological factors of air pollutants in Sichuan Basin. Acta Sci. Circumstantiae 2020, 40(3), 763–778. [Google Scholar]
- Jia, J.; Yang, P.Q.; Jiang, H.M. Daily maximum height of the atmospheric boundary layer and its response to air quality over Urumqi city. J. Meteorol. Environ. 2019, 35(2), 55–60. [Google Scholar]
- Wang, S.X.; Hao, J.X. Air quality management in China: Issues, challenges, and options. J. Environ. Sci. 2012, 24(1), 2–13. [Google Scholar] [CrossRef]
- Chen, Z.; Cai, J.; Gao, B.; Xu, B.; Dai, S.; He, B.; Xie, X. Detecting the causality influence of individual meteorological factors on local PM2.5 concentration in the Jing-Jin-Ji region. Sci. Rep. 2017, 7, 40735. [Google Scholar] [CrossRef] [PubMed]
- Luan, T.; Guo, X.L.; Guo, L.J.; Zhang, T.H. Quantifying the relationship between PM2.5 concentration, visibility and planetary boundary layer height for long-lasting haze and fog-haze mixed events in Beijing. Atmos. Chem. Phys. 2018, 18(1), 203–225. [Google Scholar] [CrossRef]
- Zhang, B.; Jiao, L.M.; Xu, G.; Zhao, S.L.; Tang, X.; Zhou, Y.; Gong, C. Influences of wind and precipitation on different-sized particulate matter concentrations (PM2.5, PM10, PM2.5–10). Meteorol. Atmos. Phys. 2018, 130(3), 383–392. [Google Scholar] [CrossRef]
- Zhang, G.; He, B.J.; Dewancker, B.J. The maintenance of prefabricated green roofs for preserving cooling performance: A field measurement in the subtropical city of Hangzhou, China. Sustain. Cities Soc. 2020, 61, 102314. [Google Scholar] [CrossRef]
- Wang, X.; Zhang, R.; Yu, W. The effects of PM2.5 concentrations and relative humidity on atmospheric visibility in Beijing. J. Geophys. Res. 2019, 124(4), 2235–2259. [Google Scholar] [CrossRef]
- Junk, J.; Helbig, A.; Luers, J. Urban climate and air quality in Trier Germany. Int. J. Biometeorol. 2003, 47, 230–238. [Google Scholar] [CrossRef]









| Number | Name (abb.) | Height (m) | Main Land use Types and Typical Feature Sites within 3 km Buffer | Ecological Functional Zone (abb.) | |||||
|---|---|---|---|---|---|---|---|---|---|
| Main Land Use Types | Commercial Block | Industrial Park | Local Universities | Concentrated Residential Blocks | Natural Reserve | ||||
| 1 | Taiyuanjie (TYS) | 10 | Buildings (69%) | √ | Residential–commercial zone (Z1) | ||||
| 2 | Xiaoheyan (XHY) | 10 | Buildings (76%) | √ | Residential zone (Z2) | ||||
| 3 | Wenhualu (WHR) | 20 | Buildings (54%) | √ | Residential zone (Z2) | ||||
| 4 | Lingdongjie (LDS) | 10 | Buildings (66%), green land (19%) | √ | Cultural zone (Z3) | ||||
| 5 | Senlinlu (SLR) | 5 | Green land (99%) | √ | Natural reserve zone (Z5) | ||||
| 6 | Donglinglu (DLR) | 10 | Buildings (26%), green land (35%) | √ | Cultural zone (Z3) | ||||
| 7 | Xinxiujie (XXS) | 20 | Buildings (53%) | √ | Industrial zone (Z4) | ||||
| 8 | Jingshenjie (JSS) | 20 | Buildings (49%), green land (15%) | √ | Residential–commercial zone (Z1) | ||||
| 9 | Hunnandonglu (HNDR) | 20 | Buildings (45%), green land (12%) | √ | Residential–commercial zone (Z1) | ||||
| 10 | Shenliaoxilu (SLXR) | 20 | Buildings (66%) | √ | Industrial zone (Z4) | ||||
| 11 | Yunonglu (YNR) | 6 | Green land (52%) | √ | Cultural zone (Z3) | ||||
| Pollutant | Year | Z1 | Z2 | Z3 | Z4 | Z5 |
|---|---|---|---|---|---|---|
| PM2.5 | 2016 | 53.37 ± 7.71 | 53.31 ± 7.90 | 51.97 ± 8.77 | 54.55 ± 9.08 | 43.71 ± 5.72 |
| 2017 | 50.64 ± 8.76 | 50.86 ± 8.28 | 46.43 ± 8.96 | 54.40 ± 11.47 | 38.57 ± 6.99 | |
| PM10 | 2016 | 90.51 ± 9.87 | 94.07 ± 13.34 | 86.65 ± 12.51 | 98.84 ± 13.06 | 70.59 ± 8.83 |
| 2017 | 86.31 ± 10.51 | 88.35 ± 12.15 | 80.27 ± 11.53 | 93.34 ± 15.18 | 64.85 ± 10.23 | |
| SO2 | 2016 | 36.11 ± 5.62 | 41.35 ± 6.05 | 34.00 ± 7.00 | 35.90 ± 9.20 | 16.83 ± 3.23 |
| 2017 | 30.98 ± 6.03 | 33.53 ± 6.88 | 29.85 ± 5.61 | 30.57 ± 7.83 | 16.64 ± 3.32 | |
| NO2 | 2016 | 41.27 ± 8.67 | 43.26 ± 8.49 | 39.26 ± 7.25 | 36.85 ± 8.71 | 24.92 ± 3.75 |
| 2017 | 42.24 ± 9.23 | 44.33 ± 8.74 | 36.88 ± 8.82 | 38.77 ± 8.59 | 26.23 ± 5.29 |
| Correlation Coefficient | PM2.5 | PM10 | SO2 | NO2 |
|---|---|---|---|---|
| Wind speed | 0.234 | 0.061 | 0.166 | 0.512 |
| Visibility | 0.675 | 0.579 | 0.475 | 0.477 |
| Relative humidity | 0.202 | 0.189 | 0.307 | 0.236 |
© 2020 by the authors. Licensee MDPI, Basel, Switzerland. This article is an open access article distributed under the terms and conditions of the Creative Commons Attribution (CC BY) license (http://creativecommons.org/licenses/by/4.0/).
Share and Cite
Li, L.; Zhao, Z.; Wang, H.; Wang, Y.; Liu, N.; Li, X.; Ma, Y. Concentrations of Four Major Air Pollutants among Ecological Functional Zones in Shenyang, Northeast China. Atmosphere 2020, 11, 1070. https://doi.org/10.3390/atmos11101070
Li L, Zhao Z, Wang H, Wang Y, Liu N, Li X, Ma Y. Concentrations of Four Major Air Pollutants among Ecological Functional Zones in Shenyang, Northeast China. Atmosphere. 2020; 11(10):1070. https://doi.org/10.3390/atmos11101070
Chicago/Turabian StyleLi, Liguang, Ziqi Zhao, Hongbo Wang, Yangfeng Wang, Ningwei Liu, Xiaolan Li, and Yanjun Ma. 2020. "Concentrations of Four Major Air Pollutants among Ecological Functional Zones in Shenyang, Northeast China" Atmosphere 11, no. 10: 1070. https://doi.org/10.3390/atmos11101070
APA StyleLi, L., Zhao, Z., Wang, H., Wang, Y., Liu, N., Li, X., & Ma, Y. (2020). Concentrations of Four Major Air Pollutants among Ecological Functional Zones in Shenyang, Northeast China. Atmosphere, 11(10), 1070. https://doi.org/10.3390/atmos11101070

