Genome-Wide Identification and Comprehensive Analysis of the GARP Transcription Factor Superfamily in Populus deltoides
Abstract
1. Introduction
2. Materials and Methods
2.1. Identification of GARP Family in Plants
2.2. Phylogenetic Tree Construction of PdGARPs
2.3. Chromosomal Distribution, Gene Duplication, and Synteny Analyses of PdGARPs Genes
2.4. Plant Material and Treatments
3. Results
3.1. Identification of PdGARP Members in P. deltoides
3.2. Conserved Motif and Gene Structure Analyse
3.3. Gene Duplication and Synteny Analysis of PdGARPs
3.4. Cis-Element Analysis of PdGARPs
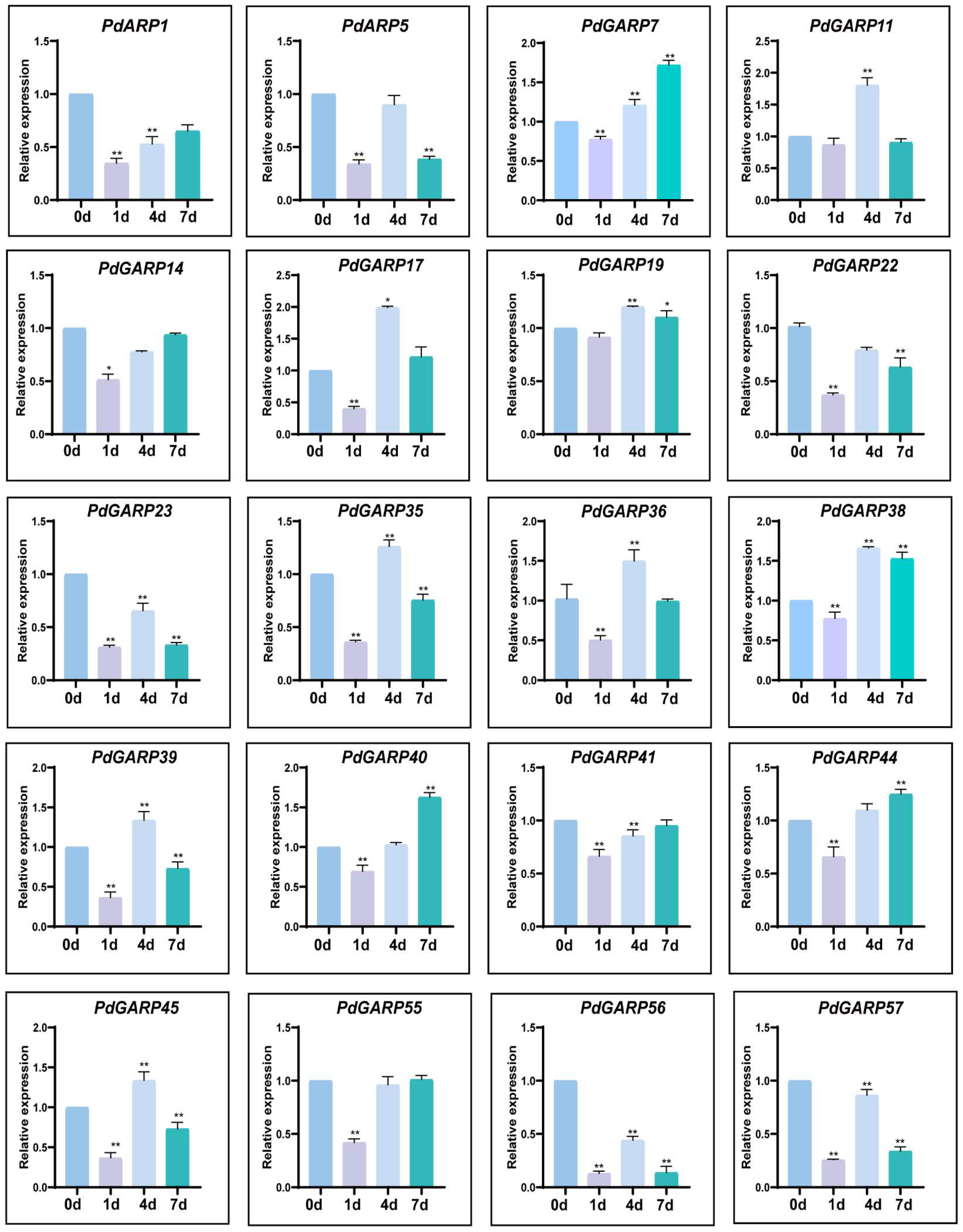
3.5. Gene Expression in Response to Phosphorus and Nitrogen Deficiency
3.6. KAN Genes Showed Tissue-Specific Expression
3.7. Structural Analysis and Functional Validation of GLKs
4. Discussion
5. Conclusions
Supplementary Materials
Author Contributions
Funding
Institutional Review Board Statement
Informed Consent Statement
Data Availability Statement
Conflicts of Interest
References
- Candela, H.C.; Johnston, R.; Gerhold, A.; Foster, T.; Hake, S. The milkweed pod1 gene encodes a KANADI protein that is required for abaxial/adaxial patterning in Maize Leaves. Plant Cell 2008, 20, 2073–2087. [Google Scholar] [CrossRef]
- Yang, X.; Guo, T.; Li, J.; Chen, Z.; Guo, B.; An, X. Genome-wide analysis of the MYB-related transcription factor family and associated responses to abiotic stressors in Populus. Int. J. Biol. Macromol. 2021, 191, 359–376. [Google Scholar] [CrossRef] [PubMed]
- Hosoda, K.; Imamura, A.; Katoh, E.; Hatta, T.; Tachiki, M.; Yamada, H.; Mizuno, T.; Yamazaki, T. Molecular structure of the GARP family of plant Myb-Related DNA binding motifs of the Arabidopsis response regulators. Plant Cell 2002, 14, 2015–2029. [Google Scholar] [CrossRef] [PubMed]
- Zhao, X.; Yang, J.; Li, X.; Li, G.; Sun, Z.; Chen, Y.; Chen, Y.; Xia, M.; Li, Y.; Yao, L.; et al. Identification and expression analysis of GARP superfamily genes in response to nitrogen and phosphorus stress in Spirodela polyrhiza. BMC Plant Biol. 2022, 22, 308. [Google Scholar] [CrossRef]
- Wang, X.; Wei, C.; Huang, H.; Kang, J.; Long, R.; Chen, L.; Li, M.; Yang, Q. The GARP family transcription factor MtHHO3 negatively regulates salt tolerance in Medicago truncatula. Plant Physiol. Biochem. 2024, 209, 108542. [Google Scholar] [CrossRef]
- Yue, C.; Chen, Q.; Hu, J.; Li, C.; Luo, L.; Zeng, L. Genome-wide identification and characterization of GARP transcription factor gene family members reveal their diverse functions in Tea plant (Camellia sin.). Front. Plant Sci. 2022, 13, 947072. [Google Scholar] [CrossRef]
- Wen, B.; Gong, X.; Deng, W.; Chen, X.; Li, D.; Fu, X.; Li, L.; Tan, Q. The apple GARP family gene MdHHO3 regulates the nitrate response and leaf senescence. Front. Plant Sci. 2022, 13, 932767. [Google Scholar] [CrossRef]
- Hua, Y.P.; Wu, P.J.; Zhang, T.Y.; Song, H.L.; Zhang, Y.F.; Chen, J.F.; Yue, C.P.; Huang, J.Y.; Sun, T.; Zhou, T. Genome-scale investigation of GARP family genes reveals their pivotal roles in nutrient stress resistance in allotetraploid rapeseed. Int. J. Mol. Sci. 2022, 23, 14484. [Google Scholar] [CrossRef]
- Wu, C.; Feng, J.; Wang, R.; Liu, H.; Yang, H.; Rodriguez, P.L.; Qin, H.; Liu, X.; Wang, D. HRS1 acts as a negative regulator of abscisic acid signaling to promote timely germination of Arabidopsis seeds. PLoS ONE 2012, 7, e35764. [Google Scholar] [CrossRef]
- Ohama, N.; Yanagisawa, S. Role of GARP family transcription factors in the regulatory network for nitrogen and phosphorus acquisition. J. Plant Res. 2024, 137, 331–341. [Google Scholar] [CrossRef]
- Puga, M.I.; Mateos, I.; Charukesi, R.; Wang, Z.; Franco-Zorrilla, J.M.; Lorenzo, L.D.; Irigoyen, M.L.; Masiero, S.; Bustos, R.; Rodríguez, J.; et al. SPX1 is a phosphate-dependent inhibitor of phosphate starvation response 1 in Arabidopsis. Proc. Natl. Acad. Sci. USA 2014, 111, 14947–14952. [Google Scholar] [CrossRef] [PubMed]
- Zheng, M.; Wang, X.; Luo, J.; Ma, B.; Li, D.; Chen, X. The pleiotropic functions of GOLDEN2-LIKE transcription factors in plants. Front. Plant Sci. 2024, 15, e1445875. [Google Scholar] [CrossRef] [PubMed]
- Chen, M.; Ji, M.; Wen, B.; Liu, L.; Li, S.; Chen, X.; Gao, D.; Li, L. GOLDEN 2-LIKE transcription factors of plants. Front. Plant Sci. 2016, 7, e1509. [Google Scholar] [CrossRef] [PubMed]
- Rehman, O.U.; Uzair, M.; Chao, H.; Fiaz, S.; Khan, M.R.; Chen, M. Role of the type-B authentic response regulator gene family in fragrant rice under alkaline salt stress. Physiol. Plant. 2022, 174, e13696. [Google Scholar] [CrossRef]
- Salvi, E.; Rutten, J.P.; Mambro, R.D.; Polverari, L.; Licursi, V.; Negri, R.; Ioio, R.D.; Sabatini, S.; Tusscher, K.T. A Self-Organized PLT/Auxin/ARR-B Network Controls the Dynamics of Root Zonation Development in Arab. thaliana. Dev. Cell 2020, 53, 431–443.e23. [Google Scholar] [CrossRef]
- Caggiano, M.P.; Yu, X.; Bhatia, N.; Larsson, A.; Ram, H.; Ohno, C.K.; Sappl, P.; Meyerowitz, E.M.; Jönsson, H.; Heisler, M.G. Cell type boundaries organize plant development. eLife 2017, 6, 27421. [Google Scholar] [CrossRef]
- Pires, H.R.; Shemyakina, E.A.; Fletcher, J.C. The ULTRAPETALA1 trxG factor contributes to patterning the Arabidopsis adaxial-abaxial leaf polarity axis. Plant Signal. Behav. 2015, 10, e1034422. [Google Scholar] [CrossRef]
- Ram, H.; Sahadevan, S.; Gale, N.; Caggiano, M.P.; Yu, X.; Ohno, C.; Heisler, M.G. An integrated analysis of cell-type specific gene expression reveals genes regulated by REVOLUTA and KANADI1 in the Arabidopsis shoot apical meristem. PLoS Genet. 2020, 16, e1008661. [Google Scholar] [CrossRef]
- Zumajo-Cardona, C.; Vasco, A.; Ambrose, B.A. The evolution of the KANADI gene Family and leaf development in lycophytes and ferns. Plants 2019, 8, 313. [Google Scholar] [CrossRef]
- Merelo, P.; Paredes, E.B.; Heisler, M.G.; Wenkel, S. The shady side of leaf development: The role of the REVOLUTA/KANADI1 module in leaf patterning and auxin-mediated growth promotion. Curr. Opin. Plant Biol. 2017, 35, 111–116. [Google Scholar] [CrossRef]
- Maeda, Y.; Konishi, M.; Kiba, T.; Sakuraba, Y.; Sawaki, N.; Kurai, T.; Ueda, Y.; Sakakibara, H.; Yanagisawa, S. A NIGT1-centred transcriptional cascade regulates nitrate signalling and incorporates phosphorus starvation signals in Arabidopsis. Nat. Commun. 2018, 9, 1376. [Google Scholar] [CrossRef] [PubMed]
- Sawaki, N.; Tsujimoto, R.; Shigyo, M.; Konishi, M.; Toki, S.; Fujiwara, T.; Yanagisawa, S. A nitrate-inducible GARP family gene encodes an auto-repressible transcriptional repressor in rice. Plant Cell Physiol. 2013, 54, 506–517. [Google Scholar] [CrossRef] [PubMed]
- Kiba, T.; Inaba, J.; Kudo, T.; Ueda, N.; Konishi, M.; Mitsuda, N.; Takiguchi, Y.; Kondou, Y.; Yoshizumi, T.; Ohme-Takagi, M.; et al. Repression of nitrogen starvation responses by members of the Arabidopsis GARP-Type transcription factor NIGT1/HRS1 subfamily. Plant Cell 2018, 30, 925–945. [Google Scholar] [CrossRef] [PubMed]
- Zhuo, M.; Sakuraba, Y.; Yanagisawa, S. Dof1.7 and NIGT1 transcription factors mediate multilayered transcriptional regulation for different expression patterns of NITRATE TRANSPORTER2 genes under nitrogen deficiency stress. New Phytol. 2024, 242, 2132–2147. [Google Scholar] [CrossRef]
- Medici, A.; Marshall-Colon, A.; Ronzier, E.; Szponarski, W.; Wang, R.; Gojon, A.; Crawford, N.M.; Ruffel, S.; Coruzzi, G.M.; Krouk, G. AtNIGT1/HRS1 integrates nitrate and phosphate signals at the Arabidopsis root tip. Nat. Commun. 2015, 6, 6274. [Google Scholar] [CrossRef]
- Zhang, Y.; Wang, Y.; Wang, E.; Wu, X.; Zheng, Q.; Han, Y.; Lin, W.; Liu, Z.; Lin, W. SlPHL1, a MYB-CC transcription factor identified from tomato, positively regulates the phosphate starvation response. Physiol. Plant. 2021, 173, 1063–1077. [Google Scholar] [CrossRef]
- Sega, P.; Pacak, A. Plant PHR transcription factors: Put on a map. Genes 2019, 10, 1018. [Google Scholar] [CrossRef]
- Ruan, W.; Guo, M.; Cai, L.; Hu, H.; Li, C.; Liu, Y.; Wu, Z.; Mao, C.; Yi, K.; Wu, P.; et al. Genetic manipulation of a high-affinity PHR1 target cis-element to improve phosphorous uptake in Oryza sativa L. Plant Mol. Biol. 2015, 87, 429–440. [Google Scholar] [CrossRef]
- Lambret-Frotte, J.; Smith, G.; Langdale, J.A. GOLDEN2-like1 is sufficient but not necessary for chloroplast biogenesis in mesophyll cells of C4 grasses. Plant J. 2023, 117, 416–431. [Google Scholar] [CrossRef]
- Frangedakis, E.; Yelina, N.E.; Billakurthi, K.; Hua, L.; Schreier, T.; Dickinson, P.J.; Tomaselli, M.; Haseloff, J.; Hibberd, J.M. MYB-related transcription factors control chloroplast biogenesis. Cell 2024, 187, 4859–4876.e22. [Google Scholar] [CrossRef]
- Fitter, D.W.; Martin, D.J.; Copley, M.J.; Scotland, R.W.; Langdale, J.A. GLK gene pairs regulate chloroplast development in diverse plant species. Plant J. 2002, 31, 713–727. [Google Scholar] [CrossRef] [PubMed]
- Nakamura, H.; Muramatsu, M.; Hakata, M.; Ueno, O.; Nagamura, Y.; Hirochika, H.; Takano, M.; Ichikawa, H. Ectopic overexpression of the transcription factor OsGLK1 induces chloroplast development in non-green rice cells. Plant Cell Physiol. 2009, 50, 1933–1949. [Google Scholar] [CrossRef]
- Zhang, Q.; Mao, Y.; Zhao, Z.; Hu, X.; Hu, R.; Yin, N.; Sun, X.; Sun, F.; Chen, S.; Jiang, Y.; et al. A Golden2-like transcription factor, BnGLK1a, improves chloroplast development, photosynthesis, and seed weight in rapeseed. J. Integr. Agric. 2024, 23, 1481–1493. [Google Scholar] [CrossRef]
- Wang, H.; Xia, L.; Chen, J.; Cheng, C. Transcriptome analysis reveals the molecular mechanism of the leaf yellowing in allotriploid cucumber. Genes 2024, 15, 825. [Google Scholar] [CrossRef]
- Li, Y.; Gu, C.; Gang, H.; Zheng, Y.; Liu, G.; Jiang, J. Generation of a golden leaf triploid poplar by repressing the expression of GLK genes. For. Res. 2021, 1, 1–7. [Google Scholar] [CrossRef]
- Alam, I.; Wu, X.; Yu, Q.; Ge, L. Comprehensive Genomic Analysis of G2-like Transcription Factor Genes and Their Role in Development and Abiotic Stresses in Arabidopsis. Diversity 2022, 14, 228. [Google Scholar] [CrossRef]
- Yuan, Z.; Dong, Y.; Liu, N.; Li, S.; Zhang, W.; Wang, Y.; Han, Y.; Zhuang, R.; Zhang, X.; Su, X.; et al. G×E analysis of early growth traits of Populus deltoides in east China by using BLUP-GGE. Forests 2022, 13, 1808. [Google Scholar] [CrossRef]
- Chen, C.; Chu, Y.; Huang, Q.; Zhang, W.; Ding, C.; Zhang, J.; Li, B.; Zhang, T.; Li, Z.; Su, X. Morphological, physiological, and transcriptional responses to low nitrogen stress in Populus deltoides Marsh. clones with contrasting nitrogen use efficiency. BMC Genom. 2021, 22, 697. [Google Scholar] [CrossRef]
- Pogson, B.J.; Ganguly, D.; Albrecht-Borth, V. Insights into chloroplast biogenesis and development. Biochim. Et Biophys. Acta (BBA) Bioenergy 2015, 1847, 1017–1024. [Google Scholar] [CrossRef]
- Safi, A.; Anna Medici, A.; Szponarski, W.; Ruffel, S.; Lacombe, B.; Krouk, G. The world according to GARP transcription factors. Curr. Opin. Plant Biol. 2017, 39, 159–167. [Google Scholar] [CrossRef]
- Chen, C.; Ya Wu, Y.; Li, J.; Wang, X.; Zeng, Z.; Xu, J.; Liu, Y.; Feng, J.; Chen, H.; He, Y.; et al. TBtools-II: A “one for all, all for one” bioinformatics platform for biological big-data mining. Mol. Plant 2023, 16, 1733–1742. [Google Scholar] [CrossRef] [PubMed]
- Yu, M.; Zhuo, R.; Lu, Z.; Li, S.; Chen, J.; Wang, Y.; Li, J.; Han, X. Molecular insights into lignin biosynthesis on cadmium tolerance: Morphology, transcriptome and proteome profiling in Salix matsudana. J. Hazard. Mater. 2023, 441, 129909. [Google Scholar] [CrossRef] [PubMed]
- Tian, P.; Liu, J.; Zhao, Y.; Huang, Y.; Lian, Y.; Wang, Y.; Ye, Y. Nitrogen rates and plant density interactions enhance radiation interception, yield, and nitrogen use efficiencies of maize. Front. Plant Sci. 2022, 13, 974714. [Google Scholar] [CrossRef] [PubMed]
- Safi, A.; Medici, A.; Szponarski, W.; Martin, F.; Clément-Vidal, A.; Marshall-Colon, A.; Ruffel, S.; Gaymard, F.; Rouached, H.; Leclercq, J.; et al. GARP transcription factors repress Arabidopsis nitrogen starvation response via ROS-dependent and -independent pathways. J. Exp. Bot. 2021, 72, 3881–3901. [Google Scholar] [CrossRef]
- Ueda, Y.; Yanagisawa, S. Transcription factor module NLP–NIGT1 fine-tunes Nitrate Transporter2.1 expression. Expr. Plant Physiol. 2023, 193, 2865–2879. [Google Scholar] [CrossRef]
- Krouk, G.; Kiba, T. Nitrogen and Phosphorus interactions in plants: From agronomic to physiological and molecular insights. Curr. Opin. Plant Biol. 2020, 57, 104–109. [Google Scholar] [CrossRef]
- Yan, S.; Yan, C.J.; Zeng, X.H.; Yang, Y.C.; Fang, Y.W.; Tian, C.Y.; Sun, Y.W.; Cheng, Z.K.; Gu, M.H. ROLLED LEAF 9, encoding a GARP protein, regulates the leaf abaxial cell fate in rice. Plant Mol. Biol. 2008, 68, 239–250. [Google Scholar] [CrossRef]











| Duplicated Pairs | Ka | Ks | Ka/Ks | Duplication Type | Purifying Selection |
|---|---|---|---|---|---|
| PdGARP1–PdGARP11 | 0.0654 | 0.2315 | 0.2824 | SD | YES |
| PdGARP2–PdGARP10 | 0.0889 | 0.3094 | 0.2874 | SD | YES |
| PdGARP3–PdGARP8 | 0.1031 | 0.266 | 0.3875 | SD | YES |
| PdGARP4–PdGARP30 | 0.082 | 0.3164 | 0.2592 | SD | YES |
| PdGARP5–PdGARP40 | 0.0329 | 0.1629 | 0.2019 | SD | YES |
| PdGARP7–PdGARP38 | 0.3542 | 1.4764 | 0.2399 | SD | YES |
| PdGARP6–PdGARP42 | 0.1022 | 0.1713 | 0.5966 | SD | YES |
| PdGARP12–PdGARP48 | 0.0577 | 0.2624 | 0.22 | SD | YES |
| PdGARP13–PdGARP20 | 0.0817 | 0.2609 | 0.3133 | SD | YES |
| PdGARP16–PdGARP18 | 0.3795 | 1.3808 | 0.2748 | TD | YES |
| PdGARP14–PdGARP44 | 0.0462 | 0.1789 | 0.2585 | SD | YES |
| PdGARP16–PdGARP54 | 0.0888 | 0.2349 | 0.378 | SD | YES |
| PdGARP16–PdGARP51 | 0.3853 | 1.4246 | 0.2705 | SD | YES |
| PdGARP15–PdGARP52 | 0.0617 | 0.3063 | 0.2014 | SD | YES |
| PdGARP18–PdGARP51 | 0.0623 | 0.2367 | 0.2632 | SD | YES |
| PdGARP18–PdGARP54 | 0.374 | 1.4315 | 0.2612 | SD | YES |
| PdGARP21–PdGARP46 | 0.0879 | 0.3627 | 0.2423 | SD | YES |
| PdGARP29–PdGARP31 | 0.0513 | 0.2653 | 0.1934 | SD | YES |
| PdGARP23–PdGARP35 | 0.0614 | 0.1651 | 0.3717 | SD | YES |
| PdGARP27–PdGARP32 | 0.1228 | 0.3771 | 0.3257 | SD | YES |
| PdGARP24–PdGARP34 | 0.0678 | 0.264 | 0.257 | SD | YES |
| PdGARP25–PdGARP33 | 0.0618 | 0.2468 | 0.2503 | SD | YES |
| PdGARP26–PdGARP32 | 0.0673 | 0.3397 | 0.1982 | SD | YES |
| PdGARP38–PdGARP55 | 0.098 | 0.1965 | 0.499 | SD | YES |
| PdGARP39–PdGARP56 | 0.0615 | 0.3063 | 0.2009 | SD | YES |
| PdGARP51–PdGARP54 | 0.382 | 1.3708 | 0.2787 | TD | YES |
| Gene Name | α Helix | Extended Strand | Random Coil |
|---|---|---|---|
| AtGLK1 | 20.18% | 3.67% | 76.15% |
| AtGLK2 | 19.43% | 1.81% | 78.76% |
| PdGARP3 | 25.32% | 4.88% | 69.80% |
| PdGARP4 | 13.01% | 1.02% | 85.97% |
| PdGARP8 | 24.01% | 5.56% | 70.43% |
| PdGARP9 | 21.69% | 5.42% | 72.89% |
| PdGARP21 | 19.40% | 3.23% | 77.37% |
| PdGARP30 | 15.47% | 2.29% | 82.23% |
| PdGARP46 | 21.56% | 4.69% | 73.75% |
| PdGARP47 | 21.78% | 2.81% | 75.41% |
Disclaimer/Publisher’s Note: The statements, opinions and data contained in all publications are solely those of the individual author(s) and contributor(s) and not of MDPI and/or the editor(s). MDPI and/or the editor(s) disclaim responsibility for any injury to people or property resulting from any ideas, methods, instructions or products referred to in the content. |
© 2025 by the authors. Licensee MDPI, Basel, Switzerland. This article is an open access article distributed under the terms and conditions of the Creative Commons Attribution (CC BY) license (https://creativecommons.org/licenses/by/4.0/).
Share and Cite
Yang, Q.; He, Z.; Zheng, C.; He, R.; Chen, Y.; Zhuo, R.; Qiu, W. Genome-Wide Identification and Comprehensive Analysis of the GARP Transcription Factor Superfamily in Populus deltoides. Genes 2025, 16, 322. https://doi.org/10.3390/genes16030322
Yang Q, He Z, Zheng C, He R, Chen Y, Zhuo R, Qiu W. Genome-Wide Identification and Comprehensive Analysis of the GARP Transcription Factor Superfamily in Populus deltoides. Genes. 2025; 16(3):322. https://doi.org/10.3390/genes16030322
Chicago/Turabian StyleYang, Qin, Zhengquan He, Chenjia Zheng, Ruoyu He, Yu Chen, Renying Zhuo, and Wenmin Qiu. 2025. "Genome-Wide Identification and Comprehensive Analysis of the GARP Transcription Factor Superfamily in Populus deltoides" Genes 16, no. 3: 322. https://doi.org/10.3390/genes16030322
APA StyleYang, Q., He, Z., Zheng, C., He, R., Chen, Y., Zhuo, R., & Qiu, W. (2025). Genome-Wide Identification and Comprehensive Analysis of the GARP Transcription Factor Superfamily in Populus deltoides. Genes, 16(3), 322. https://doi.org/10.3390/genes16030322

