PlanetCARMA: A New Framework for Studying the Microphysics of Planetary Atmospheres
Abstract
1. Introduction
2. CARMA
3. New Framework for Planetary Application
- Define atmosphere input files (pressure-temperature);
- Access molecular weight, viscosity, thermal conductivity for atmospheric composition;
- Eddy diffusion profile, vertical wind speeds, gravity;
- Particle composition and relationships (which volatile species are present, types of particles that serve as cloud condensation nuclei, nucleation rates or contact parameters).
4. PlanetCARMA
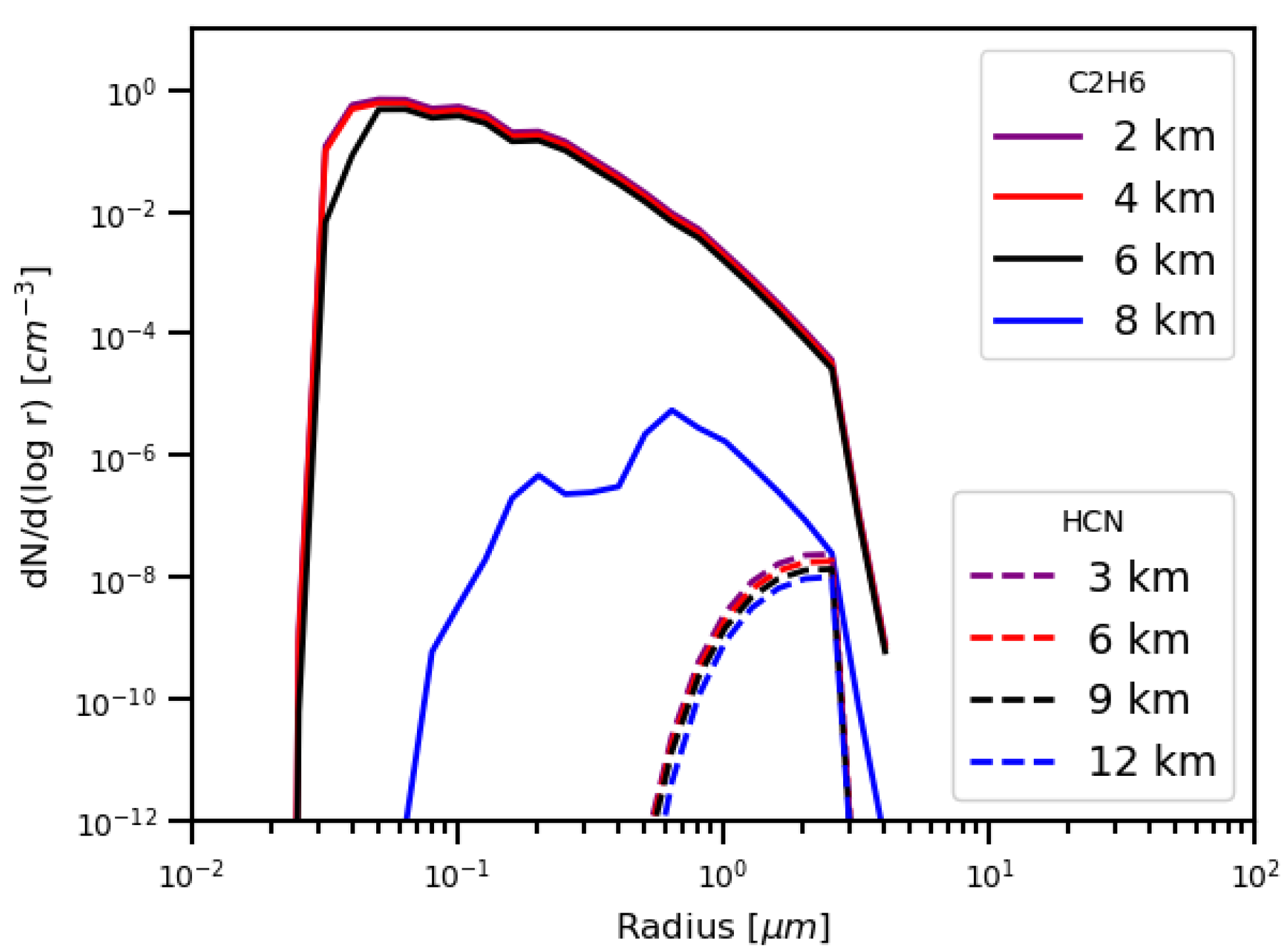
4.1. Titan
4.2. Saturn
4.3. Pluto
5. Summary
Funding
Conflicts of Interest
Abbreviation
| CARMA | Community Aerosol and Radiation Model for Atmospheres |
References
- Barth, E.L.; Toon, O.B. Microphysical modeling of ethane ice clouds in Titan’s atmosphere. Icarus 2003, 162, 94–113. [Google Scholar] [CrossRef]
- Barth, E.L.; Toon, O.B. Methane, ethane, and mixed clouds in Titan’s atmosphere: Properties derived from microphysical modeling. Icarus 2006, 182, 230–250. [Google Scholar] [CrossRef]
- McGouldrick, K.; Toon, O.B. An investigation of possible causes of the holes in the condensational Venus cloud using a microphysical cloud model with a radiative-dynamical feedback. Icarus 2007, 191, 1–24. [Google Scholar] [CrossRef]
- Colaprete, A.; Toon, O.B. Carbon dioxide clouds in an early dense Martian atmosphere. J. Geophys. Res. (Planets) 2003, 108, 5025. [Google Scholar] [CrossRef]
- Moreno, F. The structure of the stratospheric aerosol layer in the equatorial and south polar regions of Jupiter. Icarus 1996, 124, 632–644. [Google Scholar]
- Pollack, J.B.; Rages, K.; Pope, S.; Tomasko, M.; Romani, P.; Atreya, S. Nature of stratospheric haze on Uranus: Evidence for condensed hydrocarbons. J. Geophys. Res. 1987, 92, 15037–15065. [Google Scholar]
- Moses, J.; Fouchet, T.; Bezard, B.; Glandstone, G.; Lellouch, E. Photochemistry and diffusion in Jupiter’s stratosphere: Constraints from ISO observations and comparisons with other giant planets. J. Geophys. Res. 2005, 110, E08001. [Google Scholar] [CrossRef]
- Marley, M.S.; Ackerman, A.S.; Cuzzi, J.N.; Kitzmann, D. Clouds and Hazes in Exoplanet Atmospheres. In Comparative Climatology of Terrestrial Planets; Mackwell, S.J., Simon-Miller, A.A., Harder, J.W., Bullock, M.A., Eds.; Univ. Arizona Press: Tucson, AZ, USA, 2013; pp. 367–391. [Google Scholar]
- Gao, P.; Marley, M.S.; Zahnle, K.; Robinson, T.D.; Lewis, N.K. Sulfur Hazes in Giant Exoplanet Atmospheres: Impacts on Reflected Light Spectra. Astron. J. 2017, 153, 139. [Google Scholar] [CrossRef]
- Barth, E.L. Modeling survey of ices in Titan’s stratosphere. Planet. Space Sci. 2017, 137, 20–31. [Google Scholar]
- Stern, S.; Kammer, J.; Barth, E.L.; Singer, K.; Lauer, T.; The New Horizons LORRI Instrument Team; The New Horizons Ralph Instrument Team; The New Horizons Atmospheres Investigation Team. Evidence for possible clouds in Pluto’s present day atmosphere. AJ 2017, 154, 43. [Google Scholar]
- Bardeen, C.; Toon, O.; Jensen, E.; Marsh, D.; Harvey, V. Numerical simulations of the three-dimensional distribution of meteoric dust in the mesosphere and upper stratosphere. J. Geophys. Res. 2008, 113, D17202. [Google Scholar]
- Bardeen, C.; Toon, O.B.; Jensen, E.; Hervig, M.E.; Randall, C.E.; Benze, S.; Marsh, D.R.; Merkel, A. Numerical simulations of the three-dimensional distribution of polar mesospheric clouds and comparisons with Cloud Imaging and Particle Size (CIPS) experiment and the Solar Occultation For Ice Experiment (SOFIE) observations. J. Geophys. Res. 2010, 115, D10204. [Google Scholar] [CrossRef]
- Turco, R.; Hamill, P.; Toon, O.; Whitten, R.; Kiang, C. A one-dimensional model describing aerosol formation and evolution in the stratosphere: I. Physical processes and mathematical analogs. J. Atmos. Sci. 1979, 36, 699–717. [Google Scholar]
- Toon, O.B.; Turco, R.P.; Westphal, D.; Malone, R.; Liu, M.S. A multidimensional model for aerosols: Description of computational analogs. J. Atmos. Sci. 1988, 45, 2123–2143. [Google Scholar]
- Colarco, P.; Toon, O.; Reid, J.; Livinston, J.; Russell, P.; Redemann, J.; Schmid, B. Saharan dust transport to the Caribbean during PRIDE: 2. Transport, vertical profiles, and deposition in simulations of in situ and remote sensing observatons. J. Geophys. Res. 2003, 108, 8590. [Google Scholar]
- Toon, O.B.; McKay, C.P.; Griffith, C.A.; Turco, R.P. A physical model of Titan’s aerosols. Icarus 1992, 95, 24–53. [Google Scholar] [CrossRef]
- Borucki, W.J.; Levin, Z.; Whitten, R.C.; Keesee, R.G.; Capone, L.A.; Summers, A.L.; Toon, O.B.; Dubach, J. Predictions of the electrical conductivity and charging of the aerosols in Titan’s atmosphere. Icarus 1987, 72, 604–622. [Google Scholar]
- Barth, E.L.; Rafkin, S.C. Convective cloud heights as a diagnostic for methane environment on Titan. Icarus 2010, 206, 467–484. [Google Scholar] [CrossRef]
- Curtis, D.B.; Glandorf, D.L.; Toon, O.B.; Tolbert, M.A.; McKay, C.P.; Khare, B.N. Laboratory studies of butane nucleation on organic haze particles: Application to Titan’s clouds. J. Phys. Chem. A 2005, 109, 1382–1390. [Google Scholar] [CrossRef]
- Curtis, D.B.; Hatch, C.D.; Hasenkopf, C.A.; Toon, O.B.; Tolbert, M.A.; McKay, C.P.; Khare, B.N. Laboratory studies of methane and ethane adsorption onto organic particles: Application to Titan’s clouds. Icarus 2008, 195, 792–801. [Google Scholar] [CrossRef]
- Moses, J.; Rages, K.; Pollack, J. An analysis of Neptune’s stratospheric haze using high-phase-angle Voyager images. Icarus 1995, 113, 232–266. [Google Scholar] [CrossRef][Green Version]
- Moses, J.I.; Armstrong, E.S.; Fletcher, L.N.; Friedson, A.J.; Irwin, P.G.J.; Sinclair, J.A.; Hesman, B.E. Evolution of stratospheric chemistry in the Saturn storm beacon region. Icarus 2015, 261, 149–168. [Google Scholar] [CrossRef] [PubMed]
- Stansberry, J.A.; Lunine, J.I.; Tomasko, M.G. Upper limits on possible photochemical hazes on Pluto. Geophys. Res. Lett. 1989, 16, 1221–1224. [Google Scholar] [CrossRef]
- Elliot, J.L.; Dunham, E.W.; Bosh, A.S.; Slivan, S.M.; Young, L.A.; Wasserman, L.H.; Millis, R.L. Pluto’s Atmosphere. Icarus 1989, 77, 148–170. [Google Scholar] [CrossRef]
- Gao, P.; Fan, S.; Wong, M.L.; Liang, M.C.; Shia, R.L.; Kammer, J.A.; Yung, Y.L.; Summers, M.E.; Gladstone, G.R.; Young, L.A.; et al. Constraints on the microphysics of Pluto’s photochemical haze from New Horizons observations. Icarus 2017, 287, 116–123. [Google Scholar] [CrossRef]







© 2020 by the author. Licensee MDPI, Basel, Switzerland. This article is an open access article distributed under the terms and conditions of the Creative Commons Attribution (CC BY) license (http://creativecommons.org/licenses/by/4.0/).
Share and Cite
Barth, E. PlanetCARMA: A New Framework for Studying the Microphysics of Planetary Atmospheres. Atmosphere 2020, 11, 1064. https://doi.org/10.3390/atmos11101064
Barth E. PlanetCARMA: A New Framework for Studying the Microphysics of Planetary Atmospheres. Atmosphere. 2020; 11(10):1064. https://doi.org/10.3390/atmos11101064
Chicago/Turabian StyleBarth, Erika. 2020. "PlanetCARMA: A New Framework for Studying the Microphysics of Planetary Atmospheres" Atmosphere 11, no. 10: 1064. https://doi.org/10.3390/atmos11101064
APA StyleBarth, E. (2020). PlanetCARMA: A New Framework for Studying the Microphysics of Planetary Atmospheres. Atmosphere, 11(10), 1064. https://doi.org/10.3390/atmos11101064
