Air Quality in Ningbo and Transport Trajectory Characteristics of Primary Pollutants in Autumn and Winter
Abstract
1. Introduction
2. Data and Methods
3. Air Quality Characteristics in Ningbo from 2013 to 2016
4. Clustering Analysis and Statistical Characteristics of Backward Trajectories
4.1. Clustering Analysis of Backward Trajectories for Moderate-and-Above Pollution
4.2. Atmospheric Stratification and Meteorological Characteristics of Pollution Types
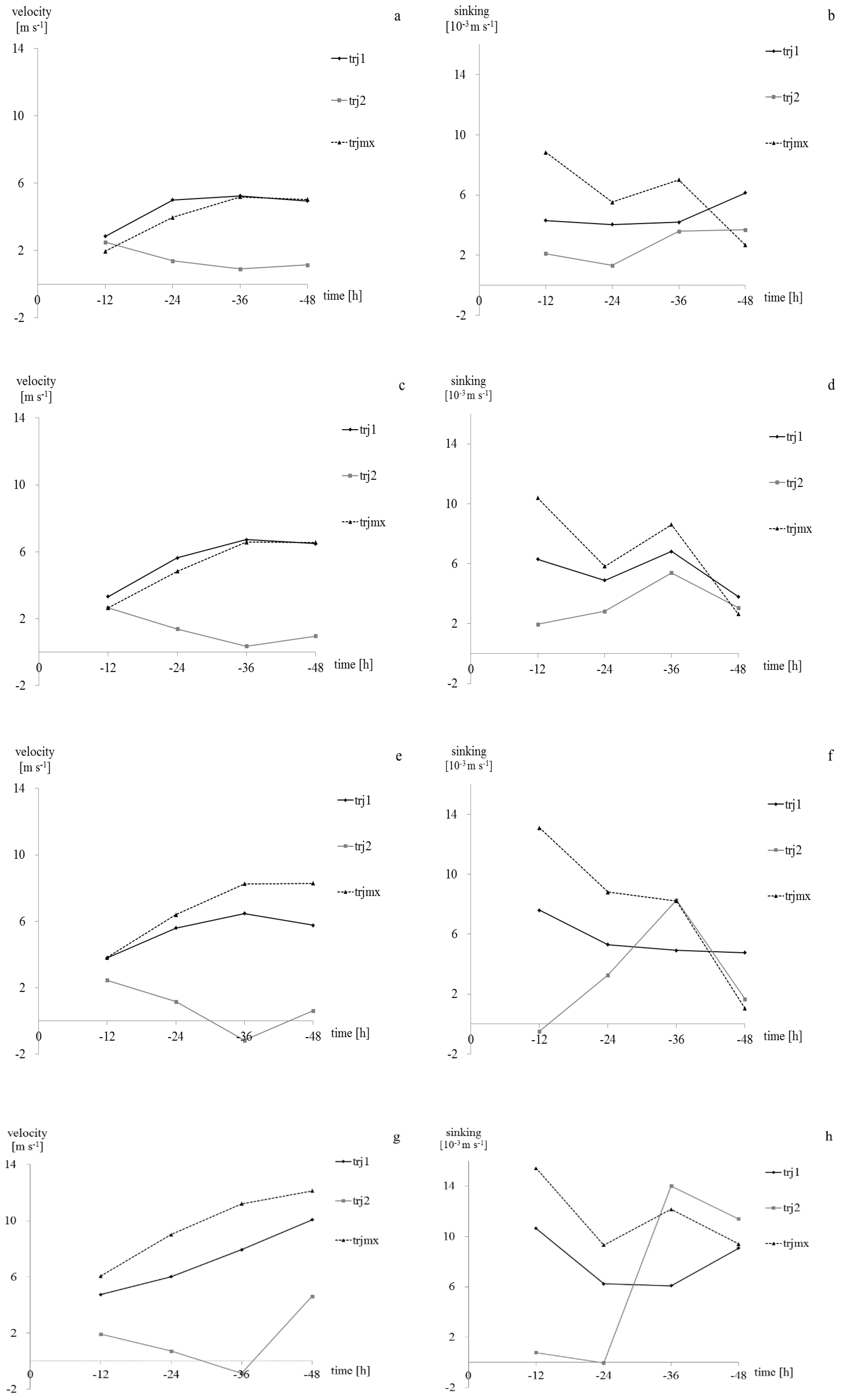
4.3. Analysis of Characteristics in Typical Cases of Different Pollution Types
5. Conclusions
- The percentage of excellent and good air quality in Ningbo was approximately 80% and that of moderate-and-above pollution was approximately 6%. The monthly variation in the percentage of slight-and-above pollution was U shaped; the higher the pollution level, the wider was the lower half of the U-shaped curve. Most moderate-and-above pollution occurred from November to February and the primary pollutant was PM2.5. Haze of visibility <5000 m was common in Zhebei during moderate-and-above pollution days.
- For moderate-and-above pollution in Ningbo, 77% of the pollutants originated from vicinal areas within 1000 km to the northwest; of these, nearly 27% were related to close-range pollution within 200 km. The average height of −48 h pollutant sources did not exceed 1500 m; these sources mainly affected the air quality of the lower boundary. Approximately 22% originated from remote areas farther than 1400 m with long-range transport and deposition in the middle and lower troposphere above 2500 m; these sources mainly affected the air quality of the middle and upper boundaries above 600 m.
- Moderate-and-above pollution was mainly a result of three trajectory types: mx, 1, and 2. Type 2 differed significantly from the other two types because atmospheric stratification in the middle- and lower-boundary layers was stable. By contrast, types 1 and mx respectively occurred in the unstable and conditionally unstable layers. Furthermore, type 2 differed significantly from types 1 and mx in terms of meteorological elements, namely the temperature, horizontal speed, and descending speed in each layer.
- The characteristic analysis of typical cases of various pollution types revealed that the pollution outbreak did not result from one round of pollutant transport but rather was the final result of continuous superposition of multiple rounds of pollutant transport. The input particles on the pollution outbreak day most likely originated northwest of Ningbo but under suitable circulations may have originated from a southwesterly or easterly direction.
Author Contributions
Funding
Acknowledgments
Conflicts of Interest
Abbreviations
| Zhebei | Northern Zhejiang province | 
| NB | Ningbo | 
| PM2.5 | Particulate matter with a diameter of ≤2.5 μm | 
| PM10 | Particulate matter with a diameter of of ≤10 μm | 
| AQI | Air quality index | 
| IAQI | Individual air quality index | 
| AGL | Above ground level | 
References
- Li, X.F.; Zhang, M.J.; Wang, S.J.; Zhao, A.F.; Ma, Q. Variation characteristics and influencing factors of air pollution index in China. Environ. Sci. 2012, 33, 1936–1943. (In Chinese) [Google Scholar]
- Zhang, X.Y.; Sun, J.Y.; Wang, Y.Q.; Li, W.J.; Zhang, Q.; Wang, W.Q.; Quan, J.N.; Cao, G.L.; Wang, J.Z.; Yang, Y.Q.; et al. Factors contributing to haze and fog in China. Chin. Sci. Bull. 2013, 58, 1178–1187. (In Chinese) [Google Scholar] [CrossRef]
- Charlson, R.J.; Schwartz, S.E.; Hales, J.M.; Cess, R.D.; Coakley, J.A.; Hansen, J.E.; Hofmann, D.J. Climate forcing by anthropogenic aerosols. Science 1992, 255, 423–430. [Google Scholar] [CrossRef] [PubMed]
- Ramanathan, V.; Crutzen, P.J.; Kiehl, J.T.; Rosenfeld, D. Aerosols, climate, and the hydrological Cycle. Science 2001, 294, 2119–2124. [Google Scholar] [CrossRef] [PubMed]
- Lohmann, U.; Feichter, J. Global indirect aerosol effects: A review. Atmos. Chem. Phys. 2005, 5, 715–737. [Google Scholar]
- Kosmopoulos, P.G.; Kaskaoutis, D.G.; Nastos, P.T.; Kambezidis, H.D. Seasonal variation of columnar aerosol optical properties over Athens, Greece, based on modis data. Remote Sens. Environ. 2008, 112, 2354–2366. [Google Scholar] [CrossRef]
- Li, Z.Q.; Gu, X.; Wang, L.; Li, D.H.; Li, K.T.; Dubovik, O.; Schuster, G.; Goloub, P.; Zhang, Y.; Li, L.; et al. Aerosol physical and chemical properties retrieved from ground-based remote sensing measurements during heavy haze days in Beijing winter. Atmos. Chem. Phys. 2013, 13, 10171–10183. [Google Scholar] [CrossRef]
- Solmon, F.; Nair, V.S.; Mallet, M. Increasing Arabian dust activity and the Indian summer monsoon. Atmos. Chem. Phys. 2015, 15, 8051–8064. [Google Scholar] [CrossRef]
- Muhammad, F.K.; Naila, Y.; Farrukh, C.; Imran, S. Temporal variability and characterization of aerosols across the Pakistan region during the winter fog periods. Atmosphere 2016, 7, 67. [Google Scholar]
- Sampson, P.D.; Richards, M.; Szpiro, A.A.; Bergen, S.; Sheppard, L.; Larson, T.V.; Kaufman, J.D. A regionalized national universal kriging model using partial least squares regression for estimating annual PM2.5 concentrations in epidemiology. Atmos. Environ. 2013, 175, 383–392. [Google Scholar]
- Salameh, D.; Detounay, A.; Pey, J.; Pérez, N.; Liguori, F.; Saraga, D.; Bove, M.C.; Brotto, P.; Cassola, F.; Massabò, D.; et al. PM2.5 chemical composition in five European Mediterranean cities: A 1-year study. Atmos. Res. 2015, 155, 102–117. [Google Scholar] [CrossRef]
- Eeftens, M.; Tsai, M.Y.; Ampe, C.; Anwander, B.; Beelen, R.; Bellander, T.; Cesaroni, G.; Cirach, M.; Cyrys, J.; Hoogh, K.D.; et al. Spatial variation of PM2.5, PM10, PM2.5 absorbance and PM coarse concentrations between and within 20 European study areas and the relationship with NO2—Results of the ESCAPE project. Atmos. Environ. 2012, 62, 303–317. [Google Scholar] [CrossRef]
- European Union. Air Quality in Europe—2016 Report; European Environment Agency EEA Report No. 28/2016; Publications Office of the European Union: Luxembourg, 2016. [Google Scholar]
- Draxler, R.R.; Hess, G.D. An overview of the HYSPLIT_4 modeling system for trajectories dispersion and deposition. Aust. Meteorol. Mag. 1998, 47, 295–308. [Google Scholar]
- Escudero, M.; Stein, A.F.; Draxler, R.R.; Querol, X.; Alastuey, A.; Castillo, S.; Avila, A. Source apportionment for African dust outbreak over the Western Mediterranean using the HYSPLIT model. Atmos. Res. 2011, 99, 518–527. [Google Scholar] [CrossRef]
- Chen, B.; Stein, A.F.; Maldonado, P.G.; Campa, A.M.; Castanedo, Y.G.; Castell, N.; Rosa, J.D. Size distribution and concentrations of heavy metals in atmospheric aerosols originating from industrial emissions as predicted by the HYSPLIT model. Atmos. Environ. 2013, 71, 234–244. [Google Scholar]
- Cheng, S.Y.; Wang, F.; Li, J.B.; Chen, D.S.; Li, M.J.; Zhou, Y.; Ren, Z.H. Application of trajectory clustering and source apportionment methods for investigating trans-boundary atmospheric PM10 pollution. Aerosol. Air Qual. Res. 2013, 13, 333–342. [Google Scholar]
- Wang, H.; Xue, M.; Zhang, X.Y.; Liu, H.L.; Zhou, C.H.; Tan, S.C.; Che, H.Z.; Chen, B.; Li, T. Mesoscale modeling study of the interactions between aerosols and PBL meteorology during a haze episode in Jing–Jin–Ji (China) and its nearby surrounding region—Part 1: Aerosol distributions and meteorological features. Atmos. Chem. Phys. 2015, 15, 3257–3275. [Google Scholar]
- Tatsuta, S.; Shimada, K.; Chan, C.K.; Kim, Y.P.; Lin, N.H.; Takami, A.; Hatakeyama, S. Contributions of long-range transported and locally emitted nitrate in size-segregated aerosols in Japan at Kyushu and Okinawa. Aerosol. Air Qual. Res. 2017, 17, 3119–3127. [Google Scholar] [CrossRef]
- Stein, A.F.; Draxler, R.R.; Rolph, G.D.; Stunder, B.J.B.; Cohen, M.D.; Ngan, F. Noaa’s HYSPLIT atmospheric transport and dispersion modeling system. Bull. Am. Meteorol. Soc. 2015, 96, 2059–2077. [Google Scholar] [CrossRef]
- Zhang, Y.; Liu, Z.H.; Lv, X.T.; Zhang, Y.; Qian, J. Characteristics of the transport of a typical pollution event in the Chengdu area based on remote sensing data and numerical simulations. Atmosphere 2016, 7, 127. [Google Scholar] [CrossRef]
- Zheng, Y.; Che, H.Z.; Zhao, T.L.; Xia, X.G.; Gui, K.; An, L.C.; Qi, B.; Wang, H.; Wang, Y.Q.; Yu, J.; et al. Aerosol optical properties over Beijing during the World Athletics Championships and Victory Day Military Parade in August and September 2015. Atmosphere 2016, 7, 47. [Google Scholar]
- Yang, W.L.; Wang, G.C.; Bi, C.J. Analysis of long-range transport effects on PM2.5 during a short severe haze in Beijing, China. Aerosol. Air Qual. Res. 2017, 17, 1610–1622. [Google Scholar] [CrossRef]
- Yao, R.S.; Tu, X.P.; Zhang, X.W.; Xu, D.F.; Yang, D.; Gu, X.L. Analysis on a rare persistent heavy pollution event in Ningbo. Acta Meteorol. Sin. 2017, 2, 342–355. [Google Scholar]
- Wu, D.; Zhang, F.; Ge, X.L.; Yang, M.; Xia, J.R.; Liu, G.; Li, F.Y. Chemical and light extinction characteristics of atmospheric aerosols in suburban Nanjing, China. Atmosphere 2017, 8, 149. [Google Scholar] [CrossRef]
- Liu, D.Y.; Liu, X.J.; Wang, H.B.; Li, Y.; Kang, Z.M.; Cao, L.; Yu, X.N.; Chen, H. A New type of haze? The December 2015 purple (magenta) haze event in Nanjing, China. Atmosphere 2017, 8, 76. [Google Scholar] [CrossRef]
- Lu, X.; Mao, F.Y.; Pan, Z.X.; Gong, W.; Wang, W.; Tian, L.Q.; Fang, S.H. Three-dimensional physical and optical characteristics of aerosols over central China from long-term CALIPSO and HYSPLIT Data. Remote Sens. 2018, 10, 314. [Google Scholar]
- Yu, Z.Y.; Li, Z.Q.; Gao, D.W.; Wang, K. Feature analysis of air quality and atmospheric self-purification capability in Zhejiang. Meteorol. Mon. 2017, 43, 323–332. (In Chinese) [Google Scholar]
- The Ministry of Environmental Protection of the People’s Republic of China. GB 3095-2012 Ambient Air Quality Standard; HJ633-2012 Technical Regulation on Ambient Air Quality Index; The Ministry of Environmental Protection of the People’s Republic of China: Beijing, China, 2012.









| Types | Moderate | Heavy | Serious | Total | 
|---|---|---|---|---|
| type mx | 18 | 9 | 2 | 29 | 
| type 1 | 17 | 3 | 0 | 20 | 
| type 2 | 5 | 3 | 3 | 11 | 
| type 3 | 0 | 1 | 0 | 1 | 
| type 4 | 0 | 0 | 0 | 0 | 
| Height AGL (m) | trj1 | trj2 | trj3 | trj4 | 
|---|---|---|---|---|
| 50 | 69.0 | 24.1 | 6.9 | 0.0 | 
| 200 | 48.3 | 20.7 | 13.8 | 17.2 | 
| 500 | 20.7 | 20.7 | 27.6 | 31.0 | 
| 1000 | 6.9 | 13.8 | 34.5 | 44.8 | 
| Case (types) | Date (yr/m/d) | AQI | Air Pollution Level | 
|---|---|---|---|
| 1 (type 1) | 2015/12/15 | 257 | heavy pollution | 
| 2 (type 2) | 2013/12/7 | 500 | severe pollution | 
| 3 (type 3) | 2015/12/23 | 251 | heavy pollution | 
| 4 (type mx) | 2013/12/26 | 312 | severe pollution | 
© 2019 by the authors. Licensee MDPI, Basel, Switzerland. This article is an open access article distributed under the terms and conditions of the Creative Commons Attribution (CC BY) license (http://creativecommons.org/licenses/by/4.0/).
Share and Cite
Tu, X.; Lu, Y.; Yao, R.; Zhu, J. Air Quality in Ningbo and Transport Trajectory Characteristics of Primary Pollutants in Autumn and Winter. Atmosphere 2019, 10, 120. https://doi.org/10.3390/atmos10030120
Tu X, Lu Y, Yao R, Zhu J. Air Quality in Ningbo and Transport Trajectory Characteristics of Primary Pollutants in Autumn and Winter. Atmosphere. 2019; 10(3):120. https://doi.org/10.3390/atmos10030120
Chicago/Turabian StyleTu, Xiaoping, Yun Lu, Risheng Yao, and Jiamin Zhu. 2019. "Air Quality in Ningbo and Transport Trajectory Characteristics of Primary Pollutants in Autumn and Winter" Atmosphere 10, no. 3: 120. https://doi.org/10.3390/atmos10030120
APA StyleTu, X., Lu, Y., Yao, R., & Zhu, J. (2019). Air Quality in Ningbo and Transport Trajectory Characteristics of Primary Pollutants in Autumn and Winter. Atmosphere, 10(3), 120. https://doi.org/10.3390/atmos10030120
 
        
 
                         
       