Impaired Replication Timing Promotes Tissue-Specific Expression of Common Fragile Sites
Abstract
1. Introduction
2. Materials and Methods
2.1. Human Cell Lines and CFS Induction
2.2. Metaphase Spread Preparation
2.3. R-banding with Chromomycin A3
2.4. BAC Extraction and Labelling by Nick Translation
2.5. Fluorescence In Situ Hybridization
2.6. Immunofluorescence against Bromodeoxyuridine
2.7. Gene Length Analysis
2.8. DNA Repeat Composition Analysis
3. Results
3.1. Cytogenetic Localization of Fragile Sites
3.2. Molecular Characterization of 1p31.1 Fragile Site
3.3. Molecular Characterization of 3q13.3 Fragile Site
3.4. Presence of Long Genes is a Unifying Feature of CFSs
| CFS (APH) | Mean Frequency (in %) | CFS Length | CFS Localization in Chromosome Band(s) | Gene(s) | Length | Human Average Gene Length | References |
|---|---|---|---|---|---|---|---|
| 0.054 Mb | [36] | ||||||
| FRA1B | ≈5%–9% | ≈8 Mb | 1p32.2 51,1-59,7 Mb | 1. DAB1: DAB adaptor protein 1 (disabled-1) 1. DAB1: DAB adaptor protein 1 (disabled-1) (Ensembl) | 1. 1,256 Mb 1. 1,552 MB | [37,38] | |
| FRA1p31.1 | 11.9%–12.6% | ≈5.2 Mb | 1p31.1 70,8 - 76,0 Mb | 1. NEGR1: neuronal growth regulator 1 2. FPGT-TNNI3K: FPGT-TNNI3K readthrough 3. TNNI3K: TNNI3 interacting kinase 4. SLC44A5: solute carrier family 44 member 5 | 1. 0,887 Mb 2. 0,346 Mb 3. 0,309 Mb 4. 0,522 Mb | [14,39], present study. | |
| FRA1E | ≈3%–6% | ≈3.0 Mbs | 1p21.2-p21.3 97,3-100,30 Mb | 1. DPYD: dihydropyrimidine dehydrogenase gene | 1. 0,843 Mbs | [40] | |
| FRA1K | ≈2%–3% | ≈4.0 Mb | 1q25.3-q31.1 185,6-189,5 Mb | 1. HMCN1: hemicentin 1 | 1. 0,457 Mb | [39,41] | |
| FRA1H 5 Azacytidine and APH | ≈4%–7% | ≈11 Mb | 1q41-42.1 215,8-226,4 Mb | 1. USH2A: usherin 2. ESRRG: estrogen related receptor gamma 3. DNAH14: dynein axonemal heavy chain 14 | 1. 0,801 Mb 2. 0,634 Mb 3. 0,471 Mb | [42] | |
| FRA2q14.1 | 3.2% | ≈2.0 Mb | 2q14.1 114,0-116,5 Mb | DPP10: dipeptidyl peptidase like 10 | 1,4 Mb | [43] | |
| FRA2q14.1 (fibroblasts) | (≈2%–5%) | ≈2.0 Mb | 2q14.1 114,0-116,5 Mb | DPP10: dipeptidyl peptidase like 10 | 1,4 Mb | [43] | |
| FRA2F | ≈3%–4% | ≈3.0 Mb | 2q22.1-2q22.2 140,2-143,6 Mb | 1. LRP1B: LDL receptor related protein 1B 2. ARHGAP15: Rho GTPase activating protein 15 | 1. 1,9 Mb 2. 0,697 Mb | [44] | |
| FRA2q22 (FRA2F) (fibroblasts) | 4.7% | ≈3.4 Mb | 2q22 140,2-143,6 Mb | 1. LRP1B: LDL receptor related protein 1B 2. ARHGAP15: Rho GTPase activating protein 15 | 1. 1,9 Mb 2. 0,697 Mb | [14] | |
| FRA2S | ≈4%–6% | > 4.0 Mb | 2q22.3–q23.3 147,1-152,0 Mb | 1. MBD5: methyl-CpG binding domain protein 5 2. CACNB4: calcium voltage-gated channel auxiliary subunit beta 4 | 1. 0,496 Mb 2. 0,266 Mb | [45] | |
| FRA2G | ≈10%–15% | > 2.4 Mb | 2q24.3–q31 167,5-170,2 Mb | 1. B3GALT1: beta-1,3-galactosyltra nsferase 1 2. STK39: serine/ threonine kinase 39 3. CERS6: ceramide synthase 6 4. MYO3B: myosin IIIB | 1. 0,578 Mb 2. 0, 294 Mb 3. 0,319 Mb 4. 0,477 Mb | [45,46] | |
| FRA2H | ≈10%–12% | > 7.0 Mb | 2q32.1-q32.2 182,4-189,7 Mb | 1. PDE1A: phosphodiesterase 1A 2. ZNF804A: zinc finger protein 804A 3. C2orf88: chromosome 2 open reading frame 88 | 1. 0,387 Mb 2. 0,341 Mb 3. 0,324 Mb | [45] | |
| FRA3B | ≈18%–30% | ≈4.3 Mb | 3p14.2 59,6-63,9 Mb | 1. FHIT: fragile histidine triad diadenosine triphosphatase 2. PTPRG: protein tyrosine phosphatase receptor type G | 1. 1,5 Mb 2. 0,736 Mb | [47] | |
| FRA3p14.2 (FRA3B) (fibroblasts) | 1.9%–2.4% | ≈4.3 Mb | 3p14.2 59,6-63,9 Mb | 1. FHIT: fragile histidine triad diadenosine triphosphatase 2. PTPRG: protein tyrosine phosphatase receptor type G | 1. 1,5 Mb 2. 0,736 Mb | [14], present study | |
| FRA3p12 (fibroblasts) | 4.0%–7.5% | ≈7.5 Mb | FRA3p12 78,5-86,0 Mb | 1. ROBO1: roundabout guidance receptor 1 2. GBE1: 1,4-alpha-glucan branching enzyme 1 3. CADM2: cell adhesion molecule 2 | 1. 1,171 Mb 2. 0,272 Mb 3. 0,1,115 Mb | [14], present study | |
| FRA3q13.3 (fibroblasts) | 17.2%–24.3% | ≈4.0 Mb | FRA3q13.3 115,6 - 119,7 Mb | 1. ZBTB20: zinc finger and BTB domain containing 20 2. LSAMP: limbic system associated membrane protein 3. IGSF11: immunoglobulin superfamily member 11 4. ARHGAP31: Rho GTPase activating protein 31 | 1. 0,833 Mb 2. 0,643 Mb 2. 1,337 Mb (Ensembl) 3. 0,246 Mb 4. 0,126 Mb | [14], present study | |
| FRA3q27.3-q28 (fibroblasts) | 4.5%–7.7% | ≈2.0 Mb | FRA2q27-q28 188,1-189,9 Mb | 1. LIM: domain containing preferred translocation partner in lipoma 2. tumor protein p63 regulated 1 3 | 1. 0,739Mb 2. 0,325 MB | [14], present study | |
| FRA4F | ≈3%–4% | ≈7.0 Mb | 4q22 (4q22.3) 88,2- 94,8 Mb | 1. FAM13A: family with sequence similarity 13 member A 2. CCSER1: coiled-coil serine rich protein 1 3. GRID2: glutamate ionotropic receptor delta type subunit 2 | 1. 0,385 Mb 2. 1,475 Mb 3. 1,507 Mb | [46,48] | |
| FRA6H | ≈2%–11% | ≈5.0 Mb | 6p21.1-p21.2 35,5-40,5 Mb | 1. MAPK14: mitogen-activated protein kinase 14 2. BTBD9: BTB domain containing 9 3. KIF6: kinesin family member 6 | 1. 0,098 Mb 2. 0,472 Mb 3. 0,395 Mb | [49] | |
| FRA6F | ≈1%–2% | 1.2 Mb | 6q21 111,2-112,4 Mb | 1. REV3L: REV3 like, DNA directed polymerase zeta catalytic subunit 2. FYN: proto-oncogene, Src family tyrosine kinase 3. LAMA4: laminin subunit alpha 4 | 1. 0,185 Mb 2. 0,213 Mb 3. 0,147 Mb | [50] | |
| FRA6E | ≈12%–24% | ≈3.6 Mb | 6q26-q27 159,9-163,5 Mb | 1. IGF2: insulin-like growth factor 2 receptor 2. PRKN: parkin RBR E3 ubiquitin protein ligase 3. PACRG: parkin coregulated | 1. 0,142 Mb 2. 1,38 Mb 3. 0,589 Mb | [51,52] | |
| FRA7B | ≈7%–12% | ≈12.2 Mb | 7p21.3-p22.3 ≈0,5-12,3 Mb | 1. MAD1L1: sidekick cell adhesion molecule 1 2. SDK1: sidekick cell adhesion molecule 1 3. NXPH1: neurexophilin 1 4. THSD7A: thrombospondin type 1 domain containing 7A | 1. 0,471 Mb 2. 0,968 Mb 3. 0,319 Mb 4. 0,462 Mb | [27] | |
| FRA7q11.22 (fibroblasts) | 2.8%–7.3% | ≈3.7 Mb | FRA7q11.22 67,7 - 71,4 MB | 1. AUTS2: activator of transcription and developmental regulator AUTS2 2. GALNT17: polypeptide N-acetylgalactosaminyltransferase 17 | 1. 1,195 Mb 2. 0,581 Mb | [14], present study | |
| FRA7E | ≈3%–6% | ≈4.5 Mb | 7q21.11 80,8-85,3 Mb | 1. SEMA3C: semaphorin 3C 2. CACNA2D1: calcium voltage-gated channel auxiliary subunit alpha2delta 1 3. PCLO: piccolo presynaptic cytomatrix protein 4. SEMA3E: semaphorin 3E 5. SEMA3A: semaphorin 3A | 1. 0,180 Mb 2. 0,498 Mb 3. 0,410 Mb 4. 0,286 Mb 5. 0,559 Mb | [22] | |
| FRA7K | ≈4%–8% | ≈0.800 Mb | 7q31.1 110,8-111,6 Mb | IMMP2L: inner mitochondrial membrane peptidase subunit 2 | 0,899 Mb | [53] | |
| FRA7q31.1 (FRA7K) (fibroblasts) | 2.9% | ≈0.800 Mb | 7q31.1 110,8-111,6 Mb | IMMP2L: inner mitochondrial membrane peptidase subunit 2 | 0,899 Mb | [14] | |
| FRA7G | ≈2%–3% | ≈5.0 Mb | 7q31.2 112,0-117,0 Mb | 1. DOCK4: dedicator of cytokinesis 4 2. FOXP2: forkhead box P2 3. MET: MET proto-oncogene, receptor tyrosine kinase 4. ST7: suppression of tumorigenicity 7 | 1. 0,480 Mb 2. 0,607 Mb 3. 0,126 Mb 4. 0,277 Mb | [54,55] | |
| FRA7H | ≈3%–6% | > 2.0 Mb | 7q32.3 130,5-133,8 Mb | 1. COPG2: COPI coat complex subunit gamma 2 2. MKLN1: muskelin 1 3. PLXNA4: plexin A4 4. CHCHD3: coiled-coil-helix-coiled-coil-helix domain containing 3 5. EXOC4: exocyst complex component 4 | 1. 0,163 Mb 2. 0.386 Mb 3. 0,525 Mb 4. 0,297 Mb 5. 0,814 Mb | [20] | |
| FRA7I | ≈2%–4% | > 2,0 Mb | 7q35-q36.1 144,6-146,8 Mb | 1. TPK1: thiamin pyrophosphokinase 1 2. CNTNAP2: contactin associated protein 2 | 1. 0,384 Mb 2. 2,304 Mb | [56] | |
| FRA8C | ≈4%–7% | ≈4 Mb | 8q24.13-q21 125,7-129,3 Mb | 1. PCAT1: (lncRNA) prostate cancer associated transcript 1 | 1. 0,863 Mb (Ensembl) | [42] | |
| FRA9G | ≈1%–3% | ≈0.400 Mb | 9p22.2 17,1-17,5 Mb | CNTLN: centlein | 0,375 Mb | [57] | |
| FRA9E | ≈2%–5% | ≈10 Mb | 9q32.1-q33.1 109,0-119,0 Mb | 1. PALM2-AKAP2 fusion 2. DELEC1: deleted in esophageal cancer 1 3. PAPPA: pappalysin 1 4. ASTN2: astrotactin 2 | 1. 0,532 Mb 2, 0,261 Mb 3. 0.249 Mb 4. 0,992 Mb | [58] | |
| FRA10D | ≈4%–6% | ≈1.8 Mb | 10q21.3-q22.1 65,9-67,7 Mb | CTNNA3: catenin alpha 3[65,912,518..67,696,217 (-)] | 1,784 Mb | [45] | |
| FRA11E | ≈3%–5% | > 3 Mb | 11p13 31,2 -35,5 Mb | 1. DCDC1: doublecortin domain containing 1 2. KIAA1549L(ike): also known as C11orf41 | 1. 0,506 Mb 2. 0,298 Mb | [59] | |
| FRA11H | ≈2%–3% | ≈8 Mb | 11q13.2-q13.4 66,3-74,1 Mb | SHANK2: SH3 and multiple ankyrin repeat domains 2 | 0,757 Mb | [60] | |
| FRA11F | ≈4%–5% | ≈7.5 Mb | 11q14.1-q43 84,2-92 Mb | 1. DLG2: discs large MAGUK scaffold protein 2. kinase (MAGUK) family 2. GRM5: glutamate metabotropic receptor 5 3. DISC1FP1: DISC1 fusion partner 1 4. FAT3: FAT atypical cadherin 3 | 1. 2,173 Mb 2. 0,561 Mb 3. 0,664 Mb 4. 0,672 Mb | [61] | |
| FRA11G | ≈2%–3% | ≈4.5 Mb | 11q23.3 113,2-118,5 Mb | 1. NCAM1:neural cell adhesion molecule 1 2. NXPE2: neurexophilin and PC-esterase domain family member 2 3. CADM1: cell adhesion molecule 1 4. SIK3: SIK family kinase 3 5. DSCAML1: DS cell adhesion molecule like 1 | 1. 0,317 Mb 2. 0,349 Mb 3. 0,335 MB 4. 0,255 MB 5. 0,390 Mb | [62] | |
| FRA12p12.1 (fibroblasts) | 1.8% | ≈3,7 Mb | 12p12.1 22,0-25,7 Mb | 1. ST8SIA1: ST8 alpha-N-acetyl-neuraminide alpha-2,8-sialyltransferase 1 2. SOX5: SRY-box transcription factor 5 3. LMNTD1: lamin tail domain containing 1 | 1. 0,141 Mb 1. 0,373 Mb (Ensembl) 2. 1,033 Mb 3. 0,173 Mb 3. 0,239 Mb (Ensembl) | [14] | |
| FRA13A | ≈4%–8% | > 1.0 Mb | 13q13.2-q13.3 34,4-35,7 Mb | NBEA: neurobeachin | 1. 0,730 Mb | [63] | |
| FRA13E | ≈2%–5% | > 3.3 Mb | 13q21-q22 72,5-75,9 Mb | 1. PIBF1: progesterone immunomodulatory binding factor 1 2. KLF12: Kruppel like factor 12 3. TBC1D4: TBC1 domain family member 4 | 1. 0,234 Mb 2. 0,482 Mb 3. 0,199 Mb | [50] | |
| FRA13q31 (fibroblasts) | 2.3%–4.8% | ≈5.0Mb | 13q31 87,5 - 92,5 Mb | GPC5: glypican 5 | 1,469 Mb | [14], present study | |
| FRA15A | ≈2%–3% | ≈1.0 Mb | 15q22.2 60,4-61,3 Mb | RORA: RAR related orphan receptor A | 0,741 Mb | [64] | |
| FRA16D | ≈15%–25% | >1.0 Mb | 16q23.2 78,0-79,7 Mb | 1. WWOX: WW domain containing oxidoreductase MAF 2. MAF: MAF bZIP transcription factor | 1. 1,113 Mb 2. 0,399 Mb | [65] | |
| 16q23.2 (FRA16D) (fibroblasts) | 4.1%–5.5% | > 1.0 Mb | 16q23.2 78,0-79,7 Mb | 1. WWOX: WW domain containing oxidoreductase MAF 2. MAF: MAF bZIP transcription factor | 1. 1,113 Mb 2. 0,399 Mb | [14], present study | |
| FRA18C | ≈3%–4% | ≈2.0 Mb | 18q22.1-q22.2 68,7-70,6 Mb | 1. CCDC102B: coiled-coil domain containing 102B 2. DOK6: docking protein 6 3. RTTN: rotatin | 1. 0,499 Mb 2. 0,448 Mb 3. 0,203 Mb | [66] | |
| FRA22B | ≈3%–5% | ≈1.8 Mb | 22q12.2-q12-3 32,5-33,8 Mb | 1. SYN3: synapsin III [-] 2. LARGE: LARGE xylosyl and glucuronyltransferase 1 | 1. 0.551 Mb 2. 0,761 Mb | [45] | |
| FRAXB | ≈8%–14% | > 1.0 Mb | Xp22.3 6,8-8,1 Mb | 1. PUDP: pseudouridine 5’-phosphatase 2. STS: steroid sulfatase | 1. 0,379 Mb (NCBI) 1. 0,480 Mb (Ensembl) 2. 0,208 Mb (NCBI) 2. 0,657 Mb (Ensembl) | [67] | |
| FRAXp21.2-p21.1 | ≈2%–3% | ≈5 Mb | Xp21.2-p21.1 28,5-33,50 Mb | 1. IL1RAPL1: interleukin 1 receptor accessory protein like 1 2. DMD: dystrophin | 1. 1,369 Mb 2. 2,220 Mb | [68,69,70] | |
| FRAXp21.2-p21.1 (fibroblasts) | 1.5%–7.0% | ≈5 Mb | Xp21.2-p21.1 28,5-33,50 Mb | 1. IL1RAPL1: interleukin 1 receptor accessory protein like 1 2. DMD: dystrophin | 1. 1,369 Mb 2. 2,220 Mb | [14,70], present study | |
| Homo sapiens: GRCh38.p13 (GCF_000001405.39) | Annotation release: 109 release date: 2019-06-14 | GRCH38.P13 (GENOME REFERENCE CONSORTIUM HUMAN BUILD 38), INSDC ASSEMBLY GCA_000001405.28, DEC 2013 | |||||
3.5. Replication Timing analysis of Fragile Regions
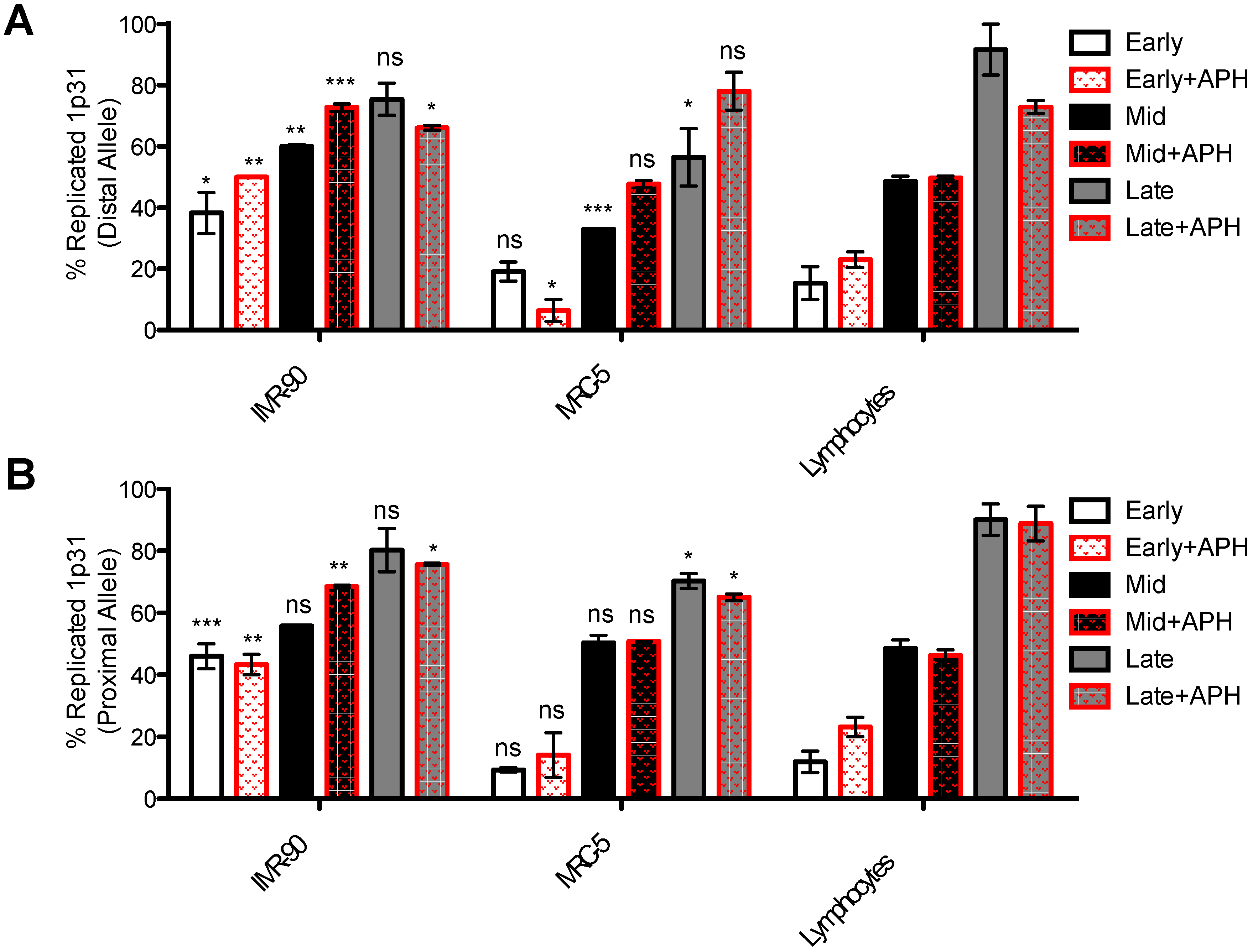
3.6. Replication Timing Analysis of 1p31.1 Fragile Region
3.7. Replication Timing Analysis of 3q13.3 Fragile Region
4. Discussion
Supplementary Materials
Author Contributions
Funding
Conflicts of Interest
References
- Durkin, S.G.; Glover, T.W. Chromosome fragile sites. Annu. Rev. Genet. 2007, 41, 169–192. [Google Scholar] [CrossRef] [PubMed]
- Jareborg, N.; Birney, E.; Durbin, R. Comparative Analysis of Noncoding Regions of 77 Orthologous Mouse and Human Gene Pairs. Genome Res. 1999, 9, 815–824. [Google Scholar] [CrossRef] [PubMed]
- Glover, T.W.; Berger, C.; Coyle, J.; Echo, B. DNA polymerase a inhibition by aphidicolin induces gaps and breaks at common fragile sites in human chromosomes. Hum. Genet. 1984, 67, 136–142. [Google Scholar] [CrossRef] [PubMed]
- Gaddini, L.; Pelliccia, F.; Limongi, M.Z.; Rocchi, A. Study of the relationships between fragile sites, chromosome breaks and sister chromatid exchanges. Mutagenesis 1995, 3, 257–260. [Google Scholar] [CrossRef]
- Ruiz-Herrera, A.; Jose Castresana, J.; Robinson, T.J. Is mammalian chromosomal evolution driven by regions of genome fragility? Genome Biol. 2006, 7, R115. [Google Scholar] [CrossRef]
- Debatisse, M.; Le Tallec, B.; Letessier, A.; Dutrillaux, B.; Brison, O. Common fragile sites: Mechanisms of instability revisited. Trends Genet. 2012, 28, 22–32. [Google Scholar] [CrossRef]
- Ohta, M.; Inoue, H.; Cotticelli, M.G.; Kastury, K.; Baffa, R.; Palazzo, J.; Siprashvili, Z.; Mori, M.; McCue, P.; Druck, T.; et al. The FHIT gene, spanning the chromosome 3p14.2 fragile site and renal carcinoma-associated t(3;8) breakpoint, is abnormal in digestive tract cancers. Cell 1996, 84, 587–597. [Google Scholar] [CrossRef]
- Bednarek, A.K.; Laflin, K.J.; Daniel, R.L.; Liao, Q.; Hawkins, K.A.; Aldaz, C.M. WWOX, a Novel WW Domain-containing Protein Mapping to Human Chromosome 16q23.3–24.1, a Region Frequently Affected in Breast Cancer. Cancer Res. 2000, 60, 2140–2145. [Google Scholar]
- Waters, C.E.; Saldivar, J.C.; Hosseini, S.A.; Huebner, K. The FHIT gene product: Tumor suppressor and genome ‘caretaker’. Cell. Mol. Life Sci. 2014, 71, 4577–4587. [Google Scholar] [CrossRef]
- Hussain, T.; Liu, B.; Shrock MSWilliams, T.; Aldaz, C.M. WWOX, the FRA16D gene: A target of and a contributor to genomic instability. Genes Chromosom. Cancer 2019, 58, 324–338. [Google Scholar] [CrossRef]
- Murano, I.; Kuwano, A.; Kajii, T. Fibroblast-specific common fragile sites induced by aphidicolin. Hum. Genet. 1989, 83, 45–48. [Google Scholar] [CrossRef] [PubMed]
- Hosseini, S.A.; Horton, S.; Saldivar, J.C.; Miuma, S.; Stampfer, M.R.; Heerema, N.A.; Huebner, K. Common chromosome fragile sites in human and murine epithelial cells and FHIT/FRA3B loss-induced global genome instability. Genes Chromosom. Cancer 2013, 52, 1017–1029. [Google Scholar] [CrossRef] [PubMed]
- Le Tallec, B.; Millot, G.A.; Blin, M.E.; Brison, O.; Dutrillaux, B.; Debatisse, M. Common fragile site profiling in epithelial and erythroid cells reveals that most recurrent cancer deletions lie in fragile sites hosting large genes. Cell Rep. 2013, 4, 420–428. [Google Scholar] [CrossRef] [PubMed]
- Le Tallec, B.; Dutrillaux, B.; Lachages, A.M.; Millot, G.A.; Brison, O.; Debatisse, M. Molecular profiling of common fragile sites in human fibroblasts. Nat. Struct. Mol. Biol. 2011, 18, 1421–1423. [Google Scholar] [CrossRef]
- Letessier, A.; Millot, G.A.; Koundrioukoff, S.; Lachagès, A.M.; Vogt, N.; Hansen, R.S.; Malfoy, B.; Brison, O.; Debatisse, M. Cell-type-specific replication initiation programs set fragility of the FRA3B fragile site. Nature 2011, 470, 120–123. [Google Scholar] [CrossRef]
- Cha, R.S.; Kleckner, N. ATR homolog Mec1 promotes fork progression, thus averting breaks in replication slow zones. Science 2002, 297, 602–606. [Google Scholar] [CrossRef]
- Branzei, D.; Foiani, M. Maintaining genome stability at the replication fork. Nat. Rev. Mol. Cell Biol. 2010, 11, 208–219. [Google Scholar] [CrossRef]
- Le Beau, M.M.; Rassool, F.V.; Neilly, M.E.; Espinosa, R., III; Glover, T.W.; Smith, D.I.; McKeithan, T.W. Replication of a common fragile site, FRA3B, occurs late in S phase and is delayed further upon induction: Implications for the mechanism of fragile site induction. Hum. Mol. Genet. 1998, 7, 755–761. [Google Scholar] [CrossRef]
- Arlt, M.F.; Glover, T.W. Inhibition of topoisomerase I prevents chromosome breakage at common fragile sites. DNA Repair 2010, 9, 678–689. [Google Scholar] [CrossRef]
- Mishmar, D.; Rahat, A.; Scherer, S.W.; Nyakatura, G.; Hinzmann, B.; Kohwi, Y.; Mandel-Gutfroind, Y.; Lee, J.R.; Drescher, B.; Sas, D.E.; et al. Molecular characterization of a common fragile site (FRA7H) on human chromosome 7 by the cloning of a simian virus 40 integration site. Proc. Natl. Acad. Sci. USA 1998, 95, 8141–8146. [Google Scholar] [CrossRef]
- Mishmar, D.; Mandel-Gutfroind, Y.; Margalit, H.; Kerem, B. Common fragile sites: G-band characteristics within an R-band. Am. J. Hum. Genet. 1999, 64, 908–910. [Google Scholar] [CrossRef] [PubMed][Green Version]
- Zlotorynski, E.; Rahat, A.; Skaug, J.; Ben-Porat, N.; Ozeri, E.; Hershberg, R.; Levi, A.; Scherer, S.W.; Margalit, H.; Kerem, B. Molecular basis for expression of common and rare fragile sites. Mol. Cell. Biol. 2003, 23, 7143–7151. [Google Scholar] [CrossRef] [PubMed]
- Blumenfeld, B.; Ben-Zimra, M.; Simon, I. Perturbations in the Replication Program Contribute to Genomic Instability in Cancer. Int. J. Mol. Sci. 2017, 18, 1138. [Google Scholar] [CrossRef] [PubMed]
- McAvoy, S.; Ganapathiraju, S.C.; Ducharme-Smith, A.L. Non-random inactivation of large common fragile site genes in different cancers. Cytogenet. Genome Res. 2007, 118, 260–269. [Google Scholar] [CrossRef]
- Durkin, S.G.; Ragland, R.L.; Arlt, M.F.; Mulle, J.G.; Warren, S.T.; Glover, T.W. Replication stress induces tumor-like microdeletions in FHIT/FRA3B. Proc. Natl. Acad. Sci. USA 2008, 105, 246–251. [Google Scholar] [CrossRef]
- Helmrich, A.; Ballarino, M.; Tora, L. Collisions between replication and transcription complexes cause common fragile sites instability at the longest human genes. Mol. Cell. 2011, 44, 966–977. [Google Scholar] [CrossRef]
- Available online: https://www.ncbi.nlm.nih.gov/genbank/ (accessed on 5 March 2020).
- Available online: http://www.ncbi.nlm.nih.giv/genome/gdv/ (accessed on 5 March 2020).
- Available online: https://www.ensembl.org/index.html (accessed on 5 March 2020).
- Available online: http://www.repeatmasker.org (accessed on 5 March 2020).
- Bosco, N.; Pelliccia, F.; Rocchi, A. Characterization of FRA7B, a human common fragile site mapped at the 7p chromosome terminal region. Cancer Genet. Cytogenet. 2010, 202, 47–52. [Google Scholar] [CrossRef]
- Smit, A.F. Interspersed repeats and other mementos of transposable elements in mammalian genomes. Curr. Opin. Genet. Dev. 1999, 9, 657–663. [Google Scholar] [CrossRef]
- Sun, P.; Jun-Wei, H.; Wu-Jun, X.; Jun, M. miR-186 Regulates Glycolysis through Glut1 During the Formation of Cancer-associated Fibroblasts. Asian Pac. J. Cancer Prev. 2014, 15, 4245–4250. [Google Scholar] [CrossRef] [PubMed]
- Smith, D.I.; McAvoy, S.; Zhu, Y.; Perez, D.S. Large common fragile site genes and cancer. Semin. Cancer Biol. 2007, 17, 31–41. [Google Scholar] [CrossRef] [PubMed]
- Kresse, S.H.; Ohnstad, H.O.; Paulsen, E.B.; Bjerkehagen, B.; Szuhai, K.; Serra, M.; Schaefer, K.L.; Myklebost, O.; Meza-Zepeda, L.A. LSAMP, a Novel Candidate Tumor Suppressor Gene in Human Osteosarcomas, Identified by Array Comparative Genomic Hybridization. Genes Chromosom. Cancer 2009, 48, 679–693. [Google Scholar] [CrossRef] [PubMed]
- Strachan, T.; Read, A.P. The Human Molecular Genetics, 4th ed.; Chapter 9; Garland Science/Taylor & Francis Group: New York, NY, USA, 2011. [Google Scholar]
- McAvoy, S.; Zhu, Y.; Perez, D.S.; James, C.D.; Smith, D.I. Disabled-1 Is a Large Common Fragile Site Gene, Inactivated in Multiple Cancers. Genes Chromosom. Cancer 2008, 47, 165–174. [Google Scholar] [CrossRef] [PubMed]
- Georgakilas, A.G.; Tsantoulis, P.; Kotsinas, A.; Michalopulos, I.; Townsend, P.; Gorgoulis, V.G. Are common fragile sites merely structural domains or highly organized “functional” units susceptible to oncogenic stress? Cell. Mol. Life Sci. 2014, 71, 4519–4544. [Google Scholar] [CrossRef] [PubMed]
- Bärbel, R.; Jochen, H.; Fritz, L. Fragile sites and neuroblastoma: Fragile site at 1p13.1 and other points on lymphocyte chromosomes from patients and family members. Cancer Genetics Cytogenet. 1988, 31, 83–94. [Google Scholar]
- Hormozian, F.; Schmitt, J.G.; Sagulenko, E.; Schwab, M.; Savelyeva, L. FRA1E common fragile site breaks map within a 370 kilobase pair region and disrupt the dihydropyrimidine dehydrogenase gene (DPYD). Cancer Lett. 2007, 246, 82–91. [Google Scholar] [CrossRef] [PubMed]
- Ferber, M.J.; Thorland, E.C.; Brink, A.A.; Rapp, A.K.; Phillips, L.A.; McGovern, R.; Gostout, B.S.; Cheung, T.H.; Chung, T.K.H.; Fu, W.Y.; et al. Preferential integration of human papillomavirus type 18 near the c-myc locus in cervical carcinoma. Oncogene 2003, 22, 7233–7242. [Google Scholar] [CrossRef]
- Curatolo, A.; Limongi, Z.M.; Pelliccia, F.; Rocchi, A. Molecular Characterization of the Human Common Fragile Site FRA1H. Genes Chromosom. Cancer 2007, 46, 487–493. [Google Scholar] [CrossRef]
- Bosco, N.; de Lange, T. A TRF1-controlled common fragile site containing interstitial telomeric sequences. Chromosoma 2012, 121, 465–474. [Google Scholar] [CrossRef]
- Smith, D.I.; Zhu, Y.; McAvoy, S.; Kuhn, R. Common fragile sites, extremely large genes, neural development and cancer. Cancer Lett. 2006, 232, 48–57. [Google Scholar] [CrossRef]
- Pelliccia, F.; Bosco, N.; Rocchi, A. Breakages at common fragile sites set boundaries of amplified regions in two leukemia cell lines K562—molecular characterization of FRA2H and localization of a new CFS FRA2S. Cancer Lett. 2010, 299, 37–44. [Google Scholar] [CrossRef]
- Limongi, M.Z.; Pelliccia, F.; Rocchi, A. Characterization of the human common fragile site FRA2G. Genomics 2003, 81, 93–97. [Google Scholar] [CrossRef]
- Becker, N.A.; Thorland, E.C.; Denison, S.R.; Phillips, L.A.; Smith, D.I. Evidence that instability within the FRA3B region extends four megabases. Oncogene 2002, 21, 8713–8722. [Google Scholar] [CrossRef] [PubMed]
- Rozier, L.; El-Achkar, E.; Apiou, F.; Debatisse, M. Characterization of a conserved aphidicolin-sensitive common fragile site at human 4q22 and mouse 6C1: Possible association with an inherited disease and cancer. Oncogene 2004, 23, 6872–6880. [Google Scholar] [CrossRef] [PubMed]
- Fechter, A.; Buettel, I.; Kuehnel, E.; Schwab, M.; Savelyeva, L. Cloning of genetically tagged chromosome break sequences reveals new fragile sites at 6p21 and 13q22. Int. J. Cancer 2007, 120, 2359–2367. [Google Scholar] [CrossRef] [PubMed]
- Morelli, C.; Karayianni, E.; Magnanini, C.; Mungall, S.J.; Thorland, E.; Negrini, M.; Smith, D.I.; Barbanti-Brodano, G. Cloning and characterization of the common fragile site FRA6F harboring a replicative senescence gene and frequently deleted in human tumors. Oncogene 2002, 21, 7266–7276. [Google Scholar] [CrossRef] [PubMed]
- Denison, S.R.; Callahan, G.; Becker, N.A.; Phillips, L.A.; Smith, D.I. Characterization of FRA6E and its potential role in autosomal recessive juvenile parkinsonism and ovarian cancer. Genes Chromosom. Cancer 2003, 38, 40–52. [Google Scholar] [CrossRef]
- Cesari, R.; Martin, E.S.; Calin, G.A.; Pentimalli, F.; Bichi, R.; McAdams, H.; Trapasso, F.; Drusco, A.; Shimizu, M.; Masciullo, V.; et al. Parkin, a gene implicated in autosomal recessive juvenile parkinsonism, is a candidate tumor suppressor gene on chromosome 6q25–q27. Proc. Natl. Acad. Sci. USA 2003, 100, 5956–5961. [Google Scholar] [CrossRef]
- Helmrich, A.; Stout-Weider, K.; Matthaei, A.; Hermann, K.; Heiden, T.; Schrock, E. Identification of the human/mouse syntenic common fragile site FRA7K/Fra12C1—Relation of FRA7K and other human common fragile sites on chromosome 7 to evolutionary breakpoints. Int. J. Cancer 2006, 120, 48–54. [Google Scholar] [CrossRef]
- Huang, H.; Qian, J.; Proffit, J.; Wilber, K.; Jenkins Smith, D.I. FRA7G extends over a broad region: Coincidence of human endogenous retroviral sequences (HERV-H) and small polydispersed circular DNAs (spcDNA) and fragile sites. Oncogene 1998, 16, 2311–2319. [Google Scholar] [CrossRef]
- Hellman, A.; Rahat, A.; Scherer, S.W.; Darvasi, A.; Tsui, L.-C.; Kerem, B. A role for common fragile site induction in amplification of human oncogenes. Mol. Cell. Biol. 2000, 20, 4420–4427. [Google Scholar] [CrossRef]
- Ciullo, M.; Debily, M.-A.; Rozier, L.; Autiero, M.; Billault, A.; Mayau, V.; El Marhomy, S.; Guardiola, J.; Bernheim, A.; Coullin, P.; et al. Initiation of the breakage–fusion-bridge mechanism through common fragile site activation in human breast cancer cells: The model of PIP gene duplication from a break at FRA7I. Hum. Mol. Genet. 2002, 11, 2887–2894. [Google Scholar] [CrossRef] [PubMed]
- Sawinska, M.; Schmitt, J.G.; Sagulenko, E.; Westermann, F.; Schwab, M.; Savelyeva, L. Novel Aphidicolin-Inducible Common Fragile Site FRA9G Maps to 9p22.2, Within the C9orf39 Gene. Genes Chromosom. Cancer 2007, 46, 991–999. [Google Scholar] [CrossRef] [PubMed]
- Callahan, G.; Denison, S.R.; Leslie, A.; Phillips, L.A.; Shridhar, V.; Smith, D.I. Characterization of the common fragile site FRA9E and its potential role in ovarian cancer. Oncogene 2003, 22, 590–601. [Google Scholar] [CrossRef]
- Bester, A.C.; Schwartz, M.; Schmidt, M.; Garrigue, A.; Hacein-Bey-Abina, S.; Cavazzana-Calvo, M.; Ben-Porat, N.; Von Kalle, C.; Fischer, A.; Kerem, B. Fragile sites are preferential targets for integrations of MLV vectors in gene therapy. Gene Ther. 2006, 13, 1057–1059. [Google Scholar] [CrossRef] [PubMed]
- Bester, A.C.; Kafri, M.; Maoz, K.; Kerem, B. Infection with retroviral vectors leads to perturbed DNA replication increasing vector integrations into fragile sites. Sci. Rep. 2013, 3, 2189. [Google Scholar] [CrossRef] [PubMed]
- Reshmi, S.C.; Huang, X.; Schoppy, D.W.; Black, R.C.; Saunders, W.S.; Smith, D.I.; Gollin, S.M. Relationship Between FRA11F and 11q13 Gene Amplification in Oral Cancer. Genes Chromosom. Cancer 2007, 46, 143–154. [Google Scholar] [CrossRef]
- Fechter, A.; Buettel, I.; Kuehnel, E.; Savelyeva, L.; Schwab, M. Common Fragile Site FRA11G and Rare Fragile Site FRA11B at 11q23.3 Encompass Distinct Genomic Regions. Genes Chromosom. Cancer 2007, 46, 98–106. [Google Scholar] [CrossRef]
- Savelyeva, L.; Sagulenko, E.; Schmitt, J.G.; Schwab, M. The neurobeachin gene spans the common fragile site FRA13A. Hum. Genet. 2006, 118, 551–558. [Google Scholar] [CrossRef]
- Zhu, Y.; McAvoy, S.; Kuhn, R.; Smith, D.I. RORA, a large common fragile site gene, is involved in cellular stress response. Oncogene 2006, 25, 2901–2908. [Google Scholar] [CrossRef]
- Krummel, K.A.; Roberts, L.R.; Kawakami, M.; Glover, T.W.; Smith, D.I. The Characterization of the Common Fragile Site FRA16D and Its Involvement in Multiple Myeloma Translocations. Genomics 2000, 69, 37–46. [Google Scholar] [CrossRef]
- Debacker, K.; Winnepenninckx, B.; Ben-Porat, N.; FitzPatrick, D.; Van Luijk, R.; Scheers, S.; Kerem, B.; Kooy, R.F. FRA18C: A new aphidicolin-inducible fragile site on chromosome 18q22, possibly associated with in vivo chromosome breakage. J. Med. Genet. 2007, 44, 347–352. [Google Scholar] [CrossRef] [PubMed]
- Arlt, M.F.; Miller, D.E.; Beer, D.G.; Glover, T.W. Molecular Characterization of FRAXB and Comparative Common Fragile Site Instability in Cancer Cells. Genes Chromosom. Cancer 2002, 33, 82–92. [Google Scholar] [CrossRef] [PubMed]
- McAvoy, S.; Ganapathiraju, S.; Perez, D.S.; James Smith, D.I. DMD and IL1RAPL1: Two large adjacent genes localized within a common fragile site (FRAXC) have reduced expression in cultured brain tumors. Cytogenet. Genome Res. 2007, 119, 196–203. [Google Scholar] [CrossRef] [PubMed]
- Mitsui, J.; Takahashi, Y.; Goto, J.; Tomiyama, H.; Ishikawa, S.; Yoshino, H.; Minami, N.; Smith, D.I.; Lesage, S.; Aburatani, H.; et al. Mechanisms of Genomic Instabilities Underlying Two Common Fragile-Site-Associated Loci, PARK2 and DMD, in Germ Cell and Cancer Cell Lines. Am. J. Hum. Genet. 2010, 87, 75–89. [Google Scholar] [CrossRef]
- Pelliccia, F.; Rocchi, A. Correction of the Wrong Name of a Fragile Site Associated to the DMD Gene. Cytogenet. Genome Res. 2012, 136, 235. [Google Scholar] [CrossRef]
- Mechali, M. Eukaryotic DNA replication origins: Many choices for appropriate answers. Nat. Rev. Mol. Cell Biol. 2010, 11, 728–738. [Google Scholar] [CrossRef]
- Maya-Mendoza, A.; Moudry, P.; Merchut-Maya, J.M.; Lee, M.H.; Strauss, R.; Bartek, J. High speed of fork progression induces DNA replication stress and genomic instability. Nature 2018, 559, 279–284. [Google Scholar] [CrossRef]
- Shaw, A.; Olivares-Chauvet, P.; Maya-Mendoza, A.; Jackson, D.A. S-phase progression in mammalian cells: Modelling the influence of nuclear organization. Chromosome Res. 2010, 18, 163–178. [Google Scholar] [CrossRef]
- Minocherhomji, S.; Ying, S.; Bjerregaard, V.A.; Bursomanno, S.; Aleliunaite, A.; Wu, W.; Mankouri, H.W.; Shen, H.; Liu, Y.; Hickson, I.D. Replication stress activates DNA repair synthesis in mitosis. Nature 2015, 528, 286–290. [Google Scholar] [CrossRef]
- Pelliccia, F.; Bosco, N.; Curatolo, A.; Rocchi, A. Replication timing of two human common fragile sites: FRA1H and FRA2G. Cytogenet. Genome Res. 2008, 121, 196–200. [Google Scholar] [CrossRef]
- Irony-Tur Sinai, M.; Kerem, B. Genomic instability in fragile sites—Still adding the pieces. Genes Chromosom. Cancer 2019, 58, 295–304. [Google Scholar] [CrossRef] [PubMed]
- Li Shi, K.; Li, W. TUSC7: A novel tumor suppressor long non-coding RNA in human cancers. J. Cell Physiol. 2018, 233, 6401–6407. [Google Scholar]
- Singh, K.; Loreth, D.; Pöttker, B.; Hefti, K.; Innos, J.; Schwald, K.; Hengstler, H.; Menzel, L.; Sommer, C.J.; Radyushkin, K.; et al. Neuronal Growth and Behavioral Alterations in Mice Deficient for the Psychiatric Disease-Associated Negr1 Gene. Front. Mol. Neurosci. 2018, 11, 30. [Google Scholar] [CrossRef] [PubMed]
- Koido, K.; Janno, S.; Traks, T.; Parksepp, M.; Ljubajev, Ü.; Veiksaar, P.; Must, A.; Shlik, J.; Vasar, V.; Vasar, E. Associations between polymorphisms of LSAMP gene and schizophrenia. Psych. Res. 2014, 215, 797–798. [Google Scholar] [CrossRef] [PubMed]
- Black, E.M.; Giunta, S. Repetitive Fragile Sites: Centromere Satellite DNA as a Source of Genome Instability in Human Diseases. Genes 2018, 9, 615. [Google Scholar] [CrossRef] [PubMed]






© 2020 by the authors. Licensee MDPI, Basel, Switzerland. This article is an open access article distributed under the terms and conditions of the Creative Commons Attribution (CC BY) license (http://creativecommons.org/licenses/by/4.0/).
Share and Cite
Maccaroni, K.; Balzano, E.; Mirimao, F.; Giunta, S.; Pelliccia, F. Impaired Replication Timing Promotes Tissue-Specific Expression of Common Fragile Sites. Genes 2020, 11, 326. https://doi.org/10.3390/genes11030326
Maccaroni K, Balzano E, Mirimao F, Giunta S, Pelliccia F. Impaired Replication Timing Promotes Tissue-Specific Expression of Common Fragile Sites. Genes. 2020; 11(3):326. https://doi.org/10.3390/genes11030326
Chicago/Turabian StyleMaccaroni, Klizia, Elisa Balzano, Federica Mirimao, Simona Giunta, and Franca Pelliccia. 2020. "Impaired Replication Timing Promotes Tissue-Specific Expression of Common Fragile Sites" Genes 11, no. 3: 326. https://doi.org/10.3390/genes11030326
APA StyleMaccaroni, K., Balzano, E., Mirimao, F., Giunta, S., & Pelliccia, F. (2020). Impaired Replication Timing Promotes Tissue-Specific Expression of Common Fragile Sites. Genes, 11(3), 326. https://doi.org/10.3390/genes11030326

