Drop-Size Distribution Variations Associated with Different Storm Types in Southeast Texas
Abstract
1. Introduction
2. Drop-Size Distributions in Southeast Texas
2.1. Disdrometer and Rain Gauge Measurements
2.2. Climatological DSD
2.3. DSD by Rain Rate and Season
3. Storm Types in Southeast Texas
3.1. Storm Type Classifications
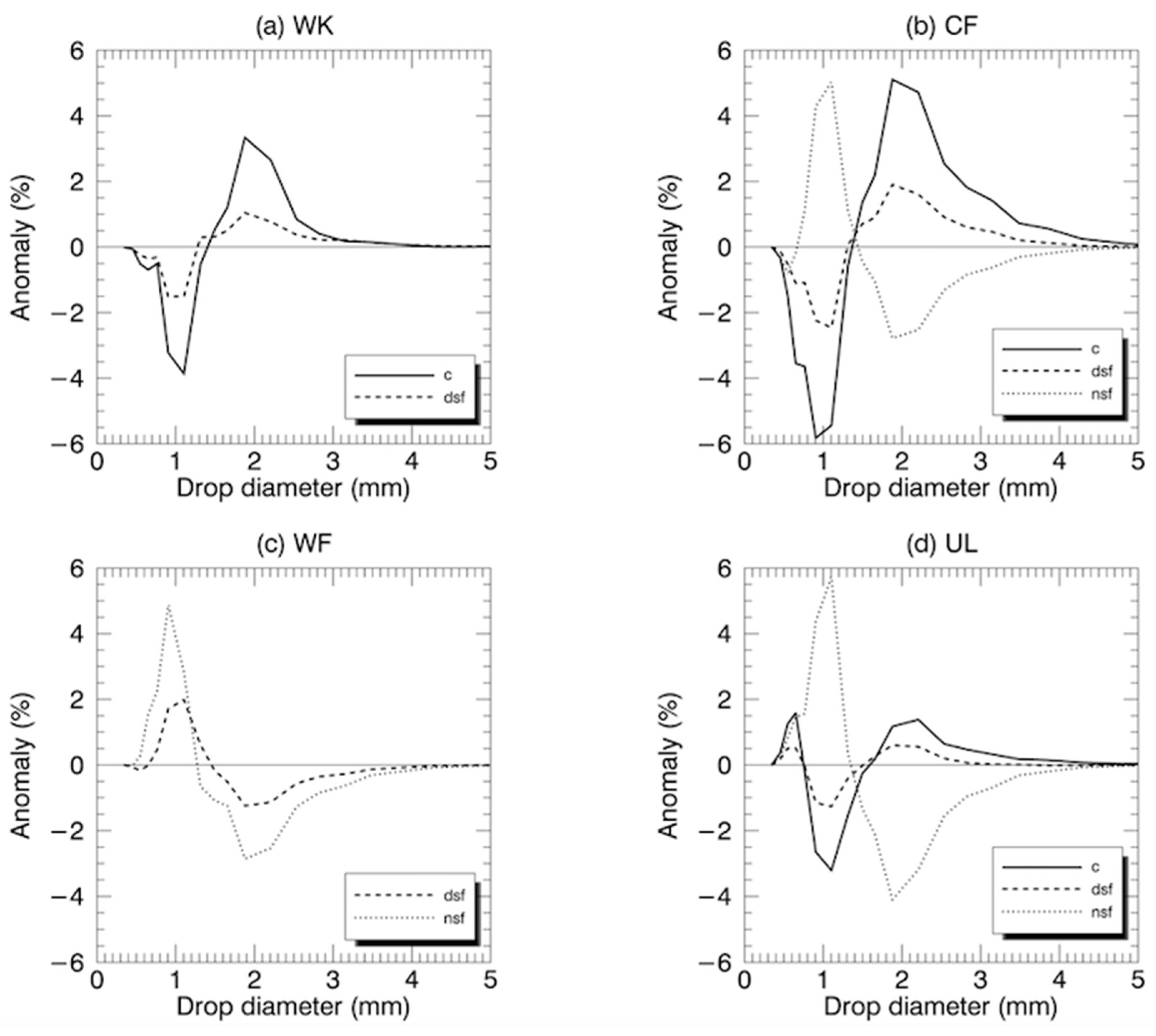
- Warm frontal storms (WF; Figure 6d–e) initiate along a surface warm front or on the cool side of an advancing warm front associated with a midlatitude cyclone. Isentropic ascent and propagating shortwave troughs may also be present, but are not a necessity.
- Upper-level disturbance storms (UL; Figure 6f–h) initiate in the presence of a stationary or propagating mid-level circulation (700–500 hPa closed low or shortwave trough) or upper-level jet streak that is not collocated with a surface front. Upper-level disturbances associated with named tropical cyclones (TC; Figure A1) Erin (2007), Edouard (2008), and Ike (2008) are excluded from this category and presented in Appendix A.
- Weakly forced storms (WK; Figure 6i–j) develop in the absence of synoptic-scale features from forcings not described above (e.g., air-mass thunderstorms, sea breeze convection).
- Deep-convective stratiform precipitation (dsf; Figure 6b,d,g,j) contains deep convection and stratiform rain that originates from a deep (>6 km), vertically oriented convective source that detrains closer to the tropopause than the melting layer. This classification also includes cellular storms that merge into MCSs.
- Non-deep convective stratiform precipitation (nsf; Figure 6c,e,h) includes predominantly stratiform precipitation that originates from synoptic-scale lifting without a deep convective source that may also include storms with slantwise or elevated convection. This category also includes cases with embedded or discrete weak shallow convective cells in all seasons that merge into larger stratiform regions.
3.2. Storm Type DSDs
3.3. Storm Type DSDs
4. Conclusions and Implications
Author Contributions
Funding
Acknowledgments
Conflicts of Interest
Appendix A. Tropical Cyclones (TCs)


References
- Hopper, L.J., Jr.; Schumacher, C. Baroclinicity influences on storm divergence and stratiform rain: Subtropical upper-level disturbances. J. Atmos. Sci. 2009, 137, 1338–1357. [Google Scholar] [CrossRef]
- Schultz, D.M.; Schumacher, P.N. The use and misuse of conditional symmetric instability. Mon. Weather Rev. 1999, 127, 2709–2732. [Google Scholar] [CrossRef]
- Houze, R.A., Jr. Stratiform precipitation in regions of convection: A meteorological paradox? Bull. Am. Meteorl. Soc. 1997, 78, 2179–2196. [Google Scholar] [CrossRef]
- Homeyer, C.; Schumacher, C.; Hopper, L.J., Jr. Assessing the applicability of the tropical convective-stratiform paradigm in the extratropics using radar divergence profiles. J. Clim. 2014, 27, 6673–6686. [Google Scholar] [CrossRef]
- Hopper, L.J., Jr.; Schumacher, C. Modeled and observed variations in storm divergence and stratiform rain production in southeastern Texas. J. Atmos. Sci. 2012, 69, 1159–1181. [Google Scholar] [CrossRef]
- Dolan, B.; Fuchs, B.; Rutledge, S.A.; Barnes, E.A. Primary modes of global drop size distributions. J. Atmos. Sci. 2018, 75, 1453–1476. [Google Scholar] [CrossRef]
- Tokay, A.; Short, D.A. Evidence from tropical raindrop spectra of the origin of rain from stratiform versus convective clouds. J. Appl. Meteorl. 1996, 35, 355–371. [Google Scholar] [CrossRef]
- Rao, T.N.; Rao, D.N.; Mohan, K.; Raghavan, S. Classification of tropical precipitating systems and associated Z-R relationships. J. Geophys. Res. 2001, 106, 17699–17711. [Google Scholar] [CrossRef]
- Maki, M.; Keenan, T.D.; Sasaki, Y.; Nakamura, K. Characteristics of the raindrop size distribution in tropical continental squall lines observed in Darwin, Australia. J. Appl. Meteorl. 2001, 40, 1393–1412. [Google Scholar] [CrossRef]
- Zhang, G.; Xue, M.; Cao, Q.; Dawson, D. Diagnosing the intercept parameter for exponential raindrop size distribution based on video disdrometer observations: Model development. J. Appl. Meteorl. Clim. 2008, 47, 2983–2992. [Google Scholar] [CrossRef]
- Waldvogel, A. The N0 jump of raindrop spectra. J. Atmos. Sci. 1974, 31, 1067–1078. [Google Scholar] [CrossRef]
- Houze, R.A., Jr.; Betts, A.K.; Biggerstaff, M.I.; Smull, B.F. Interpretation of Doppler weather-radar displays in midlatitude mesoscale convective systems. Bull. Am. Meteorl. Soc. 1989, 70, 608–619. [Google Scholar] [CrossRef]
- List, R.; McFarquhar, G.M. The role of breakup and coalescence in the three-peak equilibrium distribution of raindrops. J. Atmos. Sci. 1990, 47, 2274–2292. [Google Scholar] [CrossRef][Green Version]
- McFarquhar, G.M. A new representation of collision-induced breakup of raindrops and its implications for the shapes of raindrop-size distributions. J. Atmos. Sci. 2004, 61, 777–794. [Google Scholar] [CrossRef]
- Rutledge, S.A.; Houze, R.A., Jr. A diagnostic modeling study of the trailing stratiform region of a midlatitude squall line. J. Atmos. Sci. 1987, 44, 2640–2656. [Google Scholar] [CrossRef]
- Steiner, M.; Smith, J.A. Convective versus stratiform rainfall: An ice-microphysical and kinematic conceptual model. Atmos. Res. 1998, 48, 317–326. [Google Scholar] [CrossRef]
- Morrison, H.; Thompson, G.; Tatarskii, V. Impact of cloud microphysics on the development of trailing stratiform precipitation in a simulated squall line: Comparison of one- and two-moment schemes. Mon. Weather Rev. 2009, 137, 991–1007. [Google Scholar] [CrossRef]
- Matejka, T.J.; Houze, R.A., Jr.; Hobbs, P.V. Microphysics and dynamics of clouds associated with mesoscale rainbands in extratropical cyclones. Q. J. R. Meteorl. Soc. 1980, 106, 29–56. [Google Scholar] [CrossRef]
- Disdrometer RD-80. Available online: http://www.ictinternational.com/content/uploads/2018/07/RD-80-Operating-Instructions-January-2015.pdf (accessed on 15 November 2019).
- Joss, J.; Waldvogel, A. Ein spectrograph für niederschlagstropfen mit automatischer auswertung (A spectrograph for raindrops with automatic interpretation). Pure Appl. Geophys. 1967, 68, 240–246. [Google Scholar] [CrossRef]
- Joss, J.; Waldvogel, A. Raindrop-size Distribution and Sampling Size Errors. J. Atmos. Sci. 1969, 26, 566–569. [Google Scholar] [CrossRef]
- Steiner, M.; Smith, J.A. Reflectivity rain rate and kinetic energy flux relations based on raindrop spectra. J. Appl. Meteorl. 2000, 39, 1923–1940. [Google Scholar] [CrossRef]
- Smith, P.L., Jr.; Liu, Z.; Joss, J. A study of sampling-variability effects in raindrop-size observations. J. Appl. Meteorl. 1993, 32, 1259–1269. [Google Scholar] [CrossRef]
- Duchon, C.E.; Essenberg, G.R. Comparative rainfall observations from pit and aboveground rain gauges with and without wind shields. Water Resour. Res. 2001, 37, 3253–3263. [Google Scholar] [CrossRef]
- Tokay, A.; Wolff, D.B.; Wolff, K.R.; Bashor, P. Rain gauge and disdrometer measurements during the Keys Area Microphysics Project (KAMP). J. Atmos. Ocean. Technol. 2003, 20, 1460–1477. [Google Scholar] [CrossRef]
- Habib, E.; Krajewski, W.F.; Kruger, A. Sampling errors of tipping-bucket rain gauge measurements. J. Hydrol. Eng. 2001, 6, 159–166. [Google Scholar] [CrossRef]
- Sheppard, B.E. Effect of irregularities in the diameter classification of raindrops by the Joss-Waldvogel disdrometer. J. Atmos. Ocean. Technol. 1990, 7, 180–183. [Google Scholar] [CrossRef]
- McFarquhar, G.M.; List, R. The effect of curve fits for the disdrometer calibration on raindrop spectra, rainfall rate, and radar reflectivity. J. Appl. Meteorl. 1993, 32, 774–782. [Google Scholar] [CrossRef]
- Steiner, M.; Waldvogel, A. Peaks in raindrop size distributions. J. Atmos. Sci. 1987, 44, 3127–3133. [Google Scholar] [CrossRef]
- Hopper, L.J., Jr. Investigations in Southeast Texas Precipitating Storms: Modeled and Observed Characteristics, Model Sensitivities, and Educational Benefits. Ph.D. Thesis, Texas A&M University, College Station, TX, USA, 2011; 133p. [Google Scholar]
- Johnson, R.H.; Rickenbach, T.M.; Rutledge, S.A.; Ciesielski, P.E.; Schubert, W.H. Trimodal characteristics of tropical convection. J. Clim. 1999, 12, 2397–2418. [Google Scholar] [CrossRef]
- Schaefer, J.T. The life cycle of the dryline. J. Appl. Meteorl. 1974, 13, 444–449. [Google Scholar] [CrossRef]
- Schultz, D.M. Cold fronts with and without prefrontal wind shifts in the central United States. Mon. Weather Rev. 2004, 132, 2040–2053. [Google Scholar] [CrossRef]
- Sanders, F. Real front or baroclinic trough? Weather Forecast. 2005, 20, 647–651. [Google Scholar] [CrossRef]
- Hobbs, P.V.; Matejka, T.J.; Herzegh, P.H.; Locatelli, J.D.; Houze, R.A., Jr. The mesoscale and microscale structure and organization of clouds and precipitation in midlatitude cyclones. I: A case study of a cold front. J. Atmos. Sci. 1980, 37, 568–596. [Google Scholar] [CrossRef]
- Marshall, J.S.; Palmer, W. McK. The distribution of raindrops with size. J. Atmos. Sci. 1948, 5, 165–166. [Google Scholar]
- Fulton, R.A.; Breidenbach, J.P.; Seo, D.-J.; Miller, D.A.; O’Bannon, T. The WSR-88D rainfall algorithm. Weather Forecast. 1998, 13, 377–395. [Google Scholar] [CrossRef]
- Zhang, J.; Howard, K.H.; Langston, C.; Kaney, B.; Qi, Y.; Tang, L.; Grams, H.; Wang, Y.; Cocks, S.; Martinaitis, S.; et al. Multi-Radar Multi Sensor (MRMS) quantitative precipitation estimation: Initial operating capabilities. Bull. Am. Meteorl. Soc. 2016, 97, 621–637. [Google Scholar] [CrossRef]
- MRMS QPE: Hail Caps and Rain Rates. Available online: https://blog.nssl.noaa.gov/mrms/2018/10/hail-caps-and-rain-rates/ (accessed on 27 July 2019).
- Hopper, L.J., Jr.; Schumacher, C.; Stachnik, J.P. Implementation and assessment of undergraduate experiences in SOAP: An atmospheric science research and education program. J. Geosci. Educ. 2013, 61, 415–427. [Google Scholar]









| Class | Di (mm) | Class | Di (mm) |
|---|---|---|---|
| 1 | 0.353 | 11 | 1.879 |
| 2 | 0.455 | 12 | 2.207 |
| 3 | 0.549 | 13 | 2.536 |
| 4 | 0.651 | 14 | 2.824 |
| 5 | 0.765 | 15 | 3.145 |
| 6 | 0.906 | 16 | 3.486 |
| 7 | 1.104 | 17 | 3.859 |
| 8 | 1.314 | 18 | 4.286 |
| 9 | 1.496 | 19 | 4.789 |
| 10 | 1.656 | 20 | 5.137 |
| Storm Type | # of Storms | # of 1-min Samples | Total Rainfall (mm) | Mean Storm Rainfall (CV) (mm) | Mean Storm Duration (CV) (min) |
|---|---|---|---|---|---|
| Weak Forcing | 12 (7%) | 542 (3%) | 110.4 (4%) | 8.8 (0.91) | 45 (0.89) |
| WKc | 5 | 171 | 37.6 | 7.1 (1.33) | 34 (0.66) |
| WKdsf | 7 | 371 | 72.8 | 10.0 (0.73) | 53 (0.94) |
| Cold Frontal | 76 (47%) | 7488 (41%) | 1282.6 (50%) | 16.1 (0.84) | 99 (0.98) |
| CFc | 17 | 720 | 241 | 13.7 (0.62) | 42 (0.55) |
| CFdsf | 47 | 5106 | 889.7 | 18.0 (0.77) | 109 (0.83) |
| CFnsf | 12 | 1662 | 151.9 | 11.8 (1.43) | 139 (1.06) |
| Warm Frontal | 15 (9%) | 3672 (20%) | 340.5 (13%) | 20.4 (0.68) | 245 (0.63) |
| WFdsf | 10 | 2496 | 249.8 | 22.6 (0.68) | 250 (0.64) |
| WFnsf | 5 | 1176 | 90.7 | 15.9 (0.67) | 235 (0.68) |
| Upper Level | 56 (34%) | 5429 (30%) | 729.2 (29%) | 11.8 (0.89) | 97 (0.84) |
| ULc | 14 | 519 | 113.8 | 7.7 (0.67) | 37 (0.61) |
| ULdsf | 31 | 3218 | 487.2 | 14.4 (0.88) | 104 (0.77) |
| ULnsf | 11 | 1692 | 128.2 | 9.9 (0.76) | 154 (0.57) |
| Tropical Cyclone | 4 (3%) | 1069 (6%) | 95.0 (4%) | 22.2 (0.87) | 267 (0.76) |
| ALL STORMS | 163 | 18,200 | 2557.7 | 14.6 (0.87) | 112 (0.99) |
| Storm Type | Average R (mm h−1) | a | b | R at 40 dBZ (mm h−1) |
|---|---|---|---|---|
| Weak Forcing | 5.9 | 170 | 1.58 | 13.2 |
| WKc | 8.5 | 164 | 1.59 | 13.2 |
| WKdsf | 5.1 | 173 | 1.57 | 13.2 |
| Cold Frontal | 4.5 | 188 | 1.63 | 11.4 |
| CFc | 10.2 | 184 | 1.63 | 11.6 |
| CFdsf | 4.8 | 210 | 1.61 | 11.0 |
| CFnsf | 2.0 | 163 | 1.55 | 14.2 |
| Warm Frontal | 2.4 | 179 | 1.68 | 11.0 |
| WFdsf | 2.7 | 183 | 1.68 | 10.8 |
| WFnsf | 1.8 | 174 | 1.66 | 11.5 |
| Upper Level | 3.0 | 190 | 1.61 | 11.7 |
| ULc | 5.0 | 159 | 1.63 | 12.7 |
| ULdsf | 3.8 | 201 | 1.60 | 11.5 |
| ULnsf | 1.4 | 185 | 1.59 | 12.3 |
| Tropical Cyclone | 3.0 | 183 | 1.62 | 11.8 |
| ALL STORMS | 3.5 | 186.4 | 1.63 | 11.5 |
| NEXRAD | 300 | 1.40 | 12.2 |
| Storm Type | J-W Rainfall (mm h−1) | Climatological Z = 186R1.63 % Error | Storm Type Z-R % Error | NEXRAD Z = 300R1.4 % Error |
|---|---|---|---|---|
| Weak Forcing | 110.4 | 13.6 | −0.3 | 0.7 |
| WKc | 37.6 | 12.6 | −1.8 | −1.2 |
| WKdsf | 72.8 | 14.1 | −0.2 | 1.7 |
| Cold Frontal | 1283 | 2.9 | 3.5 | −8.3 |
| CFc | 241 | 3.8 | 3.2 | −17.9 |
| CFdsf | 889.7 | 0.7 | 4.7 | −10.4 |
| CFnsf | 151.9 | 14.4 | −1.5 | 19.7 |
| Warm Frontal | 341 | −5.6 | −2.4 | −3.3 |
| WFdsf | 249.8 | −6.6 | −1.7 | −7.1 |
| WFnsf | 90.7 | −2.9 | −4.7 | 7.0 |
| Upper Level | 729 | 1.5 | −0.2 | −2.9 |
| ULc | 113.8 | 6.0 | −3.6 | −9.4 |
| ULdsf | 487.2 | 1.1 | 1.3 | −5.1 |
| ULnsf | 128.2 | −0.8 | −4.4 | 11.5 |
| Tropical Cyclone | 95 | 3.6 | 1.3 | 8.9 |
| ALL STORMS | 2558 | 1.9% | 1.4% | −5.0% |
© 2019 by the authors. Licensee MDPI, Basel, Switzerland. This article is an open access article distributed under the terms and conditions of the Creative Commons Attribution (CC BY) license (http://creativecommons.org/licenses/by/4.0/).
Share and Cite
Hopper, L.J., Jr.; Schumacher, C.; Humes, K.; Funk, A. Drop-Size Distribution Variations Associated with Different Storm Types in Southeast Texas. Atmosphere 2020, 11, 8. https://doi.org/10.3390/atmos11010008
Hopper LJ Jr., Schumacher C, Humes K, Funk A. Drop-Size Distribution Variations Associated with Different Storm Types in Southeast Texas. Atmosphere. 2020; 11(1):8. https://doi.org/10.3390/atmos11010008
Chicago/Turabian StyleHopper, Larry J., Jr., Courtney Schumacher, Karen Humes, and Aaron Funk. 2020. "Drop-Size Distribution Variations Associated with Different Storm Types in Southeast Texas" Atmosphere 11, no. 1: 8. https://doi.org/10.3390/atmos11010008
APA StyleHopper, L. J., Jr., Schumacher, C., Humes, K., & Funk, A. (2020). Drop-Size Distribution Variations Associated with Different Storm Types in Southeast Texas. Atmosphere, 11(1), 8. https://doi.org/10.3390/atmos11010008

