Voltage-Gated Ion Channel Compensatory Effect in DEE: Implications for Future Therapies
Abstract
1. Introduction
2. Voltage-Gated Sodium Channels
3. Voltage-Gated Potassium Channels
4. Voltage-Gated Calcium Channels
5. Developmental Regulation of Selected Voltage-Gated Ion Channels
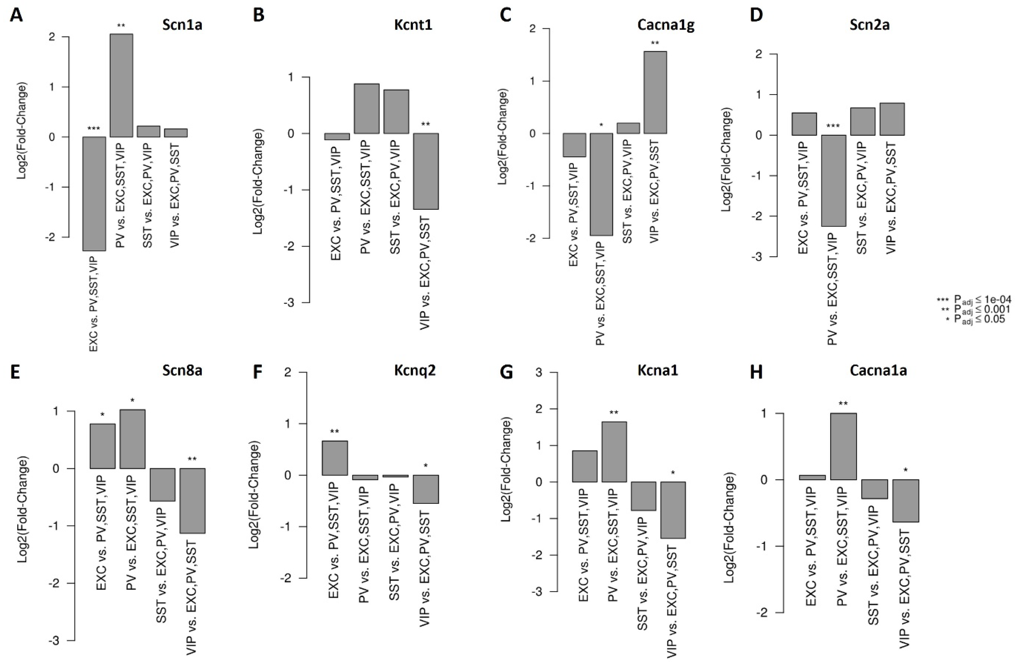
6. Compensatory Effect of Voltage-Gated Ion Channels in DEE
7. Potential Therapeutic Strategy for DEE
Author Contributions
Funding
Data Availability Statement
Acknowledgments
Conflicts of Interest
References
- Poke, G.; Stanley, J.; Scheffer, I.E.; Sadleir, L.G. Epidemiology of Developmental and Epileptic Encephalopathy and of Intellectual Disability and Epilepsy in Children. Neurology 2023, 100, E1363–E1375. [Google Scholar] [CrossRef] [PubMed]
- Specchio, N.; Curatolo, P. Developmental and Epileptic Encephalopathies: What We Do and Do Not Know. Brain 2021, 144, 32–43. [Google Scholar] [CrossRef] [PubMed]
- Howell, K.B.; Eggers, S.; Dalziel, K.; Riseley, J.; Mandelstam, S.; Myers, C.T.; McMahon, J.M.; Schneider, A.; Carvill, G.L.; Mefford, H.C.; et al. A Population-Based Cost-Effectiveness Study of Early Genetic Testing in Severe Epilepsies of Infancy. Epilepsia 2018, 59, 1177–1187. [Google Scholar] [CrossRef]
- Symonds, J.D.; Zuberi, S.M.; Stewart, K.; McLellan, A.; O’Regan, M.; MacLeod, S.; Jollands, A.; Joss, S.; Kirkpatrick, M.; Brunklaus, A.; et al. Incidence and Phenotypes of Childhood-Onset Genetic Epilepsies: A Prospective Population-Based National Cohort. Brain 2019, 142, 2303–2318. [Google Scholar] [CrossRef]
- De Lange, I.M.; Koudijs, M.J.; Van’T Slot, R.; Sonsma, A.C.M.; Mulder, F.; Carbo, E.C.; Van Kempen, M.J.A.; Nijman, I.J.; Ernst, R.F.; Savelberg, S.M.C.; et al. Assessment of Parental Mosaicism in SCN1A-Related Epilepsy by Single-Molecule Molecular Inversion Probes and next-Generation Sequencing. J. Med. Genet. 2019, 56, 75–80. [Google Scholar] [CrossRef]
- Feng, Y.C.A.; Howrigan, D.P.; Abbott, L.E.; Tashman, K.; Cerrato, F.; Singh, T.; Heyne, H.; Byrnes, A.; Churchhouse, C.; Watts, N.; et al. Ultra-Rare Genetic Variation in the Epilepsies: A Whole-Exome Sequencing Study of 17,606 Individuals. Am. J. Hum. Genet. 2019, 105, 267–282. [Google Scholar] [CrossRef]
- Imbrici, P.; Liantonio, A.; Camerino, G.M.; De Bellis, M.; Camerino, C.; Mele, A.; Giustino, A.; Pierno, S.; De Luca, A.; Tricarico, D.; et al. Therapeutic Approaches to Genetic Ion Channelopathies and Perspectives in Drug Discovery. Front. Pharmacol. 2016, 7, 121. [Google Scholar] [CrossRef]
- Spillane, J.; Kullmann, D.M.; Hanna, M.G. Genetic Neurological Channelopathies: Molecular Genetics and Clinical Phenotypes. J. Neurol. Neurosurg. Psychiatry 2016, 87, 37–48. [Google Scholar] [CrossRef]
- Duménieu, M.; Oulé, M.; Kreutz, M.R.; Lopez-Rojas, J. The Segregated Expression of Voltage-Gated Potassium and Sodium Channels in Neuronal Membranes: Functional Implications and Regulatory Mechanisms. Front. Cell. Neurosci. 2017, 11, 115. [Google Scholar] [CrossRef]
- Wei, F.; Yan, L.M.; Su, T.; He, N.; Lin, Z.J.; Wang, J.; Shi, Y.W.; Yi, Y.H.; Liao, W.P. Ion Channel Genes and Epilepsy: Functional Alteration, Pathogenic Potential, and Mechanism of Epilepsy. Neurosci. Bull. 2017, 33, 455–477. [Google Scholar] [CrossRef]
- Meisler, M.H.; Hill, S.F.; Yu, W. Sodium Channelopathies in Neurodevelopmental Disorders. Nat. Rev. Neurosci. 2021, 22, 152–166. [Google Scholar] [CrossRef] [PubMed]
- Namadurai, S.; Yereddi, N.R.; Cusdin, F.S.; Huang, C.L.H.; Chirgadze, D.Y.; Jackson, A.P. A New Look at Sodium Channel β Subunits. Open Biol. 2015, 5, 140192. [Google Scholar] [CrossRef] [PubMed]
- Cheah, C.S.; Westenbroek, R.E.; Roden, W.H.; Kalume, F.; Oakley, J.C.; Jansen, L.A.; Catterall, W.A. Correlations in Timing of Sodium Channel Expression, Epilepsy, and Sudden Death in Dravet Syndrome. Channels 2013, 7, 468–472. [Google Scholar] [CrossRef]
- Oyrer, J.; Maljevic, S.; Scheffer, I.E.; Berkovic, S.F.; Petrou, S.; Reid, C.A. Ion Channels in Genetic Epilepsy: From Genes and Mechanisms to Disease-Targeted Therapies. Pharmacol. Rev. 2018, 70, 142–173. [Google Scholar] [CrossRef] [PubMed]
- Bartolini, E. Inherited Developmental and Epileptic Encephalopathies. Neurol. Int. 2021, 13, 555–568. [Google Scholar] [CrossRef] [PubMed]
- Wu, Y.W.; Sullivan, J.; McDaniel, S.S.; Meisler, M.H.; Walsh, E.M.; Li, S.X.; Kuzniewicz, M.W. Incidence of Dravet Syndrome in a US Population. Pediatrics 2015, 136, e1310–e1315. [Google Scholar] [CrossRef]
- Bayat, A.; Hjalgrim, H.; Møller, R.S. The Incidence of SCN1A-Related Dravet Syndrome in Denmark Is 1:22,000: A Population-Based Study from 2004 to 2009. Epilepsia 2015, 56, e36–e39. [Google Scholar] [CrossRef]
- Brunklaus, A.; Ellis, R.; Reavey, E.; Forbes, G.H.; Zuberi, S.M. Prognostic, Clinical and Demographic Features in SCN1A Mutation-Positive Dravet Syndrome. Brain 2012, 135, 2329–2336. [Google Scholar] [CrossRef]
- Guerrini, R.; Falchi, M. Dravet Syndrome and SCN1A Gene Mutation Related-Epilepsies: Cognitive Impairment and Its Determinants. Dev. Med. Child Neurol. 2011, 53, 11–15. [Google Scholar] [CrossRef]
- Miller, I.O.; Sotero De Menezes, M.A. SCN1A Seizure Disorders. In GeneReviews; University of Washington: Seattle, WA, USA, 2019. [Google Scholar]
- Mistry, A.M.; Thompson, C.H.; Miller, A.R.; Vanoye, C.G.; George, A.L.; Kearney, J.A. Strain- and Age-Dependent Hippocampal Neuron Sodium Currents Correlate with Epilepsy Severity in Dravet Syndrome Mice. Neurobiol. Dis. 2014, 65, 1–11. [Google Scholar] [CrossRef]
- Favero, M.; Sotuyo, N.P.; Lopez, E.; Kearney, J.A.; Goldberg, E.M. A Transient Developmental Window of Fast-Spiking Interneuron Dysfunction in a Mouse Model of Dravet Syndrome. J. Neurosci. 2018, 38, 7912–7927. [Google Scholar] [CrossRef] [PubMed]
- Ardlie, K.G.; DeLuca, D.S.; Segrè, A.V.; Sullivan, T.J.; Young, T.R.; Gelfand, E.T.; Trowbridge, C.A.; Maller, J.B.; Tukiainen, T.; Lek, M.; et al. The Genotype-Tissue Expression (GTEx) Pilot Analysis: Multitissue Gene Regulation in Humans. Science 2015, 348, 648–660. [Google Scholar] [CrossRef]
- Sanders, S.J.; Campbell, A.J.; Cottrell, J.R.; Moller, R.S.; Wagner, F.F.; Auldridge, A.L.; Bernier, R.A.; Catterall, W.A.; Chung, W.K.; Empfield, J.R.; et al. Progress in Understanding and Treating SCN2A-Mediated Disorders. Trends Neurosci. 2018, 41, 442–456. [Google Scholar] [CrossRef]
- Hu, W.; Tian, C.; Li, T.; Yang, M.; Hou, H.; Shu, Y. Distinct Contributions of Nav1.6 and Nav1.2 in Action Potential Initiation and Backpropagation. Nat. Neurosci. 2009, 12, 996–1002. [Google Scholar] [CrossRef]
- Spratt, P.W.E.; Ben-Shalom, R.; Keeshen, C.M.; Burke, K.J.; Clarkson, R.L.; Sanders, S.J.; Bender, K.J. The Autism-Associated Gene Scn2a Contributes to Dendritic Excitability and Synaptic Function in the Prefrontal Cortex. Neuron 2019, 103, 673–685.e5. [Google Scholar] [CrossRef]
- Liang, L.; Fazel Darbandi, S.; Pochareddy, S.; Gulden, F.O.; Gilson, M.C.; Sheppard, B.K.; Sahagun, A.; An, J.Y.; Werling, D.M.; Rubenstein, J.L.R.; et al. Developmental Dynamics of Voltage-Gated Sodium Channel Isoform Expression in the Human and Mouse Brain. Genome Med. 2021, 13, 135. [Google Scholar] [CrossRef]
- Brunklaus, A.; Lal, D. Sodium Channel Epilepsies and Neurodevelopmental Disorders: From Disease Mechanisms to Clinical Application. Dev. Med. Child Neurol. 2020, 62, 784–792. [Google Scholar] [CrossRef]
- Menezes, L.F.S.; Sabiá Júnior, E.F.; Tibery, D.V.; Carneiro, L.D.A.; Schwartz, E.F. Epilepsy-Related Voltage-Gated Sodium Channelopathies: A Review. Front. Pharmacol. 2020, 11, 1276. [Google Scholar] [CrossRef]
- Royeck, M.; Horstmann, M.T.; Remy, S.; Reitze, M.; Yaari, Y.; Beck, H. Role of Axonal NaV1.6 Sodium Channels in Action Potential Initiation of CA1 Pyramidal Neurons. J. Neurophysiol. 2008, 100, 2361–2380. [Google Scholar] [CrossRef]
- Katz, E.; Stoler, O.; Scheller, A.; Khrapunsky, Y.; Goebbels, S.; Kirchhoff, F.; Gutnick, M.J.; Wolf, F.; Fleidervish, I.A. Role of Sodium Channel Subtype in Action Potential Generation by Neocortical Pyramidal Neurons. Proc. Natl. Acad. Sci. USA 2018, 115, E7184–E7192. [Google Scholar] [CrossRef]
- Meisler, M.H.; Helman, G.; Hammer, M.F.; Fureman, B.E.; Gaillard, W.D.; Goldin, A.L.; Hirose, S.; Ishii, A.; Kroner, B.L.; Lossin, C.; et al. SCN8A Encephalopathy: Research Progress and Prospects. Epilepsia 2016, 57, 1027–1035. [Google Scholar] [CrossRef] [PubMed]
- Meisler, M.H. SCN8A Encephalopathy: Mechanisms and Models. Epilepsia 2019, 60, S86–S91. [Google Scholar] [CrossRef] [PubMed]
- Sun, W.; Wagnon, J.L.; Mahaffey, C.L.; Briese, M.; Ule, J.; Frankel, W.N. Aberrant Sodium Channel Activity in the Complex Seizure Disorder of Celf4 Mutant Mice. J. Physiol. 2013, 591, 241–255. [Google Scholar] [CrossRef] [PubMed]
- D’Adamo, M.C.; Liantonio, A.; Conte, E.; Pessia, M.; Imbrici, P. Ion Channels Involvement in Neurodevelopmental Disorders. Neuroscience 2020, 440, 337–359. [Google Scholar] [CrossRef]
- Niday, Z.; Tzingounis, A.V. Potassium Channel Gain of Function in Epilepsy: An Unresolved Paradox. Neuroscientist 2018, 24, 368–380. [Google Scholar] [CrossRef]
- Kuang, Q.; Purhonen, P.; Hebert, H. Structure of Potassium Channels. Cell. Mol. Life Sci. 2015, 72, 3677–3693. [Google Scholar] [CrossRef]
- Jan, L.Y.; Jan, Y.N. Voltage-Gated Potassium Channels and the Diversity of Electrical Signalling. J. Physiol. 2012, 590, 2591–2599. [Google Scholar] [CrossRef]
- Trimmer, J.S. Subcellular Localization of K+ Channels in Mammalian Brain Neurons: Remarkable Precision in the Midst of Extraordinary Complexity. Neuron 2015, 85, 238–256. [Google Scholar] [CrossRef]
- Goldberg, E.M.; Clark, B.D.; Zagha, E.; Nahmani, M.; Erisir, A.; Rudy, B. K+ Channels at the Axon Initial Segment Dampen Near-Threshold Excitability of Neocortical Fast-Spiking GABAergic Interneurons. Neuron 2008, 58, 387–400. [Google Scholar] [CrossRef]
- D’adamo, M.C.; Liantonio, A.; Rolland, J.F.; Pessia, M.; Imbrici, P. Kv1.1 Channelopathies: Pathophysiological Mechanisms and Therapeutic Approaches. Int. J. Mol. Sci. 2020, 21, 2935. [Google Scholar] [CrossRef]
- Schwarz, J.R.; Glassmeier, G.; Cooper, E.C.; Kao, T.C.; Nodera, H.; Tabuena, D.; Kaji, R.; Bostock, H. KCNQ Channels Mediate IKs, a Slow K+ Current Regulating Excitability in the Rat Node of Ranvier. J. Physiol. 2006, 573, 17–34. [Google Scholar] [CrossRef] [PubMed]
- Greene, D.L.; Hoshi, N. Modulation of Kv7 Channels and Excitability in the Brain. Cell. Mol. Life Sci. 2017, 74, 495–508. [Google Scholar] [CrossRef] [PubMed]
- Kim, G.E.; Kaczmarek, L.K. Emerging Role of the KCNT1 Slack Channel in Intellectual Disability. Front. Cell. Neurosci. 2014, 8, 209. [Google Scholar] [CrossRef] [PubMed]
- Rizzi, S.; Knaus, H.G.; Schwarzer, C. Differential Distribution of the Sodium-Activated Potassium Channels Slick and Slack in Mouse Brain. J. Comp. Neurol. 2016, 524, 2093–2116. [Google Scholar] [CrossRef] [PubMed]
- Bhattacharjee, A.; Gan, L.; Kaczmarek, L.K. Localization of the Slack Potassium Channel in the Rat Central Nervous System. J. Comp. Neurol. 2002, 454, 241–254. [Google Scholar] [CrossRef]
- Barcia, G.; Fleming, M.R.; Deligniere, A.; Gazula, V.R.; Brown, M.R.; Langouet, M.; Chen, H.; Kronengold, J.; Abhyankar, A.; Cilio, R.; et al. De Novo Gain-of-Function KCNT1 Channel Mutations Cause Malignant Migrating Partial Seizures of Infancy. Nat. Genet. 2012, 44, 1255–1259. [Google Scholar] [CrossRef]
- Milligan, C.J.; Li, M.; Gazina, E.V.; Heron, S.E.; Nair, U.; Trager, C.; Reid, C.A.; Venkat, A.; Younkin, D.P.; Dlugos, D.J.; et al. KCNT1 Gain of Function in 2 Epilepsy Phenotypes Is Reversed by Quinidine. Ann. Neurol. 2014, 75, 581–590. [Google Scholar] [CrossRef]
- Gertler, T.S.; Cherian, S.; DeKeyser, J.M.; Kearney, J.A.; George, A.L. KNa1.1 Gain-of-Function Preferentially Dampens Excitability of Murine Parvalbumin-Positive Interneurons. Neurobiol. Dis. 2022, 168, 105713. [Google Scholar] [CrossRef]
- Shore, A.N.; Colombo, S.; Tobin, W.F.; Petri, S.; Cullen, E.R.; Dominguez, S.; Bostick, C.D.; Beaumont, M.A.; Williams, D.; Khodagholy, D.; et al. Reduced GABAergic Neuron Excitability, Altered Synaptic Connectivity, and Seizures in a KCNT1 Gain-of-Function Mouse Model of Childhood Epilepsy. Cell Rep. 2020, 33, 108303. [Google Scholar] [CrossRef]
- Wu, J.; Quraishi, I.H.; Zhang, Y.; Bromwich, M.; Kaczmarek, L.K. Disease-Causing Slack Potassium Channel Mutations Produce Opposite Effects on Excitability of Excitatory and Inhibitory Neurons. Cell Rep. 2024, 43, 113904. [Google Scholar] [CrossRef]
- Simms, B.A.; Zamponi, G.W. Neuronal Voltage-Gated Calcium Channels: Structure, Function, and Dysfunction. Neuron 2014, 82, 24–45. [Google Scholar] [CrossRef] [PubMed]
- Fox, P.M.; Malepati, S.; Manaster, L.; Rossignol, E.; Noebels, J.L. Developing a Pathway to Clinical Trials for CACNA1A-Related Epilepsies: A Patient Organization Perspective. Ther. Adv. Rare Dis. 2024, 5, 26330040241245725. [Google Scholar] [CrossRef] [PubMed]
- Rossignol, E.; Kruglikov, I.; Van Den Maagdenberg, A.M.J.M.; Rudy, B.; Fishell, G. CaV2.1 Ablation in Cortical Interneurons Selectively Impairs Fast-Spiking Basket Cells and Causes Generalized Seizures. Ann. Neurol. 2013, 74, 209–222. [Google Scholar] [CrossRef]
- Talley, E.M.; Cribbs, L.L.; Lee, J.H.; Daud, A.; Perez-Reyes, E.; Bayliss, D.A. Differential Distribution of Three Members of a Gene Family Encoding Low Voltage-Activated (T-Type) Calcium Channels. J. Neurosci. 1999, 19, 1895–1911. [Google Scholar] [CrossRef]
- Aguado, C.; García-Madrona, S.; Gil-Minguez, M.; Luján, R. Ontogenic Changes and Differential Localization of T-Type Ca2+ Channel Subunits Cav3.1 and Cav3.2 in Mouse Hippocampus and Cerebellum. Front. Neuroanat. 2016, 10, 83. [Google Scholar] [CrossRef]
- Lauerer, R.J.; Lerche, H. Voltage-Gated Calcium Channels in Genetic Epilepsies. J. Neurochem. 2023. online ahead of print. [Google Scholar]
- Berecki, G.; Helbig, K.L.; Ware, T.L.; Grinton, B.; Skraban, C.M.; Marsh, E.D.; Berkovic, S.F.; Petrou, S. Novel Missense Cacna1g Mutations Associated with Infantile-Onset Developmental and Epileptic Encephalopathy. Int. J. Mol. Sci. 2020, 21, 6333. [Google Scholar] [CrossRef]
- Kunii, M.; Doi, H.; Hashiguchi, S.; Matsuishi, T.; Sakai, Y.; Iai, M.; Okubo, M.; Nakamura, H.; Takahashi, K.; Katsumoto, A.; et al. De Novo CACNA1G Variants in Developmental Delay and Early-Onset Epileptic Encephalopathies. J. Neurol. Sci. 2020, 416, 117047. [Google Scholar] [CrossRef]
- Guerrini, R.; Conti, V.; Mantegazza, M.; Balestrini, S.; Galanopoulou, A.S.; Benfenati, F. Developmental and epileptic encephalopathies: From genetic heterogeneity to phenotypic continuum. Physiol. Rev. 2023, 103, 433–513. [Google Scholar] [CrossRef]
- Li, M.; Santpere, G.; Kawasawa, Y.I.; Evgrafov, O.V.; Gulden, F.O.; Pochareddy, S.; Sunkin, S.M.; Li, Z.; Shin, Y.; Zhu, Y.; et al. Integrative Functional Genomic Analysis of Human Brain Development and Neuropsychiatric Risks. Science 2018, 362, eaat7615. [Google Scholar] [CrossRef]
- Smith, R.S.; Walsh, C.A. Ion Channel Functions in Early Brain Development. Trends Neurosci. 2020, 43, 103–114. [Google Scholar] [CrossRef]
- Sauvestre, F.; Moutton, S.; Badens, C.; Broussin, B.; Carles, D.; Houcinat, N.; Lacoste, C.; Marguet, F.; Pecheux, C.; Villard, L.; et al. In Utero Seizures Revealing Dentato-Olivary Dysplasia Caused by SCN2A Mutation. Neuropathol. Appl. Neurobiol. 2017, 43, 631–635. [Google Scholar] [CrossRef] [PubMed]
- Van Wart, A.; Matthews, G. Impaired Firing and Cell-Specific Compensation in Neurons Lacking Nav1.6 Sodium Channels. J. Neurosci. 2006, 26, 7172–7180. [Google Scholar] [CrossRef] [PubMed]
- Martínez-Hernández, J.; Ballesteros-Merino, C.; Fernández-Alacid, L.; Nicolau, J.C.; Aguado, C.; Luján, R. Polarised Localisation of the Voltage-Gated Sodium Channel Na v1.2 in Cerebellar Granule Cells. Cerebellum 2013, 12, 16–26. [Google Scholar] [CrossRef]
- Liao, Y.; Deprez, L.; Maljevic, S.; Pitsch, J.; Claes, L.; Hristova, D.; Jordanova, A.; Ala-Mello, S.; Bellan-Koch, A.; Blazevic, D.; et al. Molecular Correlates of Age-Dependent Seizures in an Inherited Neonatal-Infantile Epilepsy. Brain 2010, 133, 1403–1414. [Google Scholar] [CrossRef]
- Bortolami, A.; Sesti, F. Ion Channels in Neurodevelopment: Lessons from the Integrin-KCNB1 Channel Complex. Neural Regen. Res. 2023, 18, 2365–2369. [Google Scholar] [CrossRef]
- Turrigiano, G.; Abbott, L.F.; Marder, E. Activity-Dependent Changes in the Intrinsic Properties of Cultured Neurons. Science 1994, 264, 974–977. [Google Scholar] [CrossRef]
- Davis, G.W. Homeostatic Signaling and the Stabilization of Neural Function. Neuron 2013, 80, 718–728. [Google Scholar] [CrossRef]
- Davis, G.W.; Bezprozvanny, I. Maintaining the Stability of Neural Function: A Homeostatic Hypothesis. Annu. Rev. Physiol. 2001, 63, 847–869. [Google Scholar] [CrossRef]
- Meier, J.; Semtner, M.; Wolfart, J. Homeostasis of Neuronal Excitability Via Synaptic and Intrinsic Inhibitory Mechanisms. In Homeostatic Control of Brain Function; Oxford Academic: Oxford, UK, 2016. [Google Scholar]
- Siddoway, B.; Hou, H.; Xia, H. Molecular Mechanisms of Homeostatic Synaptic Downscaling. Neuropharmacology 2014, 78, 38–44. [Google Scholar] [CrossRef]
- Bergren, S.K.; Chen, S.; Galecki, A.; Kearney, J.A. Genetic Modifiers Affecting Severity of Epilepsy Caused by Mutation of Sodium Channel Scn2a. Mamm. Genome 2005, 16, 683–690. [Google Scholar] [CrossRef]
- Martin, M.S.; Tang, B.; Papale, L.A.; Yu, F.H.; Catterall, W.A.; Escayg, A. The Voltage-Gated Sodium Channel Scn8a Is a Genetic Modifier of Severe Myoclonic Epilepsy of Infancy. Hum. Mol. Genet. 2007, 16, 2892–2899. [Google Scholar] [CrossRef] [PubMed]
- Wong, J.C.; Makinson, C.D.; Lamar, T.; Cheng, Q.; Wingard, J.C.; Terwilliger, E.F.; Escayg, A. Selective Targeting of Scn8a Prevents Seizure Development in a Mouse Model of Mesial Temporal Lobe Epilepsy. Sci. Rep. 2018, 8, 126. [Google Scholar] [CrossRef] [PubMed]
- Hawkins, N.A.; Martin, M.S.; Frankel, W.N.; Kearney, J.A.; Escayg, A. Neuronal Voltage-Gated Ion Channels Are Genetic Modifiers of Generalized Epilepsy with Febrile Seizures Plus. Neurobiol. Dis. 2011, 41, 655–660. [Google Scholar] [CrossRef] [PubMed]
- Lenk, G.M.; Jafar-Nejad, P.; Hill, S.F.; Huffman, L.D.; Smolen, C.E.; Wagnon, J.L.; Petit, H.; Yu, W.; Ziobro, J.; Bhatia, K.; et al. Scn8a Antisense Oligonucleotide Is Protective in Mouse Models of SCN8A Encephalopathy and Dravet Syndrome. Ann. Neurol. 2020, 87, 339–346. [Google Scholar] [CrossRef] [PubMed]
- Depienne, C.; Trouillard, O.; Gourfinkel-An, I.; Saint-Martin, C.; Bouteiller, D.; Graber, D.; Barthez-Carpentier, M.-A.; Gautier, A.; Villeneuve, N.; Livet, M.-O. Mechanisms for Variable Expressivity of Inherited SCN1A Mutations Causing Dravet Syndrome. J. Med. Genet. 2010, 47, 404–410. [Google Scholar] [CrossRef]
- Singh, N.A.; Pappas, C.; Dahle, E.J.; Claes, L.R.F.; Pruess, T.H.; De Jonghe, P.; Thompson, J.; Dixon, M.; Gurnett, C.; Peiffer, A.; et al. A Role of SCN9A in Human Epilepsies, as a Cause of Febrile Seizures and as a Potential Modifier of Dravet Syndrome. PLoS Genet. 2009, 5, e1000649. [Google Scholar] [CrossRef]
- Anderson, L.L.; Hawkins, N.A.; Thompson, C.H.; Kearney, J.A.; George, A.L. Unexpected Efficacy of a Novel Sodium Channel Modulator in Dravet Syndrome. Sci. Rep. 2017, 7, 1682. [Google Scholar] [CrossRef]
- Anderson, L.L.; Thompson, C.H.; Hawkins, N.A.; Nath, R.D.; Petersohn, A.A.; Rajamani, S.; Bush, W.S.; Frankel, W.N.; Vanoye, C.G.; Kearney, J.A.; et al. Antiepileptic Activity of Preferential Inhibitors of Persistent Sodium Current. Epilepsia 2014, 55, 1274–1283. [Google Scholar] [CrossRef]
- Calhoun, J.D.; Hawkins, N.A.; Zachwieja, N.J.; Kearney, J.A. Cacna1g Is a Genetic Modifier of Epilepsy in a Mouse Model of Dravet Syndrome. Epilepsia 2017, 58, e111–e115. [Google Scholar] [CrossRef]
- Ohmori, I.; Ouchida, M.; Kobayashi, K.; Jitsumori, Y.; Mori, A.; Michiue, H.; Nishiki, T.; Ohtsuka, Y.; Matsui, H. CACNA1A Variants May Modify the Epileptic Phenotype of Dravet Syndrome. Neurobiol. Dis. 2013, 50, 209–217. [Google Scholar] [CrossRef]
- Hill, S.F.; Ziobro, J.M.; Jafar-Nejad, P.; Rigo, F.; Meisler, M.H. Genetic Interaction between Scn8a and Potassium Channel Genes Kcna1 and Kcnq2. Epilepsia 2022, 63, e125–e131. [Google Scholar] [CrossRef] [PubMed]
- Hill, S.F.; Jafar-Nejad, P.; Rigo, F.; Meisler, M.H. Reduction of Kcnt1 Is Therapeutic in Mouse Models of SCN1A and SCN8A Epilepsy. Front. Neurosci. 2023, 17, 1282201. [Google Scholar] [CrossRef] [PubMed]
- Mishra, V.; Karumuri, B.K.; Gautier, N.M.; Liu, R.; Hutson, T.N.; Vanhoof-Villalba, S.L.; Vlachos, I.; Iasemidis, L.; Glasscock, E. Scn2a Deletion Improves Survival and Brain-Heart Dynamics in the Kcna1-Null Mouse Model of Sudden Unexpected Death in Epilepsy (SUDEP). Hum. Mol. Genet. 2017, 26, 2091–2103. [Google Scholar] [CrossRef] [PubMed]
- Kearney, J.A.; Yang, Y.; Beyer, B.; Bergren, S.K.; Claes, L.; DeJonghe, P.; Frankel, W.N. Severe Epilepsy Resulting from Genetic Interaction between Scn2a and Kcnq2. Hum. Mol. Genet. 2006, 15, 1043–1048. [Google Scholar] [CrossRef]
- Calhoun, J.D.; Hawkins, N.A.; Zachwieja, N.J.; Kearney, J.A. Cacna1g Is a Genetic Modifier of Epilepsy Caused by Mutation of Voltage-Gated Sodium Channel Scn2a. Epilepsia 2016, 57, e103–e107. [Google Scholar] [CrossRef]
- Shao, L.R.; Habela, C.W.; Stafstrom, C.E. Pediatric Epilepsy Mechanisms: Expanding the Paradigm of Excitation/Inhibition Imbalance. Children 2019, 6, 23. [Google Scholar] [CrossRef]
- Ferguson, B.R.; Gao, W.J. Pv Interneurons: Critical Regulators of E/I Balance for Prefrontal Cortex-Dependent Behavior and Psychiatric Disorders. Front. Neural Circuits 2018, 12, 37. [Google Scholar] [CrossRef]
- Huntley, M.A.; Srinivasan, K.; Friedman, B.A.; Wang, T.M.; Yee, A.X.; Wang, Y.; Kaminker, J.S.; Sheng, M.; Hansen, D.V.; Hanson, J.E. Genome-Wide Analysis of Differential Gene Expression and Splicing in Excitatory Neurons and Interneuron Subtypes. J. Neurosci. 2020, 40, 958–973. [Google Scholar] [CrossRef]
- Du, J.; Simmons, S.; Brunklaus, A.; Adiconis, X.; Hession, C.C.; Fu, Z.; Li, Y.; Shema, R.; Møller, R.S.; Barak, B.; et al. Differential Excitatory vs Inhibitory SCN Expression at Single Cell Level Regulates Brain Sodium Channel Function in Neurodevelopmental Disorders. Eur. J. Paediatr. Neurol. 2020, 24, 129–133. [Google Scholar] [CrossRef]
- Tai, C.; Abe, Y.; Westenbroek, R.E.; Scheuer, T.; Catterall, W.A. Impaired Excitability of Somatostatin- and Parvalbumin-Expressing Cortical Interneurons in a Mouse Model of Dravet Syndrome. Proc. Natl. Acad. Sci. USA 2014, 111. [Google Scholar] [CrossRef]
- Huusko, N.; Römer, C.; Ndode-Ekane, X.E.; Lukasiuk, K.; Pitkänen, A. Loss of Hippocampal Interneurons and Epileptogenesis: A Comparison of Two Animal Models of Acquired Epilepsy. Brain Struct. Funct. 2015, 220, 153–191. [Google Scholar] [CrossRef] [PubMed]
- Karnani, M.M.; Jackson, J.; Ayzenshtat, I.; Sichani, X.H.; Manoocheri, K.; Kim, S.; Yuste, R. Opening Holes in the Blanket of Inhibition: Localized Lateral Disinhibition by Vip Interneurons. J. Neurosci. 2016, 36, 3471–3480. [Google Scholar] [CrossRef] [PubMed]
- Pi, H.J.; Hangya, B.; Kvitsiani, D.; Sanders, J.I.; Huang, Z.J.; Kepecs, A. Cortical Interneurons That Specialize in Disinhibitory Control. Nature 2013, 503, 521–524. [Google Scholar] [CrossRef]
- Khoshkhoo, S.; Vogt, D.; Sohal, V.S. Dynamic, Cell-Type-Specific Roles for GABAergic Interneurons in a Mouse Model of Optogenetically Inducible Seizures. Neuron 2017, 93, 291–298. [Google Scholar] [CrossRef]
- Crooke, S.T.; Witztum, J.L.; Bennett, C.F.; Baker, B.F. RNA-Targeted Therapeutics. Cell Metab. 2018, 27, 714–739. [Google Scholar] [CrossRef]
- Rinaldi, C.; Wood, M.J.A. Antisense Oligonucleotides: The next Frontier for Treatment of Neurological Disorders. Nat. Rev. Neurol. 2018, 14, 9–22. [Google Scholar] [CrossRef]
- Finkel, R.S.; Mercuri, E.; Darras, B.T.; Connolly, A.M.; Kuntz, N.L.; Kirschner, J.; Chiriboga, C.A.; Saito, K.; Servais, L.; Tizzano, E.; et al. Nusinersen versus Sham Control in Infantile-Onset Spinal Muscular Atrophy. N. Engl. J. Med. 2017, 377, 1723–1732. [Google Scholar] [CrossRef]
- Khan, N.; Eliopoulos, H.; Han, L.; Kinane, T.B.; Lowes, L.P.; Mendell, J.R.; Gordish-Dressman, H.; Henricson, E.K.; McDonald, C.M. Eteplirsen Treatment Attenuates Respiratory Decline in Ambulatory and Non-Ambulatory Patients with Duchenne Muscular Dystrophy. J. Neuromuscul. Dis. 2019, 6, 213–225. [Google Scholar] [CrossRef]
- Miller, T.M.; Cudkowicz, M.E.; Genge, A.; Shaw, P.J.; Sobue, G.; Bucelli, R.C.; Chiò, A.; Van Damme, P.; Ludolph, A.C.; Glass, J.D.; et al. Trial of Antisense Oligonucleotide Tofersen for SOD1 ALS. N. Engl. J. Med. 2022, 387, 1099–1110. [Google Scholar] [CrossRef]
- Hsiao, J.; Yuan, T.Y.; Tsai, M.S.; Lu, C.Y.; Lin, Y.C.; Lee, M.L.; Lin, S.W.; Chang, F.C.; Liu Pimentel, H.; Olive, C.; et al. Upregulation of Haploinsufficient Gene Expression in the Brain by Targeting a Long Non-Coding RNA Improves Seizure Phenotype in a Model of Dravet Syndrome. EBioMedicine 2016, 9, 257–277. [Google Scholar] [CrossRef]
- Lim, K.H.; Han, Z.; Jeon, H.Y.; Kach, J.; Jing, E.; Weyn-Vanhentenryck, S.; Downs, M.; Corrionero, A.; Oh, R.; Scharner, J.; et al. Antisense Oligonucleotide Modulation of Non-Productive Alternative Splicing Upregulates Gene Expression. Nat. Commun. 2020, 11, 3501. [Google Scholar] [CrossRef]
- Han, Z.; Chen, C.; Christiansen, A.; Ji, S.; Lin, Q.; Anumonwo, C.; Liu, C.; Leiser, S.C.; Aznarez, I.; Liau, G.; et al. Antisense Oligonucleotides Increase Scn1a Expression and Reduce Seizures and SUDEP Incidence in a Mouse Model of Dravet Syndrome. Sci. Transl. Med. 2020, 12, eaaz6100. [Google Scholar] [CrossRef] [PubMed]
- Richards, K.L.; Milligan, C.J.; Richardson, R.J.; Jancovski, N.; Grunnet, M.; Jacobson, L.H.; Undheim, E.A.B.; Mobli, M.; Chow, C.Y.; Herzig, V.; et al. Selective NaV1.1 Activation Rescues Dravet Syndrome Mice from Seizures and Premature Death. Proc. Natl. Acad. Sci. USA 2018, 115, E8077–E8085. [Google Scholar] [CrossRef]
- Osteen, J.D.; Herzig, V.; Gilchrist, J.; Emrick, J.J.; Zhang, C.; Wang, X.; Castro, J.; Garcia-Caraballo, S.; Grundy, L.; Rychkov, G.Y.; et al. Selective Spider Toxins Reveal a Role for the Nav1.1 Channel in Mechanical Pain. Nature 2016, 534, 494–499. [Google Scholar] [CrossRef]
- Li, M.; Jancovski, N.; Jafar-Nejad, P.; Burbano, L.E.; Rollo, B.; Richards, K.; Drew, L.; Sedo, A.; Heighway, J.; Pachernegg, S.; et al. Antisense Oligonucleotide Therapy Reduces Seizures and Extends Life Span in an SCN2A Gain-of-Function Epilepsy Model. J. Clin. Investig. 2021, 131, e152079. [Google Scholar] [CrossRef]
- Southey, M.W.Y.; Brunavs, M. Introduction to Small Molecule Drug Discovery and Preclinical Development. Front. Drug Discov. 2023, 3, 1314077. [Google Scholar] [CrossRef]
- Drews, J. Drug Discovery: A Historical Perspective. Science 2000, 287, 1960–1964. [Google Scholar] [CrossRef]
- Sicouri, S.; Belardinelli, L.; Antzelevitch, C. Antiarrhythmic Effects of the Highly Selective Late Sodium Channel Current Blocker GS-458967. Heart Rhythm 2013, 10, 1036–1043. [Google Scholar] [CrossRef]
- Belardinelli, L.; Liu, G.; Smith-Maxwell, C.; Wang, W.Q.; El-Bizri, N.; Hirakawa, R.; Karpinski, S.; Li, C.H.; Hu, L.; Li, X.J.; et al. A Novel, Potent, and Selective Inhibitor of Cardiac Late Sodium Current Suppresses Experimental Arrhythmias. J. Pharmacol. Exp. Ther. 2013, 344, 23–32. [Google Scholar] [CrossRef]
- Miziak, B.; Czuczwar, S. Advances in the Design and Discovery of Novel Small Molecule Drugs for the Treatment of Dravet Syndrome. Expert Opin. Drug Discov. 2021, 16, 579–593. [Google Scholar] [CrossRef]



| Channel | Protein | Gene | Main DEE Phenotype | Main Functional Impact |
|---|---|---|---|---|
| Sodium | Nav1.1 | SCN1A |
DEE 6A (Dravet Syndrome) | LOF |
| Nav1.2 | SCN2A | DEE 11 | GOF/LOF | |
| Nav1.6 | SCN8A | DEE 13 | GOF | |
| Potassium | Kv1.1 | KCNA1 | DEE * | LOF |
| Kv7.2 | KCNQ2 | DEE 7 | LOF | |
|
KNa1.1 (Slo2.2/Slack) | KCNT1 | DEE14 | GOF | |
| Calcium | Cav2.1 | CACNA1A | DEE 42 | GOF/LOF |
| Cav3.1 | CACNA1G | DEE * | GOF |
Disclaimer/Publisher’s Note: The statements, opinions and data contained in all publications are solely those of the individual author(s) and contributor(s) and not of MDPI and/or the editor(s). MDPI and/or the editor(s) disclaim responsibility for any injury to people or property resulting from any ideas, methods, instructions or products referred to in the content. |
© 2024 by the authors. Licensee MDPI, Basel, Switzerland. This article is an open access article distributed under the terms and conditions of the Creative Commons Attribution (CC BY) license (https://creativecommons.org/licenses/by/4.0/).
Share and Cite
Shabani, K.; Krupp, J.; Lemesre, E.; Lévy, N.; Tran, H. Voltage-Gated Ion Channel Compensatory Effect in DEE: Implications for Future Therapies. Cells 2024, 13, 1763. https://doi.org/10.3390/cells13211763
Shabani K, Krupp J, Lemesre E, Lévy N, Tran H. Voltage-Gated Ion Channel Compensatory Effect in DEE: Implications for Future Therapies. Cells. 2024; 13(21):1763. https://doi.org/10.3390/cells13211763
Chicago/Turabian StyleShabani, Khadijeh, Johannes Krupp, Emilie Lemesre, Nicolas Lévy, and Helene Tran. 2024. "Voltage-Gated Ion Channel Compensatory Effect in DEE: Implications for Future Therapies" Cells 13, no. 21: 1763. https://doi.org/10.3390/cells13211763
APA StyleShabani, K., Krupp, J., Lemesre, E., Lévy, N., & Tran, H. (2024). Voltage-Gated Ion Channel Compensatory Effect in DEE: Implications for Future Therapies. Cells, 13(21), 1763. https://doi.org/10.3390/cells13211763

