Nasopharyngeal Carcinoma Cell Lines: Reliable Alternatives to Primary Nasopharyngeal Cells?
Abstract
1. Introduction
| Detection Method | Description | Reference |
|---|---|---|
| Isoenzyme analysis | The approach relies on the isoelectric separation of a distinct group of intracellular enzymes. These enzymes serve as markers, allowing differentiation between cell lines originating from humans, mice, or other mammals. | [67] |
| HLA typing | HLA typing, which uses serological methods and specific sera, identifies HLA antigens on cell surfaces. This complementary test helps detect cross-contamination within cell lines of the same species. | [68] |
| DNA fingerprinting | DNA fingerprinting relies on determining specific DNA sequences. Variable Number of Tandem Repeat (VNTR) and Short Tandem Repeat (STR) loci are amplified using PCR. | [69] |
2. Conclusions
Author Contributions
Funding
Institutional Review Board Statement
Informed Consent Statement
Data Availability Statement
Conflicts of Interest
References
- Chen, Y.P.; Chan, A.T.C.; Le, Q.T.; Blanchard, P.; Sun, Y.; Ma, J. Nasopharyngeal carcinoma. Lancet 2019, 394, 64–80. [Google Scholar] [CrossRef]
- Bray, F.; Ferlay, J.; Soerjomataram, I.; Siegel, R.L.; Torre, L.A.; Jemal, A. Global cancer statistics 2018: GLOBOCAN estimates of incidence and mortality worldwide for 36 cancers in 185 countries. CA Cancer J. Clin. 2018, 68, 394–424. [Google Scholar] [CrossRef]
- Chen, W.; Zheng, R.; Baade, P.D.; Zhang, S.; Zeng, H.; Bray, F.; Jemal, A.; Yu, X.Q.; He, J. Cancer statistics in China, 2015. CA Cancer J. Clin. 2016, 66, 115–132. [Google Scholar] [CrossRef]
- Ling, J.; Zhang, L.; Chang, A.; Huang, Y.; Ren, J.; Zhao, H.; Zhuo, X. Overexpression of KITLG predicts unfavorable clinical outcomes and promotes lymph node metastasis via the JAK/STAT pathway in nasopharyngeal carcinoma. Lab. Investig. 2022, 102, 1257–1267. [Google Scholar] [CrossRef] [PubMed]
- Zhang, Y.; Rumgay, H.; Li, M.; Cao, S.; Chen, W. Nasopharyngeal cancer incidence and mortality in 185 countries in 2020 and the projected burden in 2040: Population-based global epidemiological profiling. JMIR Public Health Surveill. 2023, 9, e49968. [Google Scholar] [CrossRef] [PubMed]
- Luo, H.; Yi, B. The role of exosomes in the pathogenesis of nasopharyngeal carcinoma and the involved clinical application. Int. J. Biol. Sci. 2021, 17, 2147–2156. [Google Scholar] [CrossRef] [PubMed]
- Li, Z.; Zong, Y.S. Review of the histological classification of nasopharyngeal carcinoma. J. Nasopharyng. Carcinoma 2014, 1, e15. [Google Scholar] [CrossRef]
- Nakanishi, Y.; Wakisaka, N.; Kondo, S.; Endo, K.; Sugimoto, H.; Hatano, M.; Ueno, T.; Ishikawa, K.; Yoshizaki, T. Progression of understanding for the role of Epstein-Barr virus and management of nasopharyngeal carcinoma. Cancer Metastasis Rev. 2017, 36, 435–447. [Google Scholar] [CrossRef]
- Sun, H.Q.; Kwiatkowska, K.; Wooten, D.C.; Yin, H.L. Effects of CapG overexpression on agonist-induced motility and second messenger generation. J. Cell Biol. 1995, 129, 147–156. [Google Scholar] [CrossRef] [PubMed]
- Wistuba, I.I.; Behrens, C.; Milchgrub, S.; Syed, S.; Ahmadian, M.; Virmani, A.K.; Kurvari, V.; Cunningham, T.H.; Ashfaq, R.; Minna, J.D.; et al. Comparison of features of human breast cancer cell lines and their corresponding tumors. Clin. Cancer Res. 1998, 4, 2931–2938. [Google Scholar]
- Ross, D.T.; Scherf, U.; Eisen, M.B.; Perou, C.M.; Rees, C.; Spellman, P.; Iyer, V.; Jeffrey, S.S.; Van de Rijn, M.; Waltham, M.; et al. Systematic variation in gene expression patterns in human cancer cell lines. Nat. Genet. 2000, 24, 227–235. [Google Scholar] [CrossRef]
- Capes-Davis, A.; Theodosopoulos, G.; Atkin, I.; Drexler, H.G.; Kohara, A.; MacLeod, R.A.; Masters, J.R.; Nakamura, Y.; Reid, Y.A.; Reddel, R.R.; et al. Check your cultures! A list of cross-contaminated or misidentified cell lines. Int. J. Cancer 2010, 127, 1–8. [Google Scholar] [CrossRef]
- Cellosaurus—A Knowledge Resource on Cell Lines. Available online: https://www.cellosaurus.org/ (accessed on 16 March 2024).
- Zhang, L.; Song, L.; Ma, Y.; Huang, B.; Liang, Q.; Zeng, Y. Differentially expressed gene in nasopharyngeal carcinoma cell lines with various metastatic potentialities. Zhonghua Zhong Liu Za Zhi 2002, 24, 430–434. [Google Scholar]
- Furukawa, M.; Umeda, R.; Hatano, M. Transfer of EBV (Epstein-Barr virus) genome from lymphoblastoid cells to established epithelial cells derived from human tissues Experimental studies on the viral etiology of nasopharyngeal carcinoma (NPC) related to EBV infection. Kanazawa Daigaku Juzen Igakkai Zasshi 1975, 84, 190–210. [Google Scholar]
- Zuo, Q.; Luo, R.C. Relationship between the insulin-like growth factor 1 receptor signaling pathway and the resistance of nasopharyngeal carcinoma to cetuximab. Zhonghua Zhong Liu Za Zhi 2010, 32, 575–579. [Google Scholar] [PubMed]
- Takimoto, T.; Morishita, K.; Furukawa, M.; Umeda, R.; Hatano, M. Establishment of Epstein-Barr virus (EBV) infection in epithelial cells derived from the nasopharynx by cell fusion. J. Laryngol. Otol. 1983, 97, 719–726. [Google Scholar] [CrossRef] [PubMed]
- Takimoto, T.; Ogura, H.; Ohno, S.; Umeda, R.; Hatano, M. Tumorigenicity of nasopharyngeal carcinoma hybrid cell line. J. Natl. Cancer Inst. 1984, 73, 711–715. [Google Scholar] [PubMed]
- Yip, Y.L.; Lin, W.; Deng, W.; Jia, L.; Lo, K.W.; Busson, P.; Vérillaud, B.; Liu, X.; Tsang, C.M.; Lung, M.L.; et al. Establishment of a nasopharyngeal carcinoma cell line capable of undergoing lytic Epstein-Barr virus reactivation. Lab. Investig. 2018, 98, 1093–1104. [Google Scholar] [CrossRef] [PubMed]
- Hui, A.B.; Cheung, S.T.; Fong, Y.; Lo, K.W.; Huang, D.P. Characterization of a new EBV-associated nasopharyngeal carcinoma cell line. Cancer Genet. Cytogenet. 1998, 101, 83–88. [Google Scholar] [CrossRef] [PubMed]
- Cheung, S.T.; Huang, D.P.; Hui, A.B.; Lo, K.W.; Ko, C.W.; Tsang, Y.S.; Wong, N.; Whitney, B.M.; Lee, J.C. Nasopharyngeal carcinoma cell line (C666-1) consistently harbouring Epstein-Barr virus. Int. J. Cancer 1999, 83, 121–126. [Google Scholar] [CrossRef]
- Chang, Y.S.; Lin, S.Y.; Lee, P.F.; Durff, T.; Chung, H.C.; Tsai, M.S. Establishment and characterization of a tumor cell line from human nasopharyngeal carcinoma tissue. Cancer Res. 1989, 49, 6752–6757. [Google Scholar] [PubMed]
- Establishment of an epitheloid cell line and a fusiform cell line from a patient with nasopharyngeal carcinoma. Sci. Sin. 1978, 21, 127–134.
- Sizhong, Z.; Xiukung, G.; Yi, Z. Cytogenetic studies on an epithelial cell line derived from poorly differentiated nasopharyngeal carcinoma. Int. J. Cancer 1983, 31, 587–590. [Google Scholar] [CrossRef] [PubMed]
- Kong, F.Y.; Gao, J. The invasive behavior of two human nasopharyngeal carcinoma (NPC) cell lines CNE-1, CNE-2Z in vitro. Zhonghua Bing. Li Xue Za Zhi 1991, 20, 288–291. (In Chinese) [Google Scholar]
- Chen, W.; Lee, Y.; Wang, H.; Yu, G.G.; Jiao, W.; Zhou, W.; Zeng, Y. Suppression of human nasopharyngeal carcinoma cell growth in nude mice by the wild-type p53 gene. J. Cancer Res. Clin. Oncol. 1992, 119, 46–48. [Google Scholar] [CrossRef] [PubMed]
- Prattapong, P.; Ngernsombat, C.; Aimjongjun, S.; Janvilisri, T. CRISPR/Cas9-mediated double knockout of SRPK1 and SRPK2 in a nasopharyngeal carcinoma cell line. Cancer Rep. 2020, 3, e1224. [Google Scholar] [CrossRef] [PubMed]
- Feng, X.P.; Yi, H.; Li, M.Y.; Li, X.H.; Yi, B.; Zhang, P.F.; Li, C.; Peng, F.; Tang, C.E.; Li, J.L.; et al. Identification of biomarkers for predicting nasopharyngeal carcinoma response to radiotherapy by proteomics. Cancer Res. 2010, 70, 3450–3462. [Google Scholar] [CrossRef] [PubMed]
- Klein, E.; Klein, G.; Nadkarni, J.S.; Nadkarni, J.J.; Wigzell, H.; Clifford, P. Surface IgM-kappa specificity on a Burkitt lymphoma cell in vivo and in derived culture lines. Cancer Res. 1968, 28, 1300–1310. [Google Scholar]
- Glaser, R.; Zhang, H.Y.; Yao, K.T.; Zhu, H.C.; Wang, F.X.; Li, G.Y.; Wen, D.S.; Li, Y.P. Two epithelial tumor cell lines (HNE-1 and HONE-1) latently infected with Epstein-Barr virus that were derived from nasopharyngeal carcinomas. Proc. Natl. Acad. Sci. USA 1989, 86, 9524–9528. [Google Scholar] [CrossRef]
- Chan, S.Y.; Choy, K.W.; Tsao, S.W.; Tao, Q.; Tang, T.; Chung, G.T.; Lo, K.W. Authentication of nasopharyngeal carcinoma tumor lines. Int. J. Cancer 2008, 122, 2169–2171. [Google Scholar] [CrossRef]
- Chang, J.Y.; Liu, J.F.; Juang, S.H.; Liu, T.W.; Chen, L.T. Novel mutation of topoisomerase I in rendering cells resistant to camptothecin. Cancer Res. 2002, 62, 3716–3721. [Google Scholar]
- De-Thé, G.; Ho, H.C.; Kwan, H.C.; Desgranges, C.; Favre, M.C. Nasopharyngeal carcinoma (NPC). I. Types of cultures derived from tumour biopsies and non-tumorous tissues of Chinese patients with special reference to lymphoblastoid transformation. Int. J. Cancer 1970, 6, 189–206. [Google Scholar] [CrossRef]
- Yata, J.; Klein, G. Some factors affecting membrane immunofluorescence reactivity of Burkitt lymphoma tissue culture cell lines. Int. J. Cancer. 1969, 4, 767–775. [Google Scholar] [CrossRef]
- Tsang, C.M.; Yip, Y.L.; Lo, K.W.; Deng, W.; To, K.F.; Hau, P.M.; Lau, V.M.; Takada, K.; Lui, V.W.; Lung, M.L.; et al. Cyclin D1 overexpression supports stable EBV infection in nasopharyngeal epithelial cells. Proc. Natl. Acad. Sci. USA 2012, 109, E3473–E3482. [Google Scholar] [CrossRef]
- Tsao, S.W.; Wang, X.; Liu, Y.; Cheung, Y.C.; Feng, H.; Zheng, Z.; Wong, N.; Yuen, P.W.; Lo, A.K.; Wong, Y.C.; et al. Establishment of two immortalized nasopharyngeal epithelial cell lines using SV40 large T and HPV16E6/E7 viral oncogenes. Biochim. Biophys. Acta 2002, 1590, 150–158. [Google Scholar] [CrossRef] [PubMed]
- Li, H.M.; Man, C.; Jin, Y.; Deng, W.; Yip, Y.L.; Feng, H.C.; Cheung, Y.C.; Lo, K.W.; Meltzer, P.S.; Wu, Z.G.; et al. Molecular and cytogenetic changes involved in the immortalization of nasopharyngeal epithelial cells by telomerase. Int. J. Cancer 2006, 119, 1567–1576. [Google Scholar] [CrossRef] [PubMed]
- Sugano, H.; Takada, M.; Chen, H.-C.; Tu, S.-M. Presence of herpes-type virus in the culture cell line from a nasopharyngeal carcinoma in Taiwan. Proc. Jpn. Acad. B Phys. Biol. Sci. 1970, 46, 453–457. [Google Scholar] [CrossRef][Green Version]
- Chai, A.W.Y.; Yee, S.M.; Lee, H.M.; Abdul Aziz, N.; Yee, P.S.; Marzuki, M.; Wong, K.W.; Chiang, A.K.S.; Chow, L.K.; Dai, W.; et al. Establishment and characterization of an Epstein-Barr virus-positive cell line from a non-keratinizing differentiated primary nasopharyngeal carcinoma. Cancer Res. Commun. 2024, 4, 645–659. [Google Scholar] [CrossRef] [PubMed]
- Li, H.P.; Huang, C.Y.; Lui, K.W.; Chao, Y.K.; Yeh, C.N.; Lee, L.Y.; Huang, Y.; Lin, T.L.; Kuo, Y.C.; Huang, M.Y.; et al. Combination of epithelial growth factor receptor blockers and CDK4/6 inhibitor for nasopharyngeal carcinoma treatment. Cancers 2021, 13, 2954. [Google Scholar] [CrossRef] [PubMed]
- Lin, J.C.; Liao, S.K.; Lee, E.H.; Hung, M.S.; Sayion, Y.; Chen, H.C.; Kang, C.C.; Huang, L.S.; Cherng, J.M. Molecular events associated with epithelial to mesenchymal transition of nasopharyngeal carcinoma cells in the absence of Epstein-Barr virus genome. J. Biomed. Sci. 2009, 16, 105. [Google Scholar] [CrossRef] [PubMed]
- Liao, S.K.; Perng, Y.P.; Shen, Y.C.; Chung, P.J.; Chang, Y.S.; Wang, C.H. Chromosomal abnormalities of a new nasopharyngeal carcinoma cell line (NPC-BM1) derived from a bone marrow metastatic lesion. Cancer Genet. Cytogenet. 1998, 103, 52–58, Erratum in Cancer Genet. Cytogenet. 1998, 106, 183. [Google Scholar] [CrossRef] [PubMed]
- Lin, C.T.; Wong, C.I.; Chan, W.Y.; Tzung, K.W.; Ho, J.K.; Hsu, M.M.; Chuang, S.M. Establishment and characterization of two nasopharyngeal carcinoma cell lines. Lab. Investig. 1990, 62, 713–724. [Google Scholar] [PubMed]
- Lin, C.T.; Chan, W.Y.; Chen, W.; Huang, H.M.; Wu, H.C.; Hsu, M.M.; Chuang, S.M.; Wang, C.C. Characterization of seven newly established nasopharyngeal carcinoma cell lines. Lab. Investig. 1993, 68, 716–727. [Google Scholar] [PubMed]
- Teramoto, N.; Maeda, A.; Kobayashi, K.; Hayashi, K.; Oka, T.; Takahashi, K.; Takada, K.; Klein, G.; Akagi, T. Epstein-Barr virus infection to Epstein-Barr virus-negative nasopharyngeal carcinoma cell line TW03 enhances its tumorigenicity. Lab. Investig. 2000, 80, 303–312. [Google Scholar] [CrossRef] [PubMed][Green Version]
- Yanoma, S.; Tsukuda, M.; Sawaki, S. Establishment and characterization of nasopharyngeal carcinoma cell line. Jibi Rinsho 1988, 34 (Suppl. S1), 329–333. [Google Scholar] [CrossRef]
- Huang, D.P.; Ho, J.H.; Poon, Y.F.; Chew, E.C.; Saw, D.; Lui, M.; Li, C.L.; Mak, L.S.; Lai, S.H.; Lau, W.H. Establishment of a cell line (NPC/HK1) from a differentiated squamous carcinoma of the nasopharynx. Int. J. Cancer 1980, 26, 127–132. [Google Scholar] [CrossRef]
- Lin, W.; Yip, Y.L.; Jia, L.; Deng, W.; Zheng, H.; Dai, W.; Ko, J.M.Y.; Lo, K.W.; Chung, G.T.Y.; Yip, K.Y.; et al. Establishment and characterization of new tumor xenografts and cancer cell lines from EBV-positive nasopharyngeal carcinoma. Nat. Commun. 2018, 9, 4663. [Google Scholar] [CrossRef]
- De Thé, G.; de Schryver, A.; Klein, G. Surface antigens on lymphoblastoid cells derived from nasopharyngeal carcinoma. Clin. Exp. Immunol. 1970, 7, 161–171. [Google Scholar]
- Klein, G.; Giovanella, B.; Westman, A.; Stehlin, J.S.; Mumford, D. An EBV-genome-negative cell line established from an American Burkitt lymphoma; receptor characteristics. EBV infectibility and permanent conversion into EBV-positive sublines by in vitro infection. Intervirology 1975, 5, 319–334. [Google Scholar] [CrossRef]
- Takimoto, T.; Sato, H.; Ogura, H.; Miyazaki, T. Establishment of an Epstein-Barr virus (EBV) genome-positive subline of Ramos (Ramos/NPC) following infection of Ramos with nasopharyngeal carcinoma (NPC)-derived EBV. Auris Nasus Larynx 1987, 14, 87–92. [Google Scholar] [CrossRef]
- Qian, C.N.; Berghuis, B.; Tsarfaty, G.; Bruch, M.; Kort, E.J.; Ditlev, J.; Tsarfaty, I.; Hudson, E.; Jackson, D.G.; Petillo, D.; et al. Preparing the “soil”: The primary tumor induces vasculature reorganization in the sentinel lymph node before the arrival of metastatic cancer cells. Cancer Res. 2006, 66, 10365–10376. [Google Scholar] [CrossRef]
- Li, C.Z.; Qian, C.N.; Chen, J.D.; Zhou, H.J.; Hao, D.L. A Visualized Nasopharyngeal Carcinoma Cell and Its Application. CN109536452A, 29 March 2019. [Google Scholar]
- Ye, F.; Chen, C.; Qin, J.; Liu, J.; Zheng, C. Genetic profiling reveals an alarming rate of cross-contamination among human cell lines used in China. FASEB J. 2015, 29, 4268–4272. [Google Scholar] [CrossRef] [PubMed]
- Dong, J.Q.; Li, M.Z.; Liu, Z.G.; Zhong, Q.; Xiong, D.; Xu, L.H.; Du, Y.; Xia, Y.F.; Zeng, M.S. Establishment and characterization of a novel nasopharyngeal carcinoma cell line (SUNE2) from a Cantonese patient. Chin. J. Cancer 2012, 31, 36–44. [Google Scholar] [CrossRef] [PubMed][Green Version]
- Li, Q.X.; Young, L.S.; Niedobitek, G.; Dawson, C.W.; Birkenbach, M.; Wang, F.; Rickinson, A.B. Epstein-Barr virus infection and replication in a human epithelial cell system. Nature 1992, 356, 347–350. [Google Scholar] [CrossRef] [PubMed]
- American Type Culture Collection Standards Development Organization Workgroup ASN-0002. Cell line misidentification: The beginning of the end. Nat. Rev. Cancer 2010, 10, 441–448. [Google Scholar] [CrossRef] [PubMed]
- Prasad, C.P.; Tripathi, S.C.; Kumar, M.; Mohapatra, P. Passage number of cancer cell lines: Importance, intricacies, and way-forward. Biotechnol. Bioeng. 2023, 120, 2049–2055. [Google Scholar] [CrossRef] [PubMed]
- Hughes, P.; Marshall, D.; Reid, Y.; Parkes, H.; Gelber, C. The costs of using unauthenticated, over-passaged cell lines: How much more data do we need? Biotechniques 2007, 43, 575–586, Erratum in Biotechniques 2008, 44, 47. [Google Scholar] [CrossRef]
- Beckman, G.; Beckman, L.; Pontén, J.; Westermark, B. G-6-PD and PGM phenotypes of 16 continuous human tumor cell lines. Evidence against cross-contamination and contamination by HeLa cells. Hum. Hered. 1971, 21, 238–241. [Google Scholar] [CrossRef]
- Nelson-Rees, W.A.; Daniels, D.W.; Flandermeyer, R.R. Cross-contamination of cells in culture. Science 1981, 212, 446–452. [Google Scholar] [CrossRef]
- Kniss, D.A.; Summerfield, T.L. Discovery of HeLa cell contamination in HES cells: Call for cell line authentication in reproductive biology research. Reprod. Sci. 2014, 21, 1015–1019. [Google Scholar] [CrossRef]
- Buehring, G.C.; Eby, E.A.; Eby, M.J. Cell line cross-contamination: How aware are Mammalian cell culturists of the problem and how to monitor it? Vitr. Cell. Dev. Biol. Anim. 2004, 40, 211–215. [Google Scholar] [CrossRef]
- Butler, J.M. The future of forensic DNA analysis. Philos. Trans. R. Soc. Lond. B Biol. Sci. 2015, 370, 20140252. [Google Scholar] [CrossRef]
- Almeida, J.L.; Korch, C.T. Authentication of human and mouse cell lines by short tandem repeat (STR) DNA genotype analysis. In Assay Guidance Manual [Internet]; Markossian, S., Grossman, A., Brimacombe, K., Arkin, M., Auld, D., Austin, C., Baell, J., Chung, T.D.Y., Coussens, N.P., Dahlin, J.L., et al., Eds.; Eli Lilly & Company and the National Center for Advancing Translational Sciences: Bethesda, MD, USA, 2004. Available online: https://www.ncbi.nlm.nih.gov/books/NBK144066/ (accessed on 16 March 2024).
- ASN-0002; Authentication of Human Cell Lines: Standardization of STR Profiling. ATCC Standards Development Organization: Manassas, VA, USA, 2012. Available online: https://webstore.ansi.org/preview-pages/ATCC/preview_ANSI+ATCC+ASN-0002-2011.pdf (accessed on 16 March 2024).
- Cabrera, C.M.; Cobo, F.; Nieto, A.; Cortés, J.L.; Montes, R.M.; Catalina, P.; Concha, A. Identity tests: Determination of cell line cross-contamination. Cytotechnology 2006, 51, 45–50. [Google Scholar] [CrossRef] [PubMed]
- Defendi, V.; Billingham, R.E.; Silvers, W.K.; Moorhead, P. Immunological and karyological criteria for identification of cell lines. J. Natl. Cancer Inst. 1960, 25, 359–385. [Google Scholar] [PubMed]
- Matsuo, Y.; Nishizaki, C.; Drexler, H.G. Efficient DNA fingerprinting method for the identification of cross-culture contamination of cell lines. Hum. Cell 1999, 12, 149–154. [Google Scholar] [PubMed]
- Song, L.B.; Yan, J.; Jian, S.W.; Zhang, L.; Li, M.Z.; Li, D.; Wang, H.M. Molecular mechanisms of tumorgenesis and metastasis in nasopharyngeal carcinoma cell sublines. Ai Zheng 2002, 21, 158–162. (In Chinese) [Google Scholar] [PubMed]
- Chen, Y.; Guo, H.; Wang, H. Effect of EBV latent membrane protein 1 gene isolated from human nasopharyngeal carcinoma cell line SUNE on the growth of immortalized epithelial cells. Zhonghua Zhong Liu Za Zhi 1998, 20, 330–332. (In Chinese) [Google Scholar]
- Vaughan, L.; Glänzel, W.; Korch, C.; Capes-Davis, A. Widespread use of misidentified cell line KB (HeLa): Incorrect attribution and its impact revealed through mining the scientific literature. Cancer Res. 2017, 77, 2784–2788. [Google Scholar] [CrossRef] [PubMed]
- Web of Science. Available online: https://www.webofscience.com (accessed on 16 March 2024).
- Cosme, B.; Falagan-Lotsch, P.; Ribeiro, M.; Napoleão, K.; Granjeiro, J.M.; Moura-Neto, R. Are your results valid? Cellular authentication a need from the past, an emergency on the present. Vitr. Cell. Dev. Biol. Anim. 2017, 53, 430–434. [Google Scholar] [CrossRef] [PubMed]
- Betsou, F.; Barnes, R.; Burke, T.; Coppola, D.; Desouza, Y.; Eliason, J.; Glazer, B.; Horsfall, D.; Kleeberger, C.; Lehmann, S.; et al. Human biospecimen research: Experimental protocol and quality control tools. Cancer Epidemiol. Biomarkers Prev. 2009, 18, 1017–1025. [Google Scholar] [CrossRef]
- ICLAC Register of Misidentified Cell Lines. Available online: https://iclac.org/ (accessed on 16 March 2024).
- Cellosaurus. Description of the Cellosaurus—A Knowledge Resource on Cell Lines. Available online: web.expasy.org/cellosaurus/description.html (accessed on 16 March 2024).
- Kassotis, C.D.; Hoffman, K.; Völker, J.; Pu, Y.; Veiga-Lopez, A.; Kim, S.M.; Schlezinger, J.J.; Bovolin, P.; Cottone, E.; Saraceni, A.; et al. Reproducibility of adipogenic responses to metabolism disrupting chemicals in the 3T3-L1 pre-adipocyte model system: An interlaboratory study. Toxicology 2021, 461, 152900. [Google Scholar] [CrossRef] [PubMed]
- Almeida, J.L.; Cole, K.D.; Plant, A.L. Standards for cell line authentication and beyond. PLoS Biol. 2016, 14, e1002476. [Google Scholar] [CrossRef] [PubMed]
- Weiskirchen, S.; Schröder, S.K.; Buhl, E.M.; Weiskirchen, R. A beginner’s guide to cell culture: Practical advice for preventing needless problems. Cells 2023, 12, 682. [Google Scholar] [CrossRef] [PubMed]
- Weiskirchen, R. Established liver cell lines: Are you sure to have the right ones? Livers 2022, 2, 171–177. [Google Scholar] [CrossRef]




| No. | Cell Line | Cellosaurus ID | EBV Status | Reference |
|---|---|---|---|---|
| 1 | 13-9B | CVCL_C527 | IN, LN | [14] |
| 2 | 2-27-Ad | CVCL_IY39 | IP, LN | [15] |
| 3 | 5-8F | CVCL_C528 | IN, LN | [14] |
| 4 | 5-8F/Erbitux | CVCL_S665 | IN, LN | [16] |
| 5 | 6-10B | CVCL_C529 | IN, LN | [14] |
| 6 | A2L | CVCL_X201 | IP | [17] |
| 7 | A2L/AH | CVCL_X202 | IP | [18] |
| 8 | Ad-AH | CVCL_X200 | IU, LN | [18] |
| 9 | C17 | CVCL_VT47 | IP | [19] |
| 10 | C666 | CVCL_M597 | IP, LU | [20] |
| 11 | C666-1 | CVCL_7949 | IP, LP | [21] |
| 12 | CG1 | CVCL_J445 | IP | [22] |
| 13 | CNE-1 | CVCL_6888 | IN, LN | [23] |
| 14 | CNE-2 | CVCL_6889 | IP, LN | [24] |
| 15 | CNE-2Z | CVCL_6890 | IN | [25] |
| 16 | CNE-3 | CVCL_M598 | IN | [26] |
| 17 | CNE1 SRPK1 KO | CVCL_YT53 | IN | [27] |
| 18 | CNE1 SRPK1/2 KO | CVCL_YT55 | IN | [27] |
| 19 | CNE1 SRPK2 KO | CVCL_YT54 | IN | [27] |
| 20 | CNE2-IR | CVCL_C9B8 | IN | [28] |
| 21 | Esther | CVCL_X932 | UNK | [29] |
| 22 | HNE-1 | CVCL_0308 | IP, LN | [30] |
| 23 | HNE-2 | CVCL_FA07 | LN | [31] |
| 24 | HNE-3 | CVCL_FA08 | LN | [30] |
| 25 | HONE-1 | CVCL_8706 | IP, LN | [30] |
| 26 | HONE-1/CPT30 | CVCL_M595 | IN | [32] |
| 27 | HONE-1/CPT30R | CVCL_M596 | IN | [32] |
| 28 | Ly1 | CVCL_ZU83 | UNK | [33] |
| 29 | Ly11 | CVCL_ZU81 | UNK | [33] |
| 30 | Ly2 | CVCL_ZU84 | UNK | [33] |
| 31 | Ly28 | CVCL_ZU82 | UNK | [33] |
| 32 | Maku | CVCL_1Q44 | LP | [34] |
| 33 | NA-NP15 | CVCL_DG71 | IN, LP | NN 1 |
| 34 | NA-NR1 | CVCL_DG72 | IN, LP | NN 1 |
| 35 | NA-NR15 | CVCL_DG73 | IN, LP | NN 2 |
| 36 | NP361-CDK4R24C-hTert | CVCL_B3Q4 | IU, LP | [35] |
| 37 | NP361-cyclinD1-hTert | CVCL_B3Q5 | IU, LP | [35] |
| 38 | NP361hTert | CVCL_B3Q3 | IU, LN | [35] |
| 39 | NP39E6/E7 | CVCL_F754 | IP, LP | [36] |
| 40 | NP446-CDK4R24C-hTert | CVCL_B3Q6 | IU, LP | [35] |
| 41 | NP446-cyclinD1-hTert | CVCL_B3Q7 | IU, LP | [35] |
| 42 | NP460hTert | CVCL_X205 | IU, LP | [37] |
| 43 | NP550-CDK4R24C-hTert | CVCL_B3Q8 | IU, LP | [35] |
| 44 | NP550-cyclinD1-hTert | CVCL_B3Q9 | IU, LP | [35] |
| 45 | NP550hTert | CVCL_B3QA | IU, LN | [35] |
| 46 | NP69SV40T | CVCL_F755 | IP, LP | [36] |
| 47 | NPC-204 | CVCL_A5WV | IU, LN | [38] |
| 48 | NPC268 | NA 3 | IP, LP | [39] |
| 49 | NPC-B13 | CVCL_D3FG | IU, LP | [40] |
| 50 | NPC-BM00 | CVCL_B3QC | IU, LN | [41] |
| 51 | NPC-BM1 | CVCL_6007 | UNK | [42] |
| 52 | NPC-BM29 | CVCL_B3QB | IU, LN | [43] |
| 54 | NPC-KT | CVCL_X204 | IU, LP | [18] |
| 55 | NPC-TW01 | CVCL_6008 | IP, LN | [43] |
| 56 | NPC-TW02 | CVCL_6009 | IU, LN | [43] |
| 57 | NPC-TW03 | CVCL_6010 | IP, LN | [44] |
| 58 | NPC-TW03 EBV(+) | CVCL_ZF72 | IN, LP | [45] |
| 59 | NPC-TW04 | CVCL_6011 | IN, LN | [44] |
| 60 | NPC-TW05 | CVCL_6012 | IP, LN | [44] |
| 61 | NPC-TW06 | CVCL_6013 | IP, LN | [44] |
| 62 | NPC-TW07 | CVCL_6014 | IP, LN | [44] |
| 63 | NPC-TW08 | CVCL_6015 | IN, LN | [44] |
| 64 | NPC-TW09 | CVCL_6016 | IN, LN | [44] |
| 65 | NPC-TY861 | CVCL_A5WW | IP, LP | [46] |
| 66 | NPC/HK1 | CVCL_7084 | IN, LN | [47] |
| 67 | NPC38 | CVCL_UH63 | IN, LN | [48] |
| 68 | NPC43 | CVCL_UH64 | IP, LP | [48] |
| 69 | NPC53 | CVCL_UH65 | IN, LN | [48] |
| 70 | Patrick | CVCL_IU34 | IP, LP | [49] |
| 71 | Ramos | CVCL_0597 | IN, LN | [50] |
| 72 | Ramos-AW | CVCL_2702 | IN, LN | [50] |
| 73 | Ramos/B95-8 | CVCL_ZU79 | IN, LN | [51] |
| 74 | Ramos/NPC | CVCL_ZU80 | IN, LP | [51] |
| 75 | S18 | CVCL_B0U9 | IN, LN | [52] |
| 76 | S18-1C3 | CVCL_B0UA | IN, LN | [53] |
| 77 | S26 | CVCL_B0UB | IN, LN | [52] |
| 78 | Silfere | CVCL_W936 | UNK | [29] |
| 79 | SUNE1 | CVCL_6946 | LN | [54] |
| 80 | SUNE2 | CVCL_6956 | IN, LN | [55] |
| 81 | SVK-CR2 | CVCL_YD67 | IU, LN | [56] |
| 82 | SVK-Neo | CVCL_YD68 | IU, LN | [56] |
| Misidentified Cell Line | ICLAC-ID | Histology | Contaminating Cell Line | Actual Species |
|---|---|---|---|---|
| 5-8F (SUNE1 derivate) | ICLAC-00596 | poorly differentiated NPC; the highest tumorigenic and metastatic ability [70] | HeLa | Human |
| 6-10B (SUNE1 derivate) | ICLAC-00597 | poorly differentiated NPC; the lowest tumorigenicity and lack of metastatic ability [13] | HeLa | Human |
| CNE-1 1 | ICLAC-00473 | well-differentiated squamous cell carcinoma [22] | HeLa | Human |
| CNE-2 1 | ICLAC-00474 | poorly differentiated NPC [24] | HeLa | Human |
| HNE-1 2 | not listed | poorly differentiated squamous cell carcinoma [30] | HeLa | Human |
| HONE-1 | ICLAC-00496 | poorly differentiated squamous cell carcinoma [30] | HeLa | Human |
| SUNE1 | ICLAC-00595 | poorly differentiated NPC [71] | HeLa | Human |
| SUNE2 | ICLAC-00598 | undifferentiated NPC [55] | HeLa | Human |
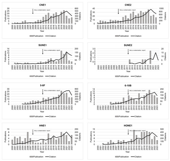
| NPC Cell Line | Σ Publications 2000–2023 | Year of HeLa Contamination Report | Σ Citing Article 2000–2023 | Σ Citing Article (without Self-Citation) 2000–2023 | Σ Times Cited 2000–2023 Report | Σ Times Cited (without Self-Citation) 2000–2023 |
|---|---|---|---|---|---|---|
| 5-8F | 153 | 2015 | 1746 | 1717 | 1895 | 1850 |
| 6-10B | 70 | 2015 | 723 | 708 | 769 | 748 |
| CNE-1 2 | 252 | 2008 | 2995 | 2926 | 3307 | 3209 |
| CNE-2 2 | 361 | 2008 | 5271 | 5139 | 5958 | 5745 |
| HNE-1 | 63 | 2008 | 1020 | 1003 | 1066 | 1042 |
| HONE1 | 123 | 2015 | 2675 | 2644 | 2937 | 2888 |
| SUNE1 | 50 | 2015 | 472 | 468 | 491 | 486 |
| SUNE2 | 5 | 2015 | 34 | 34 | 35 | 35 |
Disclaimer/Publisher’s Note: The statements, opinions and data contained in all publications are solely those of the individual author(s) and contributor(s) and not of MDPI and/or the editor(s). MDPI and/or the editor(s) disclaim responsibility for any injury to people or property resulting from any ideas, methods, instructions or products referred to in the content. |
© 2024 by the authors. Licensee MDPI, Basel, Switzerland. This article is an open access article distributed under the terms and conditions of the Creative Commons Attribution (CC BY) license (https://creativecommons.org/licenses/by/4.0/).
Share and Cite
Makowska, A.; Weiskirchen, R. Nasopharyngeal Carcinoma Cell Lines: Reliable Alternatives to Primary Nasopharyngeal Cells? Cells 2024, 13, 559. https://doi.org/10.3390/cells13070559
Makowska A, Weiskirchen R. Nasopharyngeal Carcinoma Cell Lines: Reliable Alternatives to Primary Nasopharyngeal Cells? Cells. 2024; 13(7):559. https://doi.org/10.3390/cells13070559
Chicago/Turabian StyleMakowska, Anna, and Ralf Weiskirchen. 2024. "Nasopharyngeal Carcinoma Cell Lines: Reliable Alternatives to Primary Nasopharyngeal Cells?" Cells 13, no. 7: 559. https://doi.org/10.3390/cells13070559
APA StyleMakowska, A., & Weiskirchen, R. (2024). Nasopharyngeal Carcinoma Cell Lines: Reliable Alternatives to Primary Nasopharyngeal Cells? Cells, 13(7), 559. https://doi.org/10.3390/cells13070559

