Multi-SNP Haplotypes in Circadian PER3 Gene Are Associated with Mood and Sleep Disorders in University Students
Abstract
1. Introduction
2. Materials and Methods
2.1. Participants
2.2. Self-Reported Surveys
2.3. Genotyping
2.4. Statistical Analysis
3. Results
3.1. Results from Single SNP Analyses
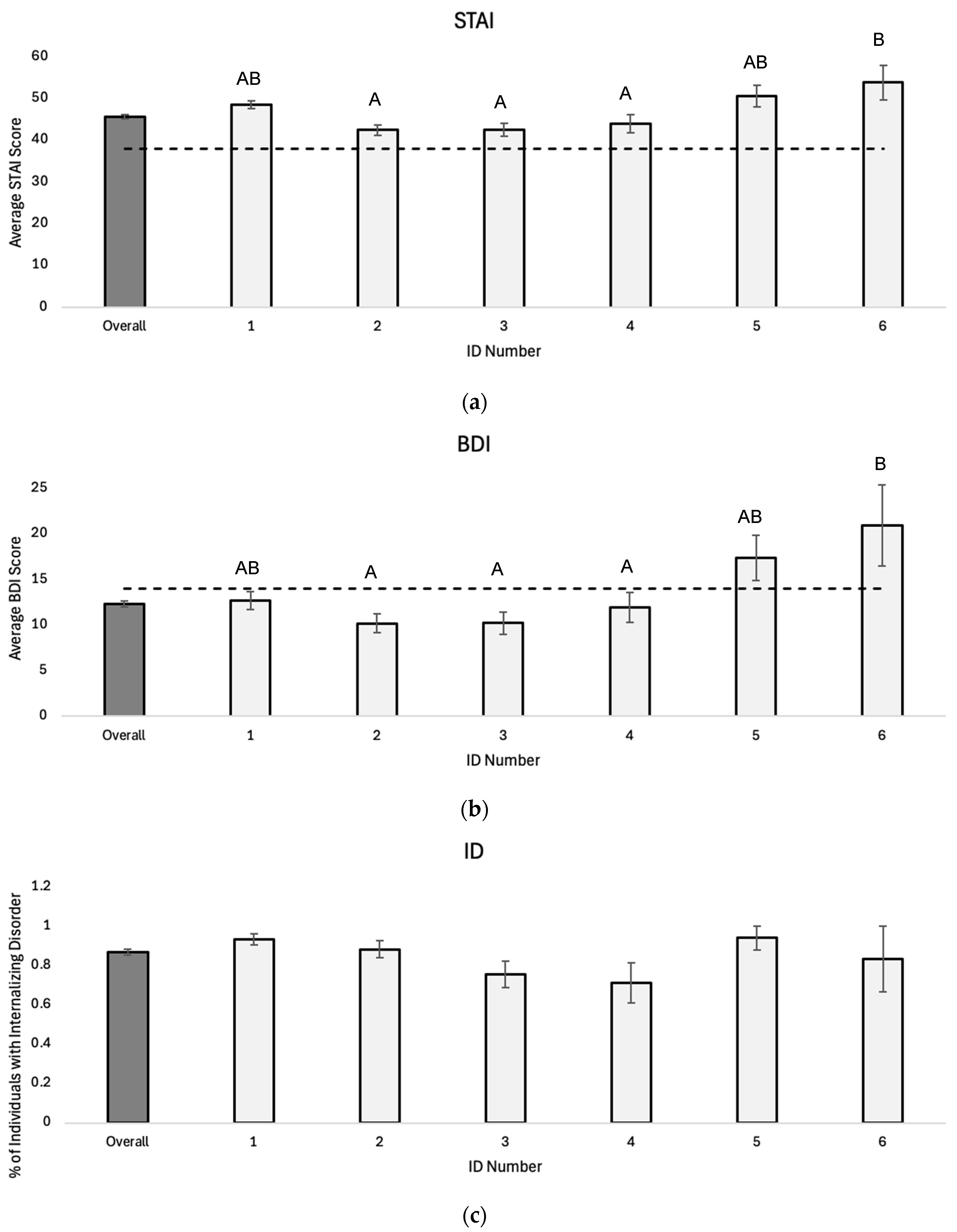
3.2. Associations from Multi-SNP Analyses
4. Discussion
4.1. Association of Single SNP Genotypes with Mood Disorders and Sleep Disturbances
4.2. Association of Multi-SNP Haplotypes with Mood Disorders and Sleep Disturbances
4.3. Limitations
5. Conclusions
Supplementary Materials
Author Contributions
Funding
Institutional Review Board Statement
Informed Consent Statement
Data Availability Statement
Acknowledgments
Conflicts of Interest
Abbreviations
| PER3 | Period 3 gene |
| SNP | Single-nucleotide polymorphism |
| VNTR | Variable number of tandem repeats |
| SAD | Seasonal affective disorder |
| ID | Internalizing disorder |
| MDD | Major depressive disorder |
| ET | Evening chronotype |
References
- Steel, Z.; Marnane, C.; Iranpour, C.; Chey, T.; Jackson, J.W.; Patel, V.; Silove, D. The global prevalence of common mental disorders: A systematic review and meta-analysis 1980–2013. Int. J. Epidemiol. 2014, 43, 476–493. [Google Scholar] [CrossRef] [PubMed]
- Fineberg, N.A.; Haddad, P.M.; Carpenter, L.; Gannon, B.; Sharpe, R.; Young, A.H.; Joyce, E.; Rowe, J.; Wellsted, D.; Nutt, D.J.; et al. The size, burden and cost of disorders of the brain in the UK. J. Psychopharmacol. 2013, 27, 761–770. [Google Scholar] [CrossRef] [PubMed]
- Hafner, M.; Stepanek, M.; Taylor, J.; Troxel, W.M.; Van Stolk, C. Why Sleep Matters-The Economic Costs of Insufficient Sleep: A Cross-Country Comparative Analysis. RAND Health Q. 2017, 6, 11. [Google Scholar] [PubMed]
- Henderson, S.E.M.; Brady, E.M.; Robertson, N. Associations between social jetlag and mental health in young people: A systematic review. Chronobiol. Int. 2019, 36, 1316–1333. [Google Scholar] [CrossRef]
- Islam, Z.; Hu, H.; Akter, S.; Kuwahara, K.; Kochi, T.; Eguchi, M.; Kurotani, K.; Nanri, A.; Kabe, I.; Mizoue, T. Social jetlag is associated with an increased likelihood of having depressive symptoms among the Japanese working population: The Furukawa Nutrition and Health Study. Sleep 2020, 43, zsz204. [Google Scholar] [CrossRef] [PubMed]
- Levandovski, R.; Dantas, G.; Fernandes, L.C.; Caumo, W.; Torres, I.; Roenneberg, T.; Hidalgo, M.P.L.; Allebrandt, K.V. Depression Scores Associate with Chronotype and Social Jetlag in a Rural Population. Chronobiol. Int. 2011, 28, 771–778. [Google Scholar] [CrossRef]
- Dollish, H.K.; Tsyglakova, M.; McClung, C.A. Circadian rhythms and mood disorders: Time to see the light. Neuron 2024, 112, 25–40. [Google Scholar] [CrossRef]
- Neves, A.R.; Albuquerque, T.; Quintela, T.; Costa, D. Circadian rhythm and disease: Relationship, new insights, and future perspectives. J. Cell. Physiol. 2022, 237, 3239–3256. [Google Scholar] [CrossRef]
- Murray, J.M.; Sletten, T.L.; Magee, M.; Gordon, C.; Lovato, N.; Bartlett, D.J.; Kennaway, G.J.; Lack, L.C.; Grunstein, R.R.; Lockley, S.W.; et al. Prevalence of Circadian Misalignment and Its Association with Depressive Symptoms in Delayed Sleep Phase Dis-order. Sleep 2017, 40, zsw002. [Google Scholar]
- Nguyen, C.; Murray, G.; Anderson, S.; Filipowicz, A.; Ingram, K.K. In vivo molecular chronotyping, circadian misalignment, and high rates of depression in young adults. J. Affect. Disord. 2019, 250, 425–431. [Google Scholar] [CrossRef]
- Walker, W.H., II; Walton, J.C.; DeVries, A.C.; Nelson, R.J. Circadian rhythm disruption and mental health. Transl. Psychiatry 2020, 10, 28. [Google Scholar] [CrossRef] [PubMed]
- Antypa, N.; Vogelzangs, N.; Meesters, Y.; Schoevers, R.; Penninx, B.W.J.H. Chronotype Associations With Depression and Anxiety Disorders in a Large Cohort Study. Depress. Anxiety 2015, 33, 75–83. [Google Scholar] [CrossRef] [PubMed]
- Garbazza, C.; Benedetti, F. Genetic Factors Affecting Seasonality, Mood, and the Circadian Clock. Front. Endocrinol. 2018, 9, 481. [Google Scholar] [CrossRef]
- Francis, T.C.; Porcu, A. Emotionally clocked out: Cell-type specific regulation of mood and anxiety by the circadian clock system in the brain. Front. Mol. Neurosci. 2023, 16, 1188184. [Google Scholar] [CrossRef]
- Dang, T.; Russel, W.A.; Saad, T.; Dhawka, L.; Ay, A.; Ingram, K.K. Risk for Seasonal Affective Disorder (SAD) Linked to Circadian Clock Gene Variants. Biology 2023, 12, 1532. [Google Scholar] [CrossRef] [PubMed]
- Valenzuela, F.J.; Vera, J.; Venegas, C.; Muñoz, S.; Oyarce, S.; Muñoz, K.; Lagunas, C. Evidence of Polymorphism Associated with Circadian System and Risk of Pathologies: A Review of the Literature. Int. J. Endocrinol. 2016, 2016, 2746909. [Google Scholar] [CrossRef]
- Archer, S.N.; Robilliard, D.L.; Skene, D.J.; Smits, M.; Williams, A.; Arendt, J.; von Schantz, M. A Length Polymorphism in the Circadian Clock Gene Per3 is Linked to Delayed Sleep Phase Syndrome and Extreme Diurnal Preference. Sleep 2003, 26, 413–415. [Google Scholar] [CrossRef]
- Hida, A.; Kitamura, S.; Katayose, Y.; Kato, M.; Ono, H.; Kadotani, H.; Uchiyama, M.; Ebisawa, T.; Inoue, Y.; Kamei, Y.; et al. Screening of Clock Gene Polymorphisms Demonstrates Association of a PER3 Polymorphism with Morningness–Eveningness Preference and Circadian Rhythm Sleep Disorder. Sci. Rep. 2014, 4, srep06309. [Google Scholar] [CrossRef]
- Kim, H.I.; Lee, H.J.; Cho, C.H.; Kang, S.G.; Yoon, H.K.; Park, Y.M.; Lee, S.-H.; Moon, J.-H.; Song, H.-M.; Lee, E.; et al. Association of CLOCK, ARNTL, and NPAS2 gene polymorphisms and seasonal variations in mood and behavior. Chronobiol. Int. 2015, 32, 785–791. [Google Scholar] [CrossRef]
- Lavebratt, C.; Sjöholm, L.K.; Partonen, T.; Schalling, M.; Forsell, Y. PER2 variation is associated with depression vulnerability. Am. J. Med. Genet. Part B Neuropsychiatr. Genet. 2010, 153, 570–581. [Google Scholar] [CrossRef]
- Lavebratt, C.; Sjöholm, L.K.; Soronen, P.; Paunio, T.; Vawter, M.P.; Bunney, W.E.; Adolfsson, R.; Forsell, Y.; Wu, J.C.; Kelsoe, J.R.; et al. CRY2 Is Associated with Depression. PLoS ONE 2010, 5, e9407. [Google Scholar] [CrossRef]
- Partonen, T.; Treutlein, J.; Alpman, A.; Frank, J.; Johansson, C.; Depner, M.; Aron, L.; Rietschel, M.; Wellek, S.; Soronen, P.; et al. Three circadian clock genes Per2, Arntl, and Npas2 contribute to winter depression. Ann. Med. 2007, 39, 229–238. [Google Scholar] [CrossRef]
- Shi, S.-Q.; White, M.J.; Borsetti, H.M.; Pendergast, J.S.; Hida, A.; Ciarleglio, C.M.; de Verteuil, P.A.; Cadar, A.G.; Cala, C.; McMahon, D.G.; et al. Molecular analyses of circadian gene variants reveal sex-dependent links between depression and clocks. Transl. Psychiatry 2016, 6, e748. [Google Scholar] [CrossRef]
- Zafar, A.; Overton, R.; Attia, Z.; Ay, A.; Ingram, K. Machine learning and expression analyses reveal circadian clock features predictive of anxiety. Sci. Rep. 2022, 12, 5508. [Google Scholar] [CrossRef] [PubMed]
- Zou, H.; Zhou, H.; Yan, R.; Yao, Z.; Lu, Q. Chronotype, circadian rhythm, and psychiatric disorders: Recent evidence and potential mechanisms. Front. Neurosci. 2022, 16, 811771. [Google Scholar] [CrossRef] [PubMed]
- Mendoza, J. Circadian disruptions and brain clock dysregulation in mood disorders. Nat. Ment. Health 2024, 2, 749–763. [Google Scholar] [CrossRef]
- Voinescu, B.; Szentagotai-Tatar, A. Sleep hygiene awareness: Its relation to sleep quality and diurnal preference. J. Mol. Psychiatry 2015, 3, 1. [Google Scholar] [CrossRef] [PubMed]
- Becker, S.P.; Jarrett, M.A.; Luebbe, A.M.; Garner, A.A.; Burns, G.L.; Kofler, M.J. Sleep in a large, multi-university sample of college students: Sleep problem prevalence, sex differences, and mental health correlates. Sleep Health 2018, 4, 174–181. [Google Scholar] [CrossRef]
- Liberman, A.R.; Kwon, S.B.; Vu, H.T.; Filipowicz, A.; Ay, A.; Ingram, K.K. Circadian Clock Model Supports Molecular Link Between PER3 and Human Anxiety. Sci. Rep. 2017, 7, 9893. [Google Scholar] [CrossRef] [PubMed]
- Liberman, A.R.; Halitjaha, L.; Ay, A.; Ingram, K.K. Modeling strengthens molecular link between circadian polymorphisms and major mood disorders. J. Biol. Rhythm. 2018, 33, 318–336. [Google Scholar] [CrossRef]
- Johansson, C.; Willeit, M.; Smedh, C.; Ekholm, J.; Paunio, T.; Kieseppä, T.; Lichtermann, D.; Praschak-Rieder, N.; Neumeister, A.; Nilsson, L.-G.; et al. Circadian clock-related polymorphisms in seasonal affective disorder and their relevance to diurnal preference. Neuropsychopharmacology 2002, 28, 734–739. [Google Scholar] [CrossRef] [PubMed]
- Ebisawa, T.; Uchiyama, M.; Kajimura, N.; Mishima, K.; Kamei, Y.; Katoh, M.; Watanabe, T.; Sekimoto, M.; Shibui, K.; Kim, K.; et al. Association of structural polymorphisms in the human period3 gene with delayed sleep phase syndrome. EMBO Rep. 2001, 2, 342–346. [Google Scholar] [CrossRef] [PubMed]
- Overton, R.; Zafar, A.; Attia, Z.; Ay, A.; Ingram, K.K. Machine learning analyses reveal circadian features predictive of risk for sleep disturbance. Nat. Sci. Sleep 2022, 14, 1887–1900. [Google Scholar] [CrossRef]
- Adan, A.; Almirall, H. Horne Östberg morningness-eveningness questionnaire: A reduced scale. Pers. Individ. Dif. 1991, 12, 241–253. [Google Scholar] [CrossRef]
- Beck, A.T.; Beamesderfer, A. Assessment of depression: The depression inventory. Mod. Probl. Pharmacopsychiatry 1974, 7, 151–169. [Google Scholar]
- Spielberger, C.D.; Gorsuch, R.L.; Lushene, R.; Vagg, P.R.; Jacobs, G.A. Manual for the State-Trait Anxiety Inventory; Consulting Psychologists Press: Washington, DC, USA, 1983. [Google Scholar]
- Rosenthal, N.; Bradt, G.; Wehr, T. Seasonal Pattern Assessment Questionnaire (SPAQ); National Institute of Mental Health: Bethesda, MD, USA, 1984.
- Yu, L.; Buysse, D.J.; Germain, A.; Moul, D.E.; Stover, A.; Dodds, N.E.; Johnston, K.L.; Pilkonis, P.A. Development of Short Forms From the PROMIS™ Sleep Disturbance and Sleep-Related Impairment Item Banks. Behav. Sleep Med. 2011, 10, 6–24. [Google Scholar] [CrossRef]
- Jones, K.H.S.; Ellis, J.; Von Schantz, M.; Skene, D.J.; Dijk, D.-J.; Archer, S.N. Age-related change in the association between a polymorphism in the PER3 gene and preferred timing of sleep and waking activities. J. Sleep Res. 2007, 16, 12–16. [Google Scholar] [CrossRef]
- Parsons, M.J.; Lester, K.J.; Barclay, N.L.; Archer, S.N.; Nolan, P.M.; Eley, T.C.; Gregory, A.M. Polymorphisms in the circadian expressed genes PER3 and ARNTL2 are associated with diurnal preference and GNβ3 with sleep measures. J. Sleep Res. 2014, 23, 595–604. [Google Scholar] [CrossRef]
- Gallego, M.; Virshup, D.M. Post-translational modifications regulate the ticking of the circadian clock. Nat. Rev. Mol. Cell Biol. 2007, 8, 139–148. [Google Scholar] [CrossRef]
- Meng, Q.J.; Logunova, L.; Maywood, E.S.; Gallego, M.; Lebiecki, J.; Brown, T.M.; Sládek, M.; Semikhodskii, A.S.; Glossop, N.R.; Piggins, H.D.; et al. Setting clock speed in mammals: The CK1ɛ tau mutation in mice accelerates circadian pacemakers by selectively destabilizing PERIOD proteins. Neuron 2008, 58, 78–88. [Google Scholar] [CrossRef]
- Zhang, L.; Hirano, A.; Hsu, P.K.; Jones, C.R.; Sakai, N.; Okuro, M.; McMahon, T.; Yamazaki, M.; Xu, Y.; Saigoh, N.; et al. A PERIOD3 variant causes a circadian phenotype and is associated with a seasonal mood trait. Proc Natl Acad Sci USA 2016, 113, E1536–E1544. [Google Scholar] [CrossRef]
- Janoski, J.R.; Aiello, I.; Lundberg, C.W.; Finkielstein, C.V. Circadian clock gene polymorphisms implicated in human pathologies. Trends Genet. 2024, 40, 834–852. [Google Scholar] [CrossRef]




| SNPs | Alleles | Global Frequencies (Study Population) | Examples of Studies Showing Associated Risks |
|---|---|---|---|
| PER3 VNTR rs57875989 | 4 5 | 5—0.30–0.40 (0.274) | 4—evening chronotype [12,17,29,39], anxiety, and depression [29,30] |
| PER3A rs228697 | C G | G—0.10 (0.096) | G—evening chronotype [18,29,30], anxiety [30], and depression [23] |
| PER3B rs17031614 | G A | A—0.04 (0.071) | A—depression [23] GG—anxiety [24] and sleep disturbances [33] in females |
| PER3C rs10462020 | T G | G—0.17 (0.180) | T—evening chronotype [31,40] and sleep disturbances [32] |
| Association of Risk Allele with | SNPs | n | Odds Ratio | 95% CI | Z-Score | p-Value |
|---|---|---|---|---|---|---|
| STAI | PER3C | 654 | 1.6609 | 0.7409 to 3.7233 | 1.232 | 0.2180 |
| PER3A | 970 | 1.2031 | 0.8512 to 1.7004 | 1.047 | 0.2950 | |
| PERB | 646 | 1.0768 | 0.6504 to 1.7830 | 0.288 | 0.7735 | |
| VNTR | 921 | 0.9487 | 0.5725 to 1.5721 | 0.204 | 0.8381 | |
| BDI | PER3B | 623 | 1.6875 | 1.0356 to 2.7498 | 2.100 | 0.0357 ** |
| PER3C | 632 | 1.4380 | 0.5620 to 3.6791 | 0.758 | 0.4486 | |
| VNTR | 667 | 0.7684 | 0.4248 to 1.3899 | 0.871 | 0.3837 | |
| PER3A | 677 | 0.7302 | 0.4672 to 1.1411 | 1.381 | 0.1674 | |
| Internalizing Disorder (ID) | VNTR | 706 | 2.2232 | 1.1240 to 4.3973 | 2.296 | 0.0217 ** |
| PER3A | 735 | 1.5351 | 0.7680 to 3.0682 | 1.213 | 0.2251 | |
| PER3C | 560 | 1.2263 | 0.3468 to 4.3367 | 0.317 | 0.7516 | |
| PER3B | 552 | 0.6724 | 0.3485 to 1.2974 | 1.184 | 0.2366 |
| Association of Risk Allele with | SNPs | n | Odds Ratio | 95% CI | Z-Score | p-Value |
|---|---|---|---|---|---|---|
| Sleep Disturbance | PER3C | 605 | 1.7547 | 0.5878 to 5.2381 | 1.008 | 0.3136 |
| PER3A | 914 | 1.1044 | 0.7465 to 1.6340 | 0.497 | 0.6192 | |
| VNTR | 866 | 1.0444 | 0.5741 to 1.9002 | 0.142 | 0.8867 | |
| PER3B | 599 | 0.9877 | 0.5716 to 1.7069 | 0.044 | 0.9648 | |
| rMEQ-ET | PER3B | 606 | 1.6523 | 1.0053 to 2.7155 | 1.981 | 0.0476 ** |
| PER3C | 614 | 1.6281 | 0.6401 to 4.1412 | 1.023 | 0.3062 | |
| VNTR | 881 | 0.9549 | 0.5698 to 1.6003 | 0.175 | 0.8610 | |
| PER3A | 929 | 0.7668 | 0.5297 to 1.1100 | 1.407 | 0.1594 |
| Association of Risk Allele with | SNPs | n | Odds Ratio | 95% CI | Z-Score | p-Value |
|---|---|---|---|---|---|---|
| M STAI | PER3C | 181 | 4.0909 | 0.7715 to 21.6925 | 1.655 | 0.0979 * |
| PER3B | 180 | 1.9130 | 0.7108 to 5.1490 | 1.284 | 0.1991 | |
| M BDI | PER3B | 175 | 2.4231 | 0.9546 to 6.1503 | 1.862 | 0.0626 * |
| M ID | PER3C | 153 | 4.1379 | 0.5592 to 30.6219 | 1.391 | 0.1643 |
| VNTR | 216 | 3.0714 | 1.0776 to 8.7544 | 2.100 | 0.0357 ** | |
| F BDI | PER3B | 448 | 1.5007 | 0.8441 to 2.6681 | 1.383 | 0.1667 |
| F SLEEP | PER3C | 439 | 3.2267 | 0.7308 to 14.2467 | 1.546 | 0.1221 |
| Haplotype ID Number | n | VNTR | PER3A | PER3B | PER3C |
|---|---|---|---|---|---|
| 1 | 76 | 4/4 | CC | GG | TT |
| 2 | 52 | 4/5 | CC | GG | TG |
| 3 | 41 | 5/5 | CC | GG | TT |
| 4 | 21 | 4/4 | CC | AG | TT |
| 5 | 17 | 4/4 | CG | GG | TG |
| 6 | 6 | 5/5 | CC | GG | TG |
| 7 | 4 | 4/4 | CC | AA | TT |
| 8 | 4 | 4/4 | GG | GG | TT |
| Association of Haplotype with | Haplotype ID | Haplotype n, Overall N | Odds Ratio | 95% CI | Z-Score | p-Value |
|---|---|---|---|---|---|---|
| STAI | 5 | 17, 506 | 4.1649 | 0.5458 to 31.7806 | 1.376 | 0.1688 |
| 1 | 76, 506 | 2.7953 | 1.2433 to 6.2847 | 2.487 | 0.0129 ** | |
| 6 † | 6, 506 | 1.2657 | 0.1462 to 10.9544 | 0.214 | 0.8306 | |
| 2 | 52, 506 | 0.6526 | 0.3388 to 1.2570 | 1.276 | 0.2019 | |
| 3 | 41, 506 | 0.5800 | 0.2849 to 1.1809 | 1.502 | 0.1332 | |
| 4 | 21, 506 | 0.4872 | 0.1913 to 1.2405 | 1.508 | 0.1315 | |
| BDI | 6† | 6, 501 | 8.4511 | 1.0001 to 72.9003 | 1.941 | 0.0502 * |
| 5 | 17, 501 | 1.4880 | 0.5641 to 3.9254 | 0.803 | 0.4219 | |
| 1 | 76, 501 | 1.3233 | 0.8070 to 2.1701 | 1.110 | 0.2669 | |
| 4 | 21, 501 | 1.2500 | 0.5165 to 3.0251 | 0.495 | 0.6207 | |
| 3 | 41, 501 | 0.6877 | 0.3409 to 1.3873 | 1.046 | 0.2957 | |
| 2 | 52, 501 | 0.6609 | 0.3515 to 1.2428 | 1.285 | 0.1987 | |
| ID | 5 | 17, 508 | 2.4847 | 0.3241 to 19.0497 | 0.876 | 0.3811 |
| 1 | 76, 508 | 2.3795 | 0.9140 to 6.1276 | 1.796 | 0.0725 * | |
| 2 | 52, 508 | 1.1840 | 0.4850 to 2.8902 | 0.371 | 0.7107 | |
| 6† | 6, 508 | 0.7569 | 0.0871 to 6.5803 | 0.252 | 0.8007 | |
| 3 | 41, 508 | 0.4310 | 0.2006 to 0.9259 | 2.157 | 0.0310 ** | |
| 4 | 21, 508 | 0.3580 | 0.1338 to 0.9577 | 2.046 | 0.0407 ** |
| Association of Haplotype with | Haplotype ID Number | n | Odds Ratio | 95% CI | Z-Score | p-Value |
|---|---|---|---|---|---|---|
| sleep | 7 † | 4, 459 | 6.8201 | 0.7032 to 66.1462 | 1.656 | 0.0977 * |
| 8 † | 4, 459 | 6.8201 | 0.7032 to 66.1462 | 1.656 | 0.0977 * | |
| 5 | 17, 459 | 2.6439 | 0.9397 to 7.4387 | 1.842 | 0.0654 * | |
| 2 | 52, 459 | 0.3591 | 0.1567 to 0.8226 | 2.422 | 0.0154 ** |
Disclaimer/Publisher’s Note: The statements, opinions and data contained in all publications are solely those of the individual author(s) and contributor(s) and not of MDPI and/or the editor(s). MDPI and/or the editor(s) disclaim responsibility for any injury to people or property resulting from any ideas, methods, instructions or products referred to in the content. |
© 2025 by the authors. Licensee MDPI, Basel, Switzerland. This article is an open access article distributed under the terms and conditions of the Creative Commons Attribution (CC BY) license (https://creativecommons.org/licenses/by/4.0/).
Share and Cite
Goodell, F.; Ingram, K.K. Multi-SNP Haplotypes in Circadian PER3 Gene Are Associated with Mood and Sleep Disorders in University Students. Genes 2025, 16, 1047. https://doi.org/10.3390/genes16091047
Goodell F, Ingram KK. Multi-SNP Haplotypes in Circadian PER3 Gene Are Associated with Mood and Sleep Disorders in University Students. Genes. 2025; 16(9):1047. https://doi.org/10.3390/genes16091047
Chicago/Turabian StyleGoodell, Francesca, and Krista K. Ingram. 2025. "Multi-SNP Haplotypes in Circadian PER3 Gene Are Associated with Mood and Sleep Disorders in University Students" Genes 16, no. 9: 1047. https://doi.org/10.3390/genes16091047
APA StyleGoodell, F., & Ingram, K. K. (2025). Multi-SNP Haplotypes in Circadian PER3 Gene Are Associated with Mood and Sleep Disorders in University Students. Genes, 16(9), 1047. https://doi.org/10.3390/genes16091047

