Numerical Simulation of Turbulent Flow and Pollutant Dispersion in Urban Street Canyons
Abstract
1. Introduction
2. Governing Equations
2.1. Flow Equations
2.2. Scalar Transport Equation
3. Initial and Boundary Conditions
4. Validations
4.1. Validation against the Measurement Data from Li et al.’s Experiment
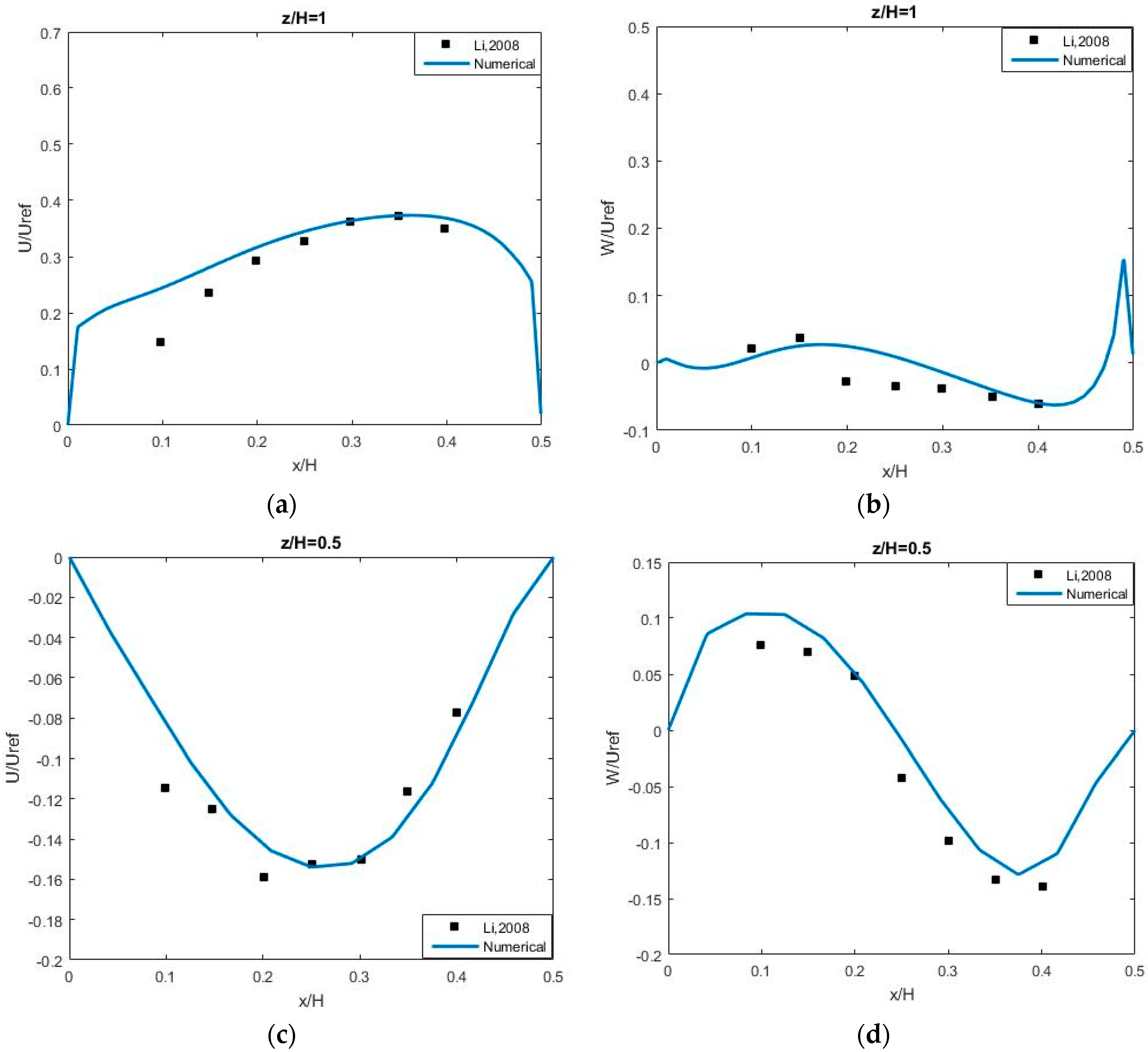
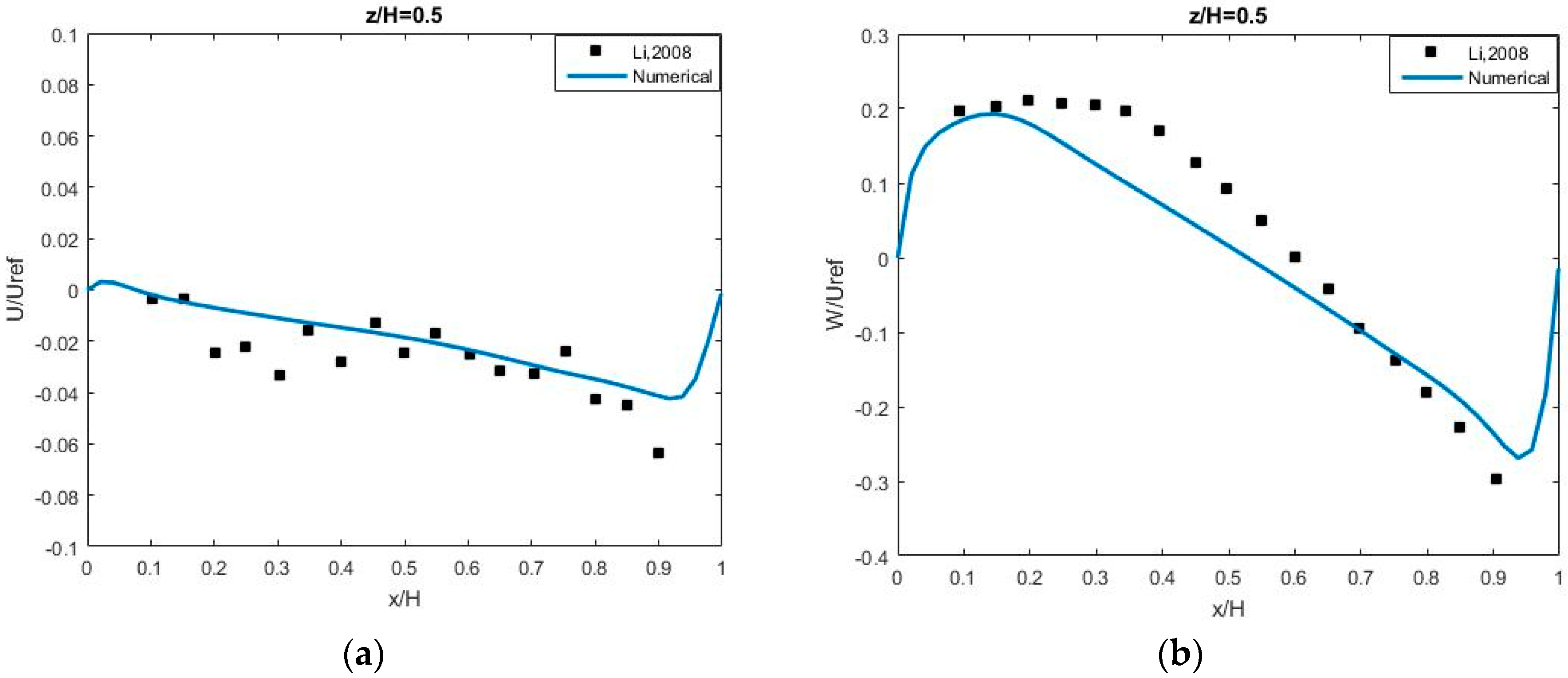
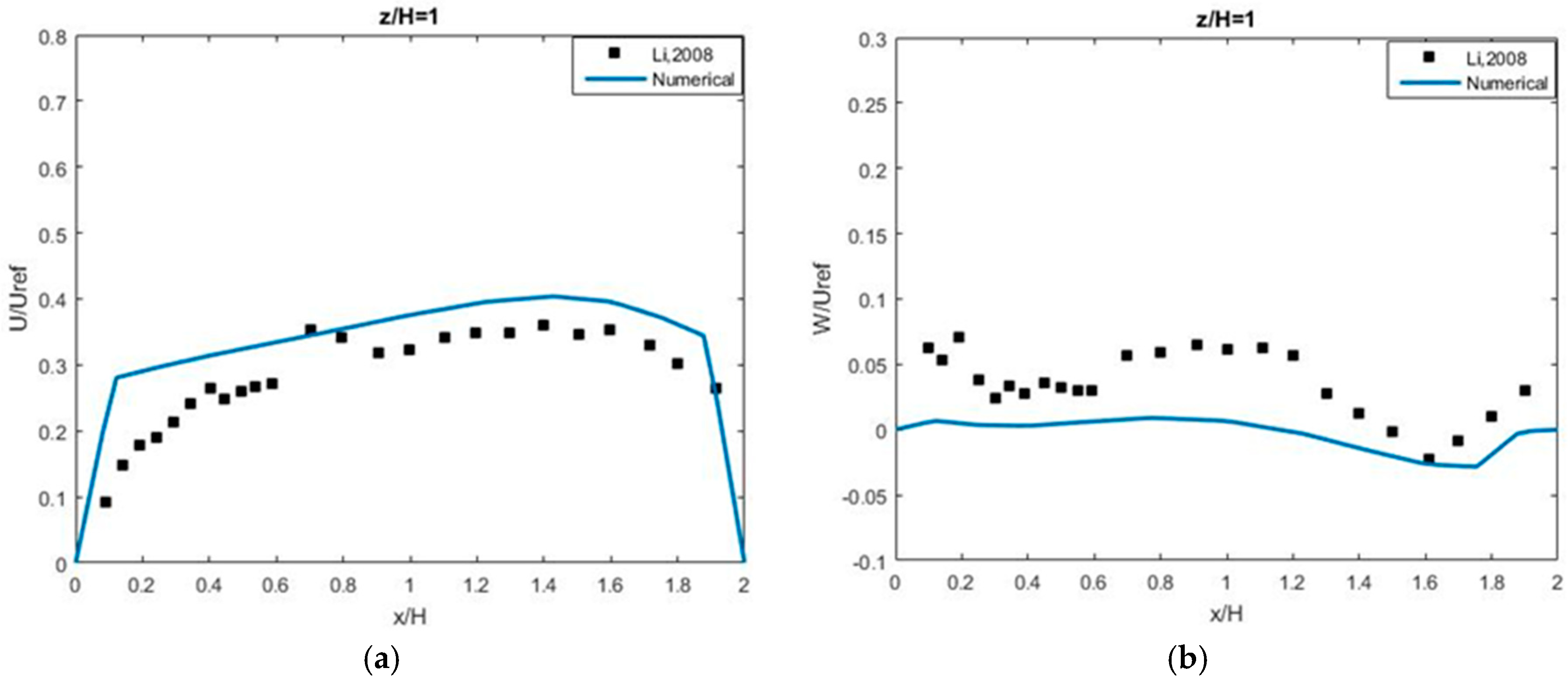
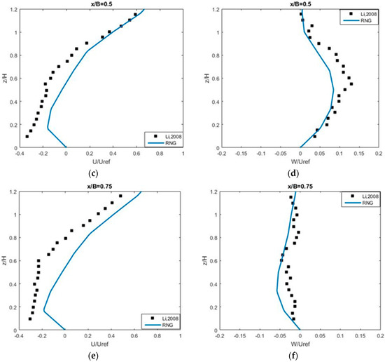
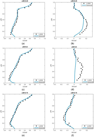
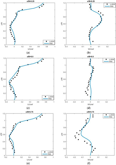
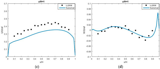
4.1.1. Street Canyon of Aspect Ratio AR = 2.0
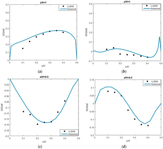
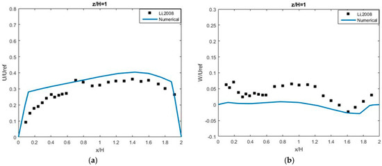
4.1.2. Street Canyon of Aspect Ratio AR = 1
4.1.3. Street Canyon of Aspect Ratio 0.5
4.2. Validation against the Measurement Data from Rafailidis and Schatzmann’s Experiment
4.2.1. Flat Roof Shape
4.2.2. Slanted-Roof Shape
4.3. Validation against the Measurement Data from Kastner-Klein’s Experiment
4.4. Validation against the Measurement Data from Llaguno-Munitxa et al.’s Experiment
5. Discussion
5.1. Effect of Aspect Ratios on Flow Patterns and Pollutant Transport
5.2. Effect of Roof Shapes on the Flow Patterns and Pollutant Distribution
6. Conclusions
Author Contributions
Funding
Acknowledgments
Conflicts of Interest
Appendix A
References
- Liu, C.-H.; Barth, M.C.; Leung, D.Y.C. Large-Eddy Simulation of flow and pollutant transport in street canyons of different building-height-to-street-width ratios. J. Appl. Meteorol. 2004, 43, 1410–1424. [Google Scholar] [CrossRef]
 - Li, X.X.; Leung, D.Y.C.; Liu, C.H.; Lam, K.M. Physical Modeling of flow field inside urban street canyons. J. Appl. Meteorol. Climatol. 2008, 47, 2058–2067. [Google Scholar] [CrossRef]
 - Sini, J.F.; Anquetin, S.; Mestayer, P.G. Pollutant dispersion and thermal effects in urban street canyons. Atmos. Environ. 1996, 30, 2659–2677. [Google Scholar] [CrossRef]
 - Johnson, G.T.; Hunter, L.J. Urban wind flows: Wind tunnel and numerical simulations—A preliminary comparison. Environ. Model. Softw. 1998, 13, 279–286. [Google Scholar] [CrossRef]
 - Baik, J.J.; Kim, J.J. A numerical study of flow and pollutant dispersion characteristics in urban street canyons. J. Appl. Meteorol. 1999, 38, 1576–1589. [Google Scholar] [CrossRef]
 - Baik, J.J.; Kim, J.J. On the escape of pollutants from urban street canyons. Atmos. Environ. 2002, 36, 527–536. [Google Scholar] [CrossRef]
 - Chan, A.T.; Au, W.T.W.; So, E.S.P. Strategic guidelines for street canyon geometry to achieve sustainable street air quality—Part II: Multiple canopies and canyons. Atmos. Environ. 2003, 37, 2761–2772. [Google Scholar] [CrossRef]
 - Chan, T.L.; Dong, G.; Leung, C.W.; Cheung, C.S.; Hung, W.T. Validation of a two-dimensional pollutant dispersion model in an isolated street canyon. Atmos. Environ. 2002, 36, 861–872. [Google Scholar] [CrossRef]
 - Jeong, S.J.; Andrews, M.J. Application of the k-epsilon turbulence model to the high Reynolds number skimming flow field of an urban street canyon. Atmos. Environ. 2002, 36, 1137–1145. [Google Scholar] [CrossRef]
 - Takano, Y.; Moonen, P. On the influence of roof shape on flow and dispersion in urban street canyon. J. Wind Eng. Ind. Aerodyn. 2013, 123, 107–120. [Google Scholar] [CrossRef]
 - Yassin, M.F. Impact of height and shape of building roof on air quality in urban street canyons. Atmos. Environ. 2011, 45, 5220–5229. [Google Scholar] [CrossRef]
 - Leitl, B.M.; Meroney, R.N. Car exhaust dispersion in a street canyon. Numerical critique of a wind tunnel experiment. J. Wind Eng. Ind. Aerodyn. 1997, 67–68, 293–304. [Google Scholar] [CrossRef]
 - Sagrado, A.P.G.; van Beeck, J.; Rambaud, P.; Olivari, D. Numerical and experimental modelling of pollutant dispersion in a street canyon. J. Wind Eng. Ind. Aerodyn. 2002, 90, 321–339. [Google Scholar] [CrossRef]
 - Li, X.-X.; Liu, C.-H.; Leung, D.Y.C. Development of a k-ε model for the determination of air exchange rates for street canyons. Atmos. Environ. 2005, 398, 7285–7296. [Google Scholar] [CrossRef]
 - Raw, M.J.; Galpin, P.F.; Hutchinson, B.R. A collocated finite-volume method for solving the Navier-Stokes equations for incompressible and compressible flows in Turbomachinery: Results and applications. Can. Aeronaut. Space J. 1989, 35, 189–196. [Google Scholar]
 - Walton, A.; Cheng, A.Y.S. Large eddy simulation of pollution dispersion in an urban street canyon-part II: Idealized canyon simulation. Atmos. Environ. 2002, 36, 3615–3627. [Google Scholar] [CrossRef]
 - Hassan, A.A.; Crowther, J.M. Modeling of fluid flow and pollutant dispersion in a street canyon. Environ. Monit. Assess. 1998, 53, 281–297. [Google Scholar] [CrossRef]
 - Koutsourakis, N.; Bartzis, J.G.; Markatos, C.N. Evaluation of Reynolds stress, k-ε turbulence models in street canyon flows using various experimental datasets. Environ. Fluid Mech. 2012, 12, 379–403. [Google Scholar] [CrossRef]
 - Brown, M.J.; Lawson, R.E.; DeCroix, D.S.; Lee, R.L. Mean flow and turbulence measurements around a 2-D array of building in a wind tunnel. In Proceedings of the 11th AMS Joint Conference on the Applications of Air Pollution Meteorology, Long Beach, CA, USA, 10 January 2000. [Google Scholar]
 - Demirdzic, I.A. A Finite Volume Method for Computation of Fluid Flow in Complex Geometries; Imperial College London (University of London): London, UK, 1982. [Google Scholar]
 - Thangam, S.; Speziale, C.G. Turbulent flow past a backward facing step: A critical evaluation of two-equation models. AIAA J. 1992, 30, 1314. [Google Scholar] [CrossRef]
 - Sahm, P.; Louka, P.; Ketzel, M.; Guilloteau, E.; Sini, J.F. Intercomparison of Numerical Urban Dispersion Models—Part I: Street Canyon and Single Building Configurations. Water Air Soil Pollut. Focus 2002, 2, 587–601. [Google Scholar] [CrossRef]
 - Apsley, D.; Castro, I.P. Flow and dispersion over hills: Comparison between numerical predictions and experimental data. J. Wind Eng. Ind. Aerodyn. 1997, 67, 375–386. [Google Scholar] [CrossRef]
 - Yakhot, V.; Orszag, S.A.; Thangam, S.; Gatski, T.B.; Speziale, C.G. Development of Turbulence Models for Shear Flows by a Double Expansion technique. Phys. Fluids Fluid Dyn. 1992, 4. [Google Scholar] [CrossRef]
 - Rotach, M.W. Profiles of Turbulence Statistics and Above an Urban Street Canyon. Atmos. Environ. 1995, 29, 1473–1486. [Google Scholar] [CrossRef]
 - Memon, R.; Leung, D.Y.C. On the heating environment in street canyon. Environ. Fluid Mech. 2011, 11, 465–480. [Google Scholar] [CrossRef]
 - Tominaga, Y.; Stathopoulos, T. Turbulent Schmidt numbers of CFD analysis with various types of flowfield. Atmos. Environ. 2007, 41, 8091–8099. [Google Scholar] [CrossRef]
 - Spalding, D.B. Mixing and chemical reaction in steady confined turbulent flames. Symp. Int. Combust. 1971, 13, 649–657. [Google Scholar] [CrossRef]
 - Launder, B.E. Heat and Mass Transport; Turbulence: Topics in Applied Physics; Springer: Berlin, Germany, 1978; Volume 12, pp. 231–287. [Google Scholar]
 - Kastner-Klein, P.; Plate, E.J. Wind-tunnel study of concentration fields in street canyons. Atmos. Environ. 1999, 33, 3973–3979. [Google Scholar] [CrossRef]
 - Huang, H.; Akutsu, Y.; Arai, M.; Tamura, M. A two-dimensional air quality model in an urban street canyon: Evaluation and sensitivity analysis. Atmos. Environ. 2000, 34, 689–698. [Google Scholar] [CrossRef]
 - Lien, F.S.; Yee, E.; Ji, H.; Keats, A.; Hsieh, K.J. Progress and challenges in the development of physically-based numerical models for prediction of flow and contaminant dispersion in the urban environment. Int. J. Comp. Fluid Dyn. 2006, 20, 323–337. [Google Scholar] [CrossRef]
 - Li, Y.; Stathopolous, T. Numerical evaluation of wind induced dispersion of pollutants around a building. J. Wind. Eng. Indus. Aerodyn. 1997, 67&68, 757–766. [Google Scholar] [CrossRef]
 - Wang, X.; McNamara, K.F. Evaluation of CFD simulation using RANS turbulence models for building effects on pollutant dispersion. Environ. Fluid Mech. 2006, 6, 181–202. [Google Scholar] [CrossRef]
 - Solazzo, E.; Cai, X.; Vardoulakis, S. Improved parameterization for the numerical modelling of air pollution within an urban street canyon. Environ. Modell. Softw. 2009, 24, 381–388. [Google Scholar] [CrossRef]
 - Brzoska, M.A.; Stock, D.; Lamb, B. Determination of plume capture by the building wake. J. Wind. Eng. Indus. Aerodyn. 1997, 67&68, 909–922. [Google Scholar] [CrossRef]
 - Delaunay, D. Numerical simulation of atmospheric dispersion in an urban site: Comparison with field data. J. Wind. Eng. Indus. Aerodyn. 1996, 64, 221–231. [Google Scholar] [CrossRef]
 - Baik, J.J.; Kim, J.J.; Fernando, H.J.S. A CFD model for simulating urban flow and dispersion. J. Appl. Meteorol. 2003, 42, 1636–1648. [Google Scholar] [CrossRef]
 - Kim, J.-J.; Baik, J.-J. Effects of inflow turbulence intensity on flow and pollutant dispersion in an urban street canyon. J. Wind. Eng. Indus. Aerodyn. 2003, 91, 309–329. [Google Scholar] [CrossRef]
 - Santiago, J.; Martilli, A.; Martin, F. CFD simulation of airflow over a regular array of cubes. Part I: Three-dimensional simulation of the flow and validation with wind-tunnel measurements. Bound.-Layer Meteorol. 2007, 122, 609–634. [Google Scholar] [CrossRef]
 - Kundu, P.K.; Cohen, I.M. Fluid Mechanics, 3rd ed.; Academic Press: Cambridge, MA, USA, 2005. [Google Scholar]
 - Rafailidis, S.; Schatzmann, M. Concentration Measurements with Different Roof Patterns in Street Canyon with Aspect Ratios B/H=1/2 and B/H=1; Universitaet Hamburg, Meterologisches Institute: Hamburg, Germany, 1995. [Google Scholar]
 - Llaguno-Munitxa, M.; Bou-Zeid, E.; Hultmark, M. The influence of building geometry on street canyon air flow: Validation of large eddy simulations against wind tunnel experiments. J. Wind Eng. Ind. Aerodyn. 2017, 165, 115–130. [Google Scholar] [CrossRef]
 - Oke, T.R. Street design and urban Canopy layer climate. Energy Build. 1988, 11, 103–113. [Google Scholar] [CrossRef]
 - Rafailidis, S. Influence of building area density and roof shape on the wind characteristics above a town. Bound. Layer Meteorol. 1997, 85, 255–271. [Google Scholar] [CrossRef]
 - Meroney, R.N.; Pavageau, M.; Rafailidis, S. Study of line source characteristics for 2-D physical modelling of pollutant dispersion in street canyons. J. Wind End. Ind. Aerodyn. 1996, 62, 37–56. [Google Scholar] [CrossRef]
 - Moriasi, D.N.; Gitau, M.W.; Daggupati, P. Hydrologic and Water Quality Models: Performance Measures and Evaluation. Trans. ASBE 2015, 58, 1763–1785. [Google Scholar]
 































| 0.0845 | 0.7194 | 0.7194 | 1.42 | 1.68 | 4.377 | 0.012 | 
| Value of Sct | Authors | 
|---|---|
| 0.5 | Huang et al. [31] | 
| 0.63 | Lien et al. [32] | 
| 0.7 | Li and Stathopoulos [33], Wang and McNamara [34], Solazzo et al. [35] | 
| 0.8 | Brzoska et al. [36] | 
| 0.9 | Launder [29], Sini et al. [3], Delaunay [37], Baik et al. [38], Kim et al. [39], Santiago et al. [40], Yassin [11] | 
| AR & Locations | ||||||
|---|---|---|---|---|---|---|
| R2 (1) | RMSE (1) | R2 | RMSE | R2 | RMSE | |
| AR = 1, x/B = 0.25 | 0.9810 | 0.0475 | 0.9121 | 0.0372 | 0.9581 | 0.0020 | 
| AR = 1, x/B = 0.5 | 0.9875 | 0.0393 | 0.5942 | 0.0696 | 0.9012 | 0.0030 | 
| AR = 1, x/B = 0.75 | 0.9907 | 0.0349 | 0.8900 | 0.0195 | 0.9433 | 0.0044 | 
| AR = 1, z/H = 1 | 0.8959 | 0.0814 | 0.8023 | 0.0082 | 0.4133 | 0.0030 | 
| AR = 1, z/H = 0.5 | 0.7723 | 0.0107 | 0.9578 | 0.0560 | 0.9213 | 0.0029 | 
| AR = 2, x/B = 0.25 | 0.9850 | 0.0410 | 0.8918 | 0.0233 | 0.9785 | 0.0011 | 
| AR = 2, x/B = 0.5 | 0.9776 | 0.0404 | 0.6223 | 0.0271 | 0.9301 | 0.0015 | 
| AR = 2, x/B = 0.75 | 0.9899 | 0.0386 | 0.7510 | 0.0464 | 0.7368 | 0.0027 | 
| AR = 2, z/H = 1 | 0.9791 | 0.0417 | 0.6918 | 0.0286 | 0.4618 | 0.0032 | 
| AR = 2, z/H = 0.5 | 0.7605 | 0.0157 | 0.9900 | 0.0236 | 0.3767 | 0.0036 | 
| AR = 0.5, x/B = 0.25 | 0.9684 | 0.1661 | 0.8871 | 0.0608 | 0.9786 | 0.0016 | 
| AR = 0.5, x/B = 0.5 | 0.9809 | 0.1221 | 0.8749 | 0.0252 | 0.8248 | 0.0060 | 
| AR = 0.5, x/B = 0.75 | 0.9691 | 0.1743 | 0.4083 | 0.0212 | 0.6705 | 0.0102 | 
| AR = 0.5, z/H = 1 | 0.6986 | 0.0817 | 0.8124 | 0.0394 | 0.7647 | 0.0104 | 
| Case | Concentration K along Leeward | Concentration K along Windward | ||
|---|---|---|---|---|
| R2 | RMSE | R2 | RMSE | |
| Reference | 0.9249 | 7.3128 | 0.9516 | 2.0042 | 
| Situation 1 | 0.8708 | 3.6100 | 0.8940 | 5.0342 | 
| Situation 2 | 0.9906 | 2.2443 | 0.7284 | 2.5450 | 
| Situation 3 | 0.7678 | 1.9154 | 0.9975 | 1.1540 | 
| Situation 4 | 0.7641 | 2.1600 | 0.9935 | 2.0394 | 
| Situation 5 | 0.9611 | 12.0912 | 0.8941 | 0.3091 | 
© 2019 by the authors. Licensee MDPI, Basel, Switzerland. This article is an open access article distributed under the terms and conditions of the Creative Commons Attribution (CC BY) license (http://creativecommons.org/licenses/by/4.0/).
Share and Cite
Nguyen, V.T.; Nguyen, T.C.; Nguyen, J. Numerical Simulation of Turbulent Flow and Pollutant Dispersion in Urban Street Canyons. Atmosphere 2019, 10, 683. https://doi.org/10.3390/atmos10110683
Nguyen VT, Nguyen TC, Nguyen J. Numerical Simulation of Turbulent Flow and Pollutant Dispersion in Urban Street Canyons. Atmosphere. 2019; 10(11):683. https://doi.org/10.3390/atmos10110683
Chicago/Turabian StyleNguyen, Van Thinh, Thanh Chuyen Nguyen, and John Nguyen. 2019. "Numerical Simulation of Turbulent Flow and Pollutant Dispersion in Urban Street Canyons" Atmosphere 10, no. 11: 683. https://doi.org/10.3390/atmos10110683
APA StyleNguyen, V. T., Nguyen, T. C., & Nguyen, J. (2019). Numerical Simulation of Turbulent Flow and Pollutant Dispersion in Urban Street Canyons. Atmosphere, 10(11), 683. https://doi.org/10.3390/atmos10110683
        