Genetic Variations on Chromosome 6p21 Are Associated with Asthma Risk and Disease Severity: A Case–Control Study from Pakistan
Abstract
1. Introduction
2. Materials and Methods
2.1. Study Population
2.2. Clinical Data
2.3. Outcome Definition
2.4. Collection of Blood Samples and Genomic DNA Extraction
2.5. Selection and Specifications of the SNPs
2.6. Genotyping
2.7. Genotyping Quality Control
2.8. Statistical Analysis
3. Results
3.1. Genotyping Quality Control
3.2. Study Population
3.3. Genetic Predictors of Asthma Incidence and Severity
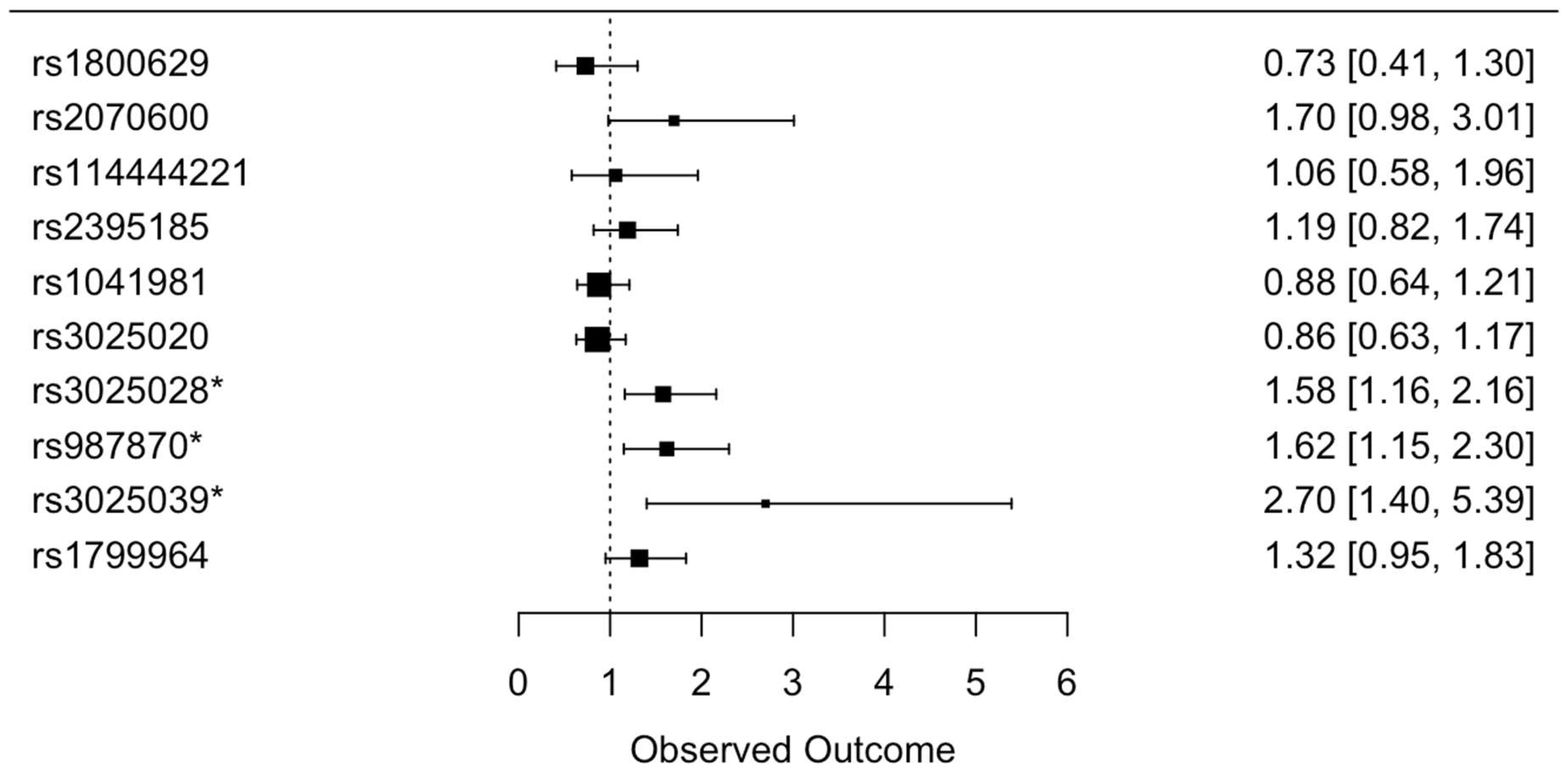
3.3.1. 6p21 SNPs and Asthma Incidence
3.3.2. 6p21 and Asthma Severity
4. Discussion
Supplementary Materials
Author Contributions
Funding
Institutional Review Board Statement
Informed Consent Statement
Data Availability Statement
Acknowledgments
Conflicts of Interest
References
- Hardtstock, F.; Krieger, J.; Wilke, T.; Lukas, M.; Ultsch, B.; Welte, R.; Quinzler, R.; Maywald, U.; Timmermann, H. Epidemiology, treatment and health care resource use of patients with severe asthma in Germany—A retrospective claims data analysis. J. Asthma 2023, 60, 1280–1289. [Google Scholar] [CrossRef] [PubMed]
- To, T.; Stanojevic, S.; Moores, G.; Gershon, A.S.; Bateman, E.D.; Cruz, A.A.; Boulet, L.-P. Global asthma prevalence in adults: Findings from the cross-sectional world health survey. BMC Public Health 2012, 12, 204. [Google Scholar] [CrossRef] [PubMed]
- Tekola-Ayele, F.; Rotimi, C.N. Translational Genomics in Low- and Middle-Income Countries: Opportunities and Challenges. Public Health Genom. 2015, 18, 242–247. Available online: https://karger.com/PHG/article/doi/10.1159/000433518 (accessed on 13 August 2024). [CrossRef] [PubMed]
- Sabar, M.F.; Akram, M.; Awan, F.I.; Ghani, M.U.; Shahid, M.; Iqbal, Z.; Kousar, S.; Idrees, M. Awareness of Asthma Genetics in Pakistan: A review with some recommendations. Adv. Life Sci. 2018, 6, 1–10. [Google Scholar]
- Le Moual, N.; Jacquemin, B.; Varraso, R.; Dumas, O.; Kauffmann, F.; Nadif, R. Environment and asthma in adults. La Presse Médicale 2013, 42, e317–e333. [Google Scholar] [CrossRef]
- Jerrett, M.; Shankardass, K.; Berhane, K.; Gauderman, W.J.; Künzli, N.; Avol, E.; Gilliland, F.; Lurmann, F.; Molitor, J.N.; Molitor, J.T.; et al. Traffic-related air pollution and asthma onset in children: A prospective cohort study with individual exposure measurement. Environ. Health Perspect. 2008, 116, 1433–1438. [Google Scholar] [CrossRef]
- McConnell, R.; Islam, T.; Shankardass, K.; Jerrett, M.; Lurmann, F.; Gilliland, F.; Gauderman, J.; Avol, E.; Künzli, N.; Yao, L.; et al. Childhood incident asthma and traffic-related air pollution at home and school. Environ. Health Perspect. 2010, 118, 1021–1026. [Google Scholar] [CrossRef]
- Gehring, U.; Wijga, A.H.; Brauer, M.; Fischer, P.; de Jongste, J.C.; Kerkhof, M.; Oldenwening, M.; Smit, H.A.; Brunekreef, B. Traffic-related air pollution and the development of asthma and allergies during the first 8 years of life. Am. J. Respir. Crit. Care Med. 2010, 181, 596–603. [Google Scholar] [CrossRef]
- Park, D.W.; Kim, S.H.; Yoon, H.J. The impact of indoor air pollution on asthma. Allergy Asthma Respir. Dis. 2017, 5, 312–319. [Google Scholar] [CrossRef]
- Kumar, R.; Nagar, J.K.; Goel, N.; Kumar, P.; Kushwah, A.S.; Gaur, S.N. Indoor air pollution and asthma in children at Delhi, India. Adv. Respir. Med. 2015, 83, 275–282. [Google Scholar] [CrossRef]
- Fatumo, S.; Chikowore, T.; Choudhury, A.; Ayub, M.; Martin, A.R.; Kuchenbaecker, K. A roadmap to increase diversity in genomic studies. Nat. Med. 2022, 28, 243–250. Available online: https://www.nature.com/articles/s41591-021-01672-4 (accessed on 13 August 2024). [CrossRef] [PubMed]
- Louis, R. Asthma: A complex disease determined by genetic and environmental factors. Rev. Medicale Liege 2012, 67, 286–291. [Google Scholar]
- Fleming, L.; Wilson, N.; Bush, A. Difficult to control asthma in children. Curr. Opin. Allergy Clin. Immunol. 2007, 7, 190–195. [Google Scholar] [CrossRef] [PubMed]
- Vijverberg, S.J.H.; Farzan, N.; Slob, E.M.A.; Neerincx, A.H.; Maitland-van der Zee, A.H. Treatment response heterogeneity in asthma: The role of genetic variation. Expert Rev. Respir. Med. 2018, 12, 55–65. [Google Scholar] [CrossRef] [PubMed]
- Bijanzadeh, M.; Mahesh, P.A.; Ramachandra, N.B. An understanding of the genetic basis of asthma. Indian J. Med. Res. 2011, 134, 149–161. Available online: https://www.ncbi.nlm.nih.gov/pmc/articles/PMC3181014/ (accessed on 26 July 2023).
- Los, H.; Koppelman, G.; Postma, D. The importance of genetic influences in asthma. Eur. Respir. J. 1999, 14, 1210–1227. [Google Scholar] [CrossRef]
- Nicolae, D.; Cox, N.J.; Lester, L.A.; Schneider, D.; Tan, Z.; Billstrand, C.; Kuldanek, S.; Donfack, J.; Kogut, P.; Patel, N.M.; et al. Fine Mapping and Positional Candidate Studies Identify HLA-G as an Asthma Susceptibility Gene on Chromosome 6p21. Am. J. Hum. Genet. 2005, 76, 349–357. Available online: https://www.ncbi.nlm.nih.gov/pmc/articles/PMC1196380/ (accessed on 26 July 2023). [CrossRef]
- Park, B.; An, J.; Kim, W.; Kang, H.Y.; Koh, S.B.; Oh, B.; Jung, K.J.; Jee, S.H.; Kim, W.J.; Cho, M.H.; et al. Effect of 6p21 region on lung function is modified by smoking: A genome-wide interaction study. Sci. Rep. 2020, 10, 13075. Available online: https://www.nature.com/articles/s41598-020-70092-0 (accessed on 26 July 2023). [CrossRef]
- Li, X.; Howard, T.D.; Zheng, S.L.; Haselkorn, T.; Peters, S.P.; Meyers, D.A.; Bleecker, E.R. Genome-wide association study of asthma identifies RAD50-IL13 and HLA-DR/DQ regions. J. Allergy Clin. Immunol. 2010, 125, 328–335.e11. Available online: https://www.sciencedirect.com/science/article/pii/S0091674909017357 (accessed on 25 July 2023). [CrossRef]
- 2018-GINA.pdf [Internet]. Available online: https://ginasthma.org/wp-content/uploads/2019/01/2018-GINA.pdf (accessed on 12 April 2023).
- Von Elm, E.; Altman, D.G.; Egger, M.; Pocock, S.J.; Gøtzsche, P.C.; Vandenbroucke, J.P. The Strengthening the Reporting of Observational Studies in Epidemiology (STROBE) Statement: Guidelines for Reporting Observational Studies. PLOS Med. 2007, 4, e296. Available online: https://journals.plos.org/plosmedicine/article?id=10.1371/journal.pmed.0040296 (accessed on 22 May 2024). [CrossRef]
- World Medical Association. World Medical Association Declaration of Helsinki: Ethical principles for medical research involving human subjects. JAMA 2013, 310, 2191–2194. [Google Scholar] [CrossRef] [PubMed]
- Aslam, A. A Comparative Study of the Association of Genomic Variants in Candidate Genes of 6p21 with the Pathogenicity of Asthma. Ph.D. Thesis, University of the Punjab, Lahore, Pakistan, 2023. [Google Scholar]
- GINA Severe Asthma 2019 [Internet]. Available online: https://ginasthma.org/wp-content/uploads/2019/04/GINA-Severe-asthma-Pocket-Guide-v2.0-wms-1.pdf (accessed on 25 September 2023).
- Defined Daily Dose (DDD) [Internet]. Available online: https://www.who.int/tools/atc-ddd-toolkit/about-ddd (accessed on 25 October 2023).
- Salazar, L.A.; Hirata, M.H.; Cavalli, S.A.; Machado, M.O.; Hirata, R.D.C. Optimized Procedure for DNA Isolation from Fresh and Cryopreserved Clotted Human Blood Useful in Clinical Molecular Testing. Clin. Chem. 1998, 44, 1748–1750. [Google Scholar] [CrossRef] [PubMed]
- Morgan, M.; Ramos, M. BiocManager: Access the Bioconductor Project Package Repository. R Package Version 1.30.25. 2024. Available online: https://CRAN.R-project.org/package=BiocManager.
- Warnes, G.; Gorjanc, G.; Leisch, F.; Man, M. Genetics: Population Genetics. R Package [Internet]. 2021. Available online: https://CRAN.R-project.org/package=genetics.
- R Core Team. R: A Language and Environment for Statistical Computing; R Foundation for Statistical Computing: Vienna, Austria, 2022; Available online: https://www.R-project.org/.
- Graffelman, J.; Morales-Camarena, J. Graphical tests for Hardy-Weinberg Equilibrium based on the ternary plot. Hum. Heridity 2008, 65, 77–84. [Google Scholar] [CrossRef]
- Graffelman, J. Exploring Diallelic Genetic Markers: The HardyWeinberg Package. J. Stat. Softw. 2015, 64, 1–23. [Google Scholar] [CrossRef]
- Lu, H.Y.; Zhao, G.L.; Fu, M.F. Polymorphisms in the vascular endothelial growth factor (VEGF) gene associated with asthma. Genet. Mol. Res. 2016, 15, 2. Available online: http://www.funpecrp.com.br/gmr/year2016/vol15-2/pdf/gmr7880.pdf (accessed on 15 April 2023). [CrossRef]
- Hur, G.Y.; Broide, D.H. Genes and Pathways Regulating Decline in Lung Function and Airway Remodeling in Asthma. Allergy Asthma Immunol. Res. 2019, 11, 604–621. Available online: https://synapse.koreamed.org/articles/1129644 (accessed on 26 July 2023). [CrossRef]
- Abdel-Rahman, A.M.; El-Sahrigy, S.A.; Bakr, S.I. A comparative study of two angiogenic factors: Vascular endothelial growth factor and angiogenin in induced sputum from asthmatic children in acute attack. Chest 2006, 129, 266–271. [Google Scholar] [CrossRef]
- Ferrante, G.; Fasola, S.; Malizia, V.; Licari, A.; Cilluffo, G.; Piacentini, G.; La Grutta, S. Pharmacogenomics: A Step forward Precision Medicine in Childhood Asthma. Genes 2022, 13, 599. Available online: https://www.mdpi.com/2073-4425/13/4/599 (accessed on 29 June 2023). [CrossRef]
- Kim, K.; Kim, E.; Park, J.; Jang, G.; Kim, C.; Lee, H.; Sohn, M.; Kim, K. Clinical Implication of Vascular Endothelial Growth Factor (VEGF) in Childhood Asthma. J. Allergy Clin. Immunol. 2007, 119, S81. Available online: https://www.jacionline.org/article/S0091-6749(06)02734-5/fulltext (accessed on 5 July 2023). [CrossRef]
- Lee, C.G.; Ma, B.; Takyar, S.; Ahangari, F.; DelaCruz, C.; He, C.H.; Elias, J.A. Studies of Vascular Endothelial Growth Factor in Asthma and Chronic Obstructive Pulmonary Disease. Proc. Am. Thorac. Soc. 2011, 8, 512–515. Available online: https://www.atsjournals.org/doi/full/10.1513/pats.201102-018MW (accessed on 26 July 2023). [CrossRef]
- Clay, S.M.; Schoettler, N.; Goldstein, A.M.; Carbonetto, P.; Dapas, M.; Altman, M.C.; Rosasco, M.G.; Gern, J.E.; Jackson, D.J.; Im, H.K.; et al. Fine-mapping studies distinguish genetic risks for childhood- and adult-onset asthma in the HLA region. Genome Med. 2022, 14, 55. [Google Scholar] [CrossRef] [PubMed]
- Kontakioti, E.; Domvri, K.; Papakosta, D.; Daniilidis, M. HLA and asthma phenotypes/endotypes: A review. Hum. Immunol. 2014, 75, 930–939. Available online: https://linkinghub.elsevier.com/retrieve/pii/S0198885914001864 (accessed on 26 July 2023). [CrossRef] [PubMed]
- Gao, J.; Lin, Y.; Qiu, C.; Liu, Y.; Ma, Y.; Liu, Y. Association between HLA-DQA1,-DQB1 gene polymorphisms and susceptibility to asthma in northern Chinese subjects. Chin. Med. J. 2003, 116, 1078–1082. Available online: https://mednexus.org/doi/full/10.3760/cma.j.issn.0366-6999.2003.07.128 (accessed on 5 July 2023).
- Mangalam, A.K.; Taneja, V.; David, C.S. HLA class II molecules influence susceptibility versus protection in inflammatory diseases by determining the cytokine profile. J. Immunol. 2013, 190, 513–519. [Google Scholar] [CrossRef]
- Puthothu, B.; Bierbaum, S.; Kopp, M.V.; Forster, J.; Heinze, J.; Weckmann, M.; Krueger, M.; Heinzmann, A. Association of TNF-α with severe respiratory syncytial virus infection and bronchial asthma. Pediatr. Allergy Immunol. 2009, 20, 157–163. Available online: https://onlinelibrary.wiley.com/doi/10.1111/j.1399-3038.2008.00751.x (accessed on 26 July 2023). [CrossRef]
- Liang, W.; Zhou, Z.; Ji, Z.; Wang, Y.; Xue, W.; Zhang, X. Association of TNF-α and IL-13 genes polymorphisms with bronchial asthma. Zhonghua Yi Xue Yi Chuan Xue Za Zhi 2015, 32, 707–710. [Google Scholar] [CrossRef]
- Babu, K.S.; Davies, D.E.; Holgate, S.T. Role of tumor necrosis factor α in asthma. Immunol. Allergy Clin. N. Am. 2004, 24, 583–597, v–vi. [Google Scholar] [CrossRef]
- Nabe, T. Tumor Necrosis Factor α-Mediated Asthma? Int. Arch. Allergy Immunol. 2012, 160, 111–113. [Google Scholar] [CrossRef]
- Hall, R.; Hall, I.P.; Sayers, I. Genetic risk factors for the development of pulmonary disease identified by genome-wide association. Respirology 2019, 24, 204–214. Available online: https://onlinelibrary.wiley.com/doi/abs/10.1111/resp.13436 (accessed on 26 July 2023). [CrossRef]
- Hancock, D.B.; Eijgelsheim, M.; Wilk, J.B.; Gharib, S.A.; Loehr, L.R.; Marciante, K.D.; Franceschini, N.; van Durme, Y.M.T.A.; Chen, T.; Barr, R.G.; et al. Meta-analyses of genome-wide association studies identify multiple loci associated with pulmonary function. Nat. Genet. 2010, 42, 45–52. Available online: https://www.nature.com/articles/ng.500 (accessed on 26 July 2023). [CrossRef]
- Repapi, E.; Sayers, I.; Wain, L.V.; Burton, P.R.; Johnson, T.; Obeidat, M.; Zhao, J.H.; Ramasamy, A.; Zhai, G.; Vitart, V.; et al. Genome-wide association study identifies five loci associated with lung function. Nat. Genet. 2010, 42, 36–44. Available online: https://www.nature.com/articles/ng.501 (accessed on 26 July 2023). [CrossRef] [PubMed]
- Candia, L.D.; Saunders, R.; Brightling, C.E. The RAGE against the storm. Eur. Respir. J. 2012, 39, 515–517. Available online: https://erj.ersjournals.com/content/39/3/515 (accessed on 5 July 2023). [CrossRef] [PubMed]
- Arikkatt, J.; Ullah, M.A.; Short, K.R.; Zhang, V.; Gan, W.J.; Loh, Z.; Werder, R.B.; Simpson, J.; Sly, P.D.; Mazzone, S.B.; et al. RAGE deficiency predisposes mice to virus-induced paucigranulocytic asthma. eLife 2017, 6, e21199. Available online: https://elifesciences.org/articles/21199 (accessed on 5 July 2023). [CrossRef] [PubMed]
- Raita, Y.; Zhu, Z.; Freishtat, R.J.; Fujiogi, M.; Liang, L.; Patregnani, J.T.; Camargo, C.A.; Hasegawa, K. Soluble receptor for advanced glycation end products (sRAGE) and asthma: Mendelian randomisation study. Pediatr. Allergy Immunol. 2021, 32, 1100–1103. Available online: https://www.ncbi.nlm.nih.gov/pmc/articles/PMC8249337/ (accessed on 5 July 2023). [CrossRef]
- Forero, D.A.; Wonkam, A.; Wang, W.; Laissue, P.; López-Correa, C.; Fernández-López, J.C.; Mugasimangalam, R.; Perry, G. Current needs for human and medical genomics research infrastructure in low and middle income countries: Table 1. J. Med. Genet. 2016, 53, 438–440. Available online: https://jmg.bmj.com/lookup/doi/10.1136/jmedgenet-2015-103631 (accessed on 14 August 2024). [CrossRef]
- Potaczek, D.P.; Alashkar Alhamwe, B.; Miethe, S.; Garn, H. Epigenetic mechanisms in allergy development and prevention. In Allergic Diseases–From Basic Mechanisms to Comprehensive Management and Prevention; Springer International Publishing: Cham, Switzerland, 2021; pp. 331–357. [Google Scholar]
- Zhong, A.; Darren, B.; Loiseau, B.; He, L.Q.B.; Chang, T.; Hill, J.; Dimaras, H. Ethical, social, and cultural issues related to clinical genetic testing and counseling in low- and middle-income countries: A systematic review. Genet. Med. 2021, 23, 2270–2280. Available online: https://linkinghub.elsevier.com/retrieve/pii/S1098360021054599 (accessed on 14 August 2024). [CrossRef]
- Islam, M.S.; Huq, S.; Cunningham, S.; Schwarze, J.; Islam, A.A.; Amin, M.; Raza, F.; Satpathy, R.; Rauta, P.R.; Ahmed, S.; et al. Community-based asthma assessment in young children: Adaptations for a multicentre longitudinal study in South Asia. Ther. Adv. Infect. Dis. 2022, 9, 1–12. [Google Scholar]




| Characteristics | Controls N = 200 | Asthmatics (Total Population) N = 199 | Mild to Moderate Asthma Patients N = 67 (34%) | Severe Asthma Patients N = 132 (66%) |
|---|---|---|---|---|
| Age Median IQR (25th–75th) | 29 (23–40) | 40 (26–58) | 30 (22–45) | 47 (30–60) |
| Gender Male (%) | 111 (56) | 97 (49) | 31 (46) | 66 (50) |
| BMI Median IQR (25th–75th) | 24 (21–27) | 25 (23–28) | 25 (22–28) | 26 (23–28) |
| Family history of asthma Yes (%) | - | 100 (50) | 36 (54) | 64 (49) |
| Age at asthma onset (years) ≤16 >16 | - | 26 (13) 173 (87) | 8 (12) 59 (88) | 18 (14) 114 (86) |
| Exacerbations Median (IQR) | - | 2 (1–4) | 1 (1–1) | 3 (2–4) |
| Hospitalizations Median (IQR) | - | 1 (0–2) | 0 | 1 (1–2) |
| GINA step 1 2 3 4 5 | - | 13 10 44 52 80 | 13 10 44 0 0 | 0 0 0 52 80 |
| Asthma severity Mild Moderate Severe | - | 23 (12) 44 (22) 132 (66) | 23 (34) 44 (66) 0 | 0 0 132 (100) |
| Therapy adherence Poor (%) | - | 113 (57) | 38 (57) | 75 (57) |
| Inhaler Technique Poor (%) | - | 80 (40) | 27 (40) | 53 (40) |
| Daily dose of ICS ** (mcg/day) Median (IQR) | - | 500 (400–1000) | 250 (200–400) | 500 (500–1000) |
Disclaimer/Publisher’s Note: The statements, opinions and data contained in all publications are solely those of the individual author(s) and contributor(s) and not of MDPI and/or the editor(s). MDPI and/or the editor(s) disclaim responsibility for any injury to people or property resulting from any ideas, methods, instructions or products referred to in the content. |
© 2024 by the authors. Licensee MDPI, Basel, Switzerland. This article is an open access article distributed under the terms and conditions of the Creative Commons Attribution (CC BY) license (https://creativecommons.org/licenses/by/4.0/).
Share and Cite
Aslam, A.; Vijverberg, S.J.H.; Zee, A.-H.M.-v.d.; Sabar, M.F. Genetic Variations on Chromosome 6p21 Are Associated with Asthma Risk and Disease Severity: A Case–Control Study from Pakistan. Genes 2024, 15, 1608. https://doi.org/10.3390/genes15121608
Aslam A, Vijverberg SJH, Zee A-HM-vd, Sabar MF. Genetic Variations on Chromosome 6p21 Are Associated with Asthma Risk and Disease Severity: A Case–Control Study from Pakistan. Genes. 2024; 15(12):1608. https://doi.org/10.3390/genes15121608
Chicago/Turabian StyleAslam, Aqsa, Susanne J. H. Vijverberg, Anke-Hilse Maitland-van der Zee, and Muhammad Farooq Sabar. 2024. "Genetic Variations on Chromosome 6p21 Are Associated with Asthma Risk and Disease Severity: A Case–Control Study from Pakistan" Genes 15, no. 12: 1608. https://doi.org/10.3390/genes15121608
APA StyleAslam, A., Vijverberg, S. J. H., Zee, A.-H. M.-v. d., & Sabar, M. F. (2024). Genetic Variations on Chromosome 6p21 Are Associated with Asthma Risk and Disease Severity: A Case–Control Study from Pakistan. Genes, 15(12), 1608. https://doi.org/10.3390/genes15121608

