Aberrant Expression of Intracellular let-7e, miR-146a, and miR-155 Correlates with Severity of Depression in Patients with Major Depressive Disorder and Is Ameliorated after Antidepressant Treatment
Abstract
1. Introduction
2. Materials and Methods
2.1. Experimental Design
2.2. Participants
2.3. Treatment
2.4. Quantitative Reverse-Transcription Polymerase Chain Reaction (qRT-PCR)
2.5. Statistical Analysis
3. Results
3.1. Demographic and Clinical Characteristics
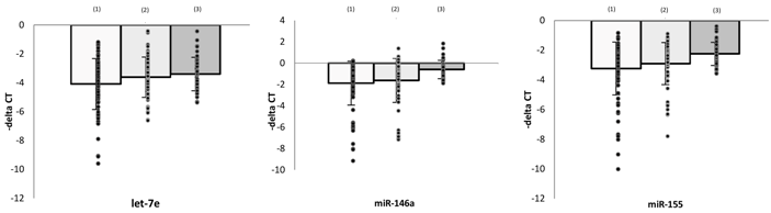
3.2. Levels of microRNAs and Effect of Antidepressants in PBMCs
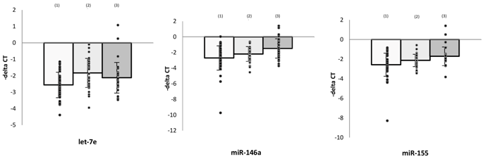
3.3. Levels of microRNAs and Effects of Antidepressants in Monocytes
3.4. Association between microRNA Expressions and Clinical Findings
4. Discussion
5. Conclusions
Supplementary Materials
Author Contributions
Funding
Acknowledgments
Conflicts of Interest
References
- Sartorius, N. The economic and social burden of depression. J. Clin. Psychiatry 2001, 62, 8–11. [Google Scholar] [PubMed]
- Bakish, D. New standard of depression treatment: Remission and full recovery. J. Clin. Psychiatry 2001, 62, 5–9. [Google Scholar] [PubMed]
- Bromet, E.; Andrade, L.H.; Hwang, I.; Sampson, N.A.; Alonso, J.; de Girolamo, G.; de Graaf, R.; Demyttenaere, K.; Hu, C.; Iwata, N.; et al. Cross-national epidemiology of DSM-IV major depressive episode. BMC Med. 2011, 9, 90. [Google Scholar] [CrossRef] [PubMed]
- Miller, A.H.; Maletic, V.; Raison, C.L. Inflammation and its discontents: The role of cytokines in the pathophysiology of major depression. Biol. Psychiatry 2009, 65, 732–741. [Google Scholar] [CrossRef] [PubMed]
- Pandey, G.N.; Rizavi, H.S.; Ren, X.; Fareed, J.; Hoppensteadt, D.A.; Roberts, R.C.; Conley, R.R.; Dwivedi, Y. Proinflammatory cytokines in the prefrontal cortex of teenage suicide victims. J. Psychiatr. Res. 2012, 46, 57–63. [Google Scholar] [CrossRef] [PubMed]
- Barnes, J.; Mondelli, V.; Pariante, C.M. Genetic Contributions of Inflammation to Depression. Neuropsychopharmacology 2017, 42, 81–98. [Google Scholar] [CrossRef]
- De Berardis, D.; Campanella, D.; Gambi, F.; La Rovere, R.; Carano, A.; Conti, C.M.; Sivestrini, C.; Serroni, N.; Piersanti, D.; Di Giuseppe, B.; et al. The role of C-reactive protein in mood disorders. Int. J. Immunopathol. Pharmacol. 2006, 19, 721–725. [Google Scholar] [CrossRef] [PubMed]
- De Berardis, D.; Fornaro, M.; Orsolini, L.; Iasevoli, F.; Tomasetti, C.; de Bartolomeis, A.; Serroni, N.; De Lauretis, I.; Girinelli, G.; Mazza, M.; et al. Effect of agomelatine treatment on C-reactive protein levels in patients with major depressive disorder: An exploratory study in “real-world,” everyday clinical practice. CNS Spectr. 2017, 22, 342–347. [Google Scholar] [CrossRef]
- Fleshner, M.; Frank, M.; Maier, S.F. Danger Signals and Inflammasomes: Stress-Evoked Sterile Inflammation in Mood Disorders. Neuropsychopharmacology 2017, 42, 36–45. [Google Scholar] [CrossRef]
- Lisi, L.; Camardese, G.; Treglia, M.; Tringali, G.; Carrozza, C.; Janiri, L.; Dello Russo, C.; Navarra, P. Monocytes from depressed patients display an altered pattern of response to endotoxin challenge. PLoS ONE 2013, 8, e52585. [Google Scholar] [CrossRef]
- Hung, Y.Y.; Kang, H.Y.; Huang, K.W.; Huang, T.L. Association between toll-like receptors expression and major depressive disorder. Psychiatry Res. 2014, 220, 283–286. [Google Scholar] [CrossRef] [PubMed]
- Broz, P.; Monack, D.M. Newly described pattern recognition receptors team up against intracellular pathogens. Nat. Rev. Immunol. 2013, 13, 551–565. [Google Scholar] [CrossRef] [PubMed]
- O’Neill, L.A. When signaling pathways collide: Positive and negative regulation of toll-like receptor signal transduction. Immunity 2008, 29, 12–20. [Google Scholar] [CrossRef] [PubMed]
- Kondo, T.; Kawai, T.; Akira, S. Dissecting negative regulation of Toll-like receptor signaling. Trends Immunol. 2012, 33, 449–458. [Google Scholar] [CrossRef]
- Adrianto, I.; Wen, F.; Templeton, A.; Wiley, G.; King, J.B.; Lessard, C.J.; Bates, J.S.; Hu, Y.; Kelly, J.A.; Kaufman, K.M.; et al. Association of a functional variant downstream of TNFAIP3 with systemic lupus erythematosus. Nat. Genet. 2011, 43, 253–258. [Google Scholar] [CrossRef] [PubMed]
- Isomaki, P.; Alanara, T.; Isohanni, P.; Lagerstedt, A.; Korpela, M.; Moilanen, T.; Visakorpi, T.; Silvennoinen, O. The expression of SOCS is altered in rheumatoid arthritis. Rheumatology 2007, 46, 1538–1546. [Google Scholar] [CrossRef] [PubMed]
- Matmati, M.; Jacques, P.; Maelfait, J.; Verheugen, E.; Kool, M.; Sze, M.; Geboes, L.; Louagie, E.; Mc Guire, C.; Vereecke, L.; et al. A20 (TNFAIP3) deficiency in myeloid cells triggers erosive polyarthritis resembling rheumatoid arthritis. Nat. Genet. 2011, 43, 908–912. [Google Scholar] [CrossRef] [PubMed]
- Hung, Y.Y.; Lin, C.C.; Kang, H.Y.; Huang, T.L. TNFAIP3, a negative regulator of the TLR signaling pathway, is a potential predictive biomarker of response to antidepressant treatment in major depressive disorder. Brain Behav. Immun. 2017, 59, 265–272. [Google Scholar] [CrossRef] [PubMed]
- Sheedy, F.J.; Palsson-McDermott, E.; Hennessy, E.J.; Martin, C.; O’Leary, J.J.; Ruan, Q.; Johnson, D.S.; Chen, Y.; O’Neill, L.A. Negative regulation of TLR4 via targeting of the proinflammatory tumor suppressor PDCD4 by the microRNA miR-21. Nat. Immunol. 2010, 11, 141–147. [Google Scholar] [CrossRef]
- Lee, H.M.; Kim, T.S.; Jo, E.K. MiR-146 and miR-125 in the regulation of innate immunity and inflammation. BMB Rep. 2016, 49, 311–318. [Google Scholar] [CrossRef]
- Lopez, J.P.; Fiori, L.M.; Cruceanu, C.; Lin, R.; Labonte, B.; Cates, H.M.; Heller, E.A.; Vialou, V.; Ku, S.M.; Gerald, C.; et al. MicroRNAs 146a/b-5 and 425-3p and 24-3p are markers of antidepressant response and regulate MAPK/Wnt-system genes. Nat. Commun. 2017, 8, 15497. [Google Scholar] [CrossRef] [PubMed]
- Kim, H.K.; Tyryshkin, K.; Elmi, N.; Dharsee, M.; Evans, K.R.; Good, J.; Javadi, M.; McCormack, S.; Vaccarino, A.L.; Zhang, X.; et al. Plasma microRNA expression levels and their targeted pathways in patients with major depressive disorder who are responsive to duloxetine treatment. J. Psychiatr. Res. 2019, 110, 38–44. [Google Scholar] [CrossRef] [PubMed]
- Lopez, J.P.; Kos, A.; Turecki, G. Major depression and its treatment: microRNAs as peripheral biomarkers of diagnosis and treatment response. Curr. Opin. Psychiatry 2018, 31, 7–16. [Google Scholar] [CrossRef] [PubMed]
- Pfau, M.L.; Menard, C.; Cathomas, F.; Desland, F.; Kana, V.; Chan, K.L.; Shimo, Y.; LeClair, K.; Flanigan, M.E.; Aleyasin, H.; et al. Role of Monocyte-Derived MicroRNA106b approximately 25 in Resilience to Social Stress. Biol. Psychiatry 2019. [Google Scholar] [CrossRef] [PubMed]
- Dwivedi, Y. MicroRNAs in depression and suicide: Recent insights and future perspectives. J. Affect. Disord. 2018, 240, 146–154. [Google Scholar] [CrossRef]
- Fries, G.R.; Zhang, W.; Benevenuto, D.; Quevedo, J. MicroRNAs in Major Depressive Disorder. Adv. Exp. Med. Biol. 2019, 1118, 175–190. [Google Scholar] [CrossRef]
- Sun, N.; Lei, L.; Wang, Y.; Yang, C.; Liu, Z.; Li, X.; Zhang, K. Preliminary comparison of plasma notch-associated microRNA-34b and -34c levels in drug naive, first episode depressed patients and healthy controls. J. Affect. Disord. 2016, 194, 109–114. [Google Scholar] [CrossRef]
- Song, M.F.; Dong, J.Z.; Wang, Y.W.; He, J.; Ju, X.; Zhang, L.; Zhang, Y.H.; Shi, J.F.; Lv, Y.Y. CSF miR-16 is decreased in major depression patients and its neutralization in rats induces depression-like behaviors via a serotonin transmitter system. J. Affect. Disord. 2015, 178, 25–31. [Google Scholar] [CrossRef]
- Kuang, W.H.; Dong, Z.Q.; Tian, L.T.; Li, J. MicroRNA-451a, microRNA-34a-5p, and microRNA-221-3p as predictors of response to antidepressant treatment. Braz. J. Med. Biol. Res. 2018, 51. [Google Scholar] [CrossRef]
- Zeng, D.; He, S.; Yu, S.; Li, G.; Ma, C.; Wen, Y.; Shen, Y.; Yu, Y.; Li, H. Analysis of the association of MIR124-1 and its target gene RGS4 polymorphisms with major depressive disorder and antidepressant response. Neuropsychiatr. Dis. Treat. 2018, 14, 715–723. [Google Scholar] [CrossRef]
- Fang, Y.; Qiu, Q.; Zhang, S.; Sun, L.; Li, G.; Xiao, S.; Li, X. Changes in miRNA-132 and miR-124 levels in non-treated and citalopram-treated patients with depression. J. Affect. Disord. 2018, 227, 745–751. [Google Scholar] [CrossRef]
- Wang, X.; Wang, B.; Zhao, J.; Liu, C.; Qu, X.; Li, Y. MiR-155 is involved in major depression disorder and antidepressant treatment via targeting SIRT1. Biosci. Rep. 2018, 38. [Google Scholar] [CrossRef]
- O’Neill, L.A.; Sheedy, F.J.; McCoy, C.E. MicroRNAs: The fine-tuners of Toll-like receptor signalling. Nat. Rev. Immunol. 2011, 11, 163–175. [Google Scholar] [CrossRef]
- Androulidaki, A.; Iliopoulos, D.; Arranz, A.; Doxaki, C.; Schworer, S.; Zacharioudaki, V.; Margioris, A.N.; Tsichlis, P.N.; Tsatsanis, C. The kinase Akt1 controls macrophage response to lipopolysaccharide by regulating microRNAs. Immunity 2009, 31, 220–231. [Google Scholar] [CrossRef]
- He, X.; Jing, Z.; Cheng, G. MicroRNAs: New regulators of Toll-like receptor signalling pathways. Biomed. Res. Int. 2014, 2014, 945169. [Google Scholar] [CrossRef]
- Quinn, S.R.; O’Neill, L.A. A trio of microRNAs that control Toll-like receptor signalling. Int. Immunol. 2011, 23, 421–425. [Google Scholar] [CrossRef]
- Yang, L.; Seki, E. Toll-like receptors in liver fibrosis: Cellular crosstalk and mechanisms. Front. Physiol. 2012, 3, 138. [Google Scholar] [CrossRef]
- Starczynowski, D.T.; Kuchenbauer, F.; Argiropoulos, B.; Sung, S.; Morin, R.; Muranyi, A.; Hirst, M.; Hogge, D.; Marra, M.; Wells, R.A.; et al. Identification of miR-145 and miR-146a as mediators of the 5q- syndrome phenotype. Nat. Med. 2010, 16, 49–58. [Google Scholar] [CrossRef]
- Hung, Y.Y.; Huang, K.W.; Kang, H.Y.; Huang, G.Y.; Huang, T.L. Antidepressants normalize elevated Toll-like receptor profile in major depressive disorder. Psychopharmacology 2016, 233, 1707–1714. [Google Scholar] [CrossRef]
- Hamilton, M. A rating scale for depression. J. Neurol. Neurosurg. Psychiatry 1960, 23, 56–62. [Google Scholar] [CrossRef]
- Leucht, S.; Fennema, H.; Engel, R.; Kaspers-Janssen, M.; Lepping, P.; Szegedi, A. What does the HAMD mean? J. Affect. Disord. 2013, 148, 243–248. [Google Scholar] [CrossRef]
- Smalheiser, N.R.; Lugli, G.; Rizavi, H.S.; Torvik, V.I.; Turecki, G.; Dwivedi, Y. MicroRNA expression is down-regulated and reorganized in prefrontal cortex of depressed suicide subjects. PLoS ONE 2012, 7, e33201. [Google Scholar] [CrossRef]
- Magilnick, N.; Reyes, E.Y.; Wang, W.L.; Vonderfecht, S.L.; Gohda, J.; Inoue, J.I.; Boldin, M.P. miR-146a-Traf6 regulatory axis controls autoimmunity and myelopoiesis, but is dispensable for hematopoietic stem cell homeostasis and tumor suppression. Proc. Natl. Acad. Sci. USA 2017, 114, E7140–E7149. [Google Scholar] [CrossRef]
- He, Y.; Sun, X.; Huang, C.; Long, X.R.; Lin, X.; Zhang, L.; Lv, X.W.; Li, J. MiR-146a regulates IL-6 production in lipopolysaccharide-induced RAW264.7 macrophage cells by inhibiting Notch1. Inflammation 2014, 37, 71–82. [Google Scholar] [CrossRef]
- Myint, A.M.; Kim, Y.K. Network beyond IDO in psychiatric disorders: Revisiting neurodegeneration hypothesis. Prog. Neuro-Psychopharmacol. Biol. Psychiatry 2014, 48, 304–313. [Google Scholar] [CrossRef]
- Wei, Y.B.; Liu, J.J.; Villaescusa, J.C.; Aberg, E.; Brene, S.; Wegener, G.; Mathe, A.A.; Lavebratt, C. Elevation of Il6 is associated with disturbed let-7 biogenesis in a genetic model of depression. Transl. Psychiatry 2016, 6, e869. [Google Scholar] [CrossRef]
- Smalheiser, N.R.; Lugli, G.; Rizavi, H.S.; Zhang, H.; Torvik, V.I.; Pandey, G.N.; Davis, J.M.; Dwivedi, Y. MicroRNA expression in rat brain exposed to repeated inescapable shock: Differential alterations in learned helplessness vs. non-learned helplessness. Int. J. Neuropsychopharmacol. 2011, 14, 1315–1325. [Google Scholar] [CrossRef]
- Bocchio-Chiavetto, L.; Maffioletti, E.; Bettinsoli, P.; Giovannini, C.; Bignotti, S.; Tardito, D.; Corrada, D.; Milanesi, L.; Gennarelli, M. Blood microRNA changes in depressed patients during antidepressant treatment. Eur. Neuropsychopharmacol. 2013, 23, 602–611. [Google Scholar] [CrossRef]
- Dwivedi, Y. Pathogenetic and therapeutic applications of microRNAs in major depressive disorder. Prog. Neuro-Psychopharmacol. Biol. Psychiatry 2016, 64, 341–348. [Google Scholar] [CrossRef]
- Fonken, L.K.; Gaudet, A.D.; Gaier, K.R.; Nelson, R.J.; Popovich, P.G. MicroRNA-155 deletion reduces anxiety- and depressive-like behaviors in mice. Psychoneuroendocrinology 2016, 63, 362–369. [Google Scholar] [CrossRef]
- Su, W.; Aloi, M.S.; Garden, G.A. MicroRNAs mediating CNS inflammation: Small regulators with powerful potential. Brain Behav. Immun. 2016, 52, 1–8. [Google Scholar] [CrossRef] [PubMed]
- Doxaki, C.; Kampranis, S.C.; Eliopoulos, A.G.; Spilianakis, C.; Tsatsanis, C. Coordinated Regulation of miR-155 and miR-146a Genes during Induction of Endotoxin Tolerance in Macrophages. J. Immunol. 2015, 195, 5750–5761. [Google Scholar] [CrossRef] [PubMed]
- Turchinovich, A.; Samatov, T.R.; Tonevitsky, A.G.; Burwinkel, B. Circulating miRNAs: Cell-cell communication function? Front. Genet. 2013, 4, 119. [Google Scholar] [CrossRef] [PubMed]
- Cassano, P.; Bui, E.; Rogers, A.H.; Walton, Z.E.; Ross, R.; Zeng, M.; Nadal-Vicens, M.; Mischoulon, D.; Baker, A.W.; Keshaviah, A.; et al. Inflammatory cytokines in major depressive disorder: A case-control study. Aust. New Zealand J. Psychiatry 2017, 51, 23–31. [Google Scholar] [CrossRef] [PubMed]
- Zou, W.; Feng, R.; Yang, Y. Changes in the serum levels of inflammatory cytokines in antidepressant drug-naive patients with major depression. PLoS ONE 2018, 13, e0197267. [Google Scholar] [CrossRef] [PubMed]
- Cubala, W.J.; Landowski, J.; Dziadziuszko, M.; Chrzanowska, A.; Wielgomas, B. Magnesium, C-reactive protein, and cortisol in drug-naive patients with short illness-duration, first episode major depressive disorder: Possible immunomodulatory role for magnesium. Magnes. Res. 2016, 29, 169–174. [Google Scholar] [CrossRef]
| (1) MDD before Treatment (n = 84) | (2) MDD after Treatment (n = 69) | (3) Healthy Controls (n = 43) | p-Value | (4) MDD Remission (n = 31) | (5) MDD Non-Remission (n = 38) | p-Value | ||
|---|---|---|---|---|---|---|---|---|
| (1) vs. (3) | (2) vs. (3) | (4) vs. (5) | ||||||
| Age (years) | 45.20 ± 11.00 | 45.56 ± 10.46 | 41.88 ± 9.03 | p = 0.086 | p = 0.059 | 45.39 ± 9.85 | 45.71 ± 11.06 | p = 0.899 |
| Sex (M/F) | 20/64 | 16/63 | 6/37 | p = 0.251 | p = 0.793 | 8/23 | 4/34 | p = 0.098 |
| BMI (kg/m2) | 24.61 ± 4.26 | 24.82 ± 4.19 | 23.91 ± 3.25 | p = 0.259 | p = 0.195 | 24.55 ± 4.17 | 25.05 ± 4.23 | p = 0.624 |
| Smoking (yes/no) | 30/54 | 22/47 | 5/38 | p = 0.005 * | p = 0.015 * | 13/18 | 9/29 | p = 0.087 |
| HAMD-17 | 24.16 ± 5.48 | 8.91 ± 5.08 | - | - | - | 22.90 ± 5.17 | 25.45 ± 5.69 | p = 0.056 |
| (1) MDD before Treatment (n = 84) | (2) MDD after Treatment (n = 69) | (3) Healthy Controls (n = 43) | (1) vs. (3) | (1) vs. (2) | |
|---|---|---|---|---|---|
| F- and p- Values | p-Value | ||||
| let-7e | −4.09 ± 1.76 | −3.62 ± 1.40 | −3.41 ± 1.16 | F = 4.605 p = 0.034 * | p = 0.002 * |
| miR-21-5p | −6.00 ± 2.11 | −5.54 ± 2.12 | −5.28 ± 1.18 | F = 4.097 p = 0.045 * | p = 0.062 |
| miR-223 | 2.95 ± 1.56 | 3.36 ± 1.49 | 3.41 ± 0.77 | F = 2.906 p = 0.091 | p = 0.002 * |
| miR-145 | −5.75 ± 1.43 | −5.61 ± 1.50 | −5.17 ± 1.25 | F = 3.748 p = 0.055 | p = 0.111 |
| miR-146a | −1.88 ± 2.06 | −1.63 ± 2.06 | −0.60 ± 0.85 | F = 15.374 p = 0.000 * | p = 0.038 * |
| miR-155 | −3.23 ± 1.78 | −2.90 ± 1.43 | −2.25 ± 0.77 | F = 11.386 p = 0.001 * | p = 0.004 * |
| IL-6 | −9.50 ± 1.80 | −9.73 ± 1.70 | −10.13 ± 1.48 | F = 5.113 p = 0.026 * | p = 0.025 * |

| (1) MDD before Treatment (n = 47) | (2) MDD after Treatment (n = 33) | (3) Healthy Controls (n = 33) | (1) vs. (3) | (1) vs. (2) | |
| F- and p− Values | p−Value | ||||
| let−7e | −2.52 ± 0.79 | −1.70 ± 0.82 | −2.10 ± 0.92 | F = 3.088 p = 0.083 | p = 0.001 * |
| miR−21−5p | −3.78 ± 1.38 | −5.16 ± 1.22 | −3.53 ± 0.75 | F = 0.394 p = 0.532 | p = 0.022 * |
| miR−223 | 5.15 ± 0.77 | 5.44 ± 0.78 | 5.14 ± 0.80 | F = 0.128 p = 0.722 | p = 0.054 |
| miR−145 | −6.17 ± 1.42 | −5.44 ± 0.97 | −5.58 ± 0.93 | F = 2.932 p = 0.091 | p = 0.006 * |
| miR−146a | −2.71 ± 1.55 | −2.27 ± 0.95 | −1.48 ± 1.23 | F = 12.320 p = 0.001 * | p = 0.034 * |
| miR−155 | −2.57 ± 1.17 | −2.11 ± 0.685 | −1.72 ± 0.95 | F = 10.208 p = 0.002 * | p = 0.025 * |

| Before Antidepressant Treatment | After Antidepressant Treatment | p−Value | ||||||
|---|---|---|---|---|---|---|---|---|
| (1) Remission | (2) Non−Remission | (3) Remission | (4) Non−Remission | (1) vs. (2) | (1) vs. (3) | (2) vs. (4) | ||
| let−7e | −4.38 ± 1.80 | −4.16 ± 1.80 | −3.56 ± 1.21 | −3.70 ± 1.54 | F = 0.332 p = 0.567 | p = 0.002 * | p = 0.115 | |
| miR−21−5p | −6.16 ± 2.02 | −6.03 ± 2.20 | −5.44 ± 2.42 | −5.62 ± 1.87 | F = 0.040 p = 0.842 | p = 0.135 | p = 0.296 | |
| miR−223 | 3.00 ± 1.69 | 2.77 ± 1.72 | 3.64 ± 1.64 | 3.10 ± 1.34 | F = 0.197 p = 0.659 | p = 0.001 * | p = 0.177 | |
| miR−145 | −6.05 ± 1.40 | −5.82 ± 1.46 | −5.44 ± 1.42 | −5.75 ± 1.58 | F = 0.252 p = 0.618 | p = 0.020 * | p = 0.820 | |
| miR−146a | −1.90 ± 2.27 | −2.05 ± 2.16 | −0.92 ± 1.00 | −1.73 ± 2.19 | F = 0.036 p = 0.849 | p = 0.107 | p = 0.202 | |
| miR−155 | −3.32 ± 1.58 | −3.38 ± 2.11 | −2.85 ± 1.31 | −2.98 ± 1.55 | F = 0.000 p = 0.992 | p = 0.001 * | p = 0.115 | |

| Independent Factors | HAMD-17 Score | ||
|---|---|---|---|
| Standardized Coefficients | t | p−Value | |
| let−7e | −0.793 | −2.946 | p = 0.006 * |
| miR−21−5p | 0.004 | 0.012 | p = 0.990 |
| miR−223 | 0.316 | 0.793 | p = 0.434 |
| miR−145 | −0.027 | −0.114 | p = 0.910 |
| miR−146a | −1.111 | −3.500 | p = 0.002 * |
| miR−155 | 1.001 | 2.886 | p = 0.007 * |
© 2019 by the authors. Licensee MDPI, Basel, Switzerland. This article is an open access article distributed under the terms and conditions of the Creative Commons Attribution (CC BY) license (http://creativecommons.org/licenses/by/4.0/).
Share and Cite
Hung, Y.-Y.; Wu, M.-K.; Tsai, M.-C.; Huang, Y.-L.; Kang, H.-Y. Aberrant Expression of Intracellular let-7e, miR-146a, and miR-155 Correlates with Severity of Depression in Patients with Major Depressive Disorder and Is Ameliorated after Antidepressant Treatment. Cells 2019, 8, 647. https://doi.org/10.3390/cells8070647
Hung Y-Y, Wu M-K, Tsai M-C, Huang Y-L, Kang H-Y. Aberrant Expression of Intracellular let-7e, miR-146a, and miR-155 Correlates with Severity of Depression in Patients with Major Depressive Disorder and Is Ameliorated after Antidepressant Treatment. Cells. 2019; 8(7):647. https://doi.org/10.3390/cells8070647
Chicago/Turabian StyleHung, Yi-Yung, Ming-Kung Wu, Meng-Chang Tsai, Ya-Ling Huang, and Hong-Yo Kang. 2019. "Aberrant Expression of Intracellular let-7e, miR-146a, and miR-155 Correlates with Severity of Depression in Patients with Major Depressive Disorder and Is Ameliorated after Antidepressant Treatment" Cells 8, no. 7: 647. https://doi.org/10.3390/cells8070647
APA StyleHung, Y.-Y., Wu, M.-K., Tsai, M.-C., Huang, Y.-L., & Kang, H.-Y. (2019). Aberrant Expression of Intracellular let-7e, miR-146a, and miR-155 Correlates with Severity of Depression in Patients with Major Depressive Disorder and Is Ameliorated after Antidepressant Treatment. Cells, 8(7), 647. https://doi.org/10.3390/cells8070647

