Physiological and Molecular Responses of Barley Genotypes to Salinity Stress
Abstract
1. Introduction
2. Materials and Methods
2.1. Plant Materials
2.2. Physiological Assay at the Early Growth Stage
Data Analysis
2.3. Gene Expression Pattern Assay
Statistical Analysis
3. Results
3.1. Effects of Salt Treatment on Physiological Traits
3.2. Effects of Salt Treatment on Ionic Concentrations in Root and Leaf Tissues
3.3. Selection of Salt-Tolerant Genotypes Using All Measured Traits
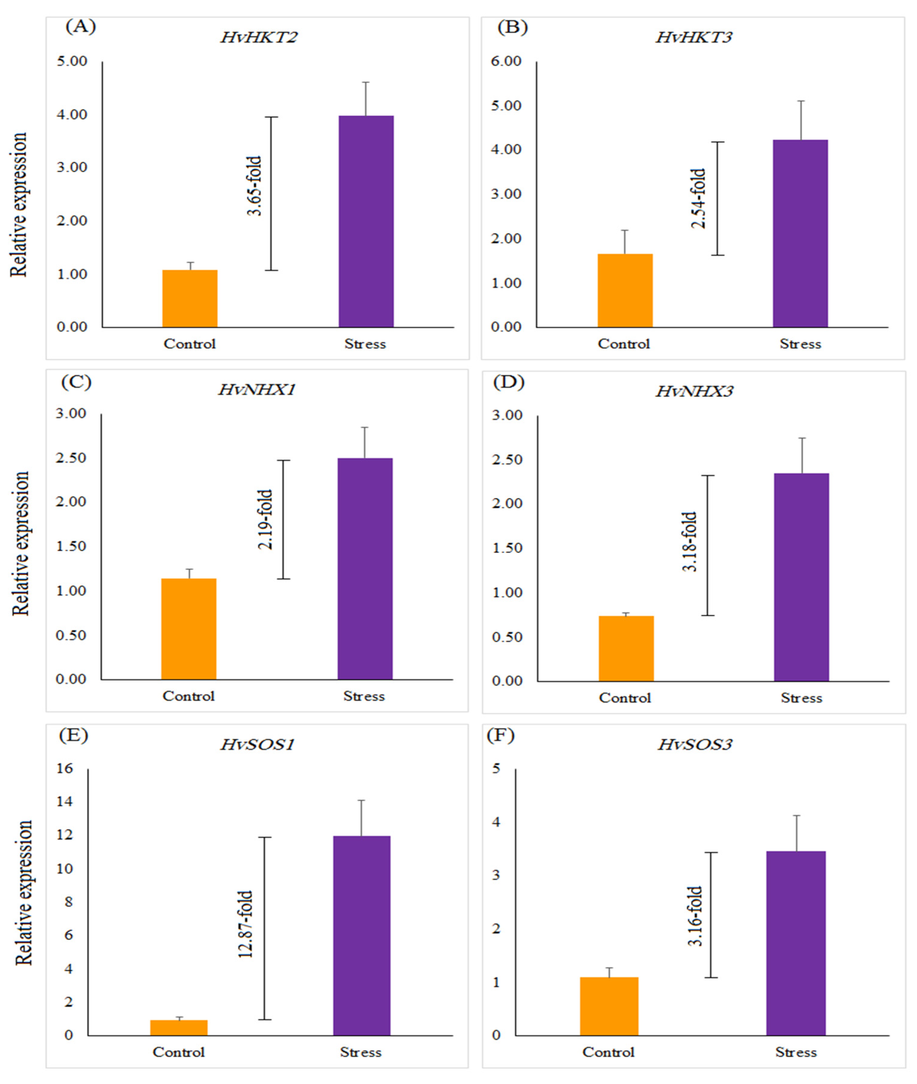
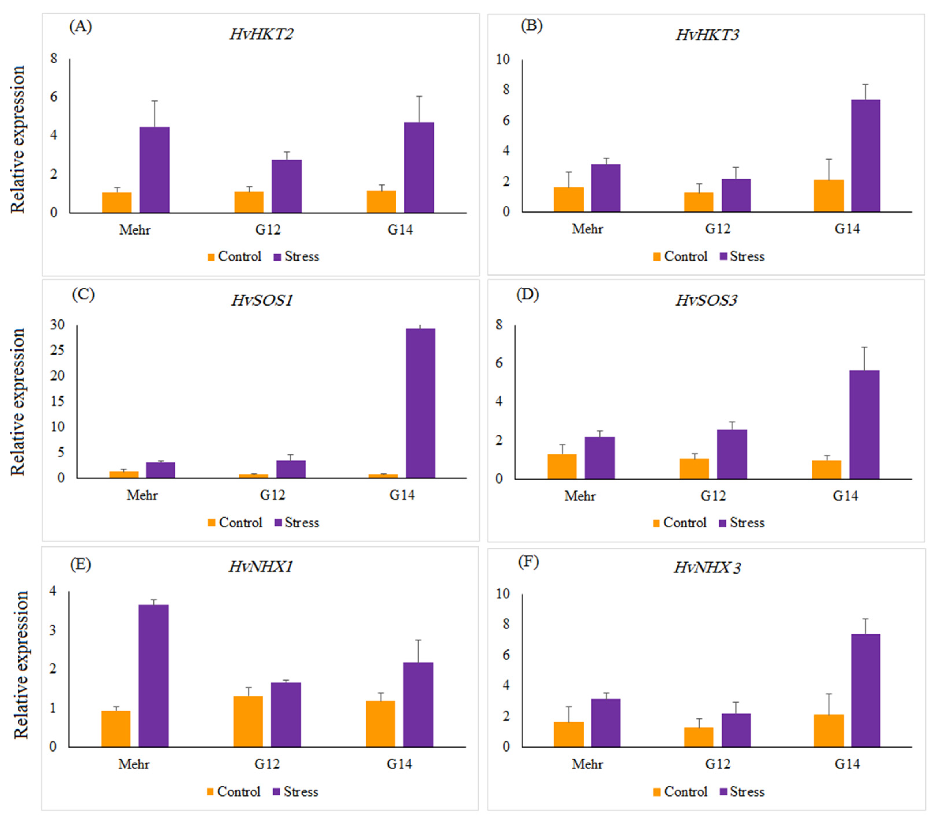
3.4. Gene Expression Profiles
3.5. Interrelationships between Physiological Traits and Gene Expression Data
4. Discussion
5. Conclusions
Supplementary Materials
Author Contributions
Funding
Institutional Review Board Statement
Informed Consent Statement
Data Availability Statement
Conflicts of Interest
References
- Mwando, E.; Han, Y.; Angessa, T.T.; Zhou, G.; Hill, C.B.; Zhang, X.Q.; Li, C. Genome wide association study of salinity tolerance during germination in barley (Hordeum vulgare L.). Front. Plant Sci. 2020, 11, 118. [Google Scholar] [CrossRef] [PubMed]
- Pour-Aboughadareh, A.; Sanjani, S.; Nikkhah-Chamanabad, H.; Mehrvar, M.R.; Asadi, A.; Amini, A. Identification of salt-tolerant barley genotypes using multiple-traits index and yield performance at the early growth and maturity stages. Bull. Natl. Res. Cent. 2021, 45, 117. [Google Scholar] [CrossRef]
- FAO. Food and Agriculture Organization of the United Nations. Available online: http://www.fao.org/faostat/en/#home (accessed on 5 August 2022).
- Singh, P.; Mahajan, M.M.; Singh, N.K.; Kumar, D.; Kumar, K. Physiological and molecular response under salinity stress in bread wheat (Triticum aestivum L.). J. Plant Biochem. Biotechnol. 2020, 29, 125–133. [Google Scholar] [CrossRef]
- Fatemi, F.; Kianersi, F.; Pour-Aboughadareh, A.; Poczai, P.; Jadidi, O. Overview of identified genomic regions associated with various agronomic and physiological traits in barley under abiotic Stresses. Appl. Sci. 2022, 12, 5189. [Google Scholar] [CrossRef]
- Pour-Aboughadareh, A.; Mehrvar, M.R.; Sanjani, S.; Amini, A.; Nikkhah-Chamanabad, H.; Asadi, A. Effects of salinity stress on seedling biomass, physiochemical properties, and grain yield in different breeding wheat genotypes. Acta Physiol. Plant. 2021, 43, 98–122. [Google Scholar] [CrossRef]
- Dasgupta, S.; Hossain, M.M.; Huq, M.; Wheeler, D. Climate change and soil salinity: The case of coastal Bangladesh. Ambio 2015, 44, 815–826. [Google Scholar] [CrossRef]
- Ahmadi, J.; Pour Aboughadareh, A.; Fabriki Ourang, S.; Khalili, P.; Poczai, P. Unraveling salinity stress responses in ancestral and neglected wheat species at early growth stage: A baseline for utilization in future wheat improvement programs. Physiol. Mol. Biol. Plants 2020, 26, 537–549. [Google Scholar] [CrossRef]
- Munns, R.; Tester, M. Mechanisms of salinity tolerance. Annu. Rev. Plant Biol. 2008, 59, 651–681. [Google Scholar] [CrossRef]
- Basu, S.; Kumar, A.; Benazir, I.; Kumar, G. Reassessing the role of ion homeostasis for improving salinity tolerance in crop plants. Physiol. Plant. 2020, 171, 502–519. [Google Scholar] [CrossRef]
- Zhu, J.; Fan, Y.; Shabala, S.; Li, C.; Lv, C.; Guo, B.; Xu, R.; Zhou, M. Understanding mechanisms of salinity tolerance in barley by proteomic and biochemical analysis of near-isogenic lines. Int. J. Mol. Sci. 2020, 21, 1516. [Google Scholar] [CrossRef]
- Parihar, P.; Singh, S.; Singh, R.; Singh, V.P.; Prasad, S.M. Effect of salinity stress on plants and its tolerance strategies: A review. Environ. Sci. Pollut. Res. 2015, 22, 4056–4075. [Google Scholar] [CrossRef] [PubMed]
- Mane, A.V.; Karadge, B.A.; Samant, J.S. Salinity induced changes in photosynthetic pigments and polyphenols of Cymbopogon Nardus (L.) Rendle. J. Chem. Pharm. Res. 2010, 2, 338–347. [Google Scholar]
- Piotr, S.; Grazyna, K. Antioxidant defense in the leaves of C3 and C4 plants under salinity stress. Physiol. Plant. 2005, 125, 31–40. [Google Scholar]
- Horie, T.; Schroeder, J.I. Sodium transporters in plants. Diverse genes and physiological functions. Plant Physiol. 2004, 136, 2457–2462. [Google Scholar] [CrossRef]
- Su, Y.; Luo, W.; Lin, W.; Ma, L.; Kabir, M.H. Model of cation transportation mediated by high-affinity potassium transports (HKTs) in higher plants. Biol. Proced. Online 2015, 17, 1. [Google Scholar] [CrossRef]
- Apse, M.P.; Aharon, G.S.; Snedden, W.A.; Blumwald, E. Salt tolerance conferred by overexpression of a vacuolar Na+/H+ antiport in Arabidopsis. Science 1999, 285, 1256–1258. [Google Scholar] [CrossRef]
- Paul, A.; Chatterjee, A.; Subrahmanya, S.; Shen, G.; Mishra, N. NHX gene family in camellia sinensis: In-silico genomewide identification, expression profiles, and regulatory network analysis. Front. Plant Sci. 2021, 12, 777884. [Google Scholar] [CrossRef]
- Hoagland, D.R.; Arnon, D.I. The water culture method for growing plants without soil. In California Agricultural Experiment Station, Circular No. 374; The College of Agriculture, University of California: Berkeley, CA, USA, 1950. [Google Scholar]
- Sairam, R.K.; Veerabhadra, R.; Srivastava, G.C. Differential response of wheat genotypes to long term salinity stress in relation to oxidative stress, antioxidant activity and osmolyte concentration. Plant Sci. 2020, 163, 1037–1046. [Google Scholar] [CrossRef]
- Saqib, M.; Zorb, C.; Rengel, Z.; Schubert, S. The expression of the endogenous vacuolar Na+/H+ antiporters in roots and shoots correlates positively with the salt resistance of wheat (Triticum aestivum L.). Plant Sci. 2005, 169, 959–965. [Google Scholar] [CrossRef]
- Pour Aboughadareh, A.; Etminan, A.; Abdelrahman, M.; Siddique, K.H.M.; Tran, L.S.P. Assessment of biochemical and physiological parameters of durum wheat genotypes at the seedling stage during polyethyleneglycol induced water stress. Plant Growth Regul. 2020, 92, 81–93. [Google Scholar] [CrossRef]
- Olivoto, T.; Nardino, M. MGIDI: Toward an effective multivariate selection in biological experiments. Bioinformatics 2020, 37, 1383–1389. [Google Scholar] [CrossRef] [PubMed]
- R Core Team. R: A Language and Environment for Statistical Computing; R Foundation for Statistical Computing: Vienna, Austria, 2020. [Google Scholar]
- Qiu, Q.S.; Guo, Y.; Dietrich, M.A.; Schumaker, S.S.; Zhu, J.K. Regulation of SOS1, a plasma membrane Na+/H+ exchanger in Arabidopsis thaliana, by SOS2 and SOS3. Proc. Natl. Acad. Sci. USA 2002, 99, 8436–8441. [Google Scholar] [CrossRef] [PubMed]
- Adem, G.D.; Roy, S.J.; Zhou, M.; Bowman, J.P.; Shabala, S. Evaluating contribution of ionic, osmotic and oxidative stress components towards salinity tolerance in barley. BMC Plant Biol. 2014, 14, 113. [Google Scholar] [CrossRef] [PubMed]
- Yousefi Rad, S.; Soltanloo, H.; Ramezanpour, S.S.; Zynalinezhad, K. The study of SOS genes expression in mutant barley root undersalt stress. J. Crop Breed. 2019, 11, 1–8. [Google Scholar] [CrossRef]
- Pfaffl, M.W. A new mathematical model for relative quantification in real-time RT-PCR. Nucleic Acids Res. 2001, 29, e45. [Google Scholar] [CrossRef]
- Tavakkoli, E.; Rengasamy, P.; Glenn, K.; McDonald, K. The response of barley to salinity stress differs between hydroponic and soil system. Funct. Plant Biol. 2011, 37, 621–633. [Google Scholar] [CrossRef]
- Rajeswari, S.; Sood, N.; Swarup, T.G.; Subramanian, R. Assessing salt stress tolerance in barley. Univ. Sci. 2019, 24, 91. [Google Scholar]
- Rasel, M.; Tahjib-Ul-Arif, M.; Hossain, M.A.; Hassan, L.; Farzana, S.; Brestic, M. Screening of salt-tolerant rice landraces by seedling stage phenotyping and dissecting biochemical determinants of tolerance mechanism. J. Plant Growth Regul. 2020, 7, 1–16. [Google Scholar] [CrossRef]
- Ali, R.M.; Abbas, H.M. Response of salt stressed barley seedlings to phenylurea. Plant Soil Environ. 2003, 49, 158–162. [Google Scholar] [CrossRef]
- Farooq, S.; Azam, F. The use of cell membrane stability (CMS) technique to screen for salt tolerant wheat varieties. J. Plant Physiol. 2006, 163, 629–637. [Google Scholar] [CrossRef]
- Ahmed, I.M.; Cao, F.; Zhang, M.; Chen, X.; Zhang, G.; Wu, F. Difference in yield and physiological features in response to drought and salinity combined stress during anthesis in Tibetan wild and cultivated barleys. PLoS ONE 2013, 8, e77869. [Google Scholar] [CrossRef] [PubMed]
- Higbie, S.M.; Wang, F.; Stewart, J.M.; Sterling, T.M.; Lindemann, W.C.; Hughs, E.; Zhang, J. Physiological response to salt (NaCl) stress in selected cultivated tetraploid cottons. Int. J. Agron. 2010, 2010, 12. [Google Scholar] [CrossRef]
- Shin, Y.K.; Bhandari, S.R.; Jo, J.S.; Song, J.W.; Cho, M.C.; Yang, E.Y.; Lee, J.G. Response to salt stress in lettuce: Changes in chlorophyll fluorescence parameters, phytochemical contents, and antioxidant activities. Agronomy 2020, 10, 1627. [Google Scholar] [CrossRef]
- Sohan, D.; Jasoni, R.; Zajicek, J. Plant water relation of NaCl and calcium treated sunflowers plants. Environ. Exp. Bot. 1999, 42, 105–111. [Google Scholar] [CrossRef]
- Papp, J.C.; Ball, M.C.; Terry, N. A comparative of the effects of NaCl salinity on respiration, photosynthesis and leaf extension in Beta vulgaris L. (Sugar beet). Plant Cell Environ. 1983, 6, 675–677. [Google Scholar]
- Zhu, X.; Cao, Q.; Sun, L.; Yang, X.; Yang, W.; Zhang, H. Stomatal conductance and morphology of arbuscular mycorrhizal wheat plants response to elevated CO2 and NaCl stress. Front. Plant Sci. 2018, 9, 1363. [Google Scholar] [CrossRef]
- Pour-Aboughadareh, A.; Ahmadi, J.; Mehrabi, A.A.; Etminan, A.; Moghaddam, M.; Siddique, K.H.M. Physiological responses to drought stress in wild relatives of wheat: Implications for wheat improvement. Acta Physiol. Plant. 2017, 39, 106. [Google Scholar] [CrossRef]
- Adolf, V.I.; Jacobsen, S.E.; Shabala, S. Salt tolerance mechanisms in quinoa (Chenopodium quinoa Willd.). Environ. Exp. Bot. 2013, 92, 43–54. [Google Scholar] [CrossRef]
- Islam, F.; Yasmeen, T.; Arif, M.S.; Ali, S.; Ali, B.; Hameed, S.; Zhou, W. Plant growth promoting bacteria confer salt tolerance in Vigna radiate by up-regulating antioxidant defense and biological soil fertility. Plant Growth Regul. 2015, 80, 23–36. [Google Scholar] [CrossRef]
- Khalili, M.; Pour-Aboughadareh, A. Parametric and non-parametric measures for evaluating yield stability and adaptability in barley doubled haploid lines. J. Agric. Sci. Technol. 2016, 18, 789–803. [Google Scholar]
- Ahmadi, J.; Pour-Aboughadareh, A.; Fabriki-Ourang, S.; Mehrabi, A.A.; Siddique, K.H.M. Screening wild progenitors of wheat for salinity stress at early stages of plant growth: Insight into potential sources of variability for salinity adaptation in wheat. Crop Pasture Sci. 2018, 69, 649–658. [Google Scholar] [CrossRef]
- Pour-Aboughadareh, A.; Omidi, M.; Naghavi, M.R.; Etminan, A.; Mehrabi, A.A.; Poczai, P. Wild relatives of wheat respond well to water deficit stress: A comparative study of antioxidant enzyme activities and their encoding gene expression. Agriculture 2020, 10, 415. [Google Scholar] [CrossRef]
- Pour-Aboughadareh, A.; Omidi, M.; Naghavi, M.R.; Etminan, A.; Mehrabi, A.A.; Poczai, P.; Bayat, H. Effect of water deficit stress on seedling biomass and physio chemical characteristics in different species of wheat possessing the D genome. Agronomy 2019, 9, 522. [Google Scholar] [CrossRef]
- Pour-Aboughadareh, A.; Mohammadi, R.; Etminan, A.; Shooshtari, L.; Maleki-Tabrizi, N.; Poczai, P. Effects of drought stress on some agronomic and morpho-physiological traits in durum wheat genotypes. Sustainability 2020, 12, 5610. [Google Scholar] [CrossRef]
- Benakanahalli, N.K.; Sridhara, S.; Ramesh, N.; Olivoto, T.; Sreekantappa, G.; Tamam, N.; Abdelbacki, A.M.M.; Elansary, H.O.; Abdelmohsen, S.A.M. A framework for identification of stable genotypes based on MTSI and MGDII indexes: An example in guar (Cymopsis tetragonoloba L.). Agronomy 2021, 11, 1221. [Google Scholar] [CrossRef]
- Pour-Aboughadareh, A.; Poczai, P. Dataset on the use of MGIDI index in screening drought-tolerant wild wheat accessions at the early growth stage. Data Brief 2021, 36, 107096. [Google Scholar] [CrossRef] [PubMed]
- Pour-Aboughadareh, A.; Poczai, P. A dataset on multi-trait selection approaches for screening desirable wild relatives of wheat. Data Brief 2021, 39, 107541. [Google Scholar] [CrossRef]
- Ji, H.; Pardo, J.M.; Batelli, G.; Van Oosten, M.J.; Bressan, R.A.; Li, X. The Salt Overly Sensitive (SOS) pathway: Established and emerging roles. Mol. Plant 2013, 6, 275–286. [Google Scholar] [CrossRef]
- Shi, H.; Quintero, F.J.; Pardo, J.M.; Zhu, J.K. The putative plasmamembrane Na+/H+ antiporter SOS1 controls longdistance Na+ transport in plants. Plant Cell 2002, 14, 465–477. [Google Scholar] [CrossRef]
- Quan, R.; Lin, H.; Mendoza, I.; Zhang, Y.; Cao, W.; Yang, Y.; Shang, M.; Chen, S.; Pardo, J.M.; Guo, Y. SCABP8/CBL10, a putative calcium sensor, interacts with the protein kinase SOS2 to protect Arabidopsis shoots from salt stress. Plant Cell 2007, 19, 1415–1431. [Google Scholar] [CrossRef]
- Olias, R.; Eljakaoui, Z.; Li, J.; de Morales, P.A.Z.A.; Marin-Manzano, M.C.; Pardo, J.M.; Belver, A. The plasmamembrane Na+/H+ antiporter SOS1 is essential for salt tolerance in tomato and affects the partitioning of Na+ between plant organs. Plant Cell Environ. 2009, 32, 904–916. [Google Scholar] [CrossRef]
- Davenport, R.J.; Tester, M. A weakly voltage-dependent, nonselective cation channel mediates toxic sodium influx in wheat. Plant Physiol. 2003, 122, 823–834. [Google Scholar] [CrossRef] [PubMed]
- Assaha, D.V.M.; Ueda, A.; Saneoka, H.; Al-Yahyai, R.; Yaish, M.W. The role of Na+ and K+ transporters in salt stress adaptation in glycophytes. Front. Physiol. 2017, 8, 509. [Google Scholar] [CrossRef] [PubMed]
- Bassil, E.; Zhang, S.Q.; Gong, H.J.; Tajima, H.; Blumwald, E. Cation specificity of vacuolar NHX-type cation/H+ antiporters. Plant Physiol. 2019, 179, 616–629. [Google Scholar] [CrossRef]
- Dong, J.; Liu, C.; Wang, Y.; Zhao, Y.; Ge, D.; Yuan, Z. Genome-wide identification of the NHX gene family in Punica granatum L. and their expressional patterns under salt stress. Agronomy 2021, 11, 264. [Google Scholar] [CrossRef]
- Barragan, V.; Leidi, E.O.; Andres, Z.; Rubio, L.; De Luca, A.; Fernandez, J.A.; Cubero, B.; Pardo, J.M. Ion exchangers NHX1 and NHX2 mediate active potassium uptake into vacuoles to regulate cell turgor and stomatal function in arabidopsis. Plant Cell 2012, 24, 1127–1142. [Google Scholar] [CrossRef]
- Pardo, J.M.; Cubero, B.; Leidi, E.O.; Quintero, F.J. Alkali cation exchangers: Roles in cellular homeostasis and stress tolerance. J. Exp. Bot. 2006, 57, 1181–1199. [Google Scholar] [CrossRef] [PubMed]
- Rodriguez-Rosales, M.P.; Jiang, X.; Galvez, F.J.; Aranda, M.N.; Cubero, B.; Venema, K. Overexpression of the tomato K+/H+ Antiporter LeNHX2 confers salt tolerance by improving potassium compartmentalization. New Phytol. 2008, 179, 366–377. [Google Scholar] [CrossRef] [PubMed]
- Jabeen, Z.; Irshad, F.; Hussain, N.; Han, Y.; Zhang, G. NHX-Type Na+ /H+ antiporter gene expression under different salt levels and allelic diversity of HvNHX in wild and cultivated barleys. Front. Genet. 2022, 12, 809988. [Google Scholar] [CrossRef]





| Code | Pedigree |
|---|---|
| G1 | Mehr cultivar (Check) |
| G2 | Karoon /4/(D-13)Bgs/Dajia//L.1242/3/(L.B.IRAN/Una8271//Gloria’S’/3/Alm/Una80//....) |
| G3 | (D10)Rhn-03//L.527/NK1272/ /(D-16)Bda/Rhn-03//ICB-107766 |
| G4 | (Salt-4) LB.Iran/Una 8271//Gloria”S”/Come”s”-11M/3/Kavir/4/Karoon |
| G5 | (Salt-4)LB.Iran/Una 8271//Gloria”S”/Come”s”-11M/3/Kavir/4/(Salt12)ROHO/MAZORKA//TROMPILO |
| G6 | (Salt-12)ROHO/MAZORKA//TROMPILO/3/Lignee 527/NK1272//JLB 70-63 |
| G7 | Lignee 527/NK1272//JLB 70-63/3/Zarjow |
| G8 | KAROON/KAVIR//Rhodes’S’//Tb/Chzo/3/Gloria’S’/4/Zarjow |
| G9 | KAROON/KAVIR//Rhodes’S’//Tb/Chzo/3/Gloria’S’/4/Karoon |
| G10 | Bgs/Dajia//L.1242/3/(L.B.IRAN/Una8271//Gloria’S’/3/Alm/Una80//)/4/Nimrooz |
| G11 | (D-16)Bda/Rhn-03//ICB-107766/3/Yousef |
| G12 | Deir Alla 106//Hem/Bc/3/Rihane”s”14/4/Lignee527/NK1272//JLB70-063/3/Barjouj |
| G13 | Yousef*2/3/Np106/Minn14133-Gvaxduois//Gi10143 |
| G14 | D10*2/4/Productive/3/Roho//Alger/Ceres362-1-1 |
| G15 | D10*2/4/Productive/3/Roho//Alger/Ceres362-1-1 |
| G16 | Lignee 527/NK1272//JLB 70-63/5/CLN-B/80.5138//GLORIA-BAR/COPAL/3/ALISO/4/CABUYA/6/(D10)Rhn-03//L.527/NK1272 |
| G17 | Courlis/Rhn-03//Productive/3/Lignee 527/NK1272//JLB 70-63 |
| G18 | Comp.Cr229//As46/Pro/3/Srs/4/Express/5/Rhn-03 * 2/M83-194 Ras3 * 2/6/Lignee 527/NK1272//JLB 70-63 |
| G19 | 26216/4/Arar/3/Mari/Aths * 2//M-Att-73-337-1/5/Fajr30/6/Lignee 527/NK1272//JLB 70-63 |
| G20 | POA/Hjo//Quina/3/Rojo |
| Gene | Forward/Reverse | Sequence | Reference |
|---|---|---|---|
| HvHKT-2 | F | GACCCTTTCTCCACCGATTA | [25] |
| R | CACGAGCCGATTTACACG | ||
| HvNHX1 | F | TGCATATCTACCAGTGCTTAT | [26] |
| R | GGTTCAAGACACAAGTTCAGT | ||
| HvNHX2 | F | GGTTTTCGGCTTGCTGACTAA | [26] |
| R | CATTGGGCGCATGAACTTATC | ||
| HvNHX3 | F | TGAGCCGAACATTACTGTGAT | [26] |
| R | ACGAGCTTACCTTTCAATACA | ||
| HvSOS1 | F | GGCACCAACAGGAAGATGAA | [27] |
| R | GATATGCAGGAGGCCAGAGA | ||
| HvSOS3 | F | GCTGCACCTCGAAAATCC | [27] |
| R | AAACCGCTCGTCACTGCT | ||
| a-tubulin | F | AGTGTCCTGTCCACCCACTC | [25] |
| R | ATTCAGAGCACCGTCAAACC |
| Trait | Salinity Treatment (S; df = 1) | Genotype (G; df = 19) | S × G (df = 19) | Mean | |
|---|---|---|---|---|---|
| Control | Stress | ||||
| Root fresh weight (RFW) | *** | ** | ns | 3.15 | 1.24 |
| Shoot fresh weight (SFW) | *** | ** | * | 18.30 | 4.28 |
| Root dry weight (RDW) | ** | ns | ns | 0.26 | 0.13 |
| Shoot dry weight (SDW) | ** | * | ns | 2.41 | 0.94 |
| Membrane stability index (MSI) | * | *** | ns | 90.24 | 72.69 |
| Relative chlorophyll content (SPAD) | * | ** | ns | 38.20 | 33.77 |
| Photosynthetic rate (PN) | ns | ns | ns | 23 | 21.08 |
| Stomatal conductance (GS) | * | ns | ns | 19.35 | 3.30 |
| Transpiration rate (TE) | *** | ** | ** | 0.82 | 0.15 |
| Root Na+ content (RN) | *** | *** | *** | 126.45 | 242.38 |
| Shoot Na+ content (SN) | *** | *** | *** | 12.30 | 117.38 |
| Root K+ content (RK) | *** | *** | *** | 9.71 | 0.85 |
| Shoot Na+ content (SN) | *** | *** | *** | 12.79 | 6.79 |
| Root K+/Na+ ratio (RKN) | *** | *** | *** | 0.10 | 0.004 |
| Shoot K+/Na+ ratio (SKN) | *** | *** | *** | 1.15 | 0.06 |
| Root-to-shoot Na+ translocation (RTSN) | *** | *** | *** | 0.12 | 0.53 |
| Root-to-shoot K+ translocation (RTSK) | ** | * | * | 1.43 | 11.09 |
| Factor | Trait | Goal | h2 | Selection Gain (%) |
|---|---|---|---|---|
| FA1 | Root K+ content | Increase | 0.56 | 8.12 |
| FA1 | Root K+:Na+ ratio | Increase | 0.65 | 3.08 |
| FA1 | Shoot Na+ content | Decrease | 0.93 | 9.06 |
| FA1 | Root-to-shoot Na+ translocation | Decrease | 0.87 | −7.81 |
| FA2 | Membrane stability index | Increase | 0.63 | −2.81 |
| FA2 | Shoot fresh weight | Increase | 0.77 | 0.64 |
| FA2 | Shoot K+ content | Increase | 0.61 | 0.03 |
| FA3 | Stomatal conductance | Increase | 0.61 | 0.15 |
| FA4 | Root Na+ content | Decrease | 0.73 | 19.60 |
| Total (Increase) | 12.02 | |||
| Total (Decrease) | 7.46 | |||
Publisher’s Note: MDPI stays neutral with regard to jurisdictional claims in published maps and institutional affiliations. |
© 2022 by the authors. Licensee MDPI, Basel, Switzerland. This article is an open access article distributed under the terms and conditions of the Creative Commons Attribution (CC BY) license (https://creativecommons.org/licenses/by/4.0/).
Share and Cite
Jadidi, O.; Etminan, A.; Azizi-Nezhad, R.; Ebrahimi, A.; Pour-Aboughadareh, A. Physiological and Molecular Responses of Barley Genotypes to Salinity Stress. Genes 2022, 13, 2040. https://doi.org/10.3390/genes13112040
Jadidi O, Etminan A, Azizi-Nezhad R, Ebrahimi A, Pour-Aboughadareh A. Physiological and Molecular Responses of Barley Genotypes to Salinity Stress. Genes. 2022; 13(11):2040. https://doi.org/10.3390/genes13112040
Chicago/Turabian StyleJadidi, Omid, Alireza Etminan, Reza Azizi-Nezhad, Asa Ebrahimi, and Alireza Pour-Aboughadareh. 2022. "Physiological and Molecular Responses of Barley Genotypes to Salinity Stress" Genes 13, no. 11: 2040. https://doi.org/10.3390/genes13112040
APA StyleJadidi, O., Etminan, A., Azizi-Nezhad, R., Ebrahimi, A., & Pour-Aboughadareh, A. (2022). Physiological and Molecular Responses of Barley Genotypes to Salinity Stress. Genes, 13(11), 2040. https://doi.org/10.3390/genes13112040

