Granulocyte-Macrophage Colony-Stimulating Factor Inhibition Ameliorates Innate Immune Cell Activation, Inflammation, and Salt-Sensitive Hypertension
Abstract
1. Introduction
2. Materials and Methods
2.1. Animal Models
2.1.1. Preventive Anti-Granulocyte-Macrophage Colony-Stimulating Factor Treatment
2.1.2. Therapeutic Anti-Granulocyte-Macrophage Colony-Stimulating Factor Treatment
2.2. Systolic Blood Pressure Measurements
2.3. Serum and Urine Collection and Measures
2.4. In Vitro Cell Culture
Anti-Granulocyte-Macrophage Colony-Stimulating Factor Treatment
2.5. Adoptive Transfer
2.6. Flow Cytometry
2.7. Cell Sorting
2.8. Quantitative Real-Time Reverse Transcription Polymerase Chain Reaction
2.9. Immunofluorescence Staining
2.10. Statistical Analysis
3. Results
3.1. Preventive Granulocyte-Macrophage Colony-Stimulating Factor Inhibition Attenuated Systolic Blood Pressure, Inflammation, and Immune Cell Activation in Mice with Salt-Sensitive Hypertension
3.2. Anti-Granulocyte-Macrophage Colony-Stimulating Factor Treatment Decreased Systolic Blood Pressure, Decreased Inflammation, and Differentially Affected Renal Immune Cell Populations in Mice with SSHTN
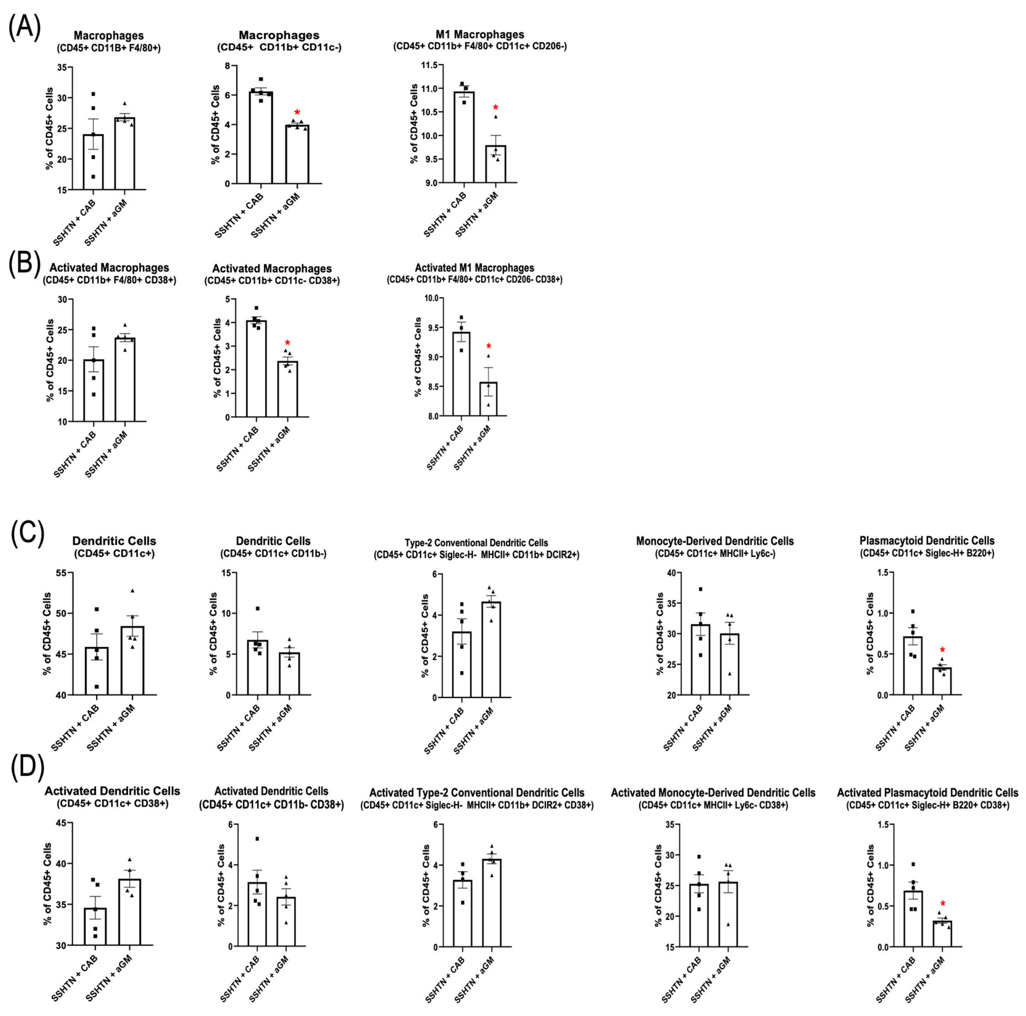
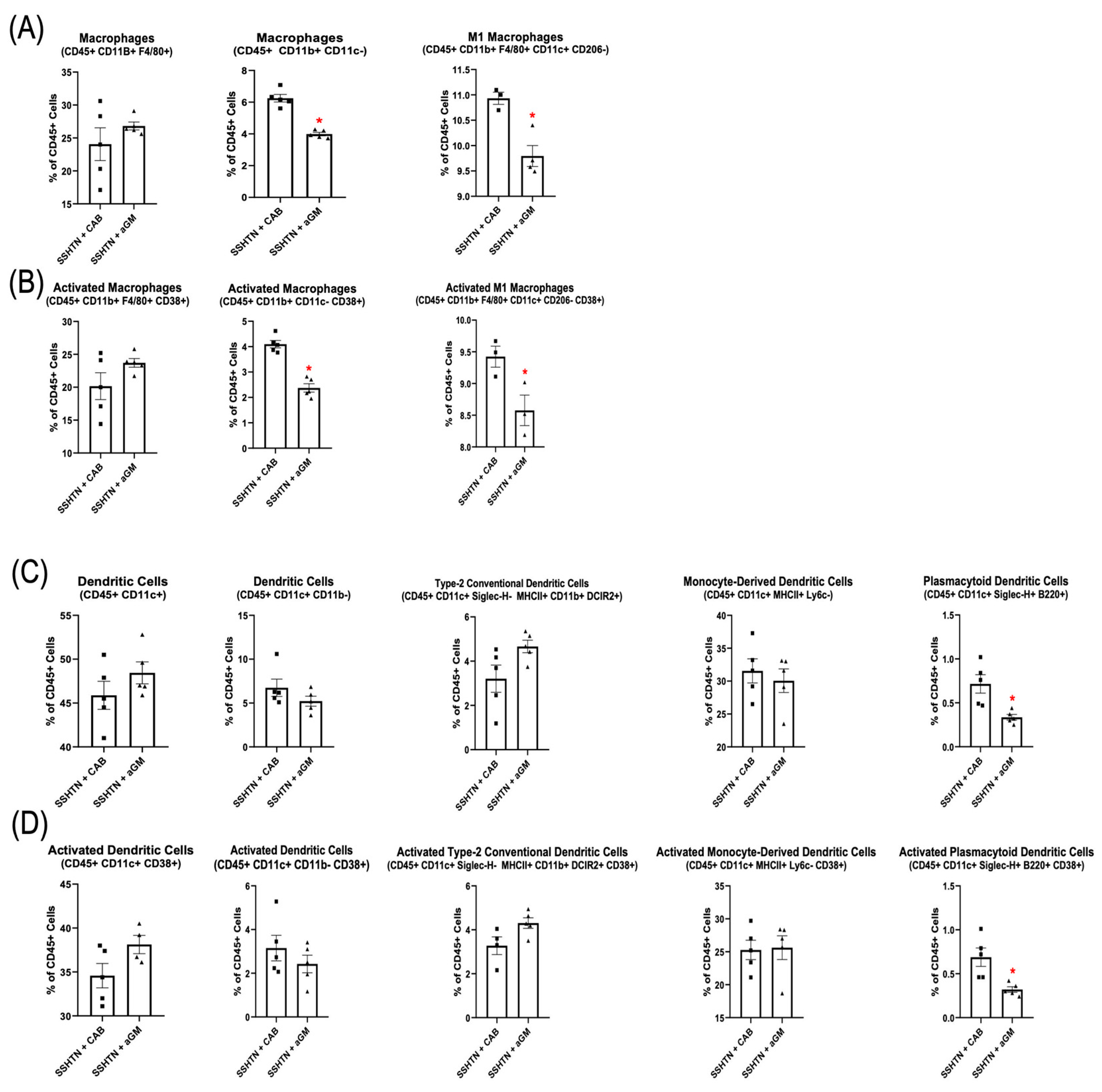
3.3. Inhibiting Granulocyte-Macrophage Colony-Stimulating Factor Reduced Recruitment and Differentiation of Immune Cells in the Kidneys of Mice with Salt-Sensitive Hypertension
3.4. Inhibition of Granulocyte-Macrophage Colony-Stimulating Factor Decreased Macrophage and Dendritic Cell Polarization and Pro-Inflammatory Gene Expression
4. Discussion
Supplementary Materials
Author Contributions
Funding
Institutional Review Board Statement
Informed Consent Statement
Data Availability Statement
Acknowledgments
Conflicts of Interest
Abbreviations
| A2 | Angiotensin II |
| aGM | Anti-granulocyte-macrophage colony-stimulating factor |
| BMD | Bone marrow derived |
| BMD-cDC2 | Bone marrow derived type-2 conventional dendritic cells |
| BMD-DC | Bone marrow derived dendritic cells |
| BMDMs | Bone marrow derived monocytes |
| BMD-Macs | Bone marrow derived macrophages |
| BMD-M1 Macs | Bone marrow derived M1 macrophages |
| BP | Blood pressure |
| CAB | Control antibody |
| cDC1 | Type-1 conventional dendritic cells |
| cDC2s | Type-2 conventional dendritic cells |
| CD38 | Cluster of differentiation 38 |
| DCs | Dendritic cells |
| FENa | Fractional excretion of sodium |
| GM-CSF | Granulocyte-macrophage colony-stimulating factor |
| IL | Interleukin |
| Mac | Macrophage |
| moDCs | Monocyte derived dendritic cells |
| NAD+ | Nicotinamide adenine dinucleotide |
| pDCs | Plasmacytoid DCs |
| SBP | Systolic blood pressure |
| SSHTN | Salt-sensitive hypertension |
| TNFα | Tumor necrosis factor alpha |
References
- Mattson, D.L. Immune mechanisms of salt-sensitive hypertension and renal end-organ damage. Nat. Rev. Nephrol. 2019, 15, 290–300. [Google Scholar] [CrossRef] [PubMed]
- GBD 2017 Diet Collaborators. Health effects of dietary risks in 195 countries, 1990-2017: A systematic analysis for the Global Burden of Disease Study 2017. Lancet 2019, 393, 1958–1972. [Google Scholar] [CrossRef] [PubMed]
- Elijovich, F.; Weinberger, M.H.; Anderson, C.A.; Appel, L.J.; Bursztyn, M.; Cook, N.R.; Dart, R.A.; Newton-Cheh, C.H.; Sacks, F.M.; Laffer, C.L.; et al. Salt Sensitivity of Blood Pressure: A Scientific Statement From the American Heart Association. Hypertension 2016, 68, e7–e46. [Google Scholar] [CrossRef] [PubMed]
- Majid, D.S.; Prieto, M.C.; Navar, L.G. Salt-Sensitive Hypertension: Perspectives on Intrarenal Mechanisms. Curr. Hypertens. Rev. 2015, 11, 38–48. [Google Scholar] [CrossRef] [PubMed]
- Martin, S.S.; Aday, A.W.; Almarzooq, Z.I.; Anderson, C.A.M.; Arora, P.; Avery, C.L.; Baker-Smith, C.M.; Barone Gibbs, B.; Beaton, A.Z.; Boehme, A.K.; et al. 2024 Heart Disease and Stroke Statistics: A Report of US and Global Data From the American Heart Association. Circulation 2024, 149, e347–e913. [Google Scholar] [CrossRef] [PubMed]
- Weinberger, M.H.; Miller, J.Z.; Luft, F.C.; Grim, C.E.; Fineberg, N.S. Definitions and characteristics of sodium sensitivity and blood pressure resistance. Hypertension 1986, 8, II127–II134. [Google Scholar] [CrossRef] [PubMed]
- Bailey, M.A.; Dhaun, N. Salt Sensitivity: Causes, Consequences, and Recent Advances. Hypertension 2024, 81, 476–489. [Google Scholar] [CrossRef] [PubMed]
- Borrelli, S.; Provenzano, M.; Gagliardi, I.; Michael, A.; Liberti, M.E.; De Nicola, L.; Conte, G.; Garofalo, C.; Andreucci, M. Sodium Intake and Chronic Kidney Disease. Int. J. Mol. Sci. 2020, 21, 4744. [Google Scholar] [CrossRef] [PubMed]
- Afolabi, J.; Laffer, C.L.; Beasley, H.K.; Hinton, A.; Masenga, S.K.; Kirabo, A. Salt Sensitivity of Blood Pressure. Circ. Res. 2024, 134, 1234–1239. [Google Scholar] [CrossRef] [PubMed]
- Campese, V.M. Salt sensitivity in hypertension. Renal and cardiovascular implications. Hypertension 1994, 23, 531–550. [Google Scholar] [CrossRef] [PubMed]
- CDC. High Blood Pressure Facts. 2025. Available online: https://www.cdc.gov/high-blood-pressure/data-research/facts-stats/index.html (accessed on 25 February 2025).
- Harrison, D.G.; Patrick, D.M. Immune Mechanisms in Hypertension. Hypertension 2024, 81, 1659–1674. [Google Scholar] [CrossRef] [PubMed]
- Lee, K.M.C.; Achuthan, A.A.; Hamilton, J.A. GM-CSF: A Promising Target in Inflammation and Autoimmunity. Immunotargets Ther. 2020, 9, 225–240. [Google Scholar] [CrossRef] [PubMed]
- Corbera-Bellalta, M.; Alba-Rovira, R.; Muralidharan, S.; Espigol-Frigole, G.; Rios-Garces, R.; Marco-Hernandez, J.; Denuc, A.; Kamberovic, F.; Perez-Galan, P.; Joseph, A.; et al. Blocking GM-CSF receptor alpha with mavrilimumab reduces infiltrating cells, pro-inflammatory markers and neoangiogenesis in ex vivo cultured arteries from patients with giant cell arteritis. Ann. Rheum. Dis. 2022, 81, 524–536. [Google Scholar] [CrossRef] [PubMed]
- Avci, A.B.; Feist, E.; Burmester, G.R. Targeting GM-CSF in rheumatoid arthritis. Clin. Exp. Rheumatol. 2016, 34, 39–44. [Google Scholar] [PubMed]
- Ataya, A.; Mitchel, S.; Carey, B.; Sippel, J.; McCarthy, C.; Trapnell, B.C. Pulmonary hypertension during high-dose GM-CSF therapy of autoimmune pulmonary alveolar proteinosis. Pulm. Circ. 2024, 14, e70020. [Google Scholar] [CrossRef] [PubMed]
- Parissis, J.T.; Adamopoulos, S.; Venetsanou, K.; Kostakis, G.; Rigas, A.; Karas, S.M.; Kremastinos, D. Plasma profiles of circulating granulocyte-macrophage colony-stimulating factor and soluble cellular adhesion molecules in acute myocardial infarction. Contribution to post-infarction left ventricular dysfunction. Eur. Cytokine Netw. 2004, 15, 139–144. [Google Scholar] [PubMed]
- Parissis, J.T.; Venetsanou, K.F.; Kalantzi, M.V.; Mentzikof, D.D.; Karas, S.M. Serum profiles of granulocyte-macrophage colony-stimulating factor and C-C chemokines in hypertensive patients with or without significant hyperlipidemia. Am. J. Cardiol. 2000, 85, 777–779. [Google Scholar] [CrossRef] [PubMed]
- Lotfi, N.; Thome, R.; Rezaei, N.; Zhang, G.X.; Rezaei, A.; Rostami, A.; Esmaeil, N. Roles of GM-CSF in the Pathogenesis of Autoimmune Diseases: An Update. Front. Immunol. 2019, 10, 1265. [Google Scholar] [CrossRef] [PubMed]
- Crowley, S.D.; Song, Y.S.; Lin, E.E.; Griffiths, R.; Kim, H.S.; Ruiz, P. Lymphocyte responses exacerbate angiotensin II-dependent hypertension. Am. J. Physiol. Regul. Integr. Comp. Physiol. 2010, 298, R1089–R1097. [Google Scholar] [CrossRef] [PubMed]
- Ozawa, Y.; Kobori, H.; Suzaki, Y.; Navar, L.G. Sustained renal interstitial macrophage infiltration following chronic angiotensin II infusions. Am. J. Physiol. Renal Physiol. 2007, 292, F330–F339. [Google Scholar] [CrossRef] [PubMed]
- Rodriguez-Iturbe, B.; Quiroz, Y.; Herrera-Acosta, J.; Johnson, R.J.; Pons, H.A. The role of immune cells infiltrating the kidney in the pathogenesis of salt-sensitive hypertension. J. Hypertens. Suppl. 2002, 20, S9–S14. [Google Scholar] [PubMed]
- De Miguel, C.; Das, S.; Lund, H.; Mattson, D.L. T lymphocytes mediate hypertension and kidney damage in Dahl salt-sensitive rats. Am. J. Physiol. Regul. Integr. Comp. Physiol. 2010, 298, R1136–R1142. [Google Scholar] [CrossRef] [PubMed]
- De Miguel, C.; Lund, H.; Mattson, D.L. High dietary protein exacerbates hypertension and renal damage in Dahl SS rats by increasing infiltrating immune cells in the kidney. Hypertension 2011, 57, 269–274. [Google Scholar] [CrossRef] [PubMed]
- Franco, M.; Tapia, E.; Bautista, R.; Pacheco, U.; Santamaria, J.; Quiroz, Y.; Johnson, R.J.; Rodriguez-Iturbe, B. Impaired pressure natriuresis resulting in salt-sensitive hypertension is caused by tubulointerstitial immune cell infiltration in the kidney. Am. J. Physiol. Renal Physiol. 2013, 304, F982–F990. [Google Scholar] [CrossRef] [PubMed]
- Rodriguez-Iturbe, B. Renal infiltration of immunocompetent cells: Cause and effect of sodium-sensitive hypertension. Clin. Exp. Nephrol. 2010, 14, 105–111. [Google Scholar] [CrossRef] [PubMed]
- Rodriguez-Iturbe, B.; Franco, M.; Tapia, E.; Quiroz, Y.; Johnson, R.J. Renal inflammation, autoimmunity and salt-sensitive hypertension. Clin. Exp. Pharmacol. Physiol. 2012, 39, 96–103. [Google Scholar] [CrossRef] [PubMed]
- Takebayashi, S. Ultrastructural studies on glomerular lesions in experimental hypertension. Acta Pathol. Jpn. 1969, 19, 179–200. [Google Scholar] [CrossRef] [PubMed]
- Smith, H.L.; Goodlett, B.L.; Navaneethabalakrishnan, S.; Mitchell, B.M. Elevated Salt or Angiotensin II Levels Induce CD38+ Innate Immune Cells in the Presence of Granulocyte-Macrophage Colony Stimulating Factor. Cells 2024, 13, 1302. [Google Scholar] [CrossRef] [PubMed]
- Lischke, T.; Heesch, K.; Schumacher, V.; Schneider, M.; Haag, F.; Koch-Nolte, F.; Mittrucker, H.W. CD38 controls the innate immune response against Listeria monocytogenes. Infect. Immun. 2013, 81, 4091–4099. [Google Scholar] [CrossRef] [PubMed]
- Fedele, G.; Frasca, L.; Palazzo, R.; Ferrero, E.; Malavasi, F.; Ausiello, C.M. CD38 is expressed on human mature monocyte-derived dendritic cells and is functionally involved in CD83 expression and IL-12 induction. Eur. J. Immunol. 2004, 34, 1342–1350. [Google Scholar] [CrossRef] [PubMed]
- Glaria, E.; Valledor, A.F. Roles of CD38 in the Immune Response to Infection. Cells 2020, 9, 228. [Google Scholar] [CrossRef] [PubMed]
- Kar, A.; Mehrotra, S.; Chatterjee, S. CD38: T Cell Immuno-Metabolic Modulator. Cells 2020, 9, 1716. [Google Scholar] [CrossRef] [PubMed]
- Ruggeri Barbaro, N.; Van Beusecum, J.; Xiao, L.; do Carmo, L.; Pitzer, A.; Loperena, R.; Foss, J.D.; Elijovich, F.; Laffer, C.L.; Montaniel, K.R.; et al. Sodium activates human monocytes via the NADPH oxidase and isolevuglandin formation. Cardiovasc. Res. 2021, 117, 1358–1371. [Google Scholar] [CrossRef] [PubMed]
- Fehrenbach, D.J.; Mattson, D.L. Inflammatory macrophages in the kidney contribute to salt-sensitive hypertension. Am. J. Physiol. Renal Physiol. 2020, 318, F544–F548. [Google Scholar] [CrossRef] [PubMed]
- Zhang, W.C.; Zheng, X.J.; Du, L.J.; Sun, J.Y.; Shen, Z.X.; Shi, C.; Sun, S.; Zhang, Z.; Chen, X.Q.; Qin, M.; et al. High salt primes a specific activation state of macrophages, M(Na). Cell Res. 2015, 25, 893–910. [Google Scholar] [CrossRef] [PubMed]
- Barbaro, N.R.; Foss, J.D.; Kryshtal, D.O.; Tsyba, N.; Kumaresan, S.; Xiao, L.; Mernaugh, R.L.; Itani, H.A.; Loperena, R.; Chen, W.; et al. Dendritic Cell Amiloride-Sensitive Channels Mediate Sodium-Induced Inflammation and Hypertension. Cell Rep. 2017, 21, 1009–1020. [Google Scholar] [CrossRef] [PubMed]
- Kirabo, A.; Fontana, V.; de Faria, A.P.; Loperena, R.; Galindo, C.L.; Wu, J.; Bikineyeva, A.T.; Dikalov, S.; Xiao, L.; Chen, W.; et al. DC isoketal-modified proteins activate T cells and promote hypertension. J. Clin. Investig. 2014, 124, 4642–4656. [Google Scholar] [CrossRef] [PubMed]
- Pitzer, A.; Elijovich, F.; Laffer, C.L.; Ertuglu, L.A.; Sahinoz, M.; Saleem, M.; Krishnan, J.; Dola, T.; Aden, L.A.; Sheng, Q.; et al. DC ENaC-Dependent Inflammasome Activation Contributes to Salt-Sensitive Hypertension. Circ. Res. 2022, 131, 328–344. [Google Scholar] [CrossRef] [PubMed]
- Saito, Y.; Komori, S.; Kotani, T.; Murata, Y.; Matozaki, T. The Role of Type-2 Conventional Dendritic Cells in the Regulation of Tumor Immunity. Cancers 2022, 14, 1976. [Google Scholar] [CrossRef] [PubMed]
- Itani, H.A.; Xiao, L.; Saleh, M.A.; Wu, J.; Pilkinton, M.A.; Dale, B.L.; Barbaro, N.R.; Foss, J.D.; Kirabo, A.; Montaniel, K.R.; et al. CD70 Exacerbates Blood Pressure Elevation and Renal Damage in Response to Repeated Hypertensive Stimuli. Circ. Res. 2016, 118, 1233–1243. [Google Scholar] [CrossRef] [PubMed]
- Lopez Gelston, C.A.; Balasubbramanian, D.; Abouelkheir, G.R.; Lopez, A.H.; Hudson, K.R.; Johnson, E.R.; Muthuchamy, M.; Mitchell, B.M.; Rutkowski, J.M. Enhancing Renal Lymphatic Expansion Prevents Hypertension in Mice. Circ. Res. 2018, 122, 1094–1101. [Google Scholar] [CrossRef] [PubMed]
- Ramirez, C.F.A.; Taranto, D.; Ando-Kuri, M.; de Groot, M.H.P.; Tsouri, E.; Huang, Z.; de Groot, D.; Kluin, R.J.C.; Kloosterman, D.J.; Verheij, J.; et al. Cancer cell genetics shaping of the tumor microenvironment reveals myeloid cell-centric exploitable vulnerabilities in hepatocellular carcinoma. Nat. Commun. 2024, 15, 2581. [Google Scholar] [CrossRef] [PubMed]
- Toda, G.; Yamauchi, T.; Kadowaki, T.; Ueki, K. Preparation and culture of bone marrow-derived macrophages from mice for functional analysis. STAR Protoc. 2021, 2, 100246. [Google Scholar] [CrossRef] [PubMed]
- Sauter, M.; Sauter, R.J.; Nording, H.; Olbrich, M.; Emschermann, F.; Langer, H.F. Protocol to isolate and analyze mouse bone marrow derived dendritic cells (BMDC). STAR Protoc. 2022, 3, 101664. [Google Scholar] [CrossRef] [PubMed]
- Navaneethabalakrishnan, S.; Goodlett, B.L.; Smith, H.L.; Cardenas, A.; Burns, A.; Mitchell, B.M. Differential changes in end organ immune cells and inflammation in salt-sensitive hypertension: Effects of lowering blood pressure. Clin. Sci. 2024, 138, 901–920. [Google Scholar] [CrossRef] [PubMed]
- Lu, X.; Rudemiller, N.P.; Privratsky, J.R.; Ren, J.; Wen, Y.; Griffiths, R.; Crowley, S.D. Classical Dendritic Cells Mediate Hypertension by Promoting Renal Oxidative Stress and Fluid Retention. Hypertension 2020, 75, 131–138. [Google Scholar] [CrossRef] [PubMed]
- Loperena, R.; Van Beusecum, J.P.; Itani, H.A.; Engel, N.; Laroumanie, F.; Xiao, L.; Elijovich, F.; Laffer, C.L.; Gnecco, J.S.; Noonan, J.; et al. Hypertension and increased endothelial mechanical stretch promote monocyte differentiation and activation: Roles of STAT3, interleukin 6 and hydrogen peroxide. Cardiovasc. Res. 2018, 114, 1547–1563. [Google Scholar] [CrossRef] [PubMed]
- Srinivas, B.; Alluri, K.; Rhaleb, N.E.; Belmadani, S.; Matrougui, K. Role of plasmacytoid dendritic cells in vascular dysfunction in mice with renovascular hypertension. Heliyon 2024, 10, e31799. [Google Scholar] [CrossRef] [PubMed]
- Navaneethabalakrishnan, S.; Goodlett, B.L.; Smith, H.L.; Montalvo, R.A., 2nd; Cardenas, A.; Mitchell, B.M. Differential changes in end organ immune cells and inflammation in salt-sensitive hypertension: Effects of increasing M2 macrophages. Clin. Sci. 2024, 138, 921–940. [Google Scholar] [CrossRef] [PubMed]







Disclaimer/Publisher’s Note: The statements, opinions and data contained in all publications are solely those of the individual author(s) and contributor(s) and not of MDPI and/or the editor(s). MDPI and/or the editor(s) disclaim responsibility for any injury to people or property resulting from any ideas, methods, instructions or products referred to in the content. |
© 2025 by the authors. Licensee MDPI, Basel, Switzerland. This article is an open access article distributed under the terms and conditions of the Creative Commons Attribution (CC BY) license (https://creativecommons.org/licenses/by/4.0/).
Share and Cite
Smith, H.L.; Goodlett, B.L.; Peterson, G.C.; Zamora, E.N.; Gostomski, A.R.; Mitchell, B.M. Granulocyte-Macrophage Colony-Stimulating Factor Inhibition Ameliorates Innate Immune Cell Activation, Inflammation, and Salt-Sensitive Hypertension. Cells 2025, 14, 1144. https://doi.org/10.3390/cells14151144
Smith HL, Goodlett BL, Peterson GC, Zamora EN, Gostomski AR, Mitchell BM. Granulocyte-Macrophage Colony-Stimulating Factor Inhibition Ameliorates Innate Immune Cell Activation, Inflammation, and Salt-Sensitive Hypertension. Cells. 2025; 14(15):1144. https://doi.org/10.3390/cells14151144
Chicago/Turabian StyleSmith, Hannah L., Bethany L. Goodlett, Gabriella C. Peterson, Emily N. Zamora, Ava R. Gostomski, and Brett M. Mitchell. 2025. "Granulocyte-Macrophage Colony-Stimulating Factor Inhibition Ameliorates Innate Immune Cell Activation, Inflammation, and Salt-Sensitive Hypertension" Cells 14, no. 15: 1144. https://doi.org/10.3390/cells14151144
APA StyleSmith, H. L., Goodlett, B. L., Peterson, G. C., Zamora, E. N., Gostomski, A. R., & Mitchell, B. M. (2025). Granulocyte-Macrophage Colony-Stimulating Factor Inhibition Ameliorates Innate Immune Cell Activation, Inflammation, and Salt-Sensitive Hypertension. Cells, 14(15), 1144. https://doi.org/10.3390/cells14151144

