Towards Unifying the Planetary Boundary Layer and Shallow Convection in CAM5 with the Eddy-Diffusivity/Mass-Flux Approach
Abstract
1. Introduction
2. Stochastic Multi-Plume EDMF Scheme
2.1. Mass-Flux Parameterization
2.2. Eddy-Diffusivity Parameterization
3. Setup of the Experiments
3.1. Configuration Overview
3.2. Reference Models
4. Results: Steady-State Marine Convection
4.1. Thermodynamic Profiles
4.2. Thermodynamic Subgrid Vertical Flux Profiles
4.3. Updraft Properties
5. Results: Diurnal Cycle of Continental Convection
5.1. Convective Layer Evolution
5.2. Thermodynamic Profiles
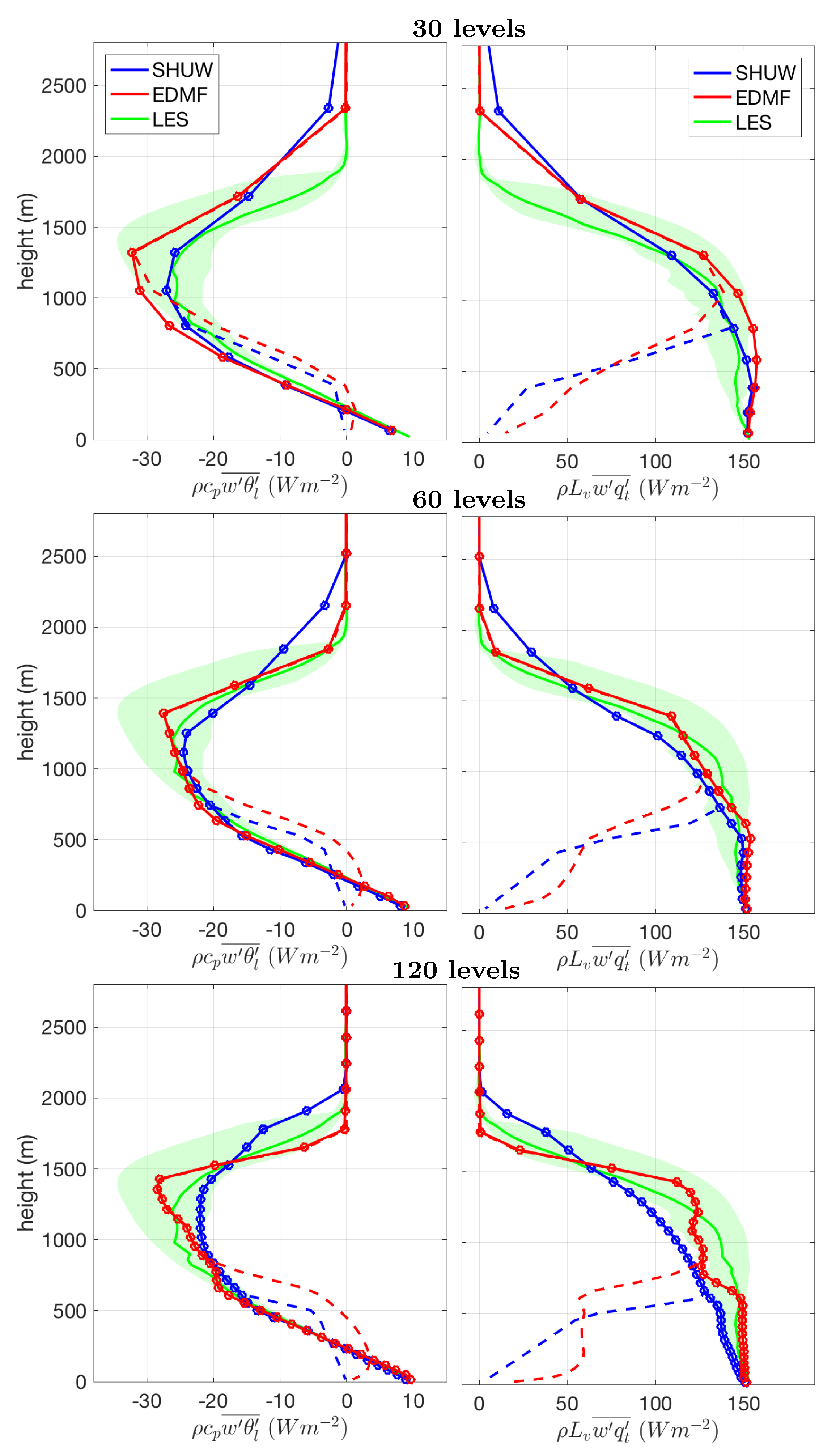
5.3. Parameterized Fluxes of Heat and Moisture
5.4. Updraft Properties
6. Summary and Conclusions
Author Contributions
Funding
Acknowledgments
Conflicts of Interest
Appendix A. Details of the EDMF Implementation in CAM5
References
- Guichard, F.; Petch, J.C.; Redelsperger, J.L.; Bechtold, P.; Chaboureau, J.P.; Cheinet, S.; Grabowski, W.; Grenier, H.; Jones, C.G.; Köhler, M.; et al. Modelling the diurnal cycle of deep precipitating convection over land with cloud-resolving models and single-column models. Q. J. R. Met. Soc. 2004, 130, 3139–3172. [Google Scholar] [CrossRef]
- Teixeira, J.; Cardoso, S.; Bonazzola, M.; Cole, J.; DelGenio, A.; DeMott, C.; Franklin, C.; Hannay, C.; Jakob, C.; Jiao, Y.; et al. Tropical and Subtropical Cloud Transitions in Weather and Climate Prediction Models: The GCSS/WGNE Pacific Cross-Section Intercomparison (GPCI). J. Clim. 2011, 24, 5223–5256. [Google Scholar] [CrossRef]
- Riehl, H.; Malkus, J.S. On the heat balance in the equatorial trough zone. Geophysica 1958, 6, 503–538. [Google Scholar]
- Plant, R.S.; Yano, J.I. Parameterization of Atmospheric Convection; Imperial College Press: London, UK, 2015. [Google Scholar]
- Arakawa, A.; Schubert, W.H. Interaction of a Cumulus Cloud Ensemble with the Large-Scale Environment, Part I. J. Atmos. Sci. 1974, 31, 674–701. [Google Scholar] [CrossRef]
- Tiedtke, M. A Comprehensive Mass Flux Scheme for Cumulus Parameterization in Large-Scale Models. Mon. Weather Rev. 1989, 117, 1779–1800. [Google Scholar] [CrossRef]
- Bechtold, P.; Bazile, E.; Guichard, F.; Mascart, P.; Richard, E. A mass-flux convection scheme for regional and global models. Q. J. R. Met. Soc. 2001, 127, 869–886. [Google Scholar] [CrossRef]
- Siebesma, A.P.; Teixeira, J. An Advection–Diffusion Scheme for the Convective Boundary Layer: Description and 1D Results. In Proceedings of the American Meteorological Society 14th Symposium on Boundary Layer and Turbulence, Aspen, CO, USA, 7–11 August 2000; pp. 133–136. [Google Scholar]
- Teixeira, J.; Siebesma, A. A Mass Flux/K-Diffusion Approach to the Parameterization of the Convective Boundary Layer: Global Model Results. In Proceedings of the American Meteorological Society 14th Symposium on Boundary Layers and Turbulence, Aspen, CO, USA, 7–11 August 2000; pp. 231–234. [Google Scholar]
- Angevine, W.M. An Integrated Turbulence Scheme for Boundary Layers with Shallow Cumulus Applied to Pollutant Transport. J. Appl. Meteorol. 2005, 44, 1436–1452. [Google Scholar] [CrossRef]
- Siebesma, P.A.; Soares, P.M.M.; Teixeira, J. A combined eddy-diffusivity mass-flux approach for the convective boundary layer. J. Atmos. Sci. 2007, 64, 1230–1248. [Google Scholar] [CrossRef]
- Angevine, W.M. Performance of an Eddy Diffusivity–Mass Flux Scheme for Shallow Cumulus Boundary Layers. Mon. Weather Rev. 2010, 138, 2895–2912. [Google Scholar] [CrossRef]
- Suselj, K.; Teixeira, J.; Chung, D. A Unified Model for Moist Convective Boundary Layers Based on a Stochastic Eddy-Diffusivity/Mass-Flux Parameterization. J. Atmos. Sci. 2013, 70, 1929–1953. [Google Scholar] [CrossRef]
- Neggers, R.A.J.; Siebesma, A.P.; Lenderink, G.; Holtslag, A.A.M. An Evaluation of Mass Flux Closures for Diurnal Cycles of Shallow Cumulus. Mon. Weather Rev. 2004, 132, 2525–2538. [Google Scholar] [CrossRef]
- Teixeira, J. Boundary Layer Clouds in Large Scale Atmospheric Models: Cloud Schemes and Numerical Aspects; ECMWF: Reading, UK, 2000; 190p. [Google Scholar]
- Park, S. A Unified Convection Scheme (UNICON). Part II: Simulation. J. Atmos. Sci. 2014, 71, 3931–3973. [Google Scholar] [CrossRef]
- Bogenschutz, P.A.; Gettelman, A.; Morrison, H.; Larson, V.E.; Craig, C.; Schanen, D.P. Higher-Order Turbulence Closure and Its Impact on Climate Simulations in the Community Atmosphere Model. J. Clim. 2013, 26, 9655–9676. [Google Scholar] [CrossRef]
- Suselj, K.; Kurowski, M.J.; Teixeira, J. On the Factors Controlling the Development of Shallow Convection in Eddy-Diffusivity/Mass-Flux Models. J. Atmos. Sci. 2019, 76, 433–456. [Google Scholar] [CrossRef]
- Cheinet, S. A Multiple Mass Flux Parameterization for the Surface-Generated Convection. Part II: Cloudy Cores. J. Atmos. Sci. 2004, 61, 1093–1113. [Google Scholar] [CrossRef]
- Kurowski, M.J.; Suselj, K.; Grabowski, W.W. Is Shallow Convection Sensitive to Environmental Heterogeneities? Geophys. Res. Lett. 2019, 46, 1785–1793. [Google Scholar] [CrossRef]
- Simpson, J.; Wiggert, V. Models of precipitating cumulus towers. Mon. Weather Rev. 1969, 97, 471–489. [Google Scholar] [CrossRef]
- Romps, D. On the equivalence of two schemes for convective momentum transport. J. Atmos. Sci. 2012, 69, 3491–3500. [Google Scholar] [CrossRef]
- De Roode, S.R.; Siebesma, A.P.; Jonker, H.J.J.; de Voogd, Y. Parameterization of the Vertical Velocity Equation for Shallow Cumulus Clouds. J. Atmos. Sci. 2012, 140, 2424–2436. [Google Scholar] [CrossRef]
- Romps, D.M.; Kuang, Z. Nature versus Nurture in Shallow Convection. J. Atmos. Sci. 2010, 67, 1655–1666. [Google Scholar] [CrossRef]
- Soares, P.M.M.; Miranda, P.M.A.; Siebesma, A.P.; Teixeira, J. An eddy-diffusivity/mass-flux parametrization for dry and shallow cumulus convection. Q. J. R. Meteorol. Soc. 2004, 130, 3365–3383. [Google Scholar] [CrossRef]
- Del Genio, A.D.; Wu, J. The Role of Entrainment in the Diurnal Cycle of Continental Convection. J. Clim. 2010, 23, 2722–2738. [Google Scholar] [CrossRef]
- Holstag, A.A.M.; Boville, B.A. Local versus nonlocal boundary layer diffusion in a global climate model. J. Clim. 1993, 6, 1825–1842. [Google Scholar]
- Deardorff, J.W. Stratocumulus-capped mixed layer derived from a three-dimensional model. Bound.-Layer Meteor. 1980, 18, 495–527. [Google Scholar] [CrossRef]
- Monin, A.S.; Obukhov, A.M.F. Basic laws of turbulent mixing in the surface layer of the atmosphere. Contrib. Geophys. Inst. Acad. Sci. USSR 1954, 151, 163–187. [Google Scholar]
- Siebesma, A.P.; Bretherton, C.S.; Brown, A.; Chlond, A.; Cuxart, J.; Duynkerke, P.G.; Jiang, H.; Khairoutdinov, M.; Lewellen, D.; Moeng, C.H.; et al. A Large Eddy Simulation Intercomparison Study of Shallow Cumulus Convection. J. Atmos. Sci. 2003, 60, 1201–1219. [Google Scholar] [CrossRef]
- Brown, A.R.; Cederwall, R.T.; Chlond, A.; Duynkerke, P.G.; Golaz, J.C.; Khairoutdinov, M.; Lewellen, D.C.; Lock, A.P.; MacVean, M.K.; Moeng, C.H.; et al. Large-eddy simulation of the diurnal cycle of shallow cumulus convection over land. Q. J. R. Met. Soc. 2002, 128, 1075–1093. [Google Scholar] [CrossRef]
- Matheou, G.; Chung, D.; Nuijens, L.; Stevens, B.; Teixeira, J. On the Fidelity of Large-Eddy Simulation of Shallow Precipitating Cumulus Convection. Mon. Weather Rev. 2011, 139, 2918–2939. [Google Scholar] [CrossRef]
- Park, S.; Bretherton, C.S. The University of Washington Shallow Convection and Moist Turbulence Schemes and Their Impact on Climate Simulations with the Community Atmosphere Model. J. Clim. 2009, 22, 3449–3469. [Google Scholar] [CrossRef]
- Bretherton, C.S.; Park, S. A New Moist Turbulence Parameterization in the Community Atmosphere Model. J. Clim. 2009, 22, 3422–3448. [Google Scholar] [CrossRef]
- Hohenegger, C.; Bretherton, C.S. Simulating deep convection with a shallow convection scheme. Atmos. Chem. Phys. 2011, 11, 10389–10406. [Google Scholar] [CrossRef]
- Suselj, K.; Hogan, T.F.; Teixeira, J. Implementation of a Stochastic Eddy-Diffusivity/Mass Flux Parameterization Into the Navy Global Environmental Model. Weather Forecast. 2014, 29, 1374–1390. [Google Scholar] [CrossRef]
- Couvreux, F.; Hourdin, F.; Rio, C. Resolved versus parametrized boundary-layer plumes. Part I: A parametrization- oriented conditional sampling in large-eddy simulations. Bound.-Layer Meteor. 2010, 134, 441–458. [Google Scholar] [CrossRef]
- Kurowski, M.J.; Suselj, K.; Grabowski, W.W.; Teixeira, J. Shallow-to-Deep Transition of Continental Moist Convection: Cold Pools, Surface Fluxes, and Mesoscale Organization. J. Atmos. Sci. 2018, 75, 4071–4090. [Google Scholar] [CrossRef]
- Suselj, K.; Kurowski, M.J.; Teixeira, J. A Unified Eddy-Diffusivity/Mass-Flux Parameterization for Modeling Atmospheric Convection. J. Atmos. Sci. 2019, 76, 2505–2537. [Google Scholar] [CrossRef]
- Neggers, R.A.J. Exploring bin-macrophysics models for moist convective transport and clouds. J. Adv. Model. Earth Syst. 2015, 7, 2079–2104. [Google Scholar] [CrossRef]
- Kurowski, M.J.; Teixeira, J. A Scale-Adaptive Turbulent Kinetic Energy Closure for the Dry Convective Boundary Layer. J. Atmos. Sci. 2018, 75, 675–690. [Google Scholar] [CrossRef]
- Neale, R.B.; Richter, J.H.; Conley, A.J.; Park, S.; Lauritzen, P.H.; Gettelman, A.; Williamson, D.L.; Rasch, P.J.; Vavrus, S.J.; Taylor, M.A.; et al. Description of the NCAR Community Atmosphere Model (CAM 5.0); NCAR Technical Note, NCAR/TN-486; NCAR: Boulder, CO, USA, 2012. [Google Scholar]










© 2019 by the authors. Licensee MDPI, Basel, Switzerland. This article is an open access article distributed under the terms and conditions of the Creative Commons Attribution (CC BY) license (http://creativecommons.org/licenses/by/4.0/).
Share and Cite
J. Kurowski, M.; Thrastarson, H.T.; Suselj, K.; Teixeira, J. Towards Unifying the Planetary Boundary Layer and Shallow Convection in CAM5 with the Eddy-Diffusivity/Mass-Flux Approach. Atmosphere 2019, 10, 484. https://doi.org/10.3390/atmos10090484
J. Kurowski M, Thrastarson HT, Suselj K, Teixeira J. Towards Unifying the Planetary Boundary Layer and Shallow Convection in CAM5 with the Eddy-Diffusivity/Mass-Flux Approach. Atmosphere. 2019; 10(9):484. https://doi.org/10.3390/atmos10090484
Chicago/Turabian StyleJ. Kurowski, Marcin, Heidar Th. Thrastarson, Kay Suselj, and Joao Teixeira. 2019. "Towards Unifying the Planetary Boundary Layer and Shallow Convection in CAM5 with the Eddy-Diffusivity/Mass-Flux Approach" Atmosphere 10, no. 9: 484. https://doi.org/10.3390/atmos10090484
APA StyleJ. Kurowski, M., Thrastarson, H. T., Suselj, K., & Teixeira, J. (2019). Towards Unifying the Planetary Boundary Layer and Shallow Convection in CAM5 with the Eddy-Diffusivity/Mass-Flux Approach. Atmosphere, 10(9), 484. https://doi.org/10.3390/atmos10090484

