Inflammasome Proteins Are Reliable Biomarkers of the Inflammatory Response in Aneurysmal Subarachnoid Hemorrhage
Abstract
1. Introduction
2. Materials and Methods
2.1. Participants
2.2. Simple Plex Assay
2.3. Single-Molecule Array (Simoa HD-X)
2.4. Statistical and Biomarker Analysis
3. Results
3.1. aSAH Patients Have Increased CSF Levels of Inflammasome Signaling Proteins
3.2. aSAH Patients Have Increased Serum Levels of Inflammasome Signaling Proteins
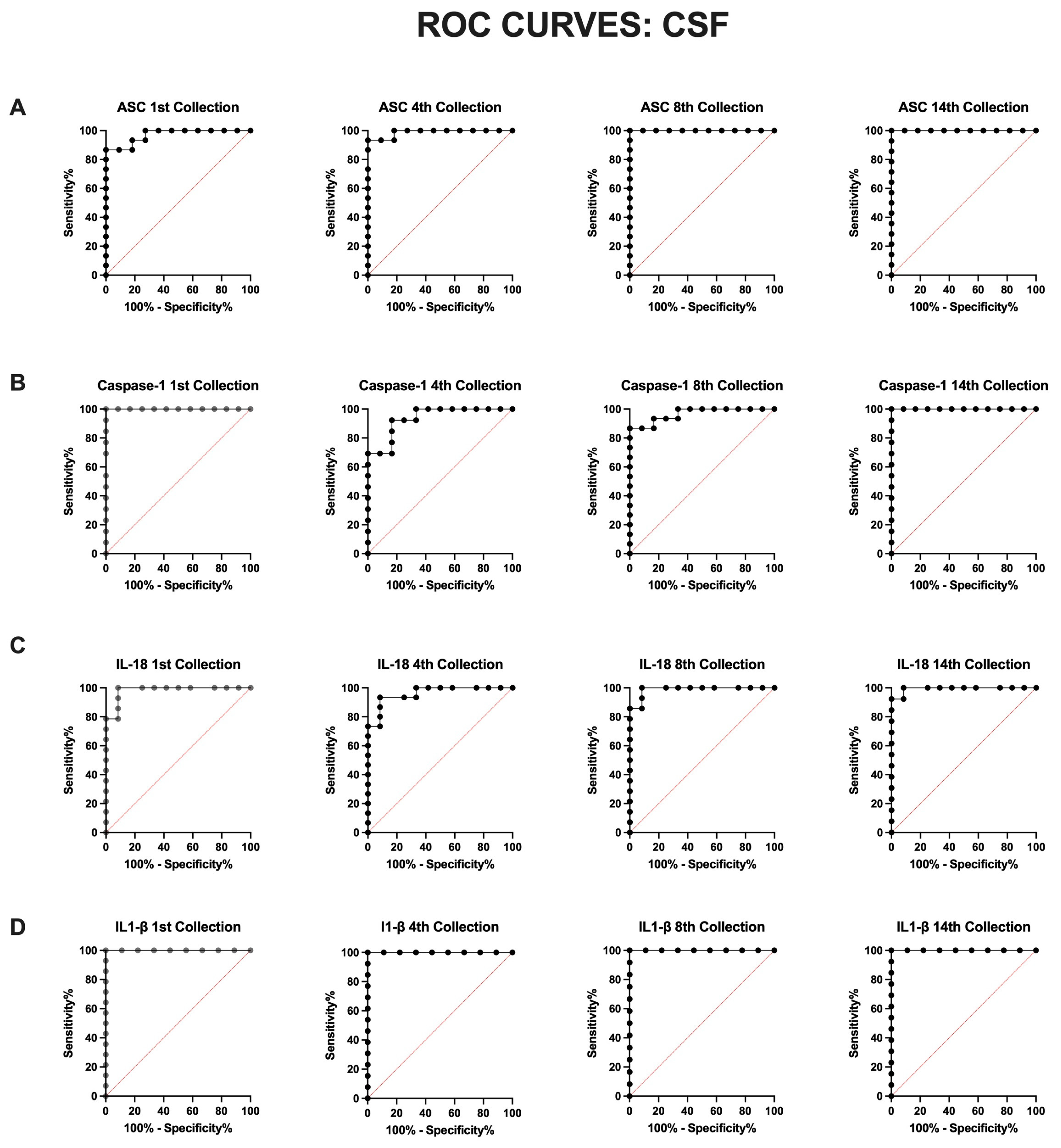
3.3. Inflammasome Proteins in the CSF Are Reliable Biomarkers of aSAH
3.3.1. Inflammasome Proteins in Serum Are Reliable Biomarkers of aSAH
3.3.2. Correlation between Inflammasome Biomarkers in CSF and Serum
3.3.3. Correlation between Inflammasome Biomarkers and Clinical Outcomes
4. Discussion
Supplementary Materials
Author Contributions
Funding
Institutional Review Board Statement
Informed Consent Statement
Data Availability Statement
Conflicts of Interest
References
- D’Souza, S. Aneurysmal Subarachnoid Hemorrhage. J. Neurosurg. Anesthesiol. 2015, 27, 222–240. [Google Scholar] [CrossRef] [PubMed]
- Osgood, M.L. Aneurysmal Subarachnoid Hemorrhage: Review of the Pathophysiology and Management Strategies. Curr. Neurol. Neurosci. Rep. 2021, 21, 50. [Google Scholar] [CrossRef] [PubMed]
- Andersen, C.R.; Presseau, J.; Saigle, V.; Etminan, N.; Vergouwen, M.D.I.; English, S.W.; Outcomes in Subarachnoid Haemorrhage Working, G. Core outcomes for subarachnoid haemorrhage. Lancet Neurol. 2019, 18, 1075–1076. [Google Scholar] [CrossRef] [PubMed]
- Helbok, R.; Schiefecker, A.J.; Beer, R.; Dietmann, A.; Antunes, A.P.; Sohm, F.; Fischer, M.; Hackl, W.O.; Rhomberg, P.; Lackner, P.; et al. Early brain injury after aneurysmal subarachnoid hemorrhage: A multimodal neuromonitoring study. Crit. Care 2015, 19, 75. [Google Scholar] [CrossRef] [PubMed]
- Centner, F.S.; Wenz, H.; Oster, M.E.; Dally, F.J.; Sauter-Servaes, J.; Pelzer, T.; Schoettler, J.J.; Hahn, B.; Abdulazim, A.; Hackenberg, K.A.M.; et al. Sepsis and delayed cerebral ischemia are associated and have a cumulative effect on poor functional outcome in aneurysmal subarachnoid hemorrhage. Front. Neurol. 2024, 15, 1393989. [Google Scholar] [CrossRef] [PubMed]
- Chen, S.; Jiang, H.; He, P.; Tang, X.; Chen, Q. New grading scale based on early factors for predicting delayed cerebral ischemia in patients with aneurysmal subarachnoid hemorrhage: A multicenter retrospective study. Front. Neurol. 2024, 15, 1393733. [Google Scholar] [CrossRef] [PubMed]
- Lauzier, D.C.; Jayaraman, K.; Yuan, J.Y.; Diwan, D.; Vellimana, A.K.; Osbun, J.W.; Chatterjee, A.R.; Athiraman, U.; Dhar, R.; Zipfel, G.J. Early Brain Injury After Subarachnoid Hemorrhage: Incidence and Mechanisms. Stroke 2023, 54, 1426–1440. [Google Scholar] [CrossRef]
- Paver, E.C.; Morey, A.L. Biomarkers and biomarker validation: A pathologist’s guide to getting it right. Pathology 2024, 56, 147–157. [Google Scholar] [CrossRef]
- Wu, Y.; Zhao, Z.; Kang, S.; Zhang, L.; Lv, F. Potential application of peripheral blood biomarkers in intracranial aneurysms. Front. Neurol. 2023, 14, 1273341. [Google Scholar] [CrossRef]
- Ghaith, H.S.; Nawar, A.A.; Gabra, M.D.; Abdelrahman, M.E.; Nafady, M.H.; Bahbah, E.I.; Ebada, M.A.; Ashraf, G.M.; Negida, A.; Barreto, G.E. A Literature Review of Traumatic Brain Injury Biomarkers. Mol. Neurobiol. 2022, 59, 4141–4158. [Google Scholar] [CrossRef]
- Oris, C.; Kahouadji, S.; Bouvier, D.; Sapin, V. Blood Biomarkers for the Management of Mild Traumatic Brain Injury in Clinical Practice. Clin. Chem. 2024, 4, 102735. [Google Scholar] [CrossRef] [PubMed]
- Khalil, M.; Teunissen, C.E.; Lehmann, S.; Otto, M.; Piehl, F.; Ziemssen, T.; Bittner, S.; Sormani, M.P.; Gattringer, T.; Abu-Rumeileh, S.; et al. Neurofilaments as biomarkers in neurological disorders—Towards clinical application. Nat. Rev. Neurol. 2024, 20, 269–287. [Google Scholar] [CrossRef] [PubMed]
- Kleinveld, V.E.A.; Keritam, O.; Horlings, C.G.C.; Cetin, H.; Wanschitz, J.; Hotter, A.; Zirch, L.S.; Zimprich, F.; Topakian, R.; Muller, P.; et al. Multifocal motor neuropathy as a mimic of amyotrophic lateral sclerosis: Serum neurofilament light chain as a reliable diagnostic biomarker. Muscle Nerve 2024, 69, 422–427. [Google Scholar] [CrossRef] [PubMed]
- Sano, T.; Masuda, Y.; Yasuno, H.; Shinozawa, T.; Watanabe, T. Plasma neurofilament light chain as a potential biomarker of neurodegeneration in murine brain. Toxicol. Res. 2023, 12, 751–755. [Google Scholar] [CrossRef] [PubMed]
- Amalia, L. Glial Fibrillary Acidic Protein (GFAP): Neuroinflammation Biomarker in Acute Ischemic Stroke. J. Inflamm. Res. 2021, 14, 7501–7506. [Google Scholar] [CrossRef] [PubMed]
- Button, E.B.; Cheng, W.H.; Barron, C.; Cheung, H.; Bashir, A.; Cooper, J.; Gill, J.; Stukas, S.; Baron, D.C.; Robert, J.; et al. Development of a novel, sensitive translational immunoassay to detect plasma glial fibrillary acidic protein (GFAP) after murine traumatic brain injury. Alzheimers Res. Ther. 2021, 13, 58. [Google Scholar] [CrossRef] [PubMed]
- Huebschmann, N.A.; Luoto, T.M.; Karr, J.E.; Berghem, K.; Blennow, K.; Zetterberg, H.; Ashton, N.J.; Simren, J.; Posti, J.P.; Gill, J.M.; et al. Comparing Glial Fibrillary Acidic Protein (GFAP) in Serum and Plasma Following Mild Traumatic Brain Injury in Older Adults. Front. Neurol. 2020, 11, 1054. [Google Scholar] [CrossRef] [PubMed]
- Yamada, H.; Kase, Y.; Okano, Y.; Kim, D.; Goto, M.; Takahashi, S.; Okano, H.; Toda, M. Subarachnoid hemorrhage triggers neuroinflammation of the entire cerebral cortex, leading to neuronal cell death. Inflamm. Regen. 2022, 42, 61. [Google Scholar] [CrossRef]
- Fang, Y.; Wang, X.; Lu, J.; Shi, H.; Huang, L.; Shao, A.; Zhang, A.; Liu, Y.; Ren, R.; Lenahan, C.; et al. Inhibition of caspase-1-mediated inflammasome activation reduced blood coagulation in cerebrospinal fluid after subarachnoid haemorrhage. EBioMedicine 2022, 76, 103843. [Google Scholar] [CrossRef]
- Alsbrook, D.L.; Di Napoli, M.; Bhatia, K.; Desai, M.; Hinduja, A.; Rubinos, C.A.; Mansueto, G.; Singh, P.; Domeniconi, G.G.; Ikram, A.; et al. Pathophysiology of Early Brain Injury and Its Association with Delayed Cerebral Ischemia in Aneurysmal Subarachnoid Hemorrhage: A Review of Current Literature. J. Clin. Med. 2023, 12, 1015. [Google Scholar] [CrossRef]
- Keane, R.W.; Hadad, R.; Scott, X.O.; Cabrera Ranaldi, E.; Perez-Barcena, J.; de Rivero Vaccari, J.P. Neural-Cardiac Inflammasome Axis after Traumatic Brain Injury. Pharmaceuticals 2023, 16, 1382. [Google Scholar] [CrossRef] [PubMed]
- Kelley, N.; Jeltema, D.; Duan, Y.; He, Y. The NLRP3 Inflammasome: An Overview of Mechanisms of Activation and Regulation. Int. J. Mol. Sci. 2019, 20, 3328. [Google Scholar] [CrossRef] [PubMed]
- Ramachandran, R.; Manan, A.; Kim, J.; Choi, S. NLRP3 inflammasome: A key player in the pathogenesis of life-style disorders. Exp. Mol. Med. 2024, 56, 1488–1500. [Google Scholar] [CrossRef]
- Yu, X.; Yu, C.; He, W. Emerging trends and hot spots of NLRP3 inflammasome in neurological diseases: A bibliometric analysis. Front. Pharmacol. 2022, 13, 952211. [Google Scholar] [CrossRef] [PubMed]
- Eren, E.; Ozoren, N. The NLRP3 inflammasome: A new player in neurological diseases. Turk. J. Biol. 2019, 43, 349–359. [Google Scholar] [CrossRef] [PubMed]
- Zhang, K.; Qin, Z.; Chen, J.; Guo, G.; Jiang, X.; Wang, F.; Zhuang, J.; Zhang, Z. TRPV1 modulated NLRP3 inflammasome activation via calcium in experimental subarachnoid hemorrhage. Aging 2024, 16, 1096–1110. [Google Scholar] [CrossRef] [PubMed]
- Yuan, B.; Zhou, X.M.; You, Z.Q.; Xu, W.D.; Fan, J.M.; Chen, S.J.; Han, Y.L.; Wu, Q.; Zhang, X. Inhibition of AIM2 inflammasome activation alleviates GSDMD-induced pyroptosis in early brain injury after subarachnoid haemorrhage. Cell Death Dis. 2020, 11, 76. [Google Scholar] [CrossRef] [PubMed]
- Huang, Y.; Xu, W.; Zhou, R. NLRP3 inflammasome activation and cell death. Cell Mol. Immunol. 2021, 18, 2114–2127. [Google Scholar] [CrossRef]
- Bortolotti, P.; Faure, E.; Kipnis, E. Inflammasomes in Tissue Damages and Immune Disorders After Trauma. Front. Immunol. 2018, 9, 1900. [Google Scholar] [CrossRef]
- Xu, X.; Yin, D.; Ren, H.; Gao, W.; Li, F.; Sun, D.; Wu, Y.; Zhou, S.; Lyu, L.; Yang, M.; et al. Selective NLRP3 inflammasome inhibitor reduces neuroinflammation and improves long-term neurological outcomes in a murine model of traumatic brain injury. Neurobiol. Dis. 2018, 117, 15–27. [Google Scholar] [CrossRef]
- Song, L.; Pei, L.; Yao, S.; Wu, Y.; Shang, Y. NLRP3 Inflammasome in Neurological Diseases, from Functions to Therapies. Front. Cell Neurosci. 2017, 11, 63. [Google Scholar] [CrossRef] [PubMed]
- Muhammad, S.; Hanggi, D. Inflammation and Anti-Inflammatory Targets after Aneurysmal Subarachnoid Hemorrhage. Int. J. Mol. Sci. 2021, 22, 7355. [Google Scholar] [CrossRef] [PubMed]
- Torregrossa, F.; Grasso, G. Therapeutic Approaches for Cerebrovascular Dysfunction After Aneurysmal Subarachnoid Hemorrhage: An Update and Future Perspectives. World Neurosurg. 2022, 159, 276–287. [Google Scholar] [CrossRef] [PubMed]
- Geraghty, J.R.; Testai, F.D. Delayed Cerebral Ischemia after Subarachnoid Hemorrhage: Beyond Vasospasm and Towards a Multifactorial Pathophysiology. Curr. Atheroscler. Rep. 2017, 19, 50. [Google Scholar] [CrossRef] [PubMed]
- Diaz-Garcia, E.; Nanwani-Nanwani, K.; Garcia-Tovar, S.; Alfaro, E.; Lopez-Collazo, E.; Quintana-Diaz, M.; Garcia-Rio, F.; Cubillos-Zapata, C. NLRP3 Inflammasome Overactivation in Patients with Aneurysmal Subarachnoid Hemorrhage. Transl. Stroke Res. 2023, 14, 334–346. [Google Scholar] [CrossRef]
- Johnson, N.H.; Hadad, R.; Taylor, R.R.; Rodriguez Pilar, J.; Salazar, O.; Llompart-Pou, J.A.; Dietrich, W.D.; Keane, R.W.; Perez-Barcena, J.; de Rivero Vaccari, J.P. Inflammatory Biomarkers of Traumatic Brain Injury. Pharmaceuticals 2022, 15, 660. [Google Scholar] [CrossRef] [PubMed]
- Kerr, N.; Lee, S.W.; Perez-Barcena, J.; Crespi, C.; Ibanez, J.; Bullock, M.R.; Dietrich, W.D.; Keane, R.W.; de Rivero Vaccari, J.P. Inflammasome proteins as biomarkers of traumatic brain injury. PLoS ONE 2018, 13, e0210128. [Google Scholar] [CrossRef]
- Chen, S.H.; Scott, X.O.; Ferrer Marcelo, Y.; Almeida, V.W.; Blackwelder, P.L.; Yavagal, D.R.; Peterson, E.C.; Starke, R.M.; Dietrich, W.D.; Keane, R.W.; et al. Netosis and Inflammasomes in Large Vessel Occlusion Thrombi. Front. Pharmacol. 2020, 11, 607287. [Google Scholar] [CrossRef]
- Kerr, N.; Garcia-Contreras, M.; Abbassi, S.; Mejias, N.H.; Desousa, B.R.; Ricordi, C.; Dietrich, W.D.; Keane, R.W.; de Rivero Vaccari, J.P. Inflammasome Proteins in Serum and Serum-Derived Extracellular Vesicles as Biomarkers of Stroke. Front. Mol. Neurosci. 2018, 11, 309. [Google Scholar] [CrossRef]
- Scott, X.O.; Chen, S.H.; Hadad, R.; Yavagal, D.; Peterson, E.C.; Starke, R.M.; Dietrich, W.D.; Keane, R.W.; de Rivero Vaccari, J.P. Cohort study on the differential expression of inflammatory and angiogenic factors in thrombi, cerebral and peripheral plasma following acute large vessel occlusion stroke. J. Cereb. Blood Flow. Metab. 2022, 42, 1827–1839. [Google Scholar] [CrossRef]
- Cabrera Ranaldi, E.; Nuytemans, K.; Martinez, A.; Luca, C.C.; Keane, R.W.; de Rivero Vaccari, J.P. Proof-of-Principle Study of Inflammasome Signaling Proteins as Diagnostic Biomarkers of the Inflammatory Response in Parkinson’s Disease. Pharmaceuticals 2023, 16, 883. [Google Scholar] [CrossRef]
- Cyr, B.; Keane, R.W.; de Rivero Vaccari, J.P. ASC, IL-18 and Galectin-3 as Biomarkers of Non-Alcoholic Steatohepatitis: A Proof of Concept Study. Int. J. Mol. Sci. 2020, 21, 8580. [Google Scholar] [CrossRef] [PubMed]
- de Rivero Vaccari, J.P.; Sawaya, M.E.; Brand, F., 3rd; Nusbaum, B.P.; Bauman, A.J.; Bramlett, H.M.; Dietrich, W.D.; Keane, R.W. Caspase-1 level is higher in the scalp in androgenetic alopecia. Dermatol. Surg. 2012, 38, 1033–1039. [Google Scholar] [CrossRef]
- Hirsch, Y.; Geraghty, J.R.; Katz, E.A.; Testai, F.D. Inflammasome Caspase-1 Activity is Elevated in Cerebrospinal Fluid After Aneurysmal Subarachnoid Hemorrhage and Predicts Functional Outcome. Neurocrit Care 2021, 34, 889–898. [Google Scholar] [CrossRef]
- Thilak, S.; Brown, P.; Whitehouse, T.; Gautam, N.; Lawrence, E.; Ahmed, Z.; Veenith, T. Diagnosis and management of subarachnoid haemorrhage. Nat. Commun. 2024, 15, 1850. [Google Scholar] [CrossRef]
- Wan, X.; Wu, X.; Kang, J.; Fang, L.; Tang, Y. Prognostic model for aneurysmal subarachnoid hemorrhage patients requiring mechanical ventilation. Ann. Clin. Transl. Neurol. 2023, 10, 1569–1577. [Google Scholar] [CrossRef]
- Chai, C.Z.; Ho, U.C.; Kuo, L.T. Systemic Inflammation after Aneurysmal Subarachnoid Hemorrhage. Int. J. Mol. Sci. 2023, 24, 10943. [Google Scholar] [CrossRef] [PubMed]
- Fischer, I.; Chaudhry, S.R.; Hanggi, D.; Muhammad, S. Clustering of serum biomarkers involved in post-aneurysmal subarachnoid hemorrhage (aSAH) complications. Neurosurg. Rev. 2023, 46, 63. [Google Scholar] [CrossRef]
- Luo, C.; Yao, J.; Bi, H.; Li, Z.; Li, J.; Xue, G.; Li, K.; Zhang, S.; Zan, K.; Meng, W.; et al. Clinical Value of Inflammatory Cytokines in Patients with Aneurysmal Subarachnoid Hemorrhage. Clin. Interv. Aging 2022, 17, 615–626. [Google Scholar] [CrossRef] [PubMed]
- Wu, F.; Liu, Z.; Li, G.; Zhou, L.; Huang, K.; Wu, Z.; Zhan, R.; Shen, J. Inflammation and Oxidative Stress: Potential Targets for Improving Prognosis After Subarachnoid Hemorrhage. Front. Cell Neurosci. 2021, 15, 739506. [Google Scholar] [CrossRef]
- Lopez-Rodriguez, A.B.; Decouty-Perez, C.; Farre-Alins, V.; Palomino-Antolin, A.; Narros-Fernandez, P.; Egea, J. Activation of NLRP3 Is Required for a Functional and Beneficial Microglia Response after Brain Trauma. Pharmaceutics 2022, 14, 1550. [Google Scholar] [CrossRef] [PubMed]
- Lu, D.; Hu, M.; Zhang, B.; Lin, Y.; Zhu, Q.; Men, X.; Lu, Z.; Cai, W. Temporal and Spatial Dynamics of Inflammasome Activation After Ischemic Stroke. Front. Neurol. 2021, 12, 621555. [Google Scholar] [CrossRef] [PubMed]
- Bjerkne Wenneberg, S.; Odenstedt Herges, H.; Svedin, P.; Mallard, C.; Karlsson, T.; Adiels, M.; Naredi, S.; Block, L. Association between inflammatory response and outcome after subarachnoid haemorrhage. Acta Neurol. Scand. 2021, 143, 195–205. [Google Scholar] [CrossRef]
- Bodaghi, A.; Fattahi, N.; Ramazani, A. Biomarkers: Promising and valuable tools towards diagnosis, prognosis and treatment of Covid-19 and other diseases. Heliyon 2023, 9, e13323. [Google Scholar] [CrossRef] [PubMed]
- Liu, F.; Bao, Y.; Qiu, B.; Mao, J.; Liao, X.; Huang, H.; Zhang, A.; Zhang, G.; Qi, S.; Mei, F. Identification of Novel Cerebrospinal Fluid Biomarkers for Cognitive Decline in Aneurysmal Subarachnoid Hemorrhage: A Proteomic Approach. Front. Cell Neurosci. 2022, 16, 861425. [Google Scholar] [CrossRef] [PubMed]
- Rodriguez-Rodriguez, A.; Egea-Guerrero, J.J.; Ruiz de Azua-Lopez, Z.; Murillo-Cabezas, F. Biomarkers of vasospasm development and outcome in aneurysmal subarachnoid hemorrhage. J. Neurol. Sci. 2014, 341, 119–127. [Google Scholar] [CrossRef] [PubMed]
- Batista, S.; Bocanegra-Becerra, J.E.; Claassen, B.; Rubiao, F.; Rabelo, N.N.; Figueiredo, E.G.; Oberman, D.Z. Biomarkers in aneurysmal subarachnoid hemorrhage: A short review. World Neurosurg. X 2023, 19, 100205. [Google Scholar] [CrossRef]
- Gaastra, B.; Barron, P.; Newitt, L.; Chhugani, S.; Turner, C.; Kirkpatrick, P.; MacArthur, B.; Galea, I.; Bulters, D. CRP (C-Reactive Protein) in Outcome Prediction After Subarachnoid Hemorrhage and the Role of Machine Learning. Stroke 2021, 52, 3276–3285. [Google Scholar] [CrossRef] [PubMed]
- Yao, J.; Sterling, K.; Wang, Z.; Zhang, Y.; Song, W. The role of inflammasomes in human diseases and their potential as therapeutic targets. Signal Transduct. Target. Ther. 2024, 9, 10. [Google Scholar] [CrossRef] [PubMed]
- Swanson, K.V.; Deng, M.; Ting, J.P. The NLRP3 inflammasome: Molecular activation and regulation to therapeutics. Nat. Rev. Immunol. 2019, 19, 477–489. [Google Scholar] [CrossRef]
- Dodd, W.S.; Noda, I.; Martinez, M.; Hosaka, K.; Hoh, B.L. NLRP3 inhibition attenuates early brain injury and delayed cerebral vasospasm after subarachnoid hemorrhage. J. Neuroinflammation 2021, 18, 163. [Google Scholar] [CrossRef]
- Wang, C.; Yang, T.; Xiao, J.; Xu, C.; Alippe, Y.; Sun, K.; Kanneganti, T.D.; Monahan, J.B.; Abu-Amer, Y.; Lieberman, J.; et al. NLRP3 inflammasome activation triggers gasdermin D-independent inflammation. Sci. Immunol. 2021, 6, eabj3859. [Google Scholar] [CrossRef]
- Wu, Q.; Wang, X.L.; Yu, Q.; Pan, H.; Zhang, X.S.; Zhang, Q.R.; Wang, H.D.; Zhang, X. Inflammasome Proteins in Cerebrospinal Fluid of Patients with Subarachnoid Hemorrhage are Biomarkers of Early Brain Injury and Functional Outcome. World Neurosurg. 2016, 94, 472–479. [Google Scholar] [CrossRef] [PubMed]
- Adamczak, S.E.; de Rivero Vaccari, J.P.; Dale, G.; Brand, F.J., 3rd; Nonner, D.; Bullock, M.R.; Dahl, G.P.; Dietrich, W.D.; Keane, R.W. Pyroptotic neuronal cell death mediated by the AIM2 inflammasome. J. Cereb. Blood Flow. Metab. 2014, 34, 621–629. [Google Scholar] [CrossRef] [PubMed]
- Pourcet, B.; Duez, H. Circadian Control of Inflammasome Pathways: Implications for Circadian Medicine. Front. Immunol. 2020, 11, 1630. [Google Scholar] [CrossRef] [PubMed]
- Altuna-Azkargorta, M.; Mendioroz-Iriarte, M. Blood biomarkers in Alzheimer’s disease. Neurología 2021, 36, 704–710. [Google Scholar] [CrossRef] [PubMed]
- Garg, R.; Bar, B. Systemic Complications Following Aneurysmal Subarachnoid Hemorrhage. Curr. Neurol. Neurosci. Rep. 2017, 17, 7. [Google Scholar] [CrossRef] [PubMed]
- Kerr, N.; de Rivero Vaccari, J.P.; Dietrich, W.D.; Keane, R.W. Neural-respiratory inflammasome axis in traumatic brain injury. Exp. Neurol. 2020, 323, 113080. [Google Scholar] [CrossRef] [PubMed]






| Sex | Males | 9 (60%) |
| Females | 6 (40%) | |
| Age | Range | 36–77 |
| Median | 64 | |
| GCS | Average | 9 |
| GCS 3 | 2 (13%) | |
| GCS 4 | 2 (13%) | |
| GCS 5 | 1 (6%) | |
| GCS 6 | 1 (6%) | |
| GCS 8 | 1 (6%) | |
| GCS 9 | 1 (6%) | |
| GCS 12 | 1 (6%) | |
| GCS 13 | 2 (13%) | |
| GCS 14 | 2 (13%) | |
| GCS 15 | 2 (13%) | |
| WFNS scale | Average | 3 |
| WFNS 1 | 2 (13%) | |
| WFNS 2 | 4 (27%) | |
| WFNS 4 | 4 (27%) | |
| WFNS 5 | 5 (33%) | |
| Fisher scale | Average | 4 |
| Fisher 3 | 1 (6%) | |
| Fisher 4 | 14 (94%) | |
| ICU Days | Range | 17–90 |
| Median | 23 | |
| Hospital Days | Range | 16–126 |
| Median | 32 |
| CSF Collection | Area | STD Error | 95% C.I. | p-Value |
|---|---|---|---|---|
| ASC | ||||
| 1st Collection | 0.969 | 0.028 | 0.915 to 1.000 | <0.0001 |
| 4th Collection | 0.988 | 0.016 | 0.957 to 1.000 | <0.0001 |
| 8th Collection | 1.000 | 0.000 | 1.000 to 1.000 | <0.0001 |
| 14th Collection | 1.000 | 0.000 | 1.000 to 1.000 | <0.0001 |
| Caspase-1 | ||||
| 1st Collection | 1.000 | 0.000 | 1.000 to 1.000 | <0.0001 |
| 4th Collection | 0.936 | 0.046 | 0.846 to 1.000 | 0.0002 |
| 8th Collection | 0.967 | 0.029 | 0.909 to 1.000 | <0.0001 |
| 14th Collection | 1.000 | 0.000 | 1.000 to 1.000 | <0.0001 |
| IL-18 | ||||
| 1st Collection | 0.982 | 0.021 | 0.941 to 1.000 | <0.0001 |
| 4th Collection | 0.961 | 0.033 | 0.897 to 1.000 | <0.0001 |
| 8th Collection | 0.988 | 0.016 | 0.957 to 1.000 | <0.0001 |
| 14th Collection | 0.994 | 0.011 | 0.913 to 1.000 | <0.0001 |
| IL-1β | ||||
| 1st Collection | 1.000 | 0.000 | 1.000 to 1.000 | <0.0001 |
| 4th Collection | 1.000 | 0.000 | 1.000 to 1.000 | <0.0001 |
| 8th Collection | 1.000 | 0.000 | 1.000 to 1.000 | 0.0001 |
| 14th Collection | 1.000 | 0.000 | 1.000 to 1.000 | <0.0001 |
| CSF Collection | Cut-Off Point (pg/mL) | Sensitivity (%) | Specificity (%) | Youden Index | LR | PPV | NPV | Accuracy (%) |
|---|---|---|---|---|---|---|---|---|
| ASC | ||||||||
| 1st Collection | >25.85 | 100 | 72.73 | 0.73 | 3.67 | 83 | 100 | 88 |
| 4th Collection | >27.20 | 100 | 72.73 | 0.73 | 3.67 | 83 | 100 | 88 |
| 8th Collection | >52.65 | 100 | 100 | 1 | 100 | 100 | 100 | |
| 14th Collection | >71.95 | 100 | 100 | 1 | 100 | 100 | 100 | |
| Caspase-1 | ||||||||
| 1st Collection | >0.24 | 100 | 100 | 1 | 100 | 100 | 100 | |
| 4th Collection | >0.08 | 92.31 | 83.33 | 0.76 | 5.54 | 86 | 91 | 88 |
| 8th Collection | >0.06 | 100 | 66.67 | 0.67 | 3.00 | 79 | 100 | 85 |
| 14th Collection | >0.20 | 100 | 100 | 1 | 100 | 100 | 100 | |
| IL-18 | ||||||||
| 1st Collection | >4.29 | 100 | 91.67 | 0.92 | 12.00 | 93 | 100 | 96 |
| 4th Collection | >4.31 | 93 | 91.67 | 0.85 | 11.20 | 93 | 92 | 93 |
| 8th Collection | >4.27 | 100 | 91.67 | 0.92 | 12.00 | 93 | 100 | 96 |
| 14th Collection | >4.65 | 100 | 91.67 | 0.92 | 12.00 | 93 | 100 | 96 |
| IL-1β | ||||||||
| 1st Collection | >0.02 | 100 | 100 | 1 | 100 | 100 | 100 | |
| 4th Collection | >0.05 | 100 | 100 | 1 | 100 | 100 | 100 | |
| 8th Collection | >0.02 | 100 | 100 | 1 | 100 | 100 | 100 | |
| 14th Collection | >0.05 | 100 | 100 | 1 | 100 | 100 | 100 |
| Serum Collection | Area | STD Error | 95% C.I. | p-Value |
|---|---|---|---|---|
| ASC | ||||
| 1st Collection | 0.890 | 0.074 | 0.746 to 1.000 | 0.0003 |
| 4th Collection | 0.853 | 0.076 | 0.703 to 1.000 | 0.0010 |
| 8th Collection | 0.933 | 0.048 | 0.837 to 1.000 | <0.0001 |
| 14th Collection | 0.818 | 0.087 | 0.641 to 0.982 | 0.0043 |
| Caspase-1 | ||||
| 1st Collection | 1.000 | 0.000 | 1.000 to 1.000 | <0.0001 |
| 4th Collection | 1.000 | 0.000 | 1.000 to 1.000 | <0.0001 |
| 8th Collection | 1.000 | 0.000 | 1.000 to 1.000 | <0.0001 |
| 14th Collection | 1.000 | 0.000 | 1.000 to 1.000 | <0.0001 |
| IL-1β | ||||
| 1st Collection | 0.763 | 0.096 | 0.575 to 0.952 | 0.0225 |
| 4th Collection | 0.935 | 0.046 | 0.846 to 1.000 | 0.0002 |
| 8th Collection | 0.604 | 0.112 | 0.386 to 0.8.23 | 0.3565 |
| 14th Collection | 0.757 | 0.956 | 0.569 to 0.945 | 0.0257 |
| Serum Collection | Cut-Off Point (pg/mL) | Sensitivity (%) | Specificity (%) | Youden Index | LR | PPV | NPV | Accuracy (%) |
|---|---|---|---|---|---|---|---|---|
| ASC | ||||||||
| 1st Collection | >296 | 92.86 | 60.00 | 0.53 | 2.321 | 70 | 89 | 76 |
| 4th Collection | >255.5 | 93.33 | 46.67 | 0.40 | 1.750 | 64 | 87 | 70 |
| 8th Collection | >224 | 100 | 40.00 | 0.40 | 1.667 | 100 | 95 | 70 |
| 14th Collection | >331 | 85.71 | 66.67 | 0.52 | 2.571 | 72 | 82 | 76 |
| Caspase-1 | ||||||||
| 1st Collection | >1.052 | 100 | 100 | 1 | 100 | 100 | 100 | |
| 4th Collection | >1.432 | 100 | 100 | 1 | 100 | 100 | 100 | |
| 8th Collection | >1.747 | 100 | 100 | 1 | 100 | 100 | 100 | |
| 14th Collection | >1.377 | 100 | 100 | 1 | 100 | 100 | 100 | |
| IL-1β | ||||||||
| 1st Collection | >0.038 | 84.62 | 46.15 | 0.31 | 1.571 | 61 | 75 | 65 |
| 4th Collection | >0.055 | 100 | 61.54 | 0.62 | 2.600 | 72 | 100 | 81 |
| 8th Collection | > 0.027 | 78.57 | 30.77 | 0.99 | 1.135 | 57 | 53 | 56 |
| 14th Collection | >0.0248 | 92.31 | 30.77 | 0.23 | 1.333 | 57 | 80 | 62 |
Disclaimer/Publisher’s Note: The statements, opinions and data contained in all publications are solely those of the individual author(s) and contributor(s) and not of MDPI and/or the editor(s). MDPI and/or the editor(s) disclaim responsibility for any injury to people or property resulting from any ideas, methods, instructions or products referred to in the content. |
© 2024 by the authors. Licensee MDPI, Basel, Switzerland. This article is an open access article distributed under the terms and conditions of the Creative Commons Attribution (CC BY) license (https://creativecommons.org/licenses/by/4.0/).
Share and Cite
Taylor, R.R.; Keane, R.W.; Guardiola, B.; López-Lage, S.; Moratinos, L.; Dietrich, W.D.; Perez-Barcena, J.; de Rivero Vaccari, J.P. Inflammasome Proteins Are Reliable Biomarkers of the Inflammatory Response in Aneurysmal Subarachnoid Hemorrhage. Cells 2024, 13, 1370. https://doi.org/10.3390/cells13161370
Taylor RR, Keane RW, Guardiola B, López-Lage S, Moratinos L, Dietrich WD, Perez-Barcena J, de Rivero Vaccari JP. Inflammasome Proteins Are Reliable Biomarkers of the Inflammatory Response in Aneurysmal Subarachnoid Hemorrhage. Cells. 2024; 13(16):1370. https://doi.org/10.3390/cells13161370
Chicago/Turabian StyleTaylor, Ruby R., Robert W. Keane, Begoña Guardiola, Sofía López-Lage, Lesmes Moratinos, W. Dalton Dietrich, Jon Perez-Barcena, and Juan Pablo de Rivero Vaccari. 2024. "Inflammasome Proteins Are Reliable Biomarkers of the Inflammatory Response in Aneurysmal Subarachnoid Hemorrhage" Cells 13, no. 16: 1370. https://doi.org/10.3390/cells13161370
APA StyleTaylor, R. R., Keane, R. W., Guardiola, B., López-Lage, S., Moratinos, L., Dietrich, W. D., Perez-Barcena, J., & de Rivero Vaccari, J. P. (2024). Inflammasome Proteins Are Reliable Biomarkers of the Inflammatory Response in Aneurysmal Subarachnoid Hemorrhage. Cells, 13(16), 1370. https://doi.org/10.3390/cells13161370

