Use of Low-Cost Ambient Particulate Sensors in Nablus, Palestine with Application to the Assessment of Regional Dust Storms
Abstract
1. Introduction
2. Methodology
2.1. Study Area and Site Selection
2.2. Calibration of Low-Cost PM Sensors
2.3. Back Trajectory Analysis Using NOAA-HYSPLIT
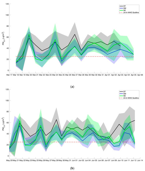
3. Results and Discussion
4. Conclusions and Recommendations
Author Contributions
Funding
Acknowledgments
Conflicts of Interest
References
- Davidson, C.I.; Phalen, R.F.; Solomon, P.A. Airborne Particulate Matter and Human Health: A Review. Aerosol Sci. Technol. 2005, 39, 737–749. [Google Scholar] [CrossRef]
- Lippmann, M.; Yeates, D.B.; Albert, R.E. Deposition and clearance of inhaled particles. Br. J. Ind. Med. 1980, 37, 337–362. [Google Scholar] [PubMed]
- Lelieveld, J.; Evans, J.S.; Fnais, M.; Giannadaki, D.; Pozzer, A. The contribution of outdoor air pollution sources to premature mortality on a global scale. Nature 2015, 525, 367–371. [Google Scholar] [CrossRef] [PubMed]
- Li, N.; Hao, M.; Phalen, R.F.; Hinds, W.C.; Nel, A.E. Particulate air pollutants and asthma: A paradigm for the role of oxidative stress in PM-induced adverse health effects. Clin. Immunol. 2003, 109, 250–265. [Google Scholar] [CrossRef]
- Kim, K.-H.; Kabir, E.; Kabir, S. A review on the human health impact of airborne particulate matter. Environ. Int. 2015, 74, 136–143. [Google Scholar] [CrossRef]
- Anderson, J.O.; Thundiyil, J.G.; Stolbach, A. Clearing the Air: A Review of the Effects of Particulate Matter Air Pollution on Human Health. J. Med. Toxicol. 2012, 8, 166–175. [Google Scholar] [CrossRef] [PubMed]
- Krzyzanowski, M.; Cohen, A. Update of WHO air quality guidelines. Air Qual. Atmos. Heal. 2008, 1, 7–13. [Google Scholar] [CrossRef]
- PCBS. Preliminary Results of the Population, Housing and Establishments Census, 2017. 2018. Available online: http://www.pcbs.gov.ps/portals/_pcbs/PressRelease/Press_En_Preliminary_Results_Report-en-with-tables.pdf (accessed on 7 September 2019).
- Jodeh, S.; Hasan, A.R.; Amarah, J.; Judeh, F.; Salghi, R.; Lgaz, H.; Jodeh, W. Indoor and outdoor air quality analysis for the city of Nablus in Palestine: Seasonal trends of PM10, PM5.0, PM2.5 and PM1.0 of residential homes. Air Qual. Atmos. Heal. 2017, 11, 229–237. [Google Scholar] [CrossRef]
- Abdeen, Z.; Qasrawi, R.; Heo, J.; Wu, B.; Shpund, J.; Vanger, A.; Sharf, G.; Moise, T.; Brenner, S.; Nassar, K.; et al. Spatial and temporal variation in fine particulate matter mass and chemical composition: The middle east consortium for aerosol research study. Sci. World J. 2014, 2014, 878704. [Google Scholar] [CrossRef]
- Sayara, T.; Hamdan, Y.; Basheer-salimia, R. Impact of Air Pollution from Quarrying and Stone Cutting Industries on Agriculture and Plant Biodiversity. Resour. Environ. 2016, 6, 122–126. [Google Scholar]
- Kutiel, H.; Furman, H. Dust Storms in the Middle East: Sources of Origin and their Temporal Characteristics. Indoor Built Environ. 2003, 12, 419–426. [Google Scholar]
- Middleton, N.J. Desert dust hazards: A global review. Aeolian Res. 2017, 24, 53–63. [Google Scholar] [CrossRef]
- Krasnov, H.; Katra, I.; Koutrakis, P.; Friger, M.D. Contribution of dust storms to PM10 levels in an urban arid environment. J. Air Waste Manag. Assoc. 2014, 64, 89–94. [Google Scholar] [CrossRef] [PubMed]
- Remoundaki, E.; Bourliva, A.; Kokkalis, P.; Mamouri, R.E.; Papayannis, A.; Grigoratos, T.; Samara, C.; Tsezos, M. PM10 composition during an intense Saharan dust transport event over Athens (Greece). Sci. Total Environ. 2011, 409, 4361–4372. [Google Scholar] [CrossRef] [PubMed]
- Torfstein, A.; Teutsch, N.; Tirosh, O.; Shaked, Y.; Rivlin, T.; Zipori, A.; Stein, M.; Lazar, B.; Erel, Y. Chemical characterization of atmospheric dust from a weekly time series in the north Red Sea between 2006 and 2010. Geochim. Cosmochim. Acta 2017, 211, 373–393. [Google Scholar] [CrossRef]
- GADM, Maps and Data. Available online: https://gadm.org (accessed on 7 September 2019).
- Ministry of Local Governance. GeoMOLG. Available online: geomolg.ps (accessed on 7 September 2019).
- Castell, N.; Dauge, F.R.; Schneider, P.; Vogt, M.; Lerner, U.; Fishbain, B.; Broday, D.; Bartonova, A. Can commercial low-cost sensor platforms contribute to air quality monitoring and exposure estimates? Environ. Int. 2017, 99, 293–302. [Google Scholar] [CrossRef] [PubMed]
- Thompson, J.E. Crowd-sourced air quality studies: A review of the literature & portable sensors. Trends Environ. Anal. Chem. 2016, 11, 23–34. [Google Scholar]
- Schneider, P.; Castell, N.; Vogt, M.; Dauge, F.R.; Lahoz, W.A.; Bartonova, A. Mapping urban air quality in near real-time using observations from low-cost sensors and model information. Environ. Int. 2017, 106, 234–247. [Google Scholar] [CrossRef] [PubMed]
- Holstius, D.M.; Pillarisetti, A.; Smith, K.R.; Seto, E. Field calibrations of a low-cost aerosol sensor at a regulatory monitoring site in California. Atmos. Meas. Tech. Discuss. 2014, 7, 605–632. [Google Scholar] [CrossRef]
- Spinelle, L.; Gerboles, M.; Villani, M.G.; Aleixandre, M.; Bonavitacola, F. Field calibration of a cluster of low-cost available sensors for air quality monitoring. Part A: Ozone and nitrogen dioxide. Sens. Actuators B Chem. 2015, 215, 249–257. [Google Scholar] [CrossRef]
- Mead, M.I.; Popoola, O.A.M.; Stewart, G.B.; Landshoff, P.; Calleja, M.; Hayes, M.; Baldovi, J.J.; McLeod, M.W.; Hodgson, T.F.; Dicks, J.; et al. The use of electrochemical sensors for monitoring urban air quality in low-cost, high-density networks. Atmos. Environ. 2013, 70, 186–203. [Google Scholar] [CrossRef]
- Draxler, R.R.; Hess, G.D. An Overview of the HYSPLIT_4 Modelling System for Trajectories, Dispersion, and Deposition. Aust. Meteorol. Mag. 1998, 47, 295–308. [Google Scholar]
- Stein, A.F.; Draxler, R.R.; Rolph, G.D.; Stunder, B.J.B.; Cohen, M.D.; Ngan, F. NOAA’s HYSPLIT Atmospheric Transport and Dispersion Modeling System. Bull. Am. Meteorol. Soc. 2015, 96, 2059–2077. [Google Scholar] [CrossRef]
- Alam, K.; Qureshi, S.; Blaschke, T. Monitoring spatio-temporal aerosol patterns over Pakistan based on MODIS, TOMS and MISR satellite data and a HYSPLIT model. Atmos. Environ. 2011, 45, 4641–4651. [Google Scholar] [CrossRef]
- Wang, F.; Chen, D.S.; Cheng, S.Y.; Li, J.B.; Li, M.J.; Ren, Z.H. Identification of regional atmospheric PM10 transport pathways using HYSPLIT, MM5-CMAQ and synoptic pressure pattern analysis. Environ. Model. Softw. 2010, 25, 927–934. [Google Scholar] [CrossRef]
- Palestinian Meteorological Department, PMD. Available online: http://pmd.ps (accessed on 7 September 2019).
- Kuula, J.; Mäkelä, T.; Hillamo, R.; Timonen, H. Response characterization of an inexpensive aerosol sensor. Sensors (Switzerland) 2017, 17, 12. [Google Scholar]
- Kelly, K.E.; Whitaker, J.; Petty, A.; Widmer, C.; Dybwad, A.; Sleeth, D.; Martin, R.; Butterfield, A. Ambient and laboratory evaluation of a low-cost particulate matter sensor. Environ. Pollut. 2017, 221, 491–500. [Google Scholar] [CrossRef] [PubMed]
- The Word Air Quality Project. Air Quality Monitoring Devices & Sensor Research. Available online: https://aqicn.org/sensor/ (accessed on 7 September 2019).
- Sayahi, T.; Butterfield, A.; Kelly, K.E. Long-term field evaluation of the Plantower PMS low-cost particulate matter sensors. Environ. Pollut. 2019, 245, 932–940. [Google Scholar] [CrossRef] [PubMed]
- Becnel, T.; Sayahi, T.; Le, K.; Goffin, P.; Butterfield, T.; Kelly, K.; Gaillardon, P.E. A distributed low-cost pollution monitoring platform. Internet Things J. 2018. [Google Scholar]
- AQ-SPEC. Field Evaluation Purple Air PM Sensor Background. 2017. Available online: http://www.aqmd.gov/aq-spec (accessed on 7 September 2019).
- Bulot, F.M.; Johnston, S.J.; Basford, P.J.; Easton, N.H.; Apetroaie-Cristea, M.; Foster, G.L.; Morris, A.K.; Cox, S.J.; Loxham, M. Long-term field comparison of multiple low-cost particulate matter sensors in an outdoor urban environment. Sci. Rep. 2019, 9, 1–13. [Google Scholar] [CrossRef] [PubMed]
- Williams, R.; Vallano, D.; Polidori, A.; Garvey, S. Spatial and Temporal Trends of Air Pollutants in the South Coast Basin Using Low Cost Sensors; U.S. Environmental Protection Agency: Washington, DC, USA, 2018; p. 9.
- Jayaratne, R.; Liu, X.; Thai, P.; Dunbabin, M.; Morawska, L. The influence of humidity on the performance of a low-cost air particle mass sensor and the effect of atmospheric fog. Atmos. Meas. Tech. 2018, 11, 4883–4890. [Google Scholar] [CrossRef]
- Jaafari, J.; Naddafi, K.; Yunesian, M.; Nabizadeh, R.; Hassanvand, M.S.; Ghozikali, M.G.; Nazmara, S.; Shamsollahi, H.R.; Yaghmaeian, K. Study of PM10, PM2.5, and PM1 levels in during dust storms and local air pollution events in urban and rural sites in Tehran. Hum. Ecol. Risk Assess. 2018, 24, 482–493. [Google Scholar] [CrossRef]
- Mahowald, N.; Albani, S.; Kok, J.F.; Engelstaeder, S.; Scanza, R.; Ward, D.S.; Flanner, M.G. The size distribution of desert dust aerosols and its impact on the Earth system. Aeolian Res. 2014, 15, 53–71. [Google Scholar] [CrossRef]
- Weinzierl, B.; Ansmann, A.; Prospero, J.M.; Althausen, D.; Benker, N.; Chouza, F.; Dollner, M.; Farrell, D.; Fomba, W.K.; Freudenthaler, V.; et al. The Saharan aerosol long-range transport and aerosol-cloud-interaction experiment: Overview and selected highlights. Bull. Am. Meteorol. Soc. 2017, 98, 1427–1451. [Google Scholar] [CrossRef]
- EuroWEATHER. Tel Aviv-BenGurion, Observed Conditions, Hourly Data. Available online: http://www.eurometeo.com/english/condition/city_LLBG/archive_select/meteo_Tel Aviv-Ben Gurion (accessed on 7 September 2019).










| Location | March–April | |||||||
| PM2.5 | PM10 | |||||||
| Period Average | Max. Value + (Date/Time) | Min. Value + (Date/Time) | n/N $ | Period Average | Max. Value + (Date/Time) | Min. Value + (Date/Time) | n/N $ | |
| DT | 45.2 ± 3.5 * | 96.5 24 Mar/4am | 3.3 19 Mar/6am | 16/17 | 59.9 ± 4.1 | 136.1 24 Mar/4am | 17.6 18 Mar/11am | 11/17 |
| SW | 33.0 ± 3.1 | 108.9 24 Mar/5am | 0.0 22 Mar/2am | 15/17 | 43.6 ± 3.5 | 135.7 24 Mar/5am | 16.9 25 Mar/10am | 3/19 |
| NE | 36.8 ± 3.6 | 121.1 24 Mar/5am | 3.0 22 Mar /1am | 14/17 | 43.6 ± 3.8 | 138.6 24 Mar/5am | 11.7 26 Mar/2am | 5/19 |
| Location | May–June | |||||||
| PM2.5 | PM10 | |||||||
| Period Average | Max. Value | Min. Value | n/N $ | Period Average | Max. Value | Min. Value | n/N $ | |
| DT | 45.4 ± 3.6 | 133.3 26 May/8am | 5.5 20 May/4pm | 24/25 | 58.5 ± 4.3 | 169.5 29 May/4am | 17.8 27 May/6am | 16/25 |
| SW | 32.1 ± 3.2 | 102.2 26 May/2am | 0.2 24 May/12pm | 18/25 | 42.3 ± 3.5 | 133.4 26 May/2am | 14.5 23 May/5am | 4/25 |
| NE | 36.5 ± 3.6 | 122.3 26 May/4am | 3.1 24 May/12am | 19/25 | 42.7 ± 3.8 | 139.3 26 May/4am | 11.6 28 May/1am | 7/25 |
© 2019 by the authors. Licensee MDPI, Basel, Switzerland. This article is an open access article distributed under the terms and conditions of the Creative Commons Attribution (CC BY) license (http://creativecommons.org/licenses/by/4.0/).
Share and Cite
Khader, A.; Martin, R.S. Use of Low-Cost Ambient Particulate Sensors in Nablus, Palestine with Application to the Assessment of Regional Dust Storms. Atmosphere 2019, 10, 539. https://doi.org/10.3390/atmos10090539
Khader A, Martin RS. Use of Low-Cost Ambient Particulate Sensors in Nablus, Palestine with Application to the Assessment of Regional Dust Storms. Atmosphere. 2019; 10(9):539. https://doi.org/10.3390/atmos10090539
Chicago/Turabian StyleKhader, Abdelhaleem, and Randal S. Martin. 2019. "Use of Low-Cost Ambient Particulate Sensors in Nablus, Palestine with Application to the Assessment of Regional Dust Storms" Atmosphere 10, no. 9: 539. https://doi.org/10.3390/atmos10090539
APA StyleKhader, A., & Martin, R. S. (2019). Use of Low-Cost Ambient Particulate Sensors in Nablus, Palestine with Application to the Assessment of Regional Dust Storms. Atmosphere, 10(9), 539. https://doi.org/10.3390/atmos10090539

