Compensatory Response of the Somatotropic Axis from IGFBP-2b Gene Editing in Rainbow Trout (Oncorhynchus mykiss)
Abstract
1. Introduction
2. Materials and Methods
2.1. Microinjection and Early Rearing
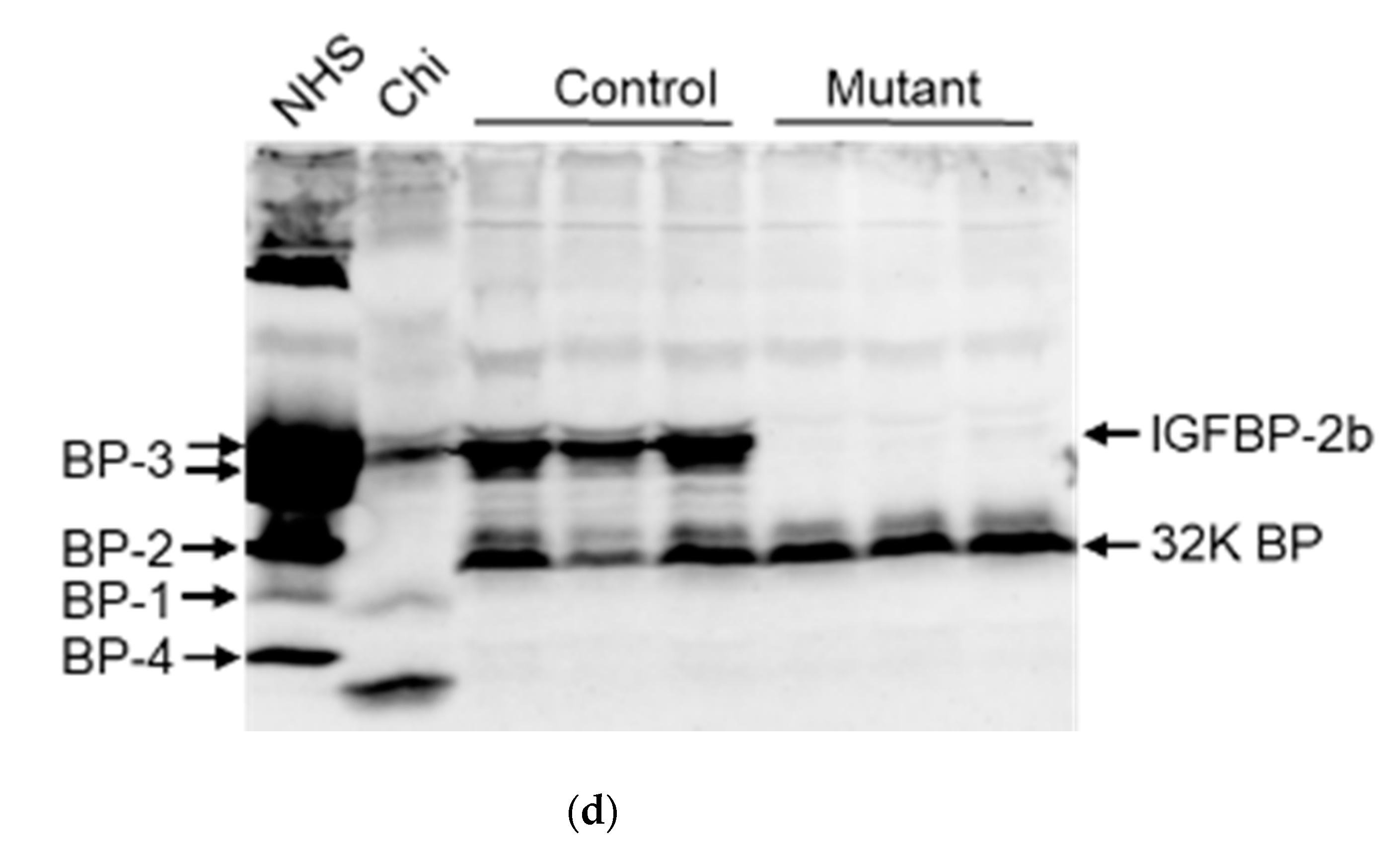
2.2. Identifying IGFBP-2b Mutants via PCR and Ligand Blotting
2.3. Experimental Design and Sample Collection
2.3.1. Feeding Study
2.3.2. 15 Months Post-Hatch Analysis
2.4. Sample Analysis
2.4.1. Plasma IGF-I Analysis
2.4.2. Free IGF-I
2.4.3. Gene Expression
2.5. Statistical Analysis
3. Results
3.1. Growth Response
3.2. Responses in Continuously Fed Fish
3.3. Feed Deprivation and Refeeding Response
3.3.1. Serum IGF-I and IGFBP
3.3.2. Correlations among IGF-I and IGFBPs
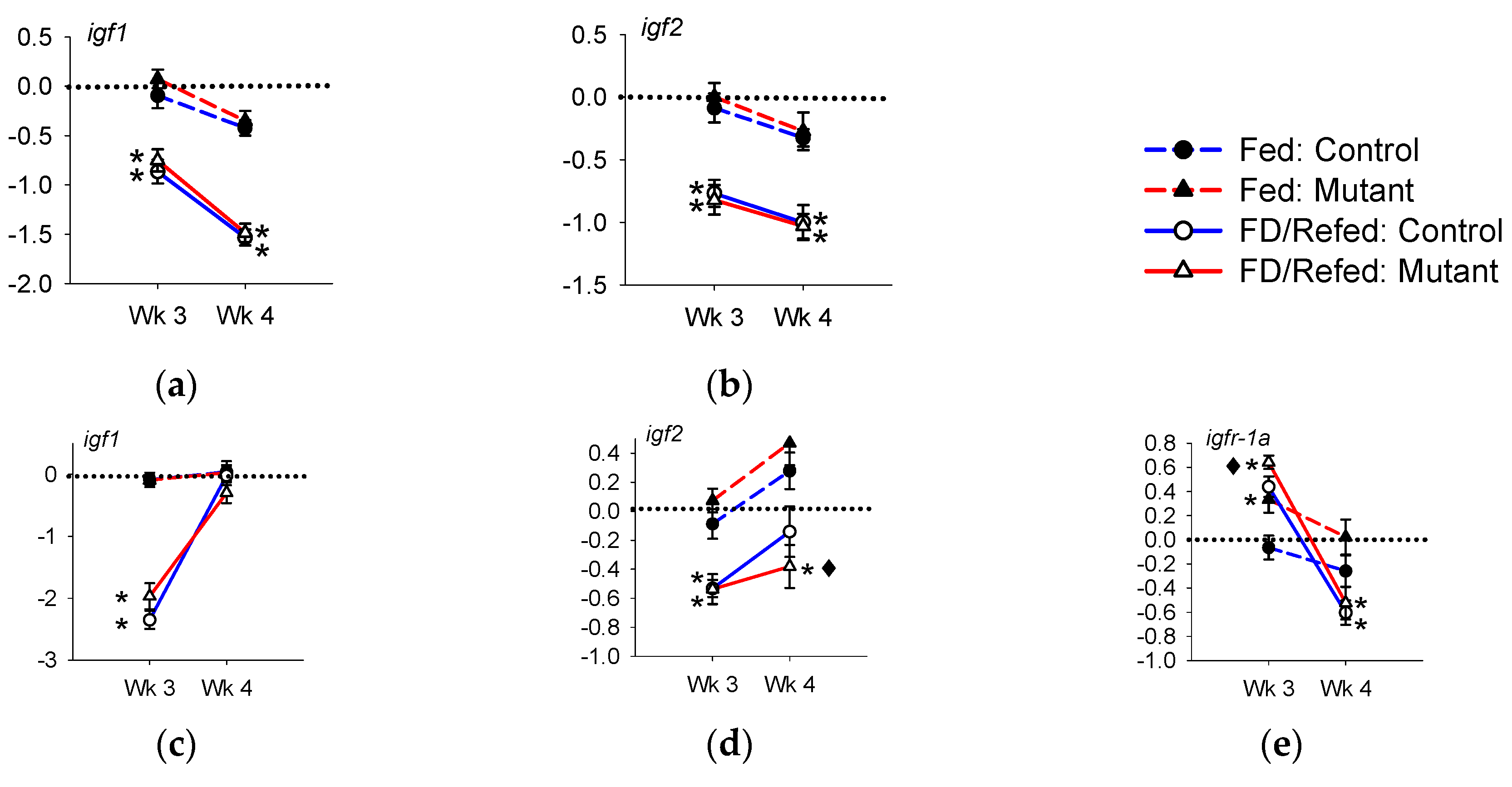
3.3.3. Expression of igf and igfr
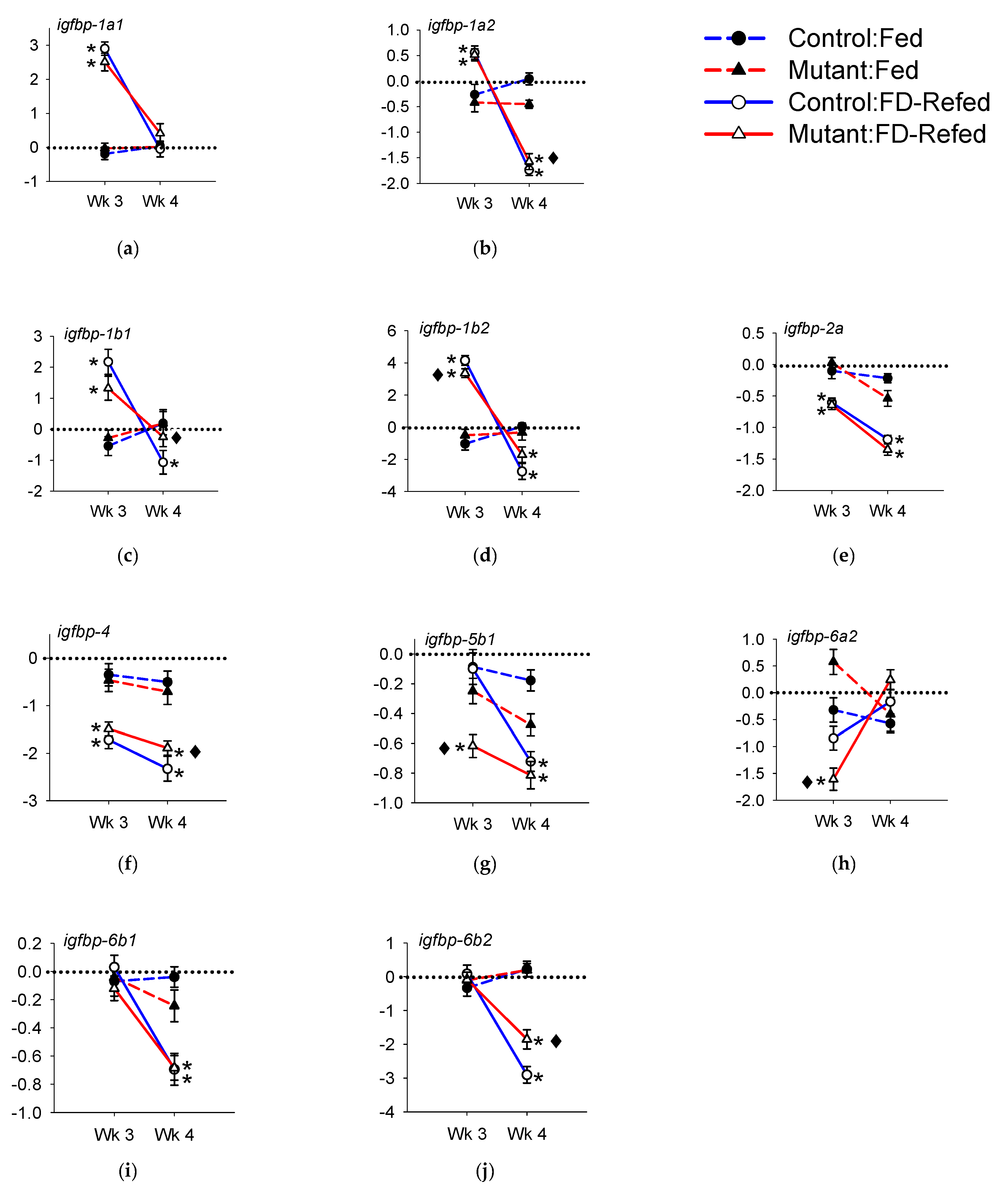
3.3.4. Expression of igfbp in Liver
3.3.5. Expression of igfbp in White Muscle
3.4. Fifteen-Month Post Hatch
3.4.1. Free Versus Total Serum IGF-I, and Serum IGFBPs
3.4.2. Correlations among IGF and IGFBP
4. Discussion
5. Conclusions
Supplementary Materials
Author Contributions
Funding
Acknowledgments
Conflicts of Interest
References
- Daughaday, W.H.; Rotwein, P. Insulin-like growth factors I and II. Peptide, messenger ribonucleic acid and gene structures, serum, and tissue concentrations. Endocr. Rev. 1989, 10, 68–91. [Google Scholar] [CrossRef] [PubMed]
- Castillo, J.; Ina, A.-J.; Codina, M.; Navarro, I.; Gutiérrez, J. IGF-I and insulin receptor signal transduction in trout muscle cells. Am. J. Physiol. Regul. Integr. Comp. Physiol. 2006, 290, 1683–1690. [Google Scholar] [CrossRef]
- Castillo, J.; Codina, M.; Martínez, M.L.; Navarro, I.; Gutiérrezet, J. Metabolic and mitogenic effects of IGF-I and insulin on muscle cells of rainbow trout. Am. J. Physiol. Regul. Integr. Comp. Physiol. 2004, 286, 935–941. [Google Scholar] [CrossRef] [PubMed]
- Cleveland, B.M.; Weber, G.M. Effects of insulin-like growth factor-I, insulin, and leucine on protein turnover and ubiquitin ligase expression in rainbow trout primary myocytes. Am. J. Physiol. Regul. Integr. Comp. Physiol. 2010, 298, 341–350. [Google Scholar] [CrossRef] [PubMed]
- Bikle, D.D.; Tahimic, C.; Chang, W.; Yongmei, W.; Anastassios, P.; Barton, E.R. Role of IGF-I signaling in muscle bone interactions. Bone 2015, 80, 79–88. [Google Scholar] [CrossRef]
- Fisher, M.C.; Meyer, C.; Garber, G.; Dealy, C.N. Role of IGFBP2, IGF-I and IGF-II in regulating long bone growth. Bone 2005, 37, 741–750. [Google Scholar] [CrossRef] [PubMed]
- Reindl, K.M.; Sheridan, M.A. Peripheral regulation of the growth hormone-insulin-like growth factor system in fish and other vertebrates. Comp. Bioch. Phys. Molec. Integr. Phys. 2012, 163, 231–245. [Google Scholar] [CrossRef] [PubMed]
- Frystyk, J. Free insulin-like growth factors–measurements and relationships to growth hormone secretion and glucose homeostasis. Growth Hormon. Igf Res. 2004, 14, 337–375. [Google Scholar] [CrossRef]
- Shimizu, M.; Swanson, P.; Dickhoff, W.W. Free and protein-bound insulin-like growth factor-I (IGF-I) and IGF-binding proteins in plasma of coho salmon, Oncorhynchus kisutch. Gen. Comp. Endocrinol. 1999, 115, 398–405. [Google Scholar] [CrossRef] [PubMed]
- Allard, J.B.; Duan, C. IGF-binding proteins: Why do they exist and why are there so many? Front. Endocrinol. 2018, 9, 117. [Google Scholar] [CrossRef] [PubMed]
- Rajaram, S.; Baylink, D.J.; Mohan, S. Insulin-like growth factor-binding proteins in serum and other biological fluids: Regulation and functions. Endocrine Rev. 1997, 18, 801–831. [Google Scholar]
- Daza, D.O.; Sundström, G.; Bergqvist, C.A.; Duan, C.; Larhammar, D. Evolution of the insulin-like growth factor binding protein (IGFBP) family. Endocrinology 2011, 152, 2278–2289. [Google Scholar] [CrossRef] [PubMed]
- de la Serrana, D.G.; Macqueen, D.J. Insulin-Like Growth Factor-Binding Proteins of Teleost Fishes. Frontiers Endocrinol. 2018, 9, 80. [Google Scholar] [CrossRef] [PubMed]
- Macqueen, D.J.; de la Serrana, D.G.; Johnston, I.A. Evolution of Ancient Functions in the Vertebrate Insulin-Like Growth Factor System Uncovered by Study of Duplicated Salmonid Fish. Genomes. Mol. Biol. Evol. 2013, 30, 1060–1076. [Google Scholar] [CrossRef] [PubMed]
- Shimizu, M.; Kishimoto, K.; Nakanoet, Y.; Yamaguchi, T. Circulating salmon 28-and 22-kDa insulin-like growth factor binding proteins (IGFBPs) are co-orthologs of IGFBP-1. Gener. Comp. Endocrinol. 2011, 174, 97–106. [Google Scholar] [CrossRef] [PubMed]
- Shimizu, M.; Suzuki, S.; Horikoshi, M.; Hara, A.; Dickhoff, W.W. Circulating salmon 41-kDa insulin-like growth factor binding protein (IGFBP) is not IGFBP-3 but an IGFBP-2 subtype. Gen. Comp. Endocrinol. 2011, 171, 326–331. [Google Scholar] [CrossRef] [PubMed]
- Shimizu, M.; Cooper, K.A.; Dickhoff, W.W.; Beckmanet, B.R. Postprandial changes in plasma growth hormone, insulin, insulin-like growth factor (IGF)-I, and IGF-binding proteins in coho salmon fasted for varying periods. Am. J. Phys. Regul. Integ. Comp. Phys. 2009, 297, 352–361. [Google Scholar] [CrossRef]
- Cleveland, B.M.; Weber, G.M. Ploidy effects on genes regulating growth mechanisms during fasting and refeeding in juvenile rainbow trout (Oncorhynchus mykiss). Mol. Cell. Endocrinol. 2014, 382, 139–149. [Google Scholar] [CrossRef]
- Cleveland, B.M.; Weber, G.M. Effects of sex steroids on expression of genes regulating growth-related mechanisms in rainbow trout (Oncorhynchus mykiss). Gen. Comp. Endocrinol. 2015, 216, 103–115. [Google Scholar] [CrossRef]
- Kawaguchi, K.; Kaneko, N.; Fukuda, M.; Nakano, Y.; Kimura, S.; Hara, A.; Shimizu, M. Responses of insulin-like growth factor (IGF)-I and two IGF-binding protein-1 subtypes to fasting and re-feeding, and their relationships with individual growth rates in yearling masu salmon (Oncorhynchus masou). Comp. Biochem. Phys. Mol. Integ. Physiol. 2013, 165, 191–198. [Google Scholar] [CrossRef] [PubMed]
- Kaneko, N.; Nilsen, T.O.; Tanaka, H.; Hara, A.; Shimizu, M. Intact rather than total circulating insulin-like growth factor binding protein-1a is a negative indicator of growth in masu salmon. Am. J. Phys. Regul. Integ. Comp. Phys. 2020, 318, 329–337. [Google Scholar] [CrossRef] [PubMed]
- Gabillard, J.C.; Kamangar, B.B.; Montserrat, N. Coordinated regulation of the GH/IGF system genes during refeeding in rainbow trout (Oncorhynchus mykiss). J. Endocrinol. 2006, 191, 15–24. [Google Scholar] [CrossRef] [PubMed]
- Pierce, A.L.; Shimizu, M.; Beckman, B.R.; Baker, D.M.; Dickhoff, W.W. Time course of the GH/IGF axis response to fasting and increased ration in chinook salmon (Oncorhynchus tshawytscha). Gen. Comp. Endocrinol. 2005, 140, 192–202. [Google Scholar] [CrossRef] [PubMed]
- Beckman, B.R.; Shimizu, M.; Cooper, K.A.; Gadberry, B.A. Response of the somatotropic axis of juvenile coho salmon to alterations in plane of nutrition with an analysis of the relationships among growth rate and circulating IGF-I and 41 kDa IGFBP. Gen. Comp. Endocrinol. 2004, 135, 334–344. [Google Scholar] [CrossRef] [PubMed]
- Housden, B.E.; Muhar, M.; Gemberling, M.; Gersbach, C.A.; Stainier, D.Y.R.; Seydoux, G.; Mohr, S.E.; Zuber, J.; Perrimon, N. Loss-of-function genetic tools for animal models: Cross-species and cross-platform differences. Nature Rev. Gen. 2017, 18, 24–40. [Google Scholar] [CrossRef] [PubMed]
- Cleveland, B.M.; Yamaguchi, G.; Radler, L.M.; Shimizu, M. Editing the duplicated insulin-like growth factor binding protein-2b gene in rainbow trout (Oncorhynchus mykiss). Sci. Rep. 2018, 8, 16054. [Google Scholar] [CrossRef]
- Wargelius, A.; Leininger, S.; Skaftnesmo, K.O.; Kleppe, L.; Andersson, E.; Taranger, G.L.; Schulz, R.W.; Edvardsen, R.B. Dnd knockout ablates germ cells and demonstrates germ cell independent sex differentiation in Atlantic salmon. Sci. Rep. 2016, 6, 21284. [Google Scholar] [CrossRef] [PubMed]
- Shimizu, M.; Swanson, P.; Fukada, H.; Hara, A.; Dickhoff, W.W. Comparison of extraction methods and assay validation for salmon insulin-like growth factor-I using commercially available components. Gen. Comp. Endocrinol. 2000, 119, 26–36. [Google Scholar] [CrossRef] [PubMed]
- Small, B.C.; Peterson, B.C. Establishment of a time-resolved fluoroimmunoassay for measuring plasma insulin-like growth factor I (IGF-I) in fish: Effect of fasting on plasma concentrations and tissue mRNA expression of IGF-I and growth hormone (GH) in channel catfish (Ictalurus punctatus). Domest. Anim. Endocrinol. 2005, 28, 202–215. [Google Scholar] [PubMed]
- Frystyk, J.; Skjaerbaek, C.; Dinesen, B.; OrskovFree, H. Insulin-Like Growth-Factors (Igf-I and Igf-Ii) in Human Serum. FEBS Lett. 1994, 348, 185–191. [Google Scholar] [CrossRef]
- Cleveland, B.M.; Weber, G.M.; Silverstein, J.T.; Blemings, K.P. Insulin-like growth factor-I and genetic effects on indexes of protein degradation in response to feed deprivation in rainbow trout (Oncorhynchus mykiss). Am. J. Phys. Regul. Integ. Comp. Phys. 2009, 297, 1332–1342. [Google Scholar] [CrossRef] [PubMed]
- Shimizu, M.; Dickhoff, W.W. Circulating insulin-like growth factor binding proteins in fish: Their identities and physiological regulation. Gen. Comp. Endocrinol. 2017, 252, 150–161. [Google Scholar] [CrossRef] [PubMed]
- de la Serrana, D.G.; Fuentes, E.N.; Martin, S.A.M.; Johnston., I.A.; Macqueen., D.J. Divergent regulation of insulin-like growth factor binding protein genes in cultured Atlantic salmon myotubes under different models of catabolism and anabolism. Gen. Comp. Endocrinol. 2017, 247, 53–65. [Google Scholar] [CrossRef] [PubMed]
- Breves, J.P.; Phipps-Costin, S.K.; Fujimoto, C.K.; Einarsdottir, I.E.; Regish, A.M.; Björnsson, B.T.; McCormick, S.D. Hepatic insulin-like growth-factor binding protein (igfbp) responses to food restriction in Atlantic salmon smolts. Gen. Comp. Endocrinol. 2016, 233, 79–87. [Google Scholar] [CrossRef] [PubMed]
- Bower, N.I.; Li, X.; Taylor, R.; Johnston, J.A. Switching to fast growth: The insulin-like growth factor (IGF) system in skeletal muscle of Atlantic salmon. J. Exp. Biol. 2008, 211, 3859–3870. [Google Scholar] [CrossRef] [PubMed]
- Zapf, J. Physiological role of the insulin-like growth factor binding proteins. Eur. J. Endocrinol. 1995, 132, 645–654. [Google Scholar] [CrossRef]
- Guler, H.P.; Zapf, J.; Schmid, C.; Froesch, E.R. Insulin-like growth factors I and II in healthy man. Estimations of half-lives and production rates. Acta Endocrinol. (Copenh) 1989, 121, 753–758. [Google Scholar] [CrossRef]
- Dai, H.; Goto, Y.I.; Itoh, M. Insulin-like growth factor binding protein-3 deficiency leads to behavior impairment with monoaminergic and synaptic dysfunction. Am. J. Pathol. 2017, 187, 390–400. [Google Scholar] [CrossRef]
- Yakar, S.; Rosen, C.J.; Bouxsein, M.L.; Sun, H.; Mejia, W.; Kawashima, Y.; Wu, Y.; Emerton, K.; Williams, V.; Jepsen, K.; et al. Serum complexes of insulin-like growth factor-1 modulate skeletal integrity and carbohydrate metabolism. FASEB J. 2009, 23, 709–719. [Google Scholar] [CrossRef]
- Ning, Y.; Schuller, A.G.P.; Bradshaw, S.; Rotwein, P.; Ludwig, T.; Frystyk, J.; Pintar, J.E. Diminished growth and enhanced glucose metabolism in triple knockout mice containing mutations of insulin-like growth factor binding protein-3,-4, and-5. Molec. Endocrinol. 2006, 20, 2173–2186. [Google Scholar] [CrossRef]
- Zhou, J.F.; Li, W.; Kamei, H.; Duan, C. Duplication of the IGFBP-2 Gene in Teleost Fish. PLoS ONE 2008, 3, e3926. [Google Scholar] [CrossRef] [PubMed][Green Version]
- Jansson, M.; Andersson, G.; Uhlén, M.; Nilsson, B.; Koerdel, J. The insulin-like growth factor (IGF)binding protein 1 binding epitope on IGF-I probed by heteronuclear NMB spectroscopy and mutational analysis. J. Biol. Chem. 1998, 273, 24701–24707. [Google Scholar] [CrossRef] [PubMed]
- Kajimura, S.; Duan, C. Insulin-like growth factor-binding protein-1: An evolutionarily conserved fine tuner of insulin-like growth factor action under catabolic and stressful conditions. J. Fish Biol. 2007, 71, 309–325. [Google Scholar] [CrossRef]
- Hoeflich, A.; Wu, M.; Mohan, S.; Föll, J.; Wanke, R.; Froehlich, T.; Arnold, G.J.; Lahm, H.; Kolb, H.J.; Wolf, E. Overexpression of insulin-like growth factor-binding protein-2 in transgenic mice reduces postnatal body weight gain. Endocrinology 1999, 140, 5488–5496. [Google Scholar] [CrossRef]
- Yau, S.W.; Azar, W.J.; Sabin, M.A.; Werther, G.A.; Vincenzo, C. IGFBP-2-taking the lead in growth, metabolism and cancer. J. Cell Comm. Sign. 2015, 9, 125–142. [Google Scholar] [CrossRef]
- Bower, N.I.; Johnston, I.A. Transcriptional Regulation of the IGF Signaling Pathway by Amino Acids and Insulin-Like Growth Factors during Myogenesis in Atlantic Salmon. PLoS ONE 2010, 5, e11100. [Google Scholar] [CrossRef]
- Xiao, Z.; Chu, Y.F.; Qin, W.S. IGFBP5 modulates lipid metabolism and insulin sensitivity through activating AMPK pathway in non-alcoholic fatty liver disease. Life Sci. 2020, 256, 117997. [Google Scholar] [CrossRef]
- Bach, L.A. Current ideas on the biology of IGFBP-6: More than an IGF-II inhibitor? Growth Hormone Igf Res. 2016, 30–31, 81–86. [Google Scholar] [CrossRef]
- Codina, M.; de la Serrana, D.G.; S#xE1;nchez, -G.J.; Montserrat, N.; Chistyakova, O.; Navarro, I.; Gutiérrez, J. Metabolic and mitogenic effects of IGF-II in rainbow trout (Oncorhynchus mykiss) myocytes in culture and the role of IGF-II in the PI3K/Akt and MAPK signalling pathways. Gen. Comp. Endocrinol. 2008, 157, 116–124. [Google Scholar] [CrossRef]
- Wheatcroft, S.B.; Kearney, M.T. IGF-dependent and IGF-independent actions of IGF-binding protein-1 and-2: Implications for metabolic homeostasis. Trends Endocrinol. Metabol. 2009, 20, 153–162. [Google Scholar] [CrossRef]










| Variable | Controls | Mutants | PSEM | p-Value |
|---|---|---|---|---|
| body weight (g) | 722.0 | 622.1 | 50.3 | 0.310 |
| fork length (mm) | 355.5 | 341.7 | 8.2 | 0.361 |
| total serum IGF-I (ng/mL) | 184.9 a | 147.3 b | 11.5 | 0.035 |
| free serum IGF-I (ng/mL) | 0.26 | 0.31 | 0.08 | 0.867 |
| free/total IGF-I (%) | 0.16 | 0.17 | 0.04 | 0.925 |
| serum IGFBP-2b (ADU) | 1483 a | 270 b | 136 | <0.001 |
| serum 32 kDa IGFBP (ADU) | 964 | 1108 | 95 | 0.476 |
| Controls | Mutants | |||||
|---|---|---|---|---|---|---|
| Free IGF-I | IGFBP-2b | 32 kDa IGFBP | Free IGF-I | IGFBP-2b | 32 kDa IGFBP | |
| total IGF-I | 0.037 0.897 | 0.127 0.651 | 0.171 0.542 | 0.861 <0.001 | 0.432 0.132 | −0.803 <0.001 |
| free IGF-I | −0.078 0.780 | −0.353 0.196 | 0.298 0.347 | −0.752 0.005 | ||
| IGFBP-2b | 0.813 <0.001 | −0.283 0.328 | ||||
Publisher’s Note: MDPI stays neutral with regard to jurisdictional claims in published maps and institutional affiliations. |
© 2020 by the authors. Licensee MDPI, Basel, Switzerland. This article is an open access article distributed under the terms and conditions of the Creative Commons Attribution (CC BY) license (http://creativecommons.org/licenses/by/4.0/).
Share and Cite
Cleveland, B.M.; Habara, S.; Oikawa, J.; Radler, L.M.; Shimizu, M. Compensatory Response of the Somatotropic Axis from IGFBP-2b Gene Editing in Rainbow Trout (Oncorhynchus mykiss). Genes 2020, 11, 1488. https://doi.org/10.3390/genes11121488
Cleveland BM, Habara S, Oikawa J, Radler LM, Shimizu M. Compensatory Response of the Somatotropic Axis from IGFBP-2b Gene Editing in Rainbow Trout (Oncorhynchus mykiss). Genes. 2020; 11(12):1488. https://doi.org/10.3390/genes11121488
Chicago/Turabian StyleCleveland, Beth M., Shiori Habara, Jin Oikawa, Lisa M. Radler, and Munetaka Shimizu. 2020. "Compensatory Response of the Somatotropic Axis from IGFBP-2b Gene Editing in Rainbow Trout (Oncorhynchus mykiss)" Genes 11, no. 12: 1488. https://doi.org/10.3390/genes11121488
APA StyleCleveland, B. M., Habara, S., Oikawa, J., Radler, L. M., & Shimizu, M. (2020). Compensatory Response of the Somatotropic Axis from IGFBP-2b Gene Editing in Rainbow Trout (Oncorhynchus mykiss). Genes, 11(12), 1488. https://doi.org/10.3390/genes11121488

