No Evidence of Sensory Neuropathy in a Traditional Mouse Model of Idiopathic Parkinson’s Disease
Abstract
1. Introduction
2. Materials and Methods
2.1. Animals
2.2. Stereotaxic Surgery
2.3. General Health and Motor Testing
2.3.1. Open Field
2.3.2. Grip Strength
2.3.3. Rotarod
2.3.4. Hindlimb Stepping
2.3.5. Gait Test
2.4. Gut Motility
2.5. Sensory Testing
2.5.1. Hargreaves Test
2.5.2. Tail Flick Test
2.5.3. Cold Plantar Test
2.5.4. Hot- and Cold-Exploration Test
2.5.5. Von Frey Test
2.6. Pathological Analyses
2.6.1. Histochemistry
2.6.2. Immunohistochemistry and Stereology
2.6.3. Whole-Slide Scanning and 2D Estimation of SNpc TH-Positive Neurons
2.6.4. Immunofluorescence
2.7. Image Analyses for Immunofluorescence
2.8. Statistics
3. Results
3.1. Intrastriatal Rotenone Reduces Dopaminergic Terminals in Striatum and Loss of Dopaminergic Neurons in SNpc
3.2. Intrastriatal Rotenone Causes Inflammation in the SN
3.3. Body Weight and Open Field Activity
3.4. Intrastriatal Rotenone Induces Mild Changes in Gait and Does Not Affect Grip Strength
3.5. Intrastriatal Rotenone Induces Progressive Motor Impairment in Sensitive Tests of Motor Coordination, Balance and Fine Movement
3.6. Intrastriatal Rotenone Causes No Change in Gastrointestinal Motility or Gastrointestinal Pathology
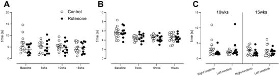
3.7. Intrastriatal Rotenone Induces No Change in Sensitivity to Heat or Cold
3.8. Intrastriatal Rotenone Causes No Change in Sensation of Touch
3.9. No Empirical Preference for Hot or Cold
3.10. Group Size Calculations
4. Discussion
Supplementary Materials
Author Contributions
Funding
Institutional Review Board Statement
Data Availability Statement
Acknowledgments
Conflicts of Interest
Abbreviations
| 6-OHDA | 6-hydroxydopamine |
| GFAP | glial fibrillary acidic protein |
| GI | gastrointestinal |
| LAMP1 | Lysosomal-associated membrane protein |
| MPTP | 1-methyl-4-phenyl-1,2,3,6-tetrahydropyridine |
| PD | Parkinson’s disease |
| PGP9.5 | protein gene product 9.5 also ubiquitin carboxyl-terminal hydrolase-1 |
| PN | peripheral neuropathy |
| ROI | region of interest |
| SNpc | Substantia nigra pars compacta |
| SNpr | Substantia nigra pars reticulata |
References
- Ben-Shlomo, Y.; Darweesh, S.; Llibre-Guerra, J.; Marras, C.; San Luciano, M.; Tanner, C. The Epidemiology of Parkinson’s Disease. Lancet 2024, 403, 283–292. [Google Scholar] [CrossRef] [PubMed]
- Berardelli, A.; Wenning, G.K.; Antonini, A.; Berg, D.; Bloem, B.R.; Bonifati, V.; Brooks, D.; Burn, D.J.; Colosimo, C.; Fanciulli, A.; et al. EFNS/MDS-ES Recommendations for the Diagnosis of Parkinson’s Disease. Eur. J. Neurol. 2013, 20, 16–34. [Google Scholar] [CrossRef] [PubMed]
- Morris, H.R.; Spillantini, M.G.; Sue, C.M.; Williams-Gray, C.H. The Pathogenesis of Parkinson’s Disease. Lancet Lond. Engl. 2024, 403, 293–304. [Google Scholar] [CrossRef] [PubMed]
- Poewe, W.; Seppi, K.; Tanner, C.M.; Halliday, G.M.; Brundin, P.; Volkmann, J.; Schrag, A.E.; Lang, A.E. Parkinson Disease. Nat. Rev. Dis. Primer 2017, 3, 17013. [Google Scholar] [CrossRef]
- Schrag, A.; Bohlken, J.; Dammertz, L.; Teipel, S.; Hermann, W.; Akmatov, M.K.; Bätzing, J.; Holstiege, J. Widening the Spectrum of Risk Factors, Comorbidities, and Prodromal Features of Parkinson Disease. JAMA Neurol. 2023, 80, 161–171. [Google Scholar] [CrossRef] [PubMed]
- Kuzkina, A.; Schulmeyer, L.; Monoranu, C.-M.; Volkmann, J.; Sommer, C.; Doppler, K. The Aggregation State of α-Synuclein Deposits in Dermal Nerve Fibers of Patients with Parkinson’s Disease Resembles That in the Brain. Parkinsonism Relat. Disord. 2019, 64, 66–72. [Google Scholar] [CrossRef] [PubMed]
- Okuzumi, A.; Hatano, T.; Matsumoto, G.; Nojiri, S.; Ueno, S.; Imamichi-Tatano, Y.; Kimura, H.; Kakuta, S.; Kondo, A.; Fukuhara, T.; et al. Propagative α-Synuclein Seeds as Serum Biomarkers for Synucleinopathies. Nat. Med. 2023, 29, 1448–1455. [Google Scholar] [CrossRef] [PubMed]
- Comi, C.; Magistrelli, L.; Oggioni, G.D.; Carecchio, M.; Fleetwood, T.; Cantello, R.; Mancini, F.; Antonini, A. Peripheral Nervous System Involvement in Parkinson’s Disease: Evidence and Controversies. Park. Relat. Disord. 2014, 20, 1329–1334. [Google Scholar] [CrossRef] [PubMed]
- Paul, D.A.; Qureshi, A.R.M.; Rana, A.Q. Peripheral Neuropathy in Parkinson’s Disease. Neurol. Sci. 2020, 41, 2691–2701. [Google Scholar] [CrossRef] [PubMed]
- Zis, P.; Grünewald, R.A.; Chaudhuri, R.K.; Hadjivassiliou, M. Peripheral Neuropathy in Idiopathic Parkinson’s Disease: A Systematic Review. J. Neurol. Sci. 2017, 378, 204–209. [Google Scholar] [CrossRef] [PubMed]
- Ball, N.; Teo, W.P.; Chandra, S.; Chapman, J. Parkinson’s Disease and the Environment. Front. Neurol. 2019, 10, 421551. [Google Scholar] [CrossRef] [PubMed]
- Innos, J.; Hickey, M.A. Using Rotenone to Model Parkinson’s Disease in Mice: A Review of the Role of Pharmacokinetics. Chem. Res. Toxicol. 2021, 34, 1223–1239. [Google Scholar] [CrossRef] [PubMed]
- Tanner, C.M.; Kamel, F.; Ross, G.W.; Hoppin, J.A.; Goldman, S.M.; Korell, M.; Marras, C.; Bhudhikanok, G.S.; Kasten, M.; Chade, A.R.; et al. Rotenone, Paraquat, and Parkinson’s Disease. Environ. Health Perspect. 2011, 119, 866–872. [Google Scholar] [CrossRef] [PubMed]
- Martinez, T.N.; Greenamyre, J.T. Toxin Models of Mitochondrial Dysfunction in Parkinson’s Disease. Antioxid. Redox Signal. 2012, 16, 920–934. [Google Scholar] [CrossRef] [PubMed]
- Duty, S.; Jenner, P. Animal Models of Parkinson’s Disease: A Source of Novel Treatments and Clues to the Cause of the Disease. Br. J. Pharmacol. 2011, 164, 1357–1391. [Google Scholar] [CrossRef] [PubMed]
- Pan-Montojo, F.; Anichtchik, O.; Dening, Y.; Knels, L.; Pursche, S.; Jung, R.; Jackson, S.; Gille, G.; Spillantini, M.G.; Reichmann, H.; et al. Progression of Parkinson’s Disease Pathology Is Reproduced by Intragastric Administration of Rotenone in Mice. PLoS ONE 2010, 5, e8762. [Google Scholar] [CrossRef] [PubMed]
- Pan-Montojo, F.; Schwarz, M.; Winkler, C.; Arnhold, M.; O’Sullivan, G.A.; Pal, A.; Said, J.; Marsico, G.; Verbavatz, J.-M.; Rodrigo-Angulo, M.; et al. Environmental Toxins Trigger PD-like Progression via Increased Alpha-Synuclein Release from Enteric Neurons in Mice. Sci. Rep. 2012, 2, 898. [Google Scholar] [CrossRef] [PubMed]
- Miyazaki, I.; Isooka, N.; Imafuku, F.; Sun, J.; Kikuoka, R.; Furukawa, C.; Asanuma, M. Chronic Systemic Exposure to Low-Dose Rotenone Induced Central and Peripheral Neuropathology and Motor Deficits in Mice: Reproducible Animal Model of Parkinson’s Disease. Int. J. Mol. Sci. 2020, 21, 3254. [Google Scholar] [CrossRef] [PubMed]
- Perez-Pardo, P.; Dodiya, H.B.; Broersen, L.M.; Douna, H.; van Wijk, N.; Lopes da Silva, S.; Garssen, J.; Keshavarzian, A.; Kraneveld, A.D. Gut–Brain and Brain–Gut Axis in Parkinson’s Disease Models: Effects of a Uridine and Fish Oil Diet. Nutr. Neurosci. 2018, 21, 391–402. [Google Scholar] [CrossRef]
- Rojas, J.C.; Simola, N.; Kermath, B.A.; Kane, J.R.; Schallert, T.; Gonzalez-Lima, F. Striatal Neuroprotection with Methylene Blue. Neuroscience 2009, 163, 877–889. [Google Scholar] [CrossRef] [PubMed][Green Version]
- Carriere, C.H.; Kang, N.H.; Niles, L.P. Chronic Low-Dose Melatonin Treatment Maintains Nigrostriatal Integrity in an Intrastriatal Rotenone Model of Parkinson’s Disease. Brain Res. 2016, 1633, 115–125. [Google Scholar] [CrossRef] [PubMed]
- Zhang, L.-M.; Wang, M.-H.; Yang, H.-C.; Tian, T.; Sun, G.-F.; Ji, Y.-F.; Hu, W.-T.; Liu, X.; Wang, J.-P.; Lu, H. Dopaminergic Neuron Injury in Parkinson’s Disease Is Mitigated by Interfering lncRNA SNHG14 Expression to Regulate the miR-133b/ α-Synuclein Pathway. Aging 2019, 11, 9264–9279. [Google Scholar] [CrossRef] [PubMed]
- Ramalingam, M.; Huh, Y.-J.; Lee, Y.-I. The Impairments of α-Synuclein and Mechanistic Target of Rapamycin in Rotenone-Induced SH-SY5Y Cells and Mice Model of Parkinson’s Disease. Front. Neurosci. 2019, 13, 1028. [Google Scholar] [CrossRef] [PubMed]
- Perez-Pardo, P.; de Jong, E.M.; Broersen, L.M.; van Wijk, N.; Attali, A.; Garssen, J.; Kraneveld, A.D. Promising Effects of Neurorestorative Diets on Motor, Cognitive, and Gastrointestinal Dysfunction after Symptom Development in a Mouse Model of Parkinson’s Disease. Front. Aging Neurosci. 2017, 9, 57. [Google Scholar] [CrossRef]
- Zeiss, C.J.; Allore, H.G.; Beck, A.P. Established Patterns of Animal Study Design Undermine Translation of Disease-Modifying Therapies for Parkinson’s Disease. PLoS ONE 2017, 12, e0171790. [Google Scholar] [CrossRef] [PubMed]
- Percie Du Sert, N.; Hurst, V.; Ahluwalia, A.; Alam, S.; Avey, M.T.; Baker, M.; Browne, W.J.; Clark, A.; Cuthill, I.C.; Dirnagl, U.; et al. The ARRIVE Guidelines 2.0: Updated Guidelines for Reporting Animal Research. PLoS Biol. 2020, 18, e3000410. [Google Scholar] [CrossRef] [PubMed]
- Faisal, M.; Aid, J.; Nodirov, B.; Lee, B.; Hickey, M.A. Preclinical Trials in Alzheimer’s Disease: Sample Size and Effect Size for Behavioural and Neuropathological Outcomes in 5xFAD Mice. PLoS ONE 2023, 18, e0281003. [Google Scholar] [CrossRef] [PubMed]
- Monville, C.; Torres, E.M.; Dunnett, S.B. Comparison of Incremental and Accelerating Protocols of the Rotarod Test for the Assessment of Motor Deficits in the 6-OHDA Model. J. Neurosci. Methods 2006, 158, 219–223. [Google Scholar] [CrossRef]
- Fleming, S.M.; Ekhator, O.R.; Ghisays, V. Assessment of Sensorimotor Function in Mouse Models of Parkinson’s Disease. J. Vis. Exp. JoVE 2013, 76, e50303. [Google Scholar] [CrossRef] [PubMed]
- Ogawa, M.; Zhou, Y.; Tsuji, R.; Goto, S.; Kasahara, J. Video-Based Assessments of the Hind Limb Stepping in a Mouse Model of Hemi-Parkinsonism. Neurosci. Res. 2020, 154, 56–59. [Google Scholar] [CrossRef] [PubMed]
- Carter, R.J.; Lione, L.A.; Humby, T.; Mangiarini, L.; Mahal, A.; Bates, G.P.; Dunnett, S.B.; Jennifer Morton, A. Characterization of Progressive Motor Deficits in Mice Transgenic for the Human Huntington’s Disease Mutation. J. Neurosci. 1999, 19, 3248–3257. [Google Scholar] [CrossRef] [PubMed]
- Feder, D.; Ierardi, M.; Covre, A.L.; Petri, G.; de Siqueira Carvalho, A.A.; Fonseca, F.L.A.; Bertassoli, B.M. Evaluation of the Gastrointestinal Tract in Mdx Mice: An Experimental Model of Duchenne Muscular Dystrophy. APMIS 2018, 126, 693–699. [Google Scholar] [CrossRef] [PubMed]
- Deuis, J.R.; Dvorakova, L.S.; Vetter, I. Methods Used to Evaluate Pain Behaviors in Rodents. Front. Mol. Neurosci. 2017, 10, 284. [Google Scholar] [CrossRef] [PubMed]
- Brenner, D.S.; Golden, J.P.; Gereau IV, R.W. A Novel Behavioral Assay for Measuring Cold Sensation in Mice. PLoS ONE 2012, 7, e39765. [Google Scholar] [CrossRef] [PubMed]
- Gonzalez-Cano, R.; Boivin, B.; Bullock, D.; Cornelissen, L.; Andrews, N.; Costigan, M. Up-Down Reader: An Open Source Program for Efficiently Processing 50% von Frey Thresholds. Front. Pharmacol. 2018, 9, 354777. [Google Scholar] [CrossRef] [PubMed]
- Schneider, C.A.; Rasband, W.S.; Eliceiri, K.W. NIH Image to ImageJ: 25 Years of Image Analysis. Nat. Methods 2012, 9, 671–675. [Google Scholar] [CrossRef] [PubMed]
- Kreidler, S.M.; Muller, K.E.; Grunwald, G.K.; Ringham, B.M.; Coker-Dukowitz, Z.; Sakhadeo, U.R.; Baron, A.E.; Glueck, D.H. GLIMMPSE: Online Power Computation for Linear Models with and without a Baseline Covariate. J. Stat. Softw. 2013, 54, i10. [Google Scholar] [CrossRef] [PubMed]
- Faul, F.; Erdfelder, E.; Buchner, A.; Lang, A.-G. Statistical Power Analyses Using G*Power 3.1: Tests for Correlation and Regression Analyses. Behav. Res. Methods 2009, 41, 1149–1160. [Google Scholar] [CrossRef] [PubMed]
- Chermenina, M.; Chorell, E.; Pokrzywa, M.; Antti, H.; Almqvist, F.; Strömberg, I.; Wittung-Stafshede, P. Single Injection of Small-Molecule Amyloid Accelerator Results in Cell Death of Nigral Dopamine Neurons in Mice. npj Park. Dis. 2015, 1, 15024. [Google Scholar] [CrossRef] [PubMed]
- Park, J.-H. A Comparison of 2D Image Analysis and Design-Based Stereology for Evaluating Morphological and Anatomical Changes in the Dopaminergic System of the Rotent Midbrain. Ph.D. Thesis, University of Kansas, Lawrence, KS, USA, 2010. [Google Scholar]
- Kam, T.I.; Hinkle, J.T.; Dawson, T.M.; Dawson, V.L. Microglia and Astrocyte Dysfunction in Parkinson’s Disease. Neurobiol. Dis. 2020, 144, 105028. [Google Scholar] [CrossRef] [PubMed]
- Lawrence, J.M.; Schardien, K.; Wigdahl, B.; Nonnemacher, M.R. Roles of Neuropathology-Associated Reactive Astrocytes: A Systematic Review. Acta Neuropathol. Commun. 2023, 11, 42. [Google Scholar] [CrossRef] [PubMed]
- Wenger, N.; Vogt, A.; Skrobot, M.; Garulli, E.L.; Kabaoglu, B.; Salchow-Hömmen, C.; Schauer, T.; Kroneberg, D.; Schuhmann, M.K.; Ip, C.W.; et al. Rodent Models for Gait Network Disorders in Parkinson’s Disease—A Translational Perspective. Exp. Neurol. 2022, 352, 114011. [Google Scholar] [CrossRef] [PubMed]
- Metz, G.A.; Tse, A.; Ballermann, M.; Smith, L.K.; Fouad, K. The Unilateral 6-OHDA Rat Model of Parkinson’s Disease Revisited: An Electromyographic and Behavioural Analysis. Eur. J. Neurosci. 2005, 22, 735–744. [Google Scholar] [CrossRef] [PubMed]
- Fleming, S.M.; Salcedo, J.; Fernagut, P.-O.; Rockenstein, E.; Masliah, E.; Levine, M.S.; Chesselet, M.-F. Early and Progressive Sensorimotor Anomalies in Mice Overexpressing Wild-Type Human -Synuclein. J. Neurosci. 2004, 24, 9434–9440. [Google Scholar] [CrossRef] [PubMed]
- Bloem, B.R.; Okun, M.S.; Klein, C. Parkinson’s Disease. Lancet 2021, 397, 2284–2303. [Google Scholar] [CrossRef] [PubMed]
- Armstrong, M.J.; Okun, M.S. Diagnosis and Treatment of Parkinson Disease: A Review. JAMA 2020, 323, 548. [Google Scholar] [CrossRef] [PubMed]
- Costalos, C.; Gavrili, V.; Skouteri, V.; Gounaris, A. The Effect of Low-Dose Erythromycin on Whole Gastrointestinal Transit Time of Preterm Infants. Early Hum. Dev. 2001, 65, 91–96. [Google Scholar] [CrossRef] [PubMed]
- Koester, S.T.; Li, N.; Lachance, D.M.; Dey, N. Marker-Based Assays for Studying Gut Transit in Gnotobiotic and Conventional Mouse Models. STAR Protoc. 2021, 2, 100938. [Google Scholar] [CrossRef] [PubMed]
- Clairembault, T.; Kamphuis, W.; Leclair-Visonneau, L.; Rolli-Derkinderen, M.; Coron, E.; Neunlist, M.; Hol, E.M.; Derkinderen, P. Enteric GFAP Expression and Phosphorylation in Parkinson’s Disease. J. Neurochem. 2014, 130, 805–815. [Google Scholar] [CrossRef] [PubMed]
- Seguella, L.; Gulbransen, B.D. Enteric Glial Biology, Intercellular Signalling and Roles in Gastrointestinal Disease. Nat. Rev. Gastroenterol. Hepatol. 2021, 18, 571–587. [Google Scholar] [CrossRef]
- Sung, S.; Vijiaratnam, N.; Chan, D.W.C.; Farrell, M.; Evans, A.H. Pain Sensitivity in Parkinson’s Disease: Systematic Review and Meta-Analysis. Parkinsonism Relat. Disord. 2018, 48, 17–27. [Google Scholar] [CrossRef]
- Valek, L.; Tran, B.; Wilken-Schmitz, A.; Trautmann, S.; Heidler, J.; Schmid, T.; Brüne, B.; Thomas, D.; Deller, T.; Geisslinger, G.; et al. Prodromal Sensory Neuropathy in Pink1−/−SNCAA53T Double Mutant Parkinson Mice. Neuropathol. Appl. Neurobiol. 2021, 47, 1060–1079. [Google Scholar] [CrossRef] [PubMed]
- Giguère, N.; Burke Nanni, S.; Trudeau, L.-E. On Cell Loss and Selective Vulnerability of Neuronal Populations in Parkinson’s Disease. Front. Neurol. 2018, 9, 383041. [Google Scholar] [CrossRef] [PubMed]
- Abercrombie, M. Estimation of Nuclear Population from Microtome Sections. Anat. Rec. 1946, 94, 239–247. [Google Scholar] [CrossRef]
- Roberts, H.C.; Syddall, H.E.; Butchart, J.W.; Stack, E.L.; Cooper, C.; Sayer, A.A. The Association of Grip Strength with Severity and Duration of Parkinson’s: A Cross-Sectional Study. Neurorehabil. Neural Repair 2015, 29, 889–896. [Google Scholar] [CrossRef] [PubMed]
- Arazi, H.; Birak Olia, R.B.; Eghbali, E. Are the Digit Ratio (2D:4D) and Hand Grip Strength Related to Parkinson Disease in Elderly Males? BMC Sports Sci. Med. Rehabil. 2023, 15, 34. [Google Scholar] [CrossRef] [PubMed]
- Soliman, H.; Coffin, B.; Gourcerol, G. Gastroparesis in Parkinson Disease: Pathophysiology, and Clinical Management. Brain Sci. 2021, 11, 831. [Google Scholar] [CrossRef]
- Planken, A.; Kurvits, L.; Reimann, E.; Kadastik-Eerme, L.; Kingo, K.; Kõks, S.; Taba, P. Looking beyond the Brain to Improve the Pathogenic Understanding of Parkinson’s Disease: Implications of Whole Transcriptome Profiling of Patients’ Skin. BMC Neurol. 2017, 17, 6. [Google Scholar] [CrossRef] [PubMed]
- Vacchi, E.; Senese, C.; Chiaro, G.; Disanto, G.; Pinton, S.; Morandi, S.; Bertaina, I.; Bianco, G.; Staedler, C.; Galati, S.; et al. Alpha-Synuclein Oligomers and Small Nerve Fiber Pathology in Skin Are Potential Biomarkers of Parkinson’s Disease. Npj Park. Dis. 2021, 7, 119. [Google Scholar] [CrossRef] [PubMed]
- Corrà, M.F.; Vila-Chã, N.; Sardoeira, A.; Hansen, C.; Sousa, A.P.; Reis, I.; Sambayeta, F.; Damásio, J.; Calejo, M.; Schicketmueller, A.; et al. Peripheral Neuropathy in Parkinson’s Disease: Prevalence and Functional Impact on Gait and Balance. Brain 2023, 146, 225–236. [Google Scholar] [CrossRef]
- Lee, J.J.; Baik, J.S. Peripheral Neuropathy in de Novo Patients with Parkinson’s Disease. Yonsei Med. J. 2020, 61, 1050–1053. [Google Scholar] [CrossRef] [PubMed]
- Delamarre, A.; MacSweeney, C.; Suzuki, R.; Brown, A.J.; Li, Q.; Pioli, E.Y.; Bezard, E. Gastrointestinal and Metabolic Function in the MPTP-Treated Macaque Model of Parkinson’s Disease. Heliyon 2020, 6, e05771. [Google Scholar] [CrossRef] [PubMed]
- Li, C.-J.; Zhang, L.-G.; Liu, L.-B.; An, M.-Q.; Dong, L.; Gu, H.-Y.; Dai, Y.-P.; Wang, F.; Mao, C.-J.; Liu, C.-F. Inhibition of Spinal 5-HT3 Receptor and Spinal Dorsal Horn Neuronal Excitability Alleviates Hyperalgesia in a Rat Model of Parkinson’s Disease. Mol. Neurobiol. 2022, 59, 7253–7264. [Google Scholar] [CrossRef]
- Romero-Sánchez, H.A.; Mendieta, L.; Austrich-Olivares, A.M.; Garza-Mouriño, G.; Benitez-Diaz Mirón, M.; Coen, A.; Godínez-Chaparro, B. Unilateral Lesion of the Nigroestriatal Pathway with 6-OHDA Induced Allodynia and Hyperalgesia Reverted by Pramipexol in Rats. Eur. J. Pharmacol. 2020, 869, 172814. [Google Scholar] [CrossRef] [PubMed]
- Egan, K.; Macleod, M. Two Decades Testing Interventions in Transgenic Mouse Models of Alzheimer’s Disease: Designing and Interpreting Studies for Clinical Trial Success. Clin. Investig. 2014, 4, 693–704. [Google Scholar] [CrossRef]
- DeWitt, D.S.; Hawkins, B.E.; Dixon, C.E.; Kochanek, P.M.; Armstead, W.; Bass, C.R.; Bramlett, H.M.; Buki, A.; Dietrich, W.D.; Ferguson, A.R.; et al. Pre-Clinical Testing of Therapies for Traumatic Brain Injury. J. Neurotrauma 2018, 35, 2737–2754. [Google Scholar] [CrossRef] [PubMed]
- Pauls, K.A.M.; Toppila, J.; Koivu, M.; Eerola-Rautio, J.; Udd, M.; Pekkonen, E. Polyneuropathy Monitoring in Parkinson’s Disease Patients Treated with Levodopa/Carbidopa Intestinal Gel. Brain Behav. 2021, 11, e2408. [Google Scholar] [CrossRef] [PubMed]
- Romagnolo, A.; Merola, A.; Artusi, C.A.; Rizzone, M.G.; Zibetti, M.; Lopiano, L. Levodopa-Induced Neuropathy: A Systematic Review. Mov. Disord. Clin. Pract. 2019, 6, 96–103. [Google Scholar] [CrossRef] [PubMed]
- Tsilidis, K.K.; Panagiotou, O.A.; Sena, E.S.; Aretouli, E.; Evangelou, E.; Howells, D.W.; Salman, R.A.-S.; Macleod, M.R.; Ioannidis, J.P.A. Evaluation of Excess Significance Bias in Animal Studies of Neurological Diseases. PLoS Biol. 2013, 11, e1001609. [Google Scholar] [CrossRef] [PubMed]









| Behavioral Outcome Measure | Group Size Required to See a 50% Change from Control α = 0.05 80% Power | Group Size Required to See a 30% Change from Control α = 0.05 80% Power | ||||
|---|---|---|---|---|---|---|
| Single-Timepoint Testing | Repeated Testing | Single-Timepoint Testing | Repeated Testing | |||
| ClinCalc | G-Power | Glimmpse | ClinCalc | G-Power | Glimmpse | |
| Open field distance | 6 | 7 | 10 1 | 15 | 17 | 24 1 |
| Grip strength (all four paws) | 0 2 | 2 | 3 1 | 1 | 3 | 4 1 |
| Grip strength (fore paws) | 5 | 6 | 3 1 | 13 | 14 | 5 1 |
| Hindlimb stepping | 2 | 4 | 9 1 | 5 | 7 | 23 1 |
| Rotarod | 6 | 8 | 23 3 | 18 | 19 | 62 3 |
| Tail flick | 6 | 7 | 3 1 | 16 | 17 | 4 1 |
| Hargreaves | 3 | 5 | 9 1 | 9 | 11 | 23 1 |
| von Frey | 14 | 16 | 9 1 | 39 | 41 | 23 1 |
| Cold plantar | 6 | 7 | 9 4 | 16 | 17 | 21 4 |
| Hot and and cold preference | 11 | 13 | 7 5 | 30 | 32 | 16 5 |
| Gut motility | 4 | 6 | 7 1 | 11 | 12 | 18 1 |
Disclaimer/Publisher’s Note: The statements, opinions and data contained in all publications are solely those of the individual author(s) and contributor(s) and not of MDPI and/or the editor(s). MDPI and/or the editor(s) disclaim responsibility for any injury to people or property resulting from any ideas, methods, instructions or products referred to in the content. |
© 2024 by the authors. Licensee MDPI, Basel, Switzerland. This article is an open access article distributed under the terms and conditions of the Creative Commons Attribution (CC BY) license (https://creativecommons.org/licenses/by/4.0/).
Share and Cite
Faisal, M.; Rusetskaya, A.; Väli, L.; Taba, P.; Minajeva, A.; Hickey, M.A. No Evidence of Sensory Neuropathy in a Traditional Mouse Model of Idiopathic Parkinson’s Disease. Cells 2024, 13, 799. https://doi.org/10.3390/cells13100799
Faisal M, Rusetskaya A, Väli L, Taba P, Minajeva A, Hickey MA. No Evidence of Sensory Neuropathy in a Traditional Mouse Model of Idiopathic Parkinson’s Disease. Cells. 2024; 13(10):799. https://doi.org/10.3390/cells13100799
Chicago/Turabian StyleFaisal, Mahvish, Anna Rusetskaya, Liis Väli, Pille Taba, Ave Minajeva, and Miriam A. Hickey. 2024. "No Evidence of Sensory Neuropathy in a Traditional Mouse Model of Idiopathic Parkinson’s Disease" Cells 13, no. 10: 799. https://doi.org/10.3390/cells13100799
APA StyleFaisal, M., Rusetskaya, A., Väli, L., Taba, P., Minajeva, A., & Hickey, M. A. (2024). No Evidence of Sensory Neuropathy in a Traditional Mouse Model of Idiopathic Parkinson’s Disease. Cells, 13(10), 799. https://doi.org/10.3390/cells13100799

