Exploring the Core Genes of Schizophrenia Based on Bioinformatics Analysis
Abstract
1. Introduction
2. Materials and Methods
2.1. Data Source
2.2. Data Extraction for DEGs
2.3. Functional Gene Ontology (GO) and KEGG Pathway Enrichment Analysis
2.4. Analysis of the Protein–Protein Interaction (PPI) Network and Hub Genes
2.5. Gene–miRNA Analysis
2.6. Immune Infiltration Analysis
2.7. Diagnostic Value of Hub Genes
3. Results
3.1. Screening Differentially Expressed Genes (DEGs)
3.2. GO and KEGG Pathway Analysis of DEGs
3.3. PPI Network Construction and Identification of Hub Genes
3.4. GO Analysis of Hub Genes
3.5. Gene–miRNA Analysis
3.6. Immune Infiltration Analysis
3.7. Correlation Analysis between Hub Genes and Resting Memory CD4 T Cells
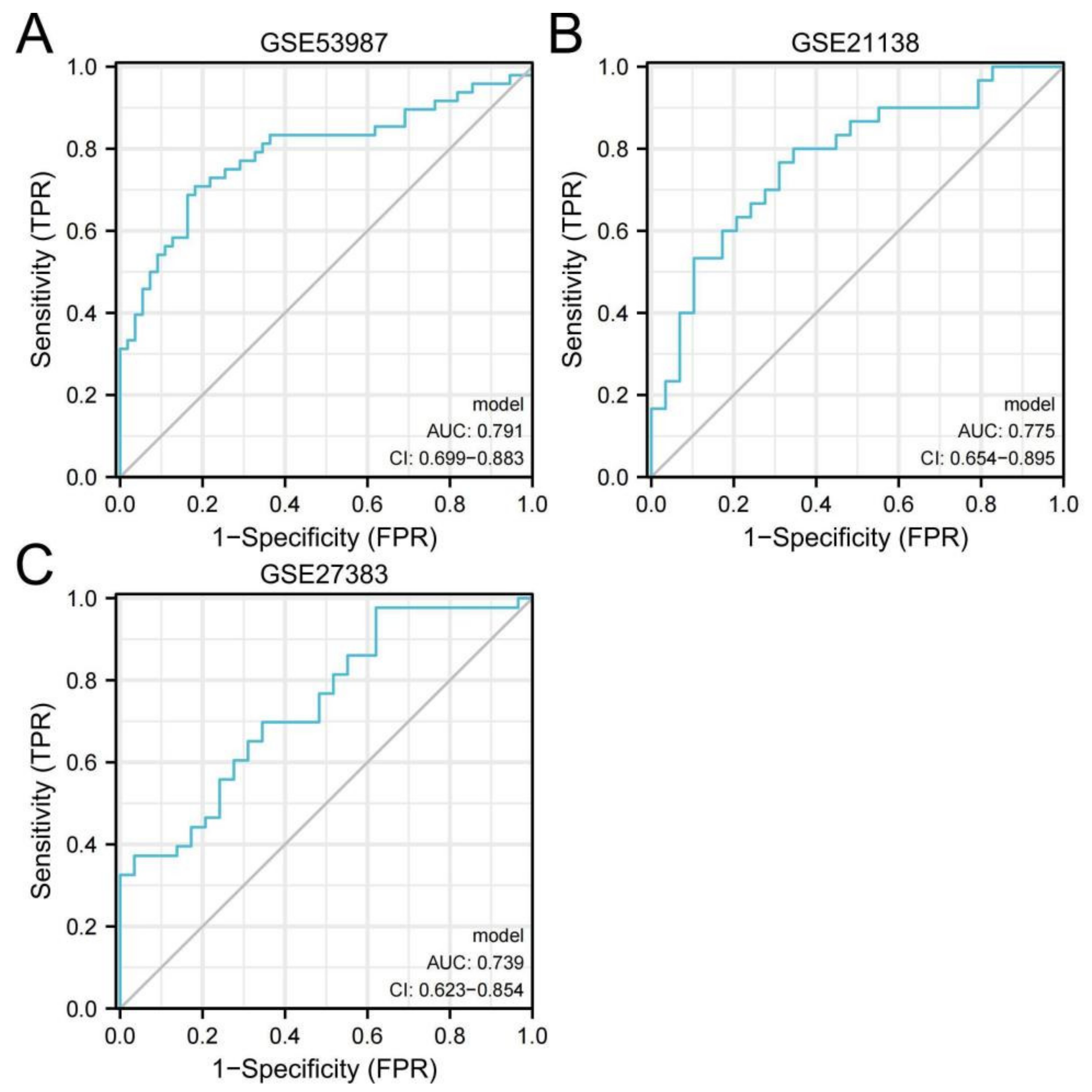
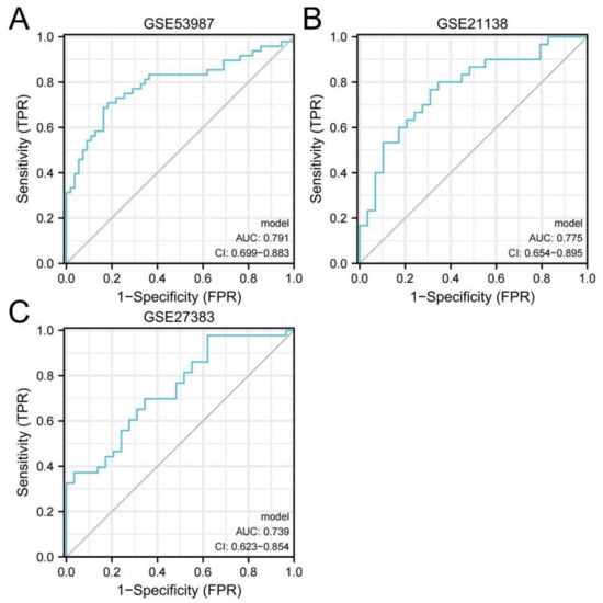
3.8. Diagnostic Evaluation of Hub Genes
4. Discussion
5. Conclusions
Author Contributions
Funding
Institutional Review Board Statement
Informed Consent Statement
Data Availability Statement
Conflicts of Interest
References
- Barbato, A. Psychiatry in transition: Outcomes of mental health policy shift in Italy. Aust. N. Z. J. Psychiatry 1998, 32, 673–679. [Google Scholar] [CrossRef] [PubMed]
- Chesney, E.; Goodwin, G.M.; Fazel, S. Risks of all-cause and suicide mortality in mental disorders: A meta-review. World Psychiatry 2014, 13, 153–160. [Google Scholar] [CrossRef] [PubMed]
- Chan, K.Y.; Zhao, F.F.; Meng, S.; Demaio, A.R.; Reed, C.; Theodoratou, E.; Campbell, H.; Wang, W.; Rudan, I. Prevalence of schizophrenia in China between 1990 and 2010. J. Glob. Health 2015, 5, 010410. [Google Scholar] [CrossRef] [PubMed]
- Commission, S. The Abandoned Illness: A Report from the Schizophrenia Commission; Rethink Mental Illness: London, UK, 2012. [Google Scholar]
- Edgar, R.; Domrachev, M.; Lash, A.E. Gene Expression Omnibus: NCBI gene expression and hybridization array data repository. Nucleic Acids Res. 2002, 30, 207–210. [Google Scholar] [CrossRef] [PubMed]
- Zhou, G.; Soufan, O.; Ewald, J.; Hancock, R.E.W.; Basu, N.; Xia, J. NetworkAnalyst 3.0: A visual analytics platform for comprehensive gene expression profiling and meta-analysis. Nucleic Acids Res. 2019, 47, W234–W241. [Google Scholar] [CrossRef] [PubMed]
- Fagerberg, L.; Hallström, B.M.; Oksvold, P.; Kampf, C.; Djureinovic, D.; Odeberg, J.; Habuka, M.; Tahmasebpoor, S.; Danielsson, A.; Edlund, K.; et al. Analysis of the human tissue-specific expression by genome-wide integration of transcriptomics and antibody-based proteomics. Mol. Cell. Proteomics 2014, 13, 397–406. [Google Scholar] [CrossRef] [PubMed]
- Kondo, M.A.; Tajinda, K.; Colantuoni, C.; Hiyama, H.; Seshadri, S.; Huang, B.; Pou, S.; Furukori, K.; Hookway, C.; Jaaro-Peled, H.; et al. Unique pharmacological actions of atypical neuroleptic quetiapine: Possible role in cell cycle/fate control. Transl. Psychiatry 2013, 3, e243. [Google Scholar] [CrossRef] [PubMed][Green Version]
- Ma, D.K.; Jang, M.H.; Guo, J.U.; Kitabatake, Y.; Chang, M.L.; Pow-Anpongkul, N.; Flavell, R.A.; Lu, B.; Ming, G.L.; Song, H. Neuronal activity-induced Gadd45b promotes epigenetic DNA demethylation and adult neurogenesis. Science 2009, 323, 1074–1077. [Google Scholar] [CrossRef] [PubMed]
- Müller, N.; Bechter, K. The mild encephalitis concept for psychiatric disorders revisited in the light of current psychoneuroimmunological findings. Neurol. Psychiatry Brain Res. 2013, 19, 87–101. [Google Scholar] [CrossRef]
- de Witte, L.; Tomasik, J.; Schwarz, E.; Guest, P.C.; Rahmoune, H.; Kahn, R.S.; Bahn, S. Cytokine alterations in first-episode schizophrenia patients before and after antipsychotic treatment. Schizophr. Res. 2014, 154, 23–29. [Google Scholar] [CrossRef] [PubMed]














| Datasets ID | Schizophrenia | Control | Patform | Sample Type | UP | Down |
|---|---|---|---|---|---|---|
| GSE53987 | 19 | 19 | GPL570 | Prefrontal cortex, striatum, and hippocampus | 542 | 549 |
| GSE21138 | 29 | 30 | GPL570 | Prefrontal cortex | 1833 | 1669 |
| GSE27383 | 43 | 29 | GPL570 | Peripheral blood mononuclear cells | 1099 | 2300 |
| Gene Symbol | logFC in GSE53987 | logFC in GSE21138 | logFC in GSE27383 | Gene Title |
|---|---|---|---|---|
| NFKBIA | 0.405603 | 0.289321 | 0.286481 | NFKB inhibitor α |
| CDKN1A | 0.630247 | 0.591038 | 0.237037 | Cyclin-dependent kinase inhibitor 1A |
| BTG2 | 0.429461 | 0.224652 | 0.330094 | BTG anti-proliferation factor 2 |
| GADD45B | 0.93334 | 0.498128 | 0.192576 | Growth arrest and DNA damage-inducible β |
| miRNA | Genes Targeted by miRNA | Number of Related Hub Genes |
|---|---|---|
| hsa-let-7b-5p | BTG2, CDKN1A, NFKBIA | 3 |
| hsa-mir-93-5p | BTG2, CDKN1A, NFKBIA | 3 |
| hsa-mir-15a-5p | BTG2, CDKN1A | 2 |
| hsa-mir-16-5p | BTG2, CDKN1A | 2 |
| hsa-mir-17-5p | BTG2, CDKN1A | 2 |
| hsa-mir-20a-5p | BTG2, CDKN1A | 2 |
| hsa-mir-101-3p | BTG2, CDKN1A | 2 |
| hsa-mir-106a-5p | BTG2, CDKN1A | 2 |
| hsa-mir-15b-5p | BTG2, CDKN1A | 2 |
| hsa-mir-125a-5p | BTG2, CDKN1A | 2 |
| hsa-mir-195-5p | BTG2, CDKN1A | 2 |
| hsa-mir-106b-5p | BTG2, CDKN1A | 2 |
| hsa-mir-363-3p | BTG2, CDKN1A | 2 |
| hsa-mir-20b-5p | BTG2, CDKN1A | 2 |
| hsa-mir-519d-3p | BTG2, CDKN1A | 2 |
| hsa-mir-619-3p | BTG2, CDKN1A | 2 |
| hsa-mir-657 | BTG2, CDKN1A | 2 |
| hsa-mir-149-3p | BTG2, CDKN1A | 2 |
| hsa-mir-505-5p | BTG2, CDKN1A | 2 |
| hsa-mir-665 | BTG2, CDKN1A | 2 |
| hsa-mir-1207-5p | BTG2, CDKN1A | 2 |
| hsa-mir-1197 | BTG2, CDKN1A | 2 |
| hsa-mir-544b | BTG2, CDKN1A | 2 |
| hsa-mir-1260b | BTG2, CDKN1A | 2 |
| hsa-mir-3202 | BTG2, CDKN1A | 2 |
| hsa-mir-4254 | BTG2, CDKN1A | 2 |
| hsa-mir-4267 | BTG2, CDKN1A | 2 |
| hsa-mir-3659 | BTG2, CDKN1A | 2 |
| hsa-mir-3663-3p | BTG2, CDKN1A | 2 |
| hsa-mir-3665 | BTG2, CDKN1A | 2 |
| hsa-mir-3714 | BTG2, CDKN1A | 2 |
| hsa-mir-3150b-3p | BTG2, CDKN1A | 2 |
| hsa-mir-4487 | BTG2, CDKN1A | 2 |
| hsa-mir-4650-3p | BTG2, CDKN1A | 2 |
| hsa-mir-4728-5p | BTG2, CDKN1A | 2 |
| hsa-mir-4747-5p | BTG2, CDKN1A | 2 |
| hsa-mir-4763-3p | BTG2, CDKN1A | 2 |
| hsa-mir-4784 | BTG2, CDKN1A | 2 |
| hsa-mir-5095 | BTG2, CDKN1A | 2 |
| hsa-mir-5196-5p | BTG2, CDKN1A | 2 |
| hsa-mir-6511a-5p | BTG2, CDKN1A | 2 |
| hsa-mir-1910-3p | BTG2, CDKN1A | 2 |
| hsa-mir-6740-5p | BTG2, CDKN1A | 2 |
| hsa-mir-6753-5p | BTG2, CDKN1A | 2 |
| hsa-mir-6785-5p | BTG2, CDKN1A | 2 |
| hsa-mir-6798-5p | BTG2, CDKN1A | 2 |
| hsa-mir-6825-5p | BTG2, CDKN1A | 2 |
| hsa-mir-6854-5p | BTG2, CDKN1A | 2 |
| hsa-mir-6883-5p | BTG2, CDKN1A | 2 |
| hsa-mir-7151-3p | BTG2, CDKN1A | 2 |
| hsa-mir-203a-5p | BTG2, CDKN1A | 2 |
| hsa-mir-196a-5p | BTG2, CDKN1A | 2 |
| hsa-mir-335-5p | BTG2, CDKN1A | 2 |
| hsa-mir-942-5p | BTG2, CDKN1A | 2 |
| Method | Cell | Gene | Correlation Coefficient | 95% Confidence Interval | p Value |
|---|---|---|---|---|---|
| Pearson | Resting memory CD4 T cells | NFKBIA | r = 0.45 | 0.219–0.633 | 0.000353 |
| Pearson | Resting memory CD4 T cells | CDKN1A | r = −0.031 | −0.512–0.001 | 0.816 |
| Pearson | Resting memory CD4 T cells | BTG2 | r = −0.284 | −0.473–0.081 | 0.029 |
| Pearson | Resting memory CD4 T cells | GADD45B | r = −0.028 | −0.512–0.001 | 0.835 |
Publisher’s Note: MDPI stays neutral with regard to jurisdictional claims in published maps and institutional affiliations. |
© 2022 by the authors. Licensee MDPI, Basel, Switzerland. This article is an open access article distributed under the terms and conditions of the Creative Commons Attribution (CC BY) license (https://creativecommons.org/licenses/by/4.0/).
Share and Cite
Feng, S.; Sun, P.; Qu, C.; Wu, X.; Yang, L.; Yang, T.; Wang, S.; Fang, Y.; Chen, J. Exploring the Core Genes of Schizophrenia Based on Bioinformatics Analysis. Genes 2022, 13, 967. https://doi.org/10.3390/genes13060967
Feng S, Sun P, Qu C, Wu X, Yang L, Yang T, Wang S, Fang Y, Chen J. Exploring the Core Genes of Schizophrenia Based on Bioinformatics Analysis. Genes. 2022; 13(6):967. https://doi.org/10.3390/genes13060967
Chicago/Turabian StyleFeng, Shunkang, Ping Sun, Chunhui Qu, Xiaohui Wu, Lu Yang, Tao Yang, Shuo Wang, Yiru Fang, and Jun Chen. 2022. "Exploring the Core Genes of Schizophrenia Based on Bioinformatics Analysis" Genes 13, no. 6: 967. https://doi.org/10.3390/genes13060967
APA StyleFeng, S., Sun, P., Qu, C., Wu, X., Yang, L., Yang, T., Wang, S., Fang, Y., & Chen, J. (2022). Exploring the Core Genes of Schizophrenia Based on Bioinformatics Analysis. Genes, 13(6), 967. https://doi.org/10.3390/genes13060967
