Fine-Scale Modeling of Individual Exposures to Ambient PM2.5, EC, NOx, and CO for the Coronary Artery Disease and Environmental Exposure (CADEE) Study
Abstract
1. Introduction
2. Materials and Methods
2.1. The CADEE Study Design
2.2. Tiers of Modeled Exposure Metrics
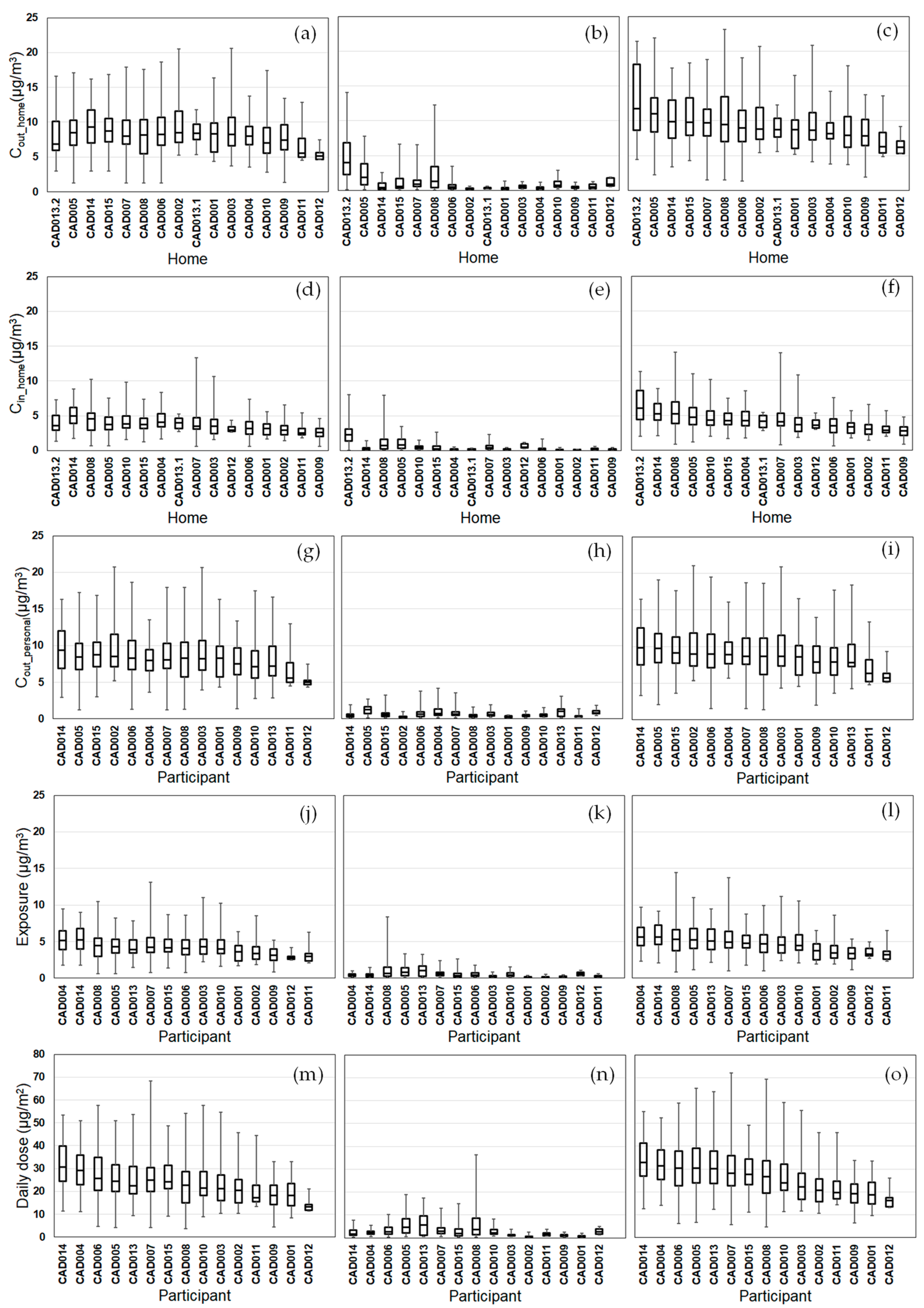
2.2.1. Home Outdoor Concentrations (Tier 1)
2.2.2. Home Indoor Concentrations (Tier 2)
2.2.3. Personal Outdoor Concentrations (Tier 3)
2.2.4. Exposures (Tier 4)
2.2.5. Inhaled Doses (Tier 5)
3. Results
4. Discussion
5. Conclusions
Supplementary Materials
Author Contributions
Funding
Acknowledgments
Conflicts of Interest
References
- U.S. EPA. Integrated Science Assessment (ISA) for Particulate Matter; Final Report 600/R-08/139F; U.S. EPA: Washington, DC, USA, 2009. Available online: https://cfpub.epa.gov/ncea/risk/recordisplay.cfm?deid=216546 (accessed on 25 November 2019).
- Janssen, N.; Joint, W.H. Health Effects of Black Carbon; Report for the Joint World Health Organization (WHO)/Convention Task Force on Health Effects of Air Pollution; WHO Regional Office for Europe: Copenhagen, Denmark, 2012; Available online: http://www.euro.who.int/en/publications/abstracts/health-effects-of-black-carbon-2012 (accessed on 25 November 2019).
- U.S. EPA. Integrated Science Assessment (ISA) for Oxides of Nitrogen—Health Criteria; Final Report 600/R-15/068; U.S. EPA: Washington, DC, USA, 2016. Available online: https://cfpub.epa.gov/ncea/isa/recordisplay.cfm?deid=310879 (accessed on 25 November 2019).
- U.S. EPA. Integrated Science Assessment (ISA) for Carbon Monoxide; Final Report 600/R-09/019F; U.S. EPA: Washington, DC, USA, 2010. Available online: https://cfpub.epa.gov/ncea/isa/recordisplay.cfm?deid=218686 (accessed on 25 November 2019).
- Zeger, S.L.; Thomas, D.; Dominici, F.; Sarnet, J.M.; Schwartz, J.; Dockery, D.; Cohen, A. Exposure measurement error in time-series studies of air pollution: Concepts and consequences. Environ. Health Perspect. 2000, 108, 419–426. [Google Scholar] [CrossRef] [PubMed]
- Sheppard, L.; Burnett, R.T.; Szpiro, A.A.; Kim, S.Y.; Jerrett, M.; Pope, C.A., III; Brunekreef, B. Confounding and exposure measurement error in air pollution epidemiology. Air Qual. Atmos. Health 2012, 5, 203–216. [Google Scholar] [CrossRef]
- National Research Council. Exposure Science in the 21st Century: A Vision and a Strategy; The National Academies Press: Washington, DC, USA, 2012. [Google Scholar] [CrossRef]
- National Research Council. Research Priorities for Airborne Particulate Matter: I. Immediate Priorities and a Long-Range Research Portfolio; The National Academies Press: Washington, DC, USA, 1998. [Google Scholar] [CrossRef]
- National Academies of Sciences, Engineering, and Medicine. Health Risks of Indoor Exposure to Particulate Matter: Workshop Summary; The National Academies Press: Washington, DC, USA, 2016. [Google Scholar] [CrossRef]
- National Academies of Sciences, Engineering, and Medicine. Using 21st Century Science to Improve Risk-Related Evaluations; The National Academies Press: Washington, DC, USA, 2017. [Google Scholar] [CrossRef]
- Breen, M.S.; Long, T.C.; Schultz, B.D.; Williams, R.W.; Richmond-Bryant, J.; Breen, M.; Langstaff, J.E.; Devlin, R.B.; Schneider, A.; Burke, J.M.; et al. Air Pollution Exposure Model for Individuals (EMI) in Health Studies: Evaluation for Ambient PM2.5 in Central North Carolina. Environ. Sci. Technol. 2015, 49, 14184–14194. [Google Scholar] [CrossRef] [PubMed]
- Breen, M.S.; Yadong, X.; Williams, R.; Schneider, A.; Devlin, R. Modeling Individual-level Exposures to Ambient PM2.5 for the Diabetes and the Environment Panel Study (DEPS). Sci. Total Environ. 2018, 626, 807–816. [Google Scholar] [CrossRef] [PubMed]
- Breen, M.S.; Seppanen, C.; Isakov, V.; Arunachalam, S.; Breen, M.; Samet, J.; Tong, H. Development of TracMyAir smartphone application for modeling exposures to ambient PM2.5 and ozone. Int. J. Environ. Res. Public Health 2019, 16, 3468. [Google Scholar] [CrossRef] [PubMed]
- Breen, M.S.; Breen, M.; Williams, R.W.; Schultz, B.D. Predicting residential air exchange rates from questionnaires and meteorology: Model evaluation in central North Carolina. Environ. Sci. Technol. 2010, 44, 9349–9356. [Google Scholar] [CrossRef]
- Breen, M.S.; Burke, J.M.; Batterman, S.A.; Vette, A.F.; Godwin, C.; Croghan, C.W.; Schultz, B.D.; Long, T.C. Modeling spatial and temporal variability of residential air exchange rates for the Near-Road Exposures and Effects of Urban Air Pollutants Study (NEXUS). Int. J. Environ. Res. Public Health 2014, 11, 11481–11504. [Google Scholar] [CrossRef]
- Mirowsky, J.; Carraway, M.; Dhingra, R.; Tong, H.; Neas, L.; Diaz-Sanchez, D.; Cascio, W.; Case, M.; Crooks, J.; Hauser, E.R.; et al. Ozone exposure is associated with acute changes in inflammation, fibrinolysis, and endothelial cell function in coronary artery disease patients. Environ. Health 2017, 16, 126. [Google Scholar] [CrossRef]
- Chang, S.Y.; Vizuete, W.; Valencia, A.; Naess, B.; Isakov, V.; Palma, T.; Breen, M.; Arunachalam, S. A modeling framework for characterizing near-road air pollutant concentration at community scales. Sci. Total Environ. 2015, 538, 905–921. [Google Scholar] [CrossRef]
- Breen, M.S.; Long, T.; Schultz, B.; Crooks, J.; Breen, M.; Langstaff, J.; Isaacs, K.; Tan, C.; Williams, R.; Cao, Y.; et al. GPS-based microenvironment tracker (MicroTrac) model to estimate time-location of individuals for air pollution exposure assessments: Model evaluation in central North Carolina. J. Exp. Sci. Environ. Epidemiol. 2014, 24, 412–420. [Google Scholar] [CrossRef]
- Snyder, M.G.; Venkatram, A.; Heist, D.K.; Perry, S.G.; Petersen, W.B.; Isakov, V. R-LINE: A Line Source Dispersion Model for Near-Surface Releases. Atmos. Environ. 2013, 77, 748–756. [Google Scholar] [CrossRef]
- Arunachalam, S.; Valencia, A.; Akita, Y.; Serre, M.L.; Omary, M.; Garcia, V.; Isakov, V. A method for estimating urban background concentrations in support of hybrid air pollution modeling for environmental health studies. Int. J. Environ. Res. Public Health 2014, 11, 10518–10536. [Google Scholar] [CrossRef]
- Cook, R.; Isakov, V.; Touma, J. Resolving local-scale emissions for modeling air quality near roadways. J. Air Waste Manag. Assoc. 2008, 58, 451–461. [Google Scholar] [CrossRef]
- Snyder, M.; Arunachalam, S.; Isakov, V.; Talgo, K.; Naess, B.; Valencia, A.; Omary, M.; Davis, N.; Cook, R.; Hanna, A. Creating Locally-Resolved Mobile-Source Emissions Inputs for Air Quality Modeling in Support of an Exposure Study in Detroit, Michigan. Int. J. Environ. Res. Public Health 2014, 11, 12739–12766. [Google Scholar] [CrossRef]
- U.S. EPA. 2011 National Emissions Inventory (NEI) Data. Available online: https://www.epa.gov/air-emissions-inventories/2011-national-emissions-inventory-nei-data (accessed on 25 November 2019).
- U.S. EPA. Air Quality System (AQS) User’s Guide. Available online: https://www.epa.gov/aqs/aqs-user-guide (accessed on 25 November 2019).
- Serre, M.L.; Christakos, G. Modern geostatistics: Computational BME analysis in the light of uncertain physical knowledge–the Equus Beds study. Stoch. Environ. Res. Risk Assess. 1999, 13, 1–26. [Google Scholar] [CrossRef]
- Meng, Q.Y.; Turpin, B.J.; Polidori, A.; Lee, J.H.; Weisel, C.; Morandi, M.; Colome, S.; Stock, T.; Winer, A.; Zhang, J. PM2.5 of ambient origin: Estimates and exposure errors relevant to PM epidemiology. Environ. Sci. Technol. 2005, 39, 5105–5112. [Google Scholar] [CrossRef]
- Weschler, C.J.; Shields, H.C.; Nalk, D.V. Indoor Chemistry Involving O-3, No, and No2 as Evidenced by 14 Months of Measurements at a Site in Southern California. Environ. Sci. Technol. 1994, 28, 2120–2132. [Google Scholar] [CrossRef] [PubMed]
- Dionisio, K.L.; Baxter, L.K.; Chang, H.H. An empirical assessment of exposure measurement error and effect attenuation in bipollutant epidemiologic models. Environ. Health Perspect. 2014, 122, 1216–1224. [Google Scholar] [CrossRef] [PubMed]
- Breen, M.S.; Schultz, B.; Sohn, M.; Long, T.; Langstaff, J.; Williams, R.; Isaacs, K.; Meng, Q.; Stallings, C.; Smith, L. A review of air exchange rate models for air pollution exposure assessments. J. Expo. Sci. Environ. Epidemiol. 2014, 24, 555–563. [Google Scholar] [CrossRef] [PubMed]
- Burke, J.M.; Zufall, M.J.; Ozkaynak, H. A population exposure model for particulate matter: Case study results for PM2.5 in Philadelphia, PA. J. Expo. Anal. Environ. Epidemiol. 2001, 11, 470–489. [Google Scholar] [CrossRef] [PubMed]
- Ott, W.; Klepeis, N.; Switzer, P. Air change rates of motor vehicles and in-vehicle pollutant concentrations from secondhand smoke. J. Expo. Anal. Environ. Epidemiol. 2008, 18, 312–325. [Google Scholar] [CrossRef] [PubMed]
- Colley, R.C.; Garriguet, D.; Janssen, I.; Craig, C.L.; Clarke, J.; Tremblay, M.S. Physical Activity of Canadian Adults: Accelerometer Results from the 2007 to 2009 Canadian Health Measures Survey; Report 82-003-XPE; Statistics Canada: Ottawa, ON, Canada, 2011; Available online: https://www150.statcan.gc.ca/n1/pub/82-003-x/2011001/article/11396-eng.pdf (accessed on 25 November 2019).
- U.S. EPA. Metabolically Derived Human Ventilation Rates: A Revised Approach Based upon Oxygen Consumption Rates; Final Report Report EPA/600/R-06/129F; U.S. EPA: Washington, DC, USA, 2009. Available online: https://cfpub.epa.gov/ncea/risk/recordisplay.cfm?deid=202543 (accessed on 25 November 2019).
- DuBois, D.; DuBois, E.F. A formula to estimate the approximate surface area if height and weight be known. Arch. Int. Med. 1916, 17, 863–871. [Google Scholar] [CrossRef]
- Szpiro, A.A.; Paciorek, C.J.; Sheppard, L. Does more accurate exposure prediction necessarily improve health effect estimates? Epidemiology 2011, 22, 680–685. [Google Scholar] [CrossRef] [PubMed]
- Szpiro, A.A.; Paciorek, C.J. Measurement error in two-stage analyses, with application to air pollution epidemiology. Environmetrics 2013, 24, 501–517. [Google Scholar] [CrossRef]
- U.S. EPA. Total Risk Integrated Methodology (TRIM) Air Pollutants Exposure Model Documentation (TRIM.Expo/APEX, Version 4.5); Report EPA/600/R-06/129F; EPA Office of Air Quality Planning and Standards: Research Triangle Park, NC, USA, 2012. Available online: https://www.epa.gov/fera/total-risk-integrated-methodology-trim-air-pollutants-exposure-model-documentation-trimexpo (accessed on 25 November 2019).
- U.S. EPA. Total Risk Integrated Methodology (TRIM) Air Pollutants Exposure Model Documentation (TRIM.Expo/APEX, Version 4.5) Volume II, Technical Support Document; Report EPA-452/B-12-001b; EPA Office of Air Quality Planning and Standards: Research Triangle Park, NC, USA, 2012. Available online: https://www.epa.gov/sites/production/files/2017-07/documents/apex45_usersguide_vol2_aug2012_0_1.pdf (accessed on 25 November 2019).
- Weis, B.K.; Balshaw, D.; Barr, J.R.; Brown, D.; Ellisman, M.; Lioy, P.; Omenn, G.; Potter, J.D.; Smith, M.T.; Sohn, L.; et al. Personalized exposure assessment: Promising approaches for human environmental health research. Environ. Health Perspect. 2005, 113, 840–848. [Google Scholar] [CrossRef]
- Sarnat, J.A.; Sarnat, S.E.; Flanders, W.D.; Chang, H.H.; Mulholland, J.; Baxter, L.; Isakov, V.; Özkaynak, H. Spatiotemporally resolved air exchange rate as a modifier of acute air pollution-related morbidity in Atlanta. J. Expo. Sci. Environ. Epidemiol. 2013, 23, 606–615. [Google Scholar] [CrossRef] [PubMed]
- Kaufman, J.D.; Adar, S.D.; Barr, R.G.; Budoff, M.; Burke, G.L.; Curl, C.L.; Daviglus, M.L.; Roux, A.V.; Gassett, A.J.; Jacobs, D.R., Jr.; et al. Association between air pollution and coronary artery calcification within six metropolitan areas in the USA (the Multi-Ethnic Study of Atherosclerosis and Air Pollution): A longitudinal cohort study. Lancet 2016, 388, 696–704. [Google Scholar] [CrossRef]
- Koenig, J.Q.; Mar, T.F.; Allen, R.W.; Jansen, K.; Lumley, T.; Sullivan, J.H.; Trenga, C.A.; Larson, T.; Liu, L.J. Pulmonary effects of indoor- and outdoor-generated particles in children with asthma. Environ. Health Perspect. 2005, 13, 499–503. [Google Scholar] [CrossRef]
- Wilson, W.; Mage, D.; Grant, L. Estimating separately personal exposure to ambient and nonambient particulate matter for epidemiology and risk assessment: Why and how. J. Air Waste Manag. Assoc. 2000, 50, 1167–1183. [Google Scholar] [CrossRef] [PubMed]






© 2020 by the authors. Licensee MDPI, Basel, Switzerland. This article is an open access article distributed under the terms and conditions of the Creative Commons Attribution (CC BY) license (http://creativecommons.org/licenses/by/4.0/).
Share and Cite
Breen, M.; Chang, S.Y.; Breen, M.; Xu, Y.; Isakov, V.; Arunachalam, S.; Carraway, M.S.; Devlin, R. Fine-Scale Modeling of Individual Exposures to Ambient PM2.5, EC, NOx, and CO for the Coronary Artery Disease and Environmental Exposure (CADEE) Study. Atmosphere 2020, 11, 65. https://doi.org/10.3390/atmos11010065
Breen M, Chang SY, Breen M, Xu Y, Isakov V, Arunachalam S, Carraway MS, Devlin R. Fine-Scale Modeling of Individual Exposures to Ambient PM2.5, EC, NOx, and CO for the Coronary Artery Disease and Environmental Exposure (CADEE) Study. Atmosphere. 2020; 11(1):65. https://doi.org/10.3390/atmos11010065
Chicago/Turabian StyleBreen, Michael, Shih Ying Chang, Miyuki Breen, Yadong Xu, Vlad Isakov, Saravanan Arunachalam, Martha Sue Carraway, and Robert Devlin. 2020. "Fine-Scale Modeling of Individual Exposures to Ambient PM2.5, EC, NOx, and CO for the Coronary Artery Disease and Environmental Exposure (CADEE) Study" Atmosphere 11, no. 1: 65. https://doi.org/10.3390/atmos11010065
APA StyleBreen, M., Chang, S. Y., Breen, M., Xu, Y., Isakov, V., Arunachalam, S., Carraway, M. S., & Devlin, R. (2020). Fine-Scale Modeling of Individual Exposures to Ambient PM2.5, EC, NOx, and CO for the Coronary Artery Disease and Environmental Exposure (CADEE) Study. Atmosphere, 11(1), 65. https://doi.org/10.3390/atmos11010065

