Hypoxia Increases the Efficiencies of Cellular Reprogramming and Oncogenic Transformation in Human Blood Cell Subpopulations In Vitro and In Vivo
Abstract
1. Introduction
2. Materials and Methods
2.1. Episomal Vectors
2.2. Cell Types
2.2.1. PBMCs
2.2.2. Mouse Embryonic Fibroblasts (MEFs)
2.2.3. Adipose-Tissue-Derived Stem Cells (ADSCs)
2.3. Transfection Procedure
2.4. PBMC Subpopulation Isolation
2.5. Nucleofection of PBMC Subpopulations
2.6. Retroviral Transduction
2.7. Sendai Virus Production and Infection
2.8. Induced Pluripotent Stem Cell Culture
2.9. Alkaline Phosphatase Assay
2.10. Immunofluorescence and Confocal Microscopy
2.11. Embryonic Body Generation and Characterization
2.12. Real-Time qPCR
2.13. Data Analysis and Statistics
3. Results
3.1. Cell Type Influences Transfection Efficiency but Oxygen Concentration Does Not
3.2. Cell Reprogramming Was Efficiently Achieved for All Three Cell Types
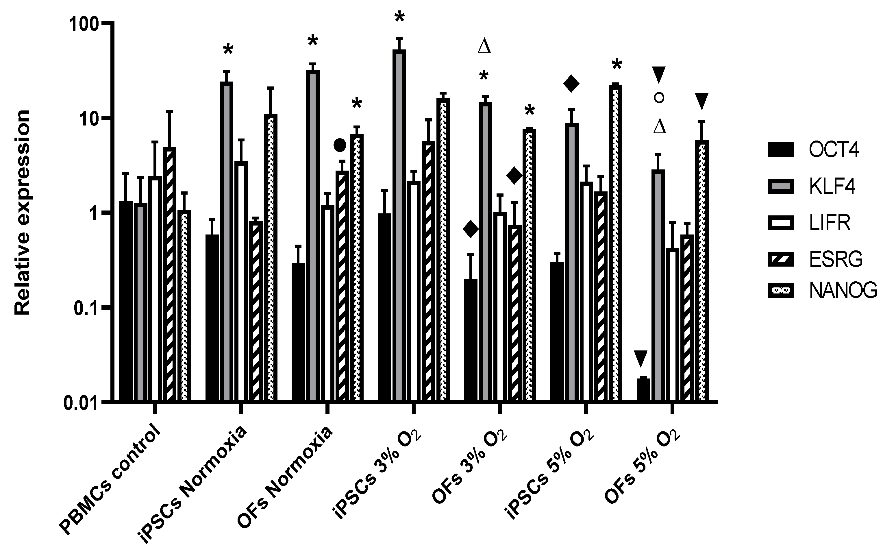
3.3. The Generated Reprogrammed Cells Are Pluripotent
3.4. Metabolic Conditions Have an Effect on the Reprogramming Efficiency


3.5. Cell Reprogramming and Oncogenic Focus Formation Can Be Achieved from the Same PBMCs
3.6. Comparison between Reprogramming and Oncogenic Transformation Efficiencies
3.7. Comparison of Cell Reprogramming Kinetics with Respect to Metabolic Conditions
3.8. Reprogramming and Oncogenic Focus Formation from Cell Subtypes within Peripheral Blood
3.8.1. Generation of Reprogrammed Cells from Peripheral Blood Lymphocytes and Monocytes
3.8.2. Reprogramming Kinetics in Various Blood Subpopulations
3.8.3. Cell Reprogramming and Oncogenic Transformation Efficiencies in Various Human Peripheral Blood Subpopulations
3.9. Derivation of Reprogrammed Cells and Oncogenic Foci from Patients with Chronic Obstructive Pulmonary Disease
3.10. Efficiencies of Reprogramming and Oncogenic Transformation in Patients with COPD Relative to Healthy Donors
3.11. No Establishment of Reprogrammed Cell Lines from the Monocyte Subpopulation
4. Discussion
Supplementary Materials
Author Contributions
Funding
.Institutional Review Board Statement
Informed Consent Statement
Data Availability Statement
Acknowledgments
Conflicts of Interest
References
- Wallace, D.C. Mitochondrial DNA Mutations in Disease and Aging. Environ. Mol. Mutagen. 2010, 51, 440–450. [Google Scholar] [CrossRef]
- Hasin, T.; Gerber, Y.; McNallan, S.M.; Weston, S.A.; Kushwaha, S.S.; Nelson, T.J.; Cerhan, J.R.; Roger, V.L. Patients with Heart Failure Have an Increased Risk of Incident Cancer. J. Am. Coll. Cardiol. 2013, 62, 881–886. [Google Scholar] [CrossRef] [PubMed]
- Kobayashi, S.; Yanai, M.; Hanagama, M.; Yamanda, S. Burden of Chronic Obstructive Pulmonary Disease in the Elderly Population. Respir. Investig. 2014, 52, 296–301. [Google Scholar] [CrossRef]
- Figueira Gonçalves, J.M.; Dorta Sánchez, R.; Pérez Méndez, L.I.; Pérez Negrín, L.; García-Talavera, I.; Pérez Rodríguez, A.; Díaz Pérez, D.; Viña Manrique, P.; Guzmán Sáenz, C. Incidence of Cancer in Outpatients with Chronic Obstructive Pulmonary Disease. Rev. Clin. Esp. Engl. Ed. 2017, 217, 387–393. [Google Scholar] [CrossRef] [PubMed]
- Chen, D.S.; Mellman, I. Oncology Meets Immunology: The Cancer-Immunity Cycle. Immunity 2013, 39, 1–10. [Google Scholar] [CrossRef] [PubMed]
- Rodríguez, M.; Domingo, E.; Municio, C.; Alvarez, Y.; Hugo, E.; Fernández, N.; Sánchez Crespo, M. Polarization of the Innate Immune Response by Prostaglandin E2: A Puzzle of Receptors and Signals. Mol. Pharmacol. 2014, 85, 187–197. [Google Scholar] [CrossRef]
- Hatfield, S.M.; Kjaergaard, J.; Lukashev, D.; Schreiber, T.H.; Belikoff, B.; Abbott, R.; Sethumadhavan, S.; Philbrook, P.; Ko, K.; Cannici, R.; et al. Immunological Mechanisms of the Antitumor Effects of Supplemental Oxygenation. Sci. Transl. Med. 2015, 7, 277ra30. [Google Scholar] [CrossRef] [PubMed]
- Hernández-Jiménez, E.; Cubillos-Zapata, C.; Toledano, V.; de Diego, R.; Fernández-Navarro, I.; Casitas, R.; Carpio, C.; Casas-Martín, J.; Valentín, J.; Varela-Serrano, A.; et al. Monocytes Inhibit NK Activity. Eur. Respir. J. 2017, 49, 1602456. [Google Scholar] [CrossRef] [PubMed]
- Krivtsov, A.V.; Feng, Z.; Armstrong, S.A. Transformation from Committed Progenitor to Leukemia Stem Cells. Ann. N. Y. Acad. Sci. 2009, 1176, 144–149. [Google Scholar] [CrossRef]
- Marie-Egyptienne, D.T.; Lohse, I.; Hill, R.P. Cancer Stem Cells, the Epithelial to Mesenchymal Transition (EMT) and Radioresistance: Potential Role of Hypoxia. Cancer Lett. 2013, 341, 63–72. [Google Scholar] [CrossRef]
- Studer, L.; Vera, E.; Cornacchia, D. Programming and Reprogramming Cellular Age in the Era of Induced Pluripotency. Cell Stem Cell 2015, 16, 591–600. [Google Scholar] [CrossRef] [PubMed]
- Najafi, M.; Farhood, B.; Mortezaee, K.; Kharazinejad, E.; Majidpoor, J.; Ahadi, R. Hypoxia in Solid Tumors: A Key Promoter of Cancer Stem Cell (CSC) Resistance. J. Cancer Res. Clin. Oncol. 2020, 146, 19–31. [Google Scholar] [CrossRef] [PubMed]
- De Miguel, M.P.; Alcaina, Y.; de la Maza, D.S.; Lopez-Iglesias, P. Cell Metabolism under Microenvironmental Low Oxygen Tension Levels in Stemness, Proliferation and Pluripotency. Curr. Mol. Med. 2015, 15, 343–359. [Google Scholar] [CrossRef] [PubMed]
- Ojha, R.; Bhattacharyya, S.; Singh, S.K. Autophagy in Cancer Stem Cells: A Potential Link Between Chemoresistance, Recurrence, and Metastasis. Biores. Open Access 2015, 4, 97–108. [Google Scholar] [CrossRef] [PubMed]
- Riggs, J.W.; Barrilleaux, B.L.; Varlakhanova, N.; Bush, K.M.; Chan, V.; Knoepfler, P.S. Induced Pluripotency and Oncogenic Transformation Are Related Processes. Stem Cells Dev. 2013, 22, 37–50. [Google Scholar] [CrossRef] [PubMed]
- Takahashi, K.; Yamanaka, S. Induction of Pluripotent Stem Cells from Mouse Embryonic and Adult Fibroblast Cultures by Defined Factors. Cell 2006, 126, 663–676. [Google Scholar] [CrossRef]
- Takahashi, K.; Tanabe, K.; Ohnuki, M.; Narita, M.; Ichisaka, T.; Tomoda, K.; Yamanaka, S. Induction of Pluripotent Stem Cells from Adult Human Fibroblasts by Defined Factors. Cell 2007, 131, 861–872. [Google Scholar] [CrossRef] [PubMed]
- Okita, K.; Ichisaka, T.; Yamanaka, S. Generation of Germline-Competent Induced Pluripotent Stem Cells. Nature 2007, 448, 313–317. [Google Scholar] [CrossRef] [PubMed]
- López-Iglesias, P.; Alcaina, Y.; Tapia, N.; Sabour, D.; Arauzo-Bravo, M.J.; de la Maza, D.; Berra, E.; O’Mara, A.N.; Nistal, M.; Ortega, S.; et al. Hypoxia Induces Pluripotency in Primordial Germ Cells by HIF1α Stabilization and Oct4 Deregulation. Antioxid. Redox Signal. 2015, 22, 205–223. [Google Scholar] [CrossRef]
- Friedmann-Morvinski, D.; Verma, I.M. Dedifferentiation and Reprogramming: Origins of Cancer Stem Cells. EMBO Rep. 2014, 15, 244–253. [Google Scholar] [CrossRef]
- Jögi, A.; Øra, I.; Nilsson, H.; Lindeheim, A.; Makino, Y.; Poellinger, L.; Axelson, H.; Påhlman, S. Hypoxia Alters Gene Expression in Human Neuroblastoma Cells toward an Immature and Neural Crest-like Phenotype. Proc. Natl. Acad. Sci. USA 2002, 99, 7021–7026. [Google Scholar] [CrossRef] [PubMed]
- Heddleston, J.M.; Li, Z.; Lathia, J.D.; Bao, S.; Hjelmeland, A.B.; Rich, J.N. Hypoxia Inducible Factors in Cancer Stem Cells. Br. J. Cancer 2010, 102, 789–795. [Google Scholar] [CrossRef]
- Axelson, H.; Fredlund, E.; Ovenberger, M.; Landberg, G.; Påhlman, S. Hypoxia-Induced Dedifferentiation of Tumor Cells--a Mechanism behind Heterogeneity and Aggressiveness of Solid Tumors. Semin. Cell Dev. Biol. 2005, 16, 554–563. [Google Scholar] [CrossRef] [PubMed]
- Mathieu, J.; Zhang, Z.; Zhou, W.; Wang, A.J.; Heddleston, J.M.; Pinna, C.M.; Hubaud, A.; Stadler, B.; Choi, M.; Bar, M.; et al. HIF Induces Human Embryonic Stem Cell Markers in Cancer Cells. Cancer Res. 2011, 71, 4640–4652. [Google Scholar] [CrossRef] [PubMed]
- Ward, P.S.; Thompson, C.B. Metabolic Reprogramming: A Cancer Hallmark Even Warburg Did Not Anticipate. Cancer Cell 2012, 21, 297–308. [Google Scholar] [CrossRef] [PubMed]
- Folmes, C.D.; Nelson, T.J.; Terzic, A. Energy Metabolism in Nuclear Reprogramming. Biomark. Med. 2011, 5, 715–729. [Google Scholar] [CrossRef] [PubMed]
- Tan, A.S.; Baty, J.W.; Berridge, M.V. The Role of Mitochondrial Electron Transport in Tumorigenesis and Metastasis. Biochim. Biophys. Acta Gen. Subj. 2014, 1840, 1454–1463. [Google Scholar] [CrossRef] [PubMed]
- Zhou, G.; Dada, L.A.; Wu, M.; Kelly, A.; Trejo, H.; Zhou, Q.; Varga, J.; Sznajder, J.I. Hypoxia-Induced Alveolar Epithelial-Mesenchymal Transition Requires Mitochondrial ROS and Hypoxia-Inducible Factor 1. Am. J. Physiol. Lung Cell Mol. Physiol. 2009, 297, L1120–L1130. [Google Scholar] [CrossRef] [PubMed]
- De la Maza, D.; Moratilla, A.; Aparicio, V.; Lorca, C.; Alcaina, Y.; Martín, D.; De Miguel, M.P. Metabolic Reprogramming, Autophagy, and Reactive Oxygen Species Are Necessary for Primordial Germ Cell Reprogramming into Pluripotency. Oxid. Med. Cell Longev. 2017, 2017, 4745252. [Google Scholar] [CrossRef]
- Hanahan, D.; Weinberg, R.A. Hallmarks of Cancer: The next Generation. Cell 2011, 144, 646–674. [Google Scholar] [CrossRef]
- Intlekofer, A.M.; Finley, L.W.S. Metabolic Signatures of Cancer Cells and Stem Cells. Nat. Metab. 2019, 1, 177–188. [Google Scholar] [CrossRef]
- Sridharan, R.; Tchieu, J.; Mason, M.J.; Yachechko, R.; Kuoy, E.; Horvath, S.; Zhou, Q.; Plath, K. Role of the Murine Reprogramming Factors in the Induction of Pluripotency. Cell 2009, 136, 364–377. [Google Scholar] [CrossRef]
- Huyghe, A.; Furlan, G.; Schroeder, J.; Cascales, E.; Trajkova, A.; Ruel, M.; Stüder, F.; Larcombe, M.; Yang Sun, Y.B.; Mugnier, F.; et al. Comparative Roadmaps of Reprogramming and Oncogenic Transformation Identify Bcl11b and Atoh8 as Broad Regulators of Cellular Plasticity. Nat. Cell Biol. 2022, 24, 1350–1363. [Google Scholar] [CrossRef] [PubMed]
- Arnalich-Montiel, F.; Moratilla, A.; Fuentes-Julián, S.; Aparicio, V.; Martin, M.C.; Peh, G.; Mehta, J.S.; Adnan, K.; Porrua, L.; Pérez-Sarriegui, A.; et al. Treatment of Corneal Endothelial Damage in a Rabbit Model with a Bioengineered Graft Using Human Decellularized Corneal Lamina and Cultured Human Corneal Endothelium. PLoS ONE 2019, 14, e0225480. [Google Scholar] [CrossRef] [PubMed]
- Verma, S.; Kushwaha, P.P.; Shankar, E.; Ponsky, L.E.; Gupta, S. Increased Cytokine Gene Expression and Cognition Risk Associated with Androgen Deprivation Therapy. Prostate 2022, 82, 1389–1399. [Google Scholar] [CrossRef]
- Walsh, P.; Truong, V.; Hill, C.; Stoflet, N.D.; Baden, J.; Low, W.C.; Keirstead, S.A.; Dutton, J.R.; Parr, A.M. Defined Culture Conditions Accelerate Small-Molecule-Assisted Neural Induction for the Production of Neural Progenitors from Human-Induced Pluripotent Stem Cells. Cell Transplant. 2017, 26, 1890–1902. [Google Scholar] [CrossRef] [PubMed]
- Jafari, N.; Nasiran Najafabadi, A.; Hamzei, B.; Ataee, N.; Ghasemi, Z.; Sadeghian-Rizi, T.; Honardoost, M.A.; Zamani, A.; Dolatabadi, N.F.; Tabatabaeian, H. ESRG, LINC00518 and PWRN1 Are Newly-Identified Deregulated LncRNAs in Colorectal Cancer. Exp. Mol. Pathol. 2022, 124, 104732. [Google Scholar] [CrossRef] [PubMed]
- Chu, X.; Di, C.; Chang, P.; Li, L.; Feng, Z.; Xiao, S.; Yan, X.; Xu, X.; Li, H.; Qi, R.; et al. Lactylated Histone H3K18 as a Potential Biomarker for the Diagnosis and Predicting the Severity of Septic Shock. Front. Immunol. 2022, 12, 786666. [Google Scholar] [CrossRef]
- Richtig, G.; Aigelsreiter, A.; Schwarzenbacher, D.; Ress, A.L.; Adiprasito, J.B.; Stiegelbauer, V.; Hoefler, G.; Schauer, S.; Kiesslich, T.; Kornprat, P.; et al. SOX9 Is a Proliferation and Stem Cell Factor in Hepatocellular Carcinoma and Possess Widespread Prognostic Significance in Different Cancer Types. PLoS ONE 2017, 12, e0187814. [Google Scholar] [CrossRef]
- Atkuri, K.R.; Herzenberg, L.A.; Niemi, A.-K.; Cowan, T.; Herzenberg, L.A. Importance of Culturing Primary Lymphocytes at Physiological Oxygen Levels. Proc. Natl. Acad. Sci. USA 2007, 104, 4547–4552. [Google Scholar] [CrossRef]
- Ferguson, L.P.; Diaz, E.; Reya, T. The Role of the Microenvironment and Immune System in Regulating Stem Cell Fate in Cancer. Trends Cancer 2021, 7, 624–634. [Google Scholar] [CrossRef] [PubMed]
- Reya, T.; Morrison, S.J.; Clarke, M.F.; Weissman, I.L. Stem Cells, Cancer, and Cancer Stem Cells. Nature 2001, 414, 105–111. [Google Scholar] [CrossRef] [PubMed]
- Brouwer, M.; Zhou, H.; Nadif Kasri, N. Choices for Induction of Pluripotency: Recent Developments in Human Induced Pluripotent Stem Cell Reprogramming Strategies. Stem Cell Rev. Rep. 2016, 12, 54–72. [Google Scholar] [CrossRef] [PubMed]
- Yu, J.; Vodyanik, M.A.; Smuga-Otto, K.; Antosiewicz-Bourget, J.; Frane, J.L.; Tian, S.; Nie, J.; Jonsdottir, G.A.; Ruotti, V.; Stewart, R.; et al. Induced Pluripotent Stem Cell Lines Derived from Human Somatic Cells. Science 2007, 318, 1917–1920. [Google Scholar] [CrossRef] [PubMed]
- Eminli, S.; Foudi, A.; Stadtfeld, M.; Maherali, N.; Ahfeldt, T.; Mostoslavsky, G.; Hock, H.; Hochedlinger, K. Differentiation Stage Determines Potential of Hematopoietic Cells for Reprogramming into Induced Pluripotent Stem Cells. Nat. Genet. 2009, 41, 968–976. [Google Scholar] [CrossRef] [PubMed]
- Stadtfeld, M.; Nagaya, M.; Utikal, J.; Weir, G.; Hochedlinger, K. Induced Pluripotent Stem Cells Generated without Viral Integration. Science 2008, 322, 945–949. [Google Scholar] [CrossRef] [PubMed]
- Okita, K.; Nakagawa, M.; Hyenjong, H.; Ichisaka, T.; Yamanaka, S. Generation of Mouse Induced Pluripotent Stem Cells Without Viral Vectors. Science 2008, 322, 949–953. [Google Scholar] [CrossRef] [PubMed]
- De Miguel, M.P.; Fuentes-Julián, S.; Alcaina, Y. Pluripotent Stem Cells: Origin, Maintenance and Induction. Stem Cell Rev. Rep. 2010, 6, 633–649. [Google Scholar] [CrossRef] [PubMed]
- Okita, K.; Yamanaka, S. Induced Pluripotent Stem Cells: Opportunities and Challenges. Philos. Trans. R. Soc. Lond. B Biol. Sci. 2011, 366, 2198–2207. [Google Scholar] [CrossRef]
- Okita, K.; Yamakawa, T.; Matsumura, Y.; Sato, Y.; Amano, N.; Watanabe, A.; Goshima, N.; Yamanaka, S. An Efficient Nonviral Method to Generate Integration-Free Human-Induced Pluripotent Stem Cells from Cord Blood and Peripheral Blood Cells. Stem Cells 2013, 31, 458–466. [Google Scholar] [CrossRef]
- Loh, Y.H.; Hartung, O.; Li, H.; Guo, C.; Sahalie, J.M.; Manos, P.D.; Urbach, A.; Heffner, G.C.; Grskovic, M.; Vigneault, F.; et al. Reprogramming of T Cells from Human Peripheral Blood. Cell Stem Cell 2010, 7, 15–19. [Google Scholar] [CrossRef] [PubMed]
- Kunisato, A.; Wakatsuki, M.; Kodama, Y.; Shinba, H.; Ishida, I.; Nagao, K. Generation of Induced Pluripotent Stem Cells by Efficient Reprogramming of Adult Bone Marrow Cells. Stem Cells Dev. 2010, 19, 229–238. [Google Scholar] [CrossRef] [PubMed]
- Buganim, Y.; Faddah, D.A.; Cheng, A.W.; Itskovich, E.; Markoulaki, S.; Ganz, K.; Klemm, S.L.; Van Oudenaarden, A.; Jaenisch, R. Single-Cell Expression Analyses during Cellular Reprogramming Reveal an Early Stochastic and a Late Hierarchic Phase. Cell 2012, 150, 1209–1222. [Google Scholar] [CrossRef] [PubMed]
- Wang, D.; Liu, K.; Yang, Y.; Wang, T.; Rao, Q.; Guo, W.; Zhang, Z. Prognostic Value of Leukemia Inhibitory Factor and Its Receptor in Pancreatic Adenocarcinoma. Future Oncol. 2019, 16, 4461–4473. [Google Scholar] [CrossRef] [PubMed]
- Seki, T.; Yuasa, S.; Oda, M.; Egashira, T.; Yae, K.; Kusumoto, D.; Nakata, H.; Tohyama, S.; Hashimoto, H.; Kodaira, M.; et al. Generation of Induced Pluripotent Stem Cells from Human Terminally Differentiated Circulating t Cells. Cell Stem Cell 2010, 7, 11–14. [Google Scholar] [CrossRef] [PubMed]
- Iida, K.; Takeda-Kawaguchi, T.; Hada, M.; Yuriguchi, M.; Aoki, H.; Tamaoki, N.; Hatakeyama, D.; Kunisada, T.; Shibata, T.; Tezuka, K. Hypoxia-Enhanced Derivation of IPSCs from Human Dental Pulp Cells. J. Dent. Res. 2013, 92, 905–910. [Google Scholar] [CrossRef] [PubMed]
- Yoshida, Y.; Takahashi, K.; Okita, K.; Ichisaka, T.; Yamanaka, S. Hypoxia Enhances the Generation of Induced Pluripotent Stem Cells. Cell Stem Cell 2009, 5, 237–241. [Google Scholar] [CrossRef] [PubMed]
- Verhoeckx, K.; Cotter, P.; López-Expósito, I.; Kleiveland, C.; Lea, T.; Mackie, A.; Requena, T.; Swiatecka, D.; Wickers, H. The Impact of Food Bioactives on Health; Springer: Cham, Switerland, 2015; ISBN 978-3-319-15791-7. [Google Scholar] [CrossRef]
- Chacko, B.K.; Kramer, P.A.; Ravi, S.; Johnson, M.S.; Hardy, R.W.; Ballinger, S.W.; Darley-Usmar, V.M. Methods for Defining Distinct Bioenergetic Profiles in Platelets, Lymphocytes, Monocytes, and Neutrophils, and the Oxidative Burst from Human Blood. Lab. Investig. 2013, 93, 690–700. [Google Scholar] [CrossRef] [PubMed]
- Pence, B.D.; Yarbro, J.R. Aging Impairs Mitochondrial Respiratory Capacity in Classical Monocytes. Exp. Gerontol. 2018, 108, 112–117. [Google Scholar] [CrossRef]
- Karwacki-Neisius, V.; Göke, J.; Osorno, R.; Halbritter, F.; Ng, J.H.; Weiße, A.Y.; Wong, F.C.K.; Gagliardi, A.; Mullin, N.P.; Festuccia, N.; et al. Reduced Oct4 Expression Directs a Robust Pluripotent State with Distinct Signaling Activity and Increased Enhancer Occupancy by Oct4 and Nanog. Cell Stem Cell 2013, 12, 531–545. [Google Scholar] [CrossRef]
- Radzisheuskaya, A.; Le Bin Chia, G.; Dos Santos, R.L.; Theunissen, T.W.; Castro, L.F.C.; Nichols, J.; Silva, J.C.R. A Defined Oct4 Level Governs Cell State Transitions of Pluripotency Entry and Differentiation into All Embryonic Lineages. Nat. Cell. Biol. 2013, 15, 579–590. [Google Scholar] [CrossRef]
- Caldwell, C.C.; Kojima, H.; Lukashev, D.; Armstrong, J.; Farber, M.; Apasov, S.G.; Sitkovsky, M.V. Differential Effects of Physiologically Relevant Hypoxic Conditions on T Lymphocyte Development and Effector Functions. J. Inmunol. 2001, 167, 6140–6149. [Google Scholar] [CrossRef]
- Stoller, J.K.; Hill, N.S. Respiratory Monitoring in Critical Care. In Goldman’s Cecil Medicine; Elsevier: Amsterdam, The Netherlands, 2012; pp. 626–629. [Google Scholar] [CrossRef]
- Vijayan, V.K. Chronic Obstructive Pulmonary Disease. Indian J. Med. Res. 2013, 137, 251–269. [Google Scholar] [PubMed]
- Hirschey, M.D.; DeBerardinis, R.J.; Diehl, A.M.E.; Drew, J.E.; Frezza, C.; Green, M.F.; Jones, L.W.; Ko, Y.H.; Le, A.; Lea, M.A.; et al. Dysregulated Metabolism Contributes to Oncogenesis. Semin. Cancer Biol. 2015, 35, S129–S150. [Google Scholar] [CrossRef]
- Zhang, C.; Samanta, D.; Lu, H.; Bullen, J.W.; Zhang, H.; Chen, I.; He, X.; Semenza, G.L. Hypoxia Induces the Breast Cancer Stem Cell Phenotype by HIF-Dependent and ALKBH5-Mediated M6A-Demethylation of NANOG MRNA. Proc. Natl. Acad. Sci. USA 2016, 113, E2047–E2056. [Google Scholar] [CrossRef]
- Semenza, G.L. Hypoxia-Inducible Factors in Physiology and Medicine. Cell 2012, 148, 399–408. [Google Scholar] [CrossRef]
- Shay, J.E.; Imtiyaz, H.Z.; Sivanand, S.; Durham, A.C.; Skuli, N.; Hsu, S.; Mucaj, V.; Eisinger-Mathason, T.S.; Krock, B.L.; Giannoukos, D.N.; et al. Inhibition of Hypoxia-Inducible Factors Limits Tumor Progression in a Mouse Model of Colorectal Cancer. Carcinogenesis 2014, 35, 1067–1077. [Google Scholar] [CrossRef] [PubMed]
- Greenhough, A.; Bagley, C.; Heesom, K.J.; Gurevich, D.B.; Gay, D.; Bond, M.; Collard, T.J.; Paraskeva, C.; Martin, P.; Sansom, O.J.; et al. Cancer Cell Adaptation to Hypoxia Involves a HIF-GPRC5A-YAP Axis. EMBO Mol. Med. 2018, 10, e8699. [Google Scholar] [CrossRef]
- Wilson, W.R.; Hay, M.P. Targeting Hypoxia in Cancer Therapy. Nat. Rev. Cancer 2011, 11, 393–410. [Google Scholar] [CrossRef] [PubMed]
- Kim, H.; Jang, H.; Kim, T.W.; Kang, B.H.; Lee, S.E.; Jeon, Y.K.; Chung, D.H.; Choi, J.; Shin, J.; Cho, E.J.; et al. Core Pluripotency Factors Directly Regulate Metabolism in Embryonic Stem Cell to Maintain Pluripotency. Stem Cells 2015, 33, 2699–2711. [Google Scholar] [CrossRef]
- Reid, M.A.; Dai, Z.; Locasale, J.W. The Impact of Cellular Metabolism on Chromatin Dynamics and Epigenetics. Nat. Cell Biol. 2017, 19, 1298–1306. [Google Scholar] [CrossRef] [PubMed]
- Moratilla, A.; de la Maza, D.; Cadenas Martin, M.; López-Iglesias, P.; González-Peramato, P.; De Miguel, M.P. Inhibition of PKCε Induces Primordial Germ Cell Reprogramming into Pluripotency by HIF1&2 Upregulation and Histone Acetylation. Am. J. Stem Cells 2021, 10, 1–17. [Google Scholar] [PubMed]
- Hatfield, S.; Veszeleiova, K.; Steingold, J.; Sethuraman, J. Hypoxia and Cancer Metastasis; Springer: Cham, Switerland, 2019; Volume 1136, pp. 113–121. [Google Scholar] [CrossRef]
- Skwarski, M.; McGowan, D.R.; Belcher, E.; Di Chiara, F.; Stavroulias, D.; McCole, M.; Derham, J.L.; Chu, K.Y.; Teoh, E.; Chauhan, J.; et al. Mitochondrial Inhibitor Atovaquone Increases Tumor Oxygenation and Inhibits Hypoxic Gene Expression in Patients with Non-Small Cell Lung Cancer. Clin. Cancer Res. 2021, 27, 2459–2469. [Google Scholar] [CrossRef] [PubMed]
- Burtscher, J.; Mallet, R.T.; Pialoux, V.; Millet, G.P.; Burtscher, M. Adaptive Responses to Hypoxia and/or Hyperoxia in Humans. Antioxid. Redox Signal. 2022, 37, 887–912. [Google Scholar] [CrossRef]
- Feinberg, M.W.; Wara, A.K.; Cao, Z.; Lebedeva, M.A.; Rosenbauer, F.; Iwasaki, H.; Hirai, H.; Katz, J.P.; Haspel, R.L.; Gray, S.; et al. The Kruppel-like Factor KLF4 Is a Critical Regulator of Monocyte Differentiation. EMBO J. 2007, 26, 4138–4148. [Google Scholar] [CrossRef]










Disclaimer/Publisher’s Note: The statements, opinions and data contained in all publications are solely those of the individual author(s) and contributor(s) and not of MDPI and/or the editor(s). MDPI and/or the editor(s) disclaim responsibility for any injury to people or property resulting from any ideas, methods, instructions or products referred to in the content. |
© 2024 by the authors. Licensee MDPI, Basel, Switzerland. This article is an open access article distributed under the terms and conditions of the Creative Commons Attribution (CC BY) license (https://creativecommons.org/licenses/by/4.0/).
Share and Cite
Moratilla, A.; Martín, D.; Cadenas-Martín, M.; Stokking, M.; Quesada, M.A.; Arnalich, F.; De Miguel, M.P. Hypoxia Increases the Efficiencies of Cellular Reprogramming and Oncogenic Transformation in Human Blood Cell Subpopulations In Vitro and In Vivo. Cells 2024, 13, 971. https://doi.org/10.3390/cells13110971
Moratilla A, Martín D, Cadenas-Martín M, Stokking M, Quesada MA, Arnalich F, De Miguel MP. Hypoxia Increases the Efficiencies of Cellular Reprogramming and Oncogenic Transformation in Human Blood Cell Subpopulations In Vitro and In Vivo. Cells. 2024; 13(11):971. https://doi.org/10.3390/cells13110971
Chicago/Turabian StyleMoratilla, Adrián, Diana Martín, Marta Cadenas-Martín, Martha Stokking, Maria Angustias Quesada, Francisco Arnalich, and Maria P. De Miguel. 2024. "Hypoxia Increases the Efficiencies of Cellular Reprogramming and Oncogenic Transformation in Human Blood Cell Subpopulations In Vitro and In Vivo" Cells 13, no. 11: 971. https://doi.org/10.3390/cells13110971
APA StyleMoratilla, A., Martín, D., Cadenas-Martín, M., Stokking, M., Quesada, M. A., Arnalich, F., & De Miguel, M. P. (2024). Hypoxia Increases the Efficiencies of Cellular Reprogramming and Oncogenic Transformation in Human Blood Cell Subpopulations In Vitro and In Vivo. Cells, 13(11), 971. https://doi.org/10.3390/cells13110971

