Moderate SCRIB Expression Levels Correlate with Worse Prognosis in OPSCC Patients Regardless of HPV Status
Abstract
1. Introduction
2. Materials and Methods
3. Results
3.1. Patient and Tumor Characteristics
3.2. Immunostaining of DLG1, SCRIB and NHERF2 Proteins
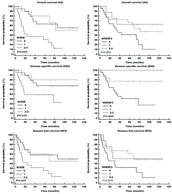
3.3. NHERF2 and SCRIB Tissue Expression Affect Patient Survival
4. Discussion
Supplementary Materials
Author Contributions
Funding
Institutional Review Board Statement
Informed Consent Statement
Data Availability Statement
Acknowledgments
Conflicts of Interest
References
- Lechner, M.; Fenton, T.R. The Genomics, Epigenomics, and Transcriptomics of HPV-Associated Oropharyngeal Cancer—Understanding the Basis of a Rapidly Evolving Disease. In Advances in Genetics; Elsevier: Amsterdam, The Netherlands, 2016; Volume 93, pp. 1–56. ISBN 978-0-12-804801-6. [Google Scholar]
- Johnson, D.E.; Burtness, B.; Leemans, C.R.; Lui, V.W.Y.; Bauman, J.E.; Grandis, J.R. Head and Neck Squamous Cell Carcinoma. Nat. Rev. Dis. Primers 2020, 6, 92. [Google Scholar] [CrossRef] [PubMed]
- Tumban, E. A Current Update on Human Papillomavirus-Associated Head and Neck Cancers. Viruses 2019, 11, 922. [Google Scholar] [CrossRef] [PubMed]
- Barsouk, A.; Aluru, J.S.; Rawla, P.; Saginala, K.; Barsouk, A. Epidemiology, Risk Factors, and Prevention of Head and Neck Squamous Cell Carcinoma. Med. Sci. 2023, 11, 42. [Google Scholar] [CrossRef] [PubMed]
- Ndon, S.; Singh, A.; Ha, P.K.; Aswani, J.; Chan, J.Y.-K.; Xu, M.J. Human Papillomavirus-Associated Oropharyngeal Cancer: Global Epidemiology and Public Policy Implications. Cancers 2023, 15, 4080. [Google Scholar] [CrossRef] [PubMed]
- Lechner, M.; Liu, J.; Masterson, L.; Fenton, T.R. HPV-Associated Oropharyngeal Cancer: Epidemiology, Molecular Biology and Clinical Management. Nat. Rev. Clin. Oncol. 2022, 19, 306–327. [Google Scholar] [CrossRef] [PubMed]
- Luo, X.; Zheng, M.; Cao, M.; Zhang, W.; Huang, M.; Dai, L.; Tang, Y.; Liang, X. Distinguishable Prognostic miRNA Signatures of Head and Neck Squamous Cell Cancer With or Without HPV Infection. Front. Oncol. 2021, 10, 614487. [Google Scholar] [CrossRef] [PubMed]
- Powell, S.F.; Vu, L.; Spanos, W.C.; Pyeon, D. The Key Differences between Human Papillomavirus-Positive and -Negative Head and Neck Cancers: Biological and Clinical Implications. Cancers 2021, 13, 5206. [Google Scholar] [CrossRef] [PubMed]
- Lim, Y.X.; D’Silva, N.J. HPV-Associated Oropharyngeal Cancer: In Search of Surrogate Biomarkers for Early Lesions. Oncogene 2024, 43, 543–554. [Google Scholar] [CrossRef] [PubMed]
- Tabatabaeian, H.; Bai, Y.; Huang, R.; Chaurasia, A.; Darido, C. Navigating Therapeutic Strategies: HPV Classification in Head and Neck Cancer. Br. J. Cancer 2024. [Google Scholar] [CrossRef]
- Quon, H.; Vapiwala, N.; Forastiere, A.; Kennedy, E.B.; Adelstein, D.J.; Boykin, H.; Califano, J.A.; Holsinger, F.C.; Nussenbaum, B.; Rosenthal, D.I.; et al. Radiation Therapy for Oropharyngeal Squamous Cell Carcinoma: American Society of Clinical Oncology Endorsement of the American Society for Radiation Oncology Evidence-Based Clinical Practice Guideline. J. Clin. Oncol. 2017, 35, 4078–4090. [Google Scholar] [CrossRef]
- Pfister, D.G.; Spencer, S.; Adelstein, D.; Adkins, D.; Anzai, Y.; Brizel, D.M.; Bruce, J.Y.; Busse, P.M.; Caudell, J.J.; Cmelak, A.J.; et al. Head and Neck Cancers, Version 2.2020, NCCN Clinical Practice Guidelines in Oncology. J. Natl. Compr. Cancer Netw. 2020, 18, 873–898. [Google Scholar] [CrossRef]
- Wood, Z.C.; Bain, C.J.; Smith, D.D.; Whiteman, D.C.; Antonsson, A. Oral Human Papillomavirus Infection Incidence and Clearance: A Systematic Review of the Literature. J. Gen. Virol. 2017, 98, 519–526. [Google Scholar] [CrossRef] [PubMed]
- Du, E.; Mazul, A.L.; Farquhar, D.; Brennan, P.; Anantharaman, D.; Abedi-Ardekani, B.; Weissler, M.C.; Hayes, D.N.; Olshan, A.F.; Zevallos, J.P. Long-term Survival in Head and Neck Cancer: Impact of Site, Stage, Smoking, and Human Papillomavirus Status. Laryngoscope 2019, 129, 2506–2513. [Google Scholar] [CrossRef] [PubMed]
- Heegaard, S.; Chevez-Barrios, P.; White, V.A.; Coupland, S.E.; Finger, P.T. The AJCC TNM Cancer Staging Manual, 8th ed.; Amin, M.B., Edge, S., Greene, F., Byrd, D.R., Brookland, R.K., Washington, M.K., Gershenwald, J.E., Compton, C.C., Hess, K.R., Sullivan, D.C., et al., Eds.; Springer Publishing Company: Cham, Switzerland, 2017; Available online: http://www.springer.com/us/book/9783319406176 (accessed on 24 November 2023).
- Bouvard, V.; Baan, R.; Straif, K.; Grosse, Y.; Secretan, B.; El Ghissassi, F.; Benbrahim-Tallaa, L.; Guha, N.; Freeman, C.; Galichet, L.; et al. A Review of Human Carcinogens--Part B: Biological Agents. Lancet Oncol. 2009, 10, 321–322. [Google Scholar] [CrossRef]
- Mighty, K.K.; Laimins, L.A. The Role of Human Papillomaviruses in Oncogenesis. Recent Results Cancer Res. 2014, 193, 135–148. [Google Scholar] [CrossRef]
- Egawa, N.; Egawa, K.; Griffin, H.; Doorbar, J. Human Papillomaviruses; Epithelial Tropisms, and the Development of Neoplasia. Viruses 2015, 7, 3863–3890. [Google Scholar] [CrossRef]
- Sofiani, V.H.; Veisi, P.; Rukerd, M.R.Z.; Ghazi, R.; Nakhaie, M. The Complexity of Human Papilloma Virus in Cancers: A Narrative Review. Infect. Agents Cancer 2023, 18, 13. [Google Scholar] [CrossRef]
- Van Doorslaer, K.; Li, Z.; Xirasagar, S.; Maes, P.; Kaminsky, D.; Liou, D.; Sun, Q.; Kaur, R.; Huyen, Y.; McBride, A.A. The Papillomavirus Episteme: A Major Update to the Papillomavirus Sequence Database. Nucleic Acids Res. 2017, 45, D499–D506. [Google Scholar] [CrossRef] [PubMed]
- McBride, A.A. Human Papillomaviruses: Diversity, Infection and Host Interactions. Nat. Rev. Microbiol. 2021, 20, 95–108. [Google Scholar] [CrossRef]
- Galloway, D.A.; Laimins, L.A. Human Papillomaviruses: Shared and Distinct Pathways for Pathogenesis. Curr. Opin. Virol. 2015, 14, 87–92. [Google Scholar] [CrossRef]
- Munoz, N.; Bosch, F.X.; de Sanjose, S.; Herrero, R.; Castellsague, X.; Shah, K.V.; Snijders, P.J.F.; Meijer, C.J.; International Agency for Research on Cancer Multicenter Cervical Cancer Study Group. Epidemiologic classification of human papillomavirus types associated with cervical cancer. N. Engl. J. Med. 2003, 348, 518–528. [Google Scholar] [CrossRef] [PubMed]
- Van Doorslaer, K. Revisiting Papillomavirus Taxonomy: A Proposal for Updating the Current Classification in Line with Evolutionary Evidence. Viruses 2022, 14, 2308. [Google Scholar] [CrossRef] [PubMed]
- Kreimer, A.R.; Clifford, G.M.; Boyle, P.; Franceschi, S. Human Papillomavirus Types in Head and Neck Squamous Cell Carcinomas Worldwide: A Systematic Review. Cancer Epidemiol. Biomark. Prev. 2005, 14, 467–475. [Google Scholar] [CrossRef] [PubMed]
- Scheffner, M.; Huibregtse, J.M.; Vierstra, R.D.; Howley, P.M. The HPV-16 E6 and E6-AP Complex Functions as a Ubiquitin-Protein Ligase in the Ubiquitination of P53. Cell 1993, 75, 495–505. [Google Scholar] [CrossRef] [PubMed]
- Huh, K.; Zhou, X.; Hayakawa, H.; Cho, J.-Y.; Libermann, T.A.; Jin, J.; Harper, J.W.; Munger, K. Human Papillomavirus Type 16 E7 Oncoprotein Associates with the Cullin 2 Ubiquitin Ligase Complex, Which Contributes to Degradation of the Retinoblastoma Tumor Suppressor. J. Virol. 2007, 81, 9737–9747. [Google Scholar] [CrossRef] [PubMed]
- Moody, C.A.; Laimins, L.A. Human Papillomavirus Oncoproteins: Pathways to Transformation. Nat. Rev. Cancer 2010, 10, 550–560. [Google Scholar] [CrossRef] [PubMed]
- Rosendo-Chalma, P.; Antonio-Véjar, V.; Ortiz Tejedor, J.G.; Ortiz Segarra, J.; Vega Crespo, B.; Bigoni-Ordóñez, G.D. The Hallmarks of Cervical Cancer: Molecular Mechanisms Induced by Human Papillomavirus. Biology 2024, 13, 77. [Google Scholar] [CrossRef] [PubMed]
- Handa, K.; Yugawa, T.; Narisawa-Saito, M.; Ohno, S.-I.; Fujita, M.; Kiyono, T. E6AP-Dependent Degradation of DLG4/PSD95 by High-Risk Human Papillomavirus Type 18 E6 Protein. J. Virol. 2007, 81, 1379–1389. [Google Scholar] [CrossRef] [PubMed]
- Banks, L.; Pim, D.; Thomas, M. Human Tumour Viruses and the Deregulation of Cell Polarity in Cancer. Nat. Rev. Cancer 2012, 12, 877–886. [Google Scholar] [CrossRef]
- Thomas, M.; Banks, L. The Biology of Papillomavirus PDZ Associations: What Do They Offer Papillomaviruses? Curr. Opin. Virol. 2021, 51, 119–126. [Google Scholar] [CrossRef]
- Thomas, M.; Narayan, N.; Pim, D.; Tomaić, V.; Massimi, P.; Nagasaka, K.; Kranjec, C.; Gammoh, N.; Banks, L. Human Papillomaviruses, Cervical Cancer and Cell Polarity. Oncogene 2008, 27, 7018–7030. [Google Scholar] [CrossRef] [PubMed]
- Thomas, M.; Myers, M.P.; Massimi, P.; Guarnaccia, C.; Banks, L. Analysis of Multiple HPV E6 PDZ Interactions Defines Type-Specific PDZ Fingerprints That Predict Oncogenic Potential. PLoS Pathog. 2016, 12, e1005766. [Google Scholar] [CrossRef] [PubMed]
- Lulić, L.; Jakovčević, A.; Manojlović, L.; Dediol, E.; Banks, L.; Tomaić, V. Human DLG1 and SCRIB Are Distinctly Regulated Independently of HPV-16 during the Progression of Oropharyngeal Squamous Cell Carcinomas: A Preliminary Analysis. Cancers 2021, 13, 4461. [Google Scholar] [CrossRef] [PubMed]
- Lulić, L.; Jakovčević, A.; Kovačić, I.; Manojlović, L.; Dediol, E.; Skelin, J.; Tomaić, V. HPV16 Impacts NHERF2 Expression in Oropharyngeal Cancers. Pathogens 2023, 12, 1013. [Google Scholar] [CrossRef] [PubMed]
- Larsen, C.G.; Gyldenløve, M.; Jensen, D.H.; Therkildsen, M.H.; Kiss, K.; Norrild, B.; Konge, L.; Buchwald, C. von Correlation between Human Papillomavirus and P16 Overexpression in Oropharyngeal Tumours: A Systematic Review. Br. J. Cancer 2014, 110, 1587–1594. [Google Scholar] [CrossRef] [PubMed]
- Mehanna, H.; Taberna, M.; von Buchwald, C.; Tous, S.; Brooks, J.; Mena, M.; Morey, F.; Grønhøj, C.; Rasmussen, J.H.; Garset-Zamani, M.; et al. Prognostic Implications of P16 and HPV Discordance in Oropharyngeal Cancer (HNCIG-EPIC-OPC): A Multicentre, Multinational, Individual Patient Data Analysis. Lancet Oncol. 2023, 24, 239–251. [Google Scholar] [CrossRef] [PubMed]
- Božinović, K.; Sabol, I.; Dediol, E.; Milutin Gašperov, N.; Manojlović, S.; Vojtechova, Z.; Tachezy, R.; Grce, M. Genome-Wide miRNA Profiling Reinforces the Importance of miR-9 in Human Papillomavirus Associated Oral and Oropharyngeal Head and Neck Cancer. Sci. Rep. 2019, 9, 2306. [Google Scholar] [CrossRef]
- TCGA Comprehensive Genomic Characterization of Head and Neck Squamous Cell Carcinomas. Nature 2015, 517, 576–582. [CrossRef]
- Salnikov, M.; Gameiro, S.F.; Zeng, P.Y.F.; Barrett, J.W.; Nichols, A.C.; Mymryk, J.S. The HPV Induced Cancer Resource (THInCR): A Suite of Tools for Investigating HPV-Dependent Human Carcinogenesis. mSphere 2022, 7, e0031722. [Google Scholar] [CrossRef]
- Economopoulou, P.; de Bree, R.; Kotsantis, I.; Psyrri, A. Diagnostic Tumor Markers in Head and Neck Squamous Cell Carcinoma (HNSCC) in the Clinical Setting. Front. Oncol. 2019, 9, 827. [Google Scholar] [CrossRef]
- Sabatini, M.E.; Chiocca, S. Human Papillomavirus as a Driver of Head and Neck Cancers. Br. J. Cancer 2020, 122, 306–314. [Google Scholar] [CrossRef] [PubMed]
- Peglion, F.; Etienne-Manneville, S. Cell Polarity Changes in Cancer Initiation and Progression. J. Cell Biol. 2023, 223, e202308069. [Google Scholar] [CrossRef] [PubMed]
- Santoni, M.-J.; Kashyap, R.; Camoin, L.; Borg, J.-P. The Scribble Family in Cancer: Twentieth Anniversary. Oncogene 2020, 39, 7019–7033. [Google Scholar] [CrossRef] [PubMed]
- Näsman, A.; Attner, P.; Hammarstedt, L.; Du, J.; Eriksson, M.; Giraud, G.; Ahrlund-Richter, S.; Marklund, L.; Romanitan, M.; Lindquist, D.; et al. Incidence of Human Papillomavirus (HPV) Positive Tonsillar Carcinoma in Stockholm, Sweden: An Epidemic of Viral-Induced Carcinoma? Int. J. Cancer 2009, 125, 362–366. [Google Scholar] [CrossRef] [PubMed]
- Ferris, R.L.; Westra, W. Oropharyngeal Carcinoma with a Special Focus on HPV-Related Squamous Cell Carcinoma. Annu. Rev. Pathol. 2023, 18, 515–535. [Google Scholar] [CrossRef] [PubMed]
- Božinović, K.; Sabol, I.; Rakušić, Z.; Jakovčević, A.; Šekerija, M.; Lukinović, J.; Prgomet, D.; Grce, M. HPV-Driven Oropharyngeal Squamous Cell Cancer in Croatia—Demography and Survival. PLoS ONE 2019, 14, e0211577. [Google Scholar] [CrossRef] [PubMed]
- Ang, K.K.; Harris, J.; Wheeler, R.; Weber, R.; Rosenthal, D.I.; Nguyen-Tân, P.F.; Westra, W.H.; Chung, C.H.; Jordan, R.C.; Lu, C.; et al. Human Papillomavirus and Survival of Patients with Oropharyngeal Cancer. N. Engl. J. Med. 2010, 363, 24–35. [Google Scholar] [CrossRef]
- Wookey, V.B.; Appiah, A.K.; Kallam, A.; Ernani, V.; Smith, L.M.; Ganti, A.K. HPV Status and Survival in Non-Oropharyngeal Squamous Cell Carcinoma of the Head and Neck. Anticancer Res. 2019, 39, 1907–1914. [Google Scholar] [CrossRef]




| Variable | Factor | Total (n = 48) | HPV+ 1 (n = 12) | HPV− 1 (n = 36) | p-Value |
|---|---|---|---|---|---|
| N (%) | N (%) | N (%) | |||
| Gender | M | 43 (89.6) | 8 (66.7) | 35 (97.2) | 0.0109 2 |
| F | 5 (10.4) | 4 (33.3) | 1 (2.8) | ||
| Age | Mean (SD) | 57.3 (9.8) | 55.3 (11.1) | 57.9 (9.4) | 0.4281 3 |
| Median (IQR) | 57.5 (52.0–62.0) | 59 (48.0–60.5) | 57 (52.5–62.0) | ||
| Min–max | 31–84 | 32–73 | 31–84 | ||
| 0–64 | 40 (83.3) | 10 (83.3) | 30 (83.3) | ||
| 65+ | 8 (16.7) | 2 (16.7) | 6 (16.7) | ||
| Lifestyle 5 | NSND | 15 (31.3) | 7 (58.3) | 8 (22.2) | 0.0425 4 |
| S | 7 (14.6) | 2 (16.7) | 5 (13.9) | ||
| SD | 26 (54.2) | 3 (25) | 23 (63.9) | ||
| Site | Oral | 15 (31.3) | 2 (16.7) | 13 (36.1) | 0.2130 4 |
| Gingiva | 4 (8.3) | 1 (8.3) | 3 (8.3) | ||
| Tongue | 6 (12.5) | 0 (0) | 6 (16.7) | ||
| Retromolar | 3 (6.3) | 0 (0) | 3 (8.3) | ||
| Sublingual | 2 (4.2) | 1 (8.3) | 1 (2.8) | ||
| Oropharyngeal | 33 (68.8) | 10 (83.3) | 23 (63.9) | ||
| Base of tongue | 13 (27.1) | 0 (0) | 13 (36.1) | ||
| Soft palate | 1 (2.1) | 0 (0) | 1 (2.8) | ||
| Posterior pharyngeal wall | 3 (6.3) | 0 (0) | 3 (8.3) | ||
| Tonsil | 16 (33.3) | 10 (83.3) | 6 (16.7) | ||
| Grade | 1 | 13 (27.1) | 1 (8.3) | 12 (33.3) | 0.0668 4 |
| 2 | 18 (37.5) | 3 (25) | 15 (41.7) | ||
| 3 | 15 (31.3) | 7 (58.3) | 8 (22.2) | ||
| Missing data | 2 (4.2) | 1 (8.3) | 1 (2.8) | ||
| Stage | I | 7 (14.6) | 5 (41.7) | 2 (5.6) | 0.0026 4 |
| II | 6 (12.5) | 2 (16.7) | 4 (11.1) | ||
| III | 7 (14.6) | 3 (25) | 4 (11.1) | ||
| IV | 28 (58.3) | 2 (16.7) | 26 (72.2) | ||
| Invasion | No invasion | 27 (56.3) | 7 (58.3) | 20 (55.6) | 0.6345 4 |
| Perineural | 13 (27.1) | 4 (33.3) | 9 (25) | ||
| Angio + perineural | 8 (16.7) | 1 (8.3) | 7 (19.4) | ||
| HPV DNA | Negative | 26 (54.2) | 0 (0) | 26 (72.2) | <0.0001 4 |
| Positive | 22 (45.8) | 12 (100) | 10 (27.8) | ||
| Therapy | Surgery | 15 (31.3) | 1 (8.3) | 14 (38.9) | 0.0504 4 |
| Surgery + C/RT | 33 (68.8) | 11 (91.7) | 22 (61.1) | ||
| Follow-up status | Disease-free | 20 (41.7) | 8 (66.7) | 12 (33.3) | 0.1184 4 |
| Dead from other causes | 10 (20.8) | 1 (8.3) | 9 (25) | ||
| Dead from disease | 18 (37.5) | 3 (25) | 15 (41.7) | ||
| Follow-up time (months) | Mean (SD) | 56.2 (39.7) | 72.6 (35.3) | 50.8 (40) | 0.0993 3 |
| Median (IQR) | 56 (17.5–82.0) | 75 (41.0–101.5) | 44 (14.5–79.0) | ||
| Min–max | 1–128 | 11–117 | 1–128 | ||
| Follow-up events | Local recidive | 10 (20.8) | 2 (16.7) | 8 (22.2) | 0.6847 4 |
| Distant metastasis | 10 (20.8) | 3 (25) | 7 (19.4) | 0.6847 4 | |
| Second primary tumor | 13 (27.1) | 0 (0) | 13 (36.1) | 0.0210 2 |
| Variable | Factor | Total (n = 48) | HPV+ (n = 12) | HPV− (n = 36) | Chi-Squared p-Value |
|---|---|---|---|---|---|
| N (%) | N (%) | N (%) | |||
| SCRIB intensity | 0 | 19 (39.6) | 8 (66.7) | 11 (30.6) | 0.0284 |
| 1 | 19 (39.6) | 3 (25) | 16 (44.4) | ||
| Strong (2–3) | 10 (20.8) | 1 (8.3) | 9 (25) | ||
| 2 | 6 (12.5) | 0 (0) | 6 (16.7) | ||
| 3 | 4 (8.3) | 1 (8.3) | 3 (8.3) | ||
| SCRIB pattern | Loss of expression | 19 (39.6) | 8 (66.7) | 11 (30.6) | 0.0586 |
| Cytoplasm only | 23 (47.9) | 4 (33.3) | 19 (52.8) | ||
| Cytoplasm and membrane | 6 (12.5) | 0 (0) | 6 (16.7) | ||
| NHERF2 intensity | 0 | 22 (45.8) | 4 (33.3) | 18 (50) | 0.1934 |
| 1 | 8 (16.7) | 4 (33.3) | 4 (11.1) | ||
| Strong (2–3) | 18 (37.5) | 4 (33.3) | 14 (38.9) | ||
| 2 | 14 (29.2) | 4 (33.3) | 10 (27.8) | ||
| 3 | 4 (8.3) | 0 (0) | 4 (11.1) | ||
| NHERF2 pattern | Loss of expression | 22 (45.8) | 4 (33.3) | 18 (50) | 0.3207 |
| Cytoplasm only | 26 (54.2) | 8 (66.7) | 18 (50) | ||
| DLG1 intensity | Weak (0–1) | 20 (41.7) | 7 (58.3) | 13 (36.1) | 0.1809 |
| 0 | 1 (2.1) | 1 (8.3) | 0 (0) | ||
| 1 | 19 (39.6) | 6 (50) | 13 (36.1) | ||
| Strong (2–3) | 28 (58.3) | 5 (41.7) | 23 (63.9) | ||
| 2 | 21 (43.8) | 4 (33.3) | 17 (47.2) | ||
| 3 | 7 (14.6) | 1 (8.3) | 6 (16.7) | ||
| DLG1 pattern | Loss of expression | 1 (2.1) | 1 (8.3) | 0 (0) | 0.0814 |
| Cytoplasm only | 35 (72.9) | 10 (83.3) | 25 (69.4) | ||
| Cytoplasm and membrane | 12 (25) | 1 (8.3) | 11 (30.6) |
| Variable 1 | Factor | Total | Univariate | Multivariate | ||||
|---|---|---|---|---|---|---|---|---|
| N (%) | HR | CI | P 1 | HR | CI | P 1 | ||
| Gender | M | 43 (89.6) | 1 | |||||
| F | 5 (10.4) | 0.26 | 0.04–1.96 | 0.1937 | ||||
| Age | 0–64 | 40 (83.3) | 1 | |||||
| 65+ | 8 (16.7) | 1.01 | 0.35–2.97 | 0.9843 | ||||
| Lifestyle 2 | NSND | 15 (31.3) | 1 | |||||
| S | 7 (14.6) | 1.59 | 0.48–5.24 | 0.4448 | ||||
| SD | 26 (54.2) | 1.95 | 0.77–4.95 | 0.162 | ||||
| Site 3 | O | 15 (31.3) | 1 | |||||
| OP | 33 (68.8) | 0.67 | 0.31–1.45 | 0.3052 | ||||
| Grade | 1 | 13 (27.1) | 1 | |||||
| 2 | 18 (37.5) | 2.47 | 0.88–6.92 | 0.0865 | ||||
| 3 | 15 (31.3) | 1.91 | 0.64–5.72 | 0.2475 | ||||
| Unknown | 2 (4.2) | 1.16 | 0.14–9.94 | 0.8927 | ||||
| Stage | I | 7 (14.6) | 1 | 1 | ||||
| II | 6 (12.5) | 2.36 | 0.39–14.51 | 0.3453 | 3.14 | 0.5–19.88 | 0.2247 | |
| III | 7 (14.6) | 0.94 | 0.13–6.65 | 0.9474 | 0.96 | 0.13–6.87 | 0.9656 | |
| IV | 28 (58.3) | 5.12 | 1.19–22.05 | 0.0285 | 5.21 | 1.15–23.68 | 0.0327 | |
| HPV 4 | Negative | 36 (75) | ||||||
| Positive | 12 (25) | 0.36 | 0.12–1.04 | 0.0578 | ||||
| DLG1 | 0–1 | 20 (41.7) | 1 | |||||
| 2–3 | 28 (58.3) | 1.29 | 0.6–2.81 | 0.5158 | ||||
| SCRIB | 0 | 19 (39.6) | 1 | 1 | ||||
| 1 | 19 (39.6) | 3.88 | 1.63–9.25 | 0.0022 | 2.66 | 1.06–6.64 | 0.0369 | |
| 2–3 | 10 (20.8) | 0.98 | 0.29–3.25 | 0.9691 | 0.55 | 0.16–1.88 | 0.3371 | |
| NHERF2 | 0 | 22 (45.8) | 1 | |||||
| 1 | 8 (16.7) | 0.35 | 0.1–1.19 | 0.0929 | ||||
| 2–3 | 18 (37.5) | 0.48 | 0.21–1.11 | 0.0845 | ||||
Disclaimer/Publisher’s Note: The statements, opinions and data contained in all publications are solely those of the individual author(s) and contributor(s) and not of MDPI and/or the editor(s). MDPI and/or the editor(s) disclaim responsibility for any injury to people or property resulting from any ideas, methods, instructions or products referred to in the content. |
© 2024 by the authors. Licensee MDPI, Basel, Switzerland. This article is an open access article distributed under the terms and conditions of the Creative Commons Attribution (CC BY) license (https://creativecommons.org/licenses/by/4.0/).
Share and Cite
Lulić, L.; Šimić, I.; Božinović, K.; Pešut, E.; Manojlović, L.; Grce, M.; Dediol, E.; Sabol, I.; Tomaić, V. Moderate SCRIB Expression Levels Correlate with Worse Prognosis in OPSCC Patients Regardless of HPV Status. Cells 2024, 13, 1002. https://doi.org/10.3390/cells13121002
Lulić L, Šimić I, Božinović K, Pešut E, Manojlović L, Grce M, Dediol E, Sabol I, Tomaić V. Moderate SCRIB Expression Levels Correlate with Worse Prognosis in OPSCC Patients Regardless of HPV Status. Cells. 2024; 13(12):1002. https://doi.org/10.3390/cells13121002
Chicago/Turabian StyleLulić, Lucija, Ivana Šimić, Ksenija Božinović, Ena Pešut, Luka Manojlović, Magdalena Grce, Emil Dediol, Ivan Sabol, and Vjekoslav Tomaić. 2024. "Moderate SCRIB Expression Levels Correlate with Worse Prognosis in OPSCC Patients Regardless of HPV Status" Cells 13, no. 12: 1002. https://doi.org/10.3390/cells13121002
APA StyleLulić, L., Šimić, I., Božinović, K., Pešut, E., Manojlović, L., Grce, M., Dediol, E., Sabol, I., & Tomaić, V. (2024). Moderate SCRIB Expression Levels Correlate with Worse Prognosis in OPSCC Patients Regardless of HPV Status. Cells, 13(12), 1002. https://doi.org/10.3390/cells13121002

