Effects of Weight Loss and Aerobic Exercise Training on Adi-Pose Tissue Zinc α2-Glycoprotein and Associated Genes in Obesity
Abstract
1. Introduction
2. Materials and Methods
2.1. WL and AEX
2.2. Fitness and Total Body Composition
2.3. Oral Glucose Tolerance Test (OGTT) and Homeostatic Model Assessment of Insulin Resistance (HOMA-IR)
2.4. Adipose Tissue Biopsies
2.5. Resting Metabolic Rate and Skeletal Muscle Biopsies
2.6. RNA Extraction, cDNA Synthesis, and RT-PCR
2.7. Plasma ZAG and HSL Detection
2.8. Statistical Analyses
3. Results
3.1. Body Composition, Glucose Tolerance Test and Gene Expression
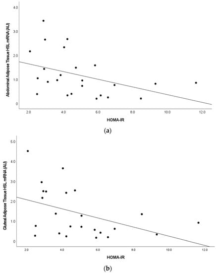
3.2. Relationships (Table 2 and Table 3)
4. Discussion
4.1. ZAG: Relationships and Effects of Interventions
4.2. HSL: Relationships and Effects of Interventions
4.3. β3AR: Relationships and Effects of Interventions
5. Conclusions
Author Contributions
Funding
Institutional Review Board Statement
Informed Consent Statement
Data Availability Statement
Acknowledgments
Conflicts of Interest
References
- Abdelaal, M.; le Roux, C.W.; Docherty, N.G. Morbidity and mortality associated with obesity. Ann. Transl. Med. 2017, 5, 161. [Google Scholar] [CrossRef] [PubMed]
- Choe, S.S.; Huh, J.Y.; Hwang, I.J.; Kim, J.I.; Kim, J.B. Adipose Tissue Remodeling: Its Role in Energy Metabolism and Metabolic Disorders. Front. Endocrinol. 2016, 7, 30. [Google Scholar] [CrossRef] [PubMed]
- Coelho, M.; Oliveira, T.; Fernandes, R. Biochemistry of adipose tissue: An endocrine organ. Arch. Med. Sci. 2013, 9, 191–200. [Google Scholar] [CrossRef] [PubMed]
- Burgi, W.; Schmid, K. Preparation and properties of Zn-alpha 2-glycoprotein of normal human plasma. J. Biol. Chem. 1961, 236, 1066–1074. [Google Scholar] [CrossRef]
- Bing, C.; Bao, Y.; Jenkins, J.; Sanders, P.; Manieri, M.; Cinti, S.; Tisdale, M.J.; Trayhurn, P. Zinc-alpha2-glycoprotein, a lipid mobilizing factor, is expressed in adipocytes and is up-regulated in mice with cancer cachexia. Proc. Natl. Acad. Sci. USA 2004, 101, 2500–2505. [Google Scholar] [CrossRef]
- Bundred, N.J.; Miller, W.R.; Walker, R.A. An immunohistochemical study of the tissue distribution of the breast cyst fluid protein, zinc alpha 2 glycoprotein. Histopathology 1987, 11, 603–610. [Google Scholar] [CrossRef]
- Russell, S.T.; Zimmerman, T.P.; Domin, B.A.; Tisdale, M.J. Induction of lipolysis in vitro and loss of body fat in vivo by zinc-alpha2-glycoprotein. Biochim. Biophys. Acta 2004, 1636, 59–68. [Google Scholar] [CrossRef]
- Gong, F.Y.; Zhang, S.J.; Deng, J.Y.; Zhu, H.J.; Pan, H.; Li, N.S.; Shi, Y.F. Zinc-alpha2-glycoprotein is involved in regulation of body weight through inhibition of lipogenic enzymes in adipose tissue. Int. J. Obes. 2009, 33, 1023–1030. [Google Scholar] [CrossRef]
- Ceperuelo-Mallafre, V.; Naf, S.; Escote, X.; Caubet, E.; Gomez, J.M.; Miranda, M.; Chacon, M.R.; Gonzalez-Clemente, J.M.; Gallart, L.; Gutierrez, C.; et al. Circulating and adipose tissue gene expression of zinc-alpha2-glycoprotein in obesity: Its relationship with adipokine and lipolytic gene markers in subcutaneous and visceral fat. J. Clin. Endocrinol. Metab. 2009, 94, 5062–5069. [Google Scholar] [CrossRef]
- Baskin, A.S.; Linderman, J.D.; Brychta, R.J.; McGehee, S.; Anflick-Chames, E.; Cero, C.; Johnson, J.W.; O'Mara, A.E.; Fletcher, L.A.; Leitner, B.P.; et al. Regulation of Human Adipose Tissue Activation, Gallbladder Size, and Bile Acid Metabolism by a beta3-Adrenergic Receptor Agonist. Diabetes 2018, 67, 2113–2125. [Google Scholar] [CrossRef]
- Schena, G.; Caplan, M.J. Everything You Always Wanted to Know about beta(3)-AR * (* But Were Afraid to Ask). Cells 2019, 8, 357. [Google Scholar] [CrossRef] [PubMed]
- Cero, C.; Lea, H.J.; Zhu, K.Y.; Shamsi, F.; Tseng, Y.H.; Cypess, A.M. beta3-Adrenergic receptors regulate human brown/beige adipocyte lipolysis and thermogenesis. JCI Insight 2021, 6, e139160. [Google Scholar] [CrossRef] [PubMed]
- Inokuma, K.; Okamatsu-Ogura, Y.; Omachi, A.; Matsushita, Y.; Kimura, K.; Yamashita, H.; Saito, M. Indispensable role of mitochondrial UCP1 for antiobesity effect of beta3-adrenergic stimulation. Am. J. Physiol. Endocrinol. Metab. 2006, 290, E1014–E1021. [Google Scholar] [CrossRef] [PubMed]
- Kooijman, S.; van den Berg, R.; Ramkisoensing, A.; Boon, M.R.; Kuipers, E.N.; Loef, M.; Zonneveld, T.C.; Lucassen, E.A.; Sips, H.C.; Chatzispyrou, I.A.; et al. Prolonged daily light exposure increases body fat mass through attenuation of brown adipose tissue activity. Proc. Natl. Acad. Sci. USA 2015, 112, 6748–6753. [Google Scholar] [CrossRef] [PubMed]
- van der Vaart, J.I.; Boon, M.R.; Houtkooper, R.H. The Role of AMPK Signaling in Brown Adipose Tissue Activation. Cells 2021, 10, 1122. [Google Scholar] [CrossRef]
- Russell, S.T.; Tisdale, M.J. Role of beta-adrenergic receptors in the anti-obesity and anti-diabetic effects of zinc-alpha2-glycoprotien (ZAG). Biochim. Biophys. Acta 2012, 1821, 590–599. [Google Scholar] [CrossRef]
- Russell, S.T.; Tisdale, M.J. Role of beta-adrenergic receptors in the oral activity of zinc-alpha2-glycoprotein (ZAG). Endocrinology 2012, 153, 4696–4704. [Google Scholar] [CrossRef]
- Lass, A.; Zimmermann, R.; Oberer, M.; Zechner, R. Lipolysis-A highly regulated multi-enzyme complex mediates the catabolism of cellular fat stores. Prog. Lipid Res. 2011, 50, 14–27. [Google Scholar] [CrossRef]
- Fan, G.; Li, Y.; Ma, F.; Zhao, R.; Yang, X. Zinc-alpha2-glycoprotein promotes skeletal muscle lipid metabolism in cold-stressed mice. Endocr. J. 2021, 68, 53–62. [Google Scholar] [CrossRef]
- Althaher, A.R. An Overview of Hormone-Sensitive Lipase (HSL). Sci. World J. 2022, 2022, 1964684. [Google Scholar] [CrossRef]
- Ge, S.; Ryan, A.S. Zinc-alpha2-glycoprotein expression in adipose tissue of obese postmenopausal women before and after weight loss and exercise + weight loss. Metabolism 2014, 63, 995–999. [Google Scholar] [CrossRef]
- Lichtenstein, A.H.; Appel, L.J.; Brands, M.; Carnethon, M.; Daniels, S.; Franch, H.A.; Franklin, B.; Kris-Etherton, P.; Harris, W.S.; Howard, B.; et al. Summary of American Heart Association Diet and Lifestyle Recommendations revision 2006. Arterioscler. Thromb. Vasc. Biol. 2006, 26, 2186–2191. [Google Scholar] [CrossRef] [PubMed]
- Ryan, A.S.; Li, G.; McMillin, S.; Prior, S.J.; Blumenthal, J.B.; Mastella, L. Pathways in Skeletal Muscle: Protein Signaling and Insulin Sensitivity after Exercise Training and Weight Loss Interventions in Middle-Aged and Older Adults. Cells 2021, 10, 3490. [Google Scholar] [CrossRef] [PubMed]
- Ryan, A.S.; Nicklas, B.J.; Berman, D.M. Aerobic exercise is necessary to improve glucose utilization with moderate weight loss in women. Obesity 2006, 14, 1064–1072. [Google Scholar] [CrossRef] [PubMed]
- Matthews, D.R.; Hosker, J.P.; Rudenski, A.S.; Naylor, B.A.; Treacher, D.F.; Turner, R.C. Homeostasis model assessment: Insulin resistance and beta-cell function from fasting plasma glucose and insulin concentrations in man. Diabetologia 1985, 28, 412–419. [Google Scholar] [CrossRef]
- Ryan, A.S.; Novitskaya, M.; Treuth, A.L. Predictive Equations Overestimate Resting Metabolic Rate in Survivors of Chronic Stroke. Arch. Phys. Med. Rehabil. 2022, 103, 1352–1359. [Google Scholar] [CrossRef]
- Ryan, A.S.; Ge, S.; Blumenthal, J.B.; Serra, M.C.; Prior, S.J.; Goldberg, A.P. Aerobic Exercise and Weight Loss Reduce Vascular Markers of Inflammation and Improve Insulin Sensitivity in Obese Women. J. Am. Geriatr. Soc. 2014, 62, 607–614. [Google Scholar] [CrossRef]
- Ryan, A.S.; Li, G.; Blumenthal, J.B.; Ortmeyer, H.K. Aerobic exercise + weight loss decreases skeletal muscle myostatin expression and improves insulin sensitivity in older adults. Obesity 2013, 21, 1350–1356. [Google Scholar] [CrossRef]
- Li, G.; Zhang, H.; Ryan, A.S. Skeletal Muscle Angiopoietin-Like Protein 4 and Glucose Metabolism in Older Adults after Exercise and Weight Loss. Metabolites 2020, 10, 354. [Google Scholar] [CrossRef]
- Banaszak, M.; Gorna, I.; Przyslawski, J. Zinc and the Innovative Zinc-alpha2-Glycoprotein Adipokine Play an Important Role in Lipid Metabolism: A Critical Review. Nutrients 2021, 13, 2023. [Google Scholar] [CrossRef]
- Yang, M.; Liu, R.; Li, S.; Luo, Y.; Zhang, Y.; Zhang, L.; Liu, D.; Wang, Y.; Xiong, Z.; Boden, G.; et al. Zinc-alpha2-glycoprotein is associated with insulin resistance in humans and is regulated by hyperglycemia, hyperinsulinemia, or liraglutide administration: Cross-sectional and interventional studies in normal subjects, insulin-resistant subjects, and subjects with newly diagnosed diabetes. Diabetes Care 2013, 36, 1074–1082. [Google Scholar]
- Mracek, T.; Stephens, N.A.; Gao, D.; Bao, Y.; Ross, J.A.; Ryden, M.; Arner, P.; Trayhurn, P.; Fearon, K.C.; Bing, C. Enhanced ZAG production by subcutaneous adipose tissue is linked to weight loss in gastrointestinal cancer patients. Br. J. Cancer 2011, 104, 441–447. [Google Scholar] [CrossRef] [PubMed]
- Yeaman, S.J. Hormone-sensitive lipase--new roles for an old enzyme. Biochem. J. 2004, 379 Pt 1, 11–22. [Google Scholar] [CrossRef] [PubMed]
- Jocken, J.W.; Langin, D.; Smit, E.; Saris, W.H.; Valle, C.; Hul, G.B.; Holm, C.; Arner, P.; Blaak, E.E. Adipose triglyceride lipase and hormone-sensitive lipase protein expression is decreased in the obese insulin-resistant state. J. Clin. Endocrinol. Metab. 2007, 92, 2292–2299. [Google Scholar] [CrossRef] [PubMed]
- Morigny, P.; Houssier, M.; Mairal, A.; Ghilain, C.; Mouisel, E.; Benhamed, F.; Masri, B.; Recazens, E.; Denechaud, P.D.; Tavernier, G.; et al. Interaction between hormone-sensitive lipase and ChREBP in fat cells controls insulin sensitivity. Nat. Metab. 2019, 1, 133–146. [Google Scholar] [CrossRef] [PubMed]
- Karki, S.; Farb, M.G.; Myers, S.; Apovian, C.; Hess, D.T.; Gokce, N. Effect of Bariatric Weight Loss on the Adipose Lipolytic Transcriptome in Obese Humans. Mediat. Inflamm. 2015, 2015, 106237. [Google Scholar] [CrossRef]
- Richelsen, B.; Pedersen, S.B.; Kristensen, K.; Borglum, J.D.; Norrelund, H.; Christiansen, J.S.; Jorgensen, J.O. Regulation of lipoprotein lipase and hormone-sensitive lipase activity and gene expression in adipose and muscle tissue by growth hormone treatment during weight loss in obese patients. Metabolism 2000, 49, 906–911. [Google Scholar] [CrossRef]
- Ahn, C.; Ryan, B.J.; Schleh, M.W.; Varshney, P.; Ludzki, A.C.; Gillen, J.B.; Van Pelt, D.W.; Pitchford, L.M.; Howton, S.M.; Rode, T.; et al. Exercise training remodels subcutaneous adipose tissue in adults with obesity even without weight loss. J. Physiol. 2022, 600, 2127–2146. [Google Scholar] [CrossRef]
- Walhin, J.P.; Richardson, J.D.; Betts, J.A.; Thompson, D. Exercise counteracts the effects of short-term overfeeding and reduced physical activity independent of energy imbalance in healthy young men. J. Physiol. 2013, 591, 6231–6243. [Google Scholar] [CrossRef]
- Watt, M.J.; Heigenhauser, G.J.; Spriet, L.L. Effects of dynamic exercise intensity on the activation of hormone-sensitive lipase in human skeletal muscle. J. Physiol. 2003, 547 Pt 1, 301–308. [Google Scholar] [CrossRef]
- Walhin, J.P.; Dixon, N.C.; Betts, J.A.; Thompson, D. The impact of exercise intensity on whole body and adipose tissue metabolism during energy restriction in sedentary overweight men and postmenopausal women. Physiol. Rep. 2016, 4, e13026. [Google Scholar] [CrossRef] [PubMed]
- Johnson, W.J.; Jang, S.Y.; Bernard, D.W. Hormone sensitive lipase mRNA in both monocyte and macrophage forms of the human THP-1 cell line. Comp. Biochem. Physiol. B Biochem. Mol. Biol. 2000, 126, 543–552. [Google Scholar] [CrossRef] [PubMed]
- Reue, K.; Cohen, R.D.; Schotz, M.C. Evidence for hormone-sensitive lipase mRNA expression in human monocyte/macrophages. Arterioscler. Thromb. Vasc. Biol. 1997, 17, 3428–3432. [Google Scholar] [CrossRef] [PubMed]
- O'Rourke, L.; Yeaman, S.J.; Shepherd, P.R. Insulin and leptin acutely regulate cholesterol ester metabolism in macrophages by novel signaling pathways. Diabetes 2001, 50, 955–961. [Google Scholar] [CrossRef]
- Pandzic Jaksic, V.; Gizdic, B.; Miletic, Z.; Trutin-Ostovic, K.; Jaksic, O. Association of monocyte CCR2 expression with obesity and insulin resistance in postmenopausal women. Clin. Investig. Med. 2013, 36, E24–E31. [Google Scholar] [CrossRef]
- Russell, S.T.; Tisdale, M.J. Antidiabetic properties of zinc-alpha2-glycoprotein in ob/ob mice. Endocrinology 2010, 151, 948–957. [Google Scholar] [CrossRef]
- Robidoux, J.; Kumar, N.; Daniel, K.W.; Moukdar, F.; Cyr, M.; Medvedev, A.V.; Collins, S. Maximal beta3-adrenergic regulation of lipolysis involves Src and epidermal growth factor receptor-dependent ERK1/2 activation. J. Biol. Chem. 2006, 281, 37794–37802. [Google Scholar] [CrossRef]
- Greenberg, A.S.; Shen, W.J.; Muliro, K.; Patel, S.; Souza, S.C.; Roth, R.A.; Kraemer, F.B. Stimulation of lipolysis and hormone-sensitive lipase via the extracellular signal-regulated kinase pathway. J. Biol. Chem. 2001, 276, 45456–45461. [Google Scholar] [CrossRef]
- Russell, S.T.; Tisdale, M.J. Studies on the antiobesity effect of zinc-alpha2-glycoprotein in the ob/ob mouse. Int. J. Obes. 2011, 35, 345–354. [Google Scholar] [CrossRef]
- Ryan, A.S.; Katzel, L.I.; Prior, S.J.; McLenithan, J.C.; Goldberg, A.P.; Ortmeyer, H.K. Aerobic Exercise Plus Weight Loss Improves Insulin Sensitivity and Increases Skeletal Muscle Glycogen Synthase Activity in Older Men. J. Gerontol. A Biol. Sci. Med. Sci. 2013, 69, 790–798. [Google Scholar] [CrossRef]
- Ryan, A.S.; Ortmeyer, H.K.; Sorkin, J.D. Exercise with calorie restriction improves insulin sensitivity and glycogen synthase activity in obese postmenopausal women with impaired glucose tolerance. Am. J. Physiol. Endocrinol. Metab. 2012, 302, E145–E152. [Google Scholar] [CrossRef] [PubMed]
- Goodpaster, B.H.; Kelley, D.E.; Wing, R.R.; Meier, A.; Thaete, F.L. Effects of weight loss on regional fat distribution and insulin sensitivity in obesity. Diabetes 1999, 48, 839–847. [Google Scholar] [CrossRef] [PubMed]
- Abbasi, F.; Chang, S.A.; Chu, J.W.; Ciaraldi, T.P.; Lamendola, C.; McLaughlin, T.; Reaven, G.M.; Reaven, P.D. Improvements in insulin resistance with weight loss, in contrast to rosiglitazone, are not associated with changes in plasma adiponectin or adiponectin multimeric complexes. Am. J. Physiol. Regul. Integr. Comp. Physiol. 2006, 290, R139–R144. [Google Scholar] [CrossRef] [PubMed][Green Version]
- Berggren, J.R.; Hulver, M.W.; Dohm, G.L.; Houmard, J.A. Weight loss and exercise: Implications for muscle lipid metabolism and insulin action. Med. Sci. Sports Exerc. 2004, 36, 1191–1195. [Google Scholar] [CrossRef] [PubMed]
- Bogardus, C.; Ravussin, E.; Robbins, D.C.; Wolfe, R.R.; Horton, E.S.; Sims, E.A. Effects of physical training and diet therapy on carbohydrate metabolism in patients with glucose intolerance and non-insulin-dependent diabetes mellitus. Diabetes 1984, 33, 311–318. [Google Scholar] [CrossRef]



| Weight Loss (WL) (n = 13) | Aerobic Exercise Training (AEX) (n = 13) | |||
|---|---|---|---|---|
| Pre | Post | Pre | Post | |
| Age (yr) | 63.9 ± 1.3 | 62.5 ± 2.4 | ||
| Sex (M/F) | 6M/7F | 6M/7F | ||
| Race (C/AA) | 11C/2AA | 9C/4AA | ||
| Weight (kg) ‡ | 101.98 ± 19.85 | 92.13 ± 17.60 ‡ | 90.85 ± 18 | 91.63 ± 20.39 |
| VO2max (mL/kg/min) | 22.49 ± 3.34 | 24.09 ± 4.2 ** | 25.11 ± 1.08 | 29.30 ± 1.45 ‡ |
| VO2max (L/min) | 2.3 ± 0.61 | 2.24 ± 0.0.63 | 2.2 ± 0.2 | 2.5 ± 0.2 ‡ |
| Percent body fat | 43.39 ± 7.71 | 39.48 ± 8.22 ‡ | 40.2 ± 2.5 | 38.9 ± 2.7 * |
| Fat mass (kg) ‡ | 43.89 ± 2.72 | 36.61 ± 2.65 ‡ | 37.6 ± 3.7 | 36.5 ± 4.2 |
| Fat-free mass (kg) * | 58.34 ± 4.39 | 57.18 ± 4.26 * | 54.6 ± 3.0 | 55.3 ± 3.5 |
| Fasting glucose (mmol/L) * | 100.3 ± 2.8 | 92.1 ± 2.6 ** | 95.4 ± 3.7 | 94.8 ± 2.3 |
| Fasting insulin (pmol/L) | 108.3 ± 14.1 | 70.17 ± 7.8 ** | 124.4 ± 12.9 | 108.0 ± 12.3 |
| GlucoseAUC (mmol/L/120 min) * | 18,396 ± 1026 | 15,975 ± 1061 ‡ | 17,037 ± 1201 | 17,030 ± 1118 |
| InsulinAUC (pmol/L/120 min) | 67,144 ± 9590 | 54,624 ± 8655 * | 76,575 ± 10,521 | 65,156 ± 10,306 * |
| HOMA-IR | 4.95 ± 0.77 | 2.99 ± 0.38 ** | 4.97 ± 0.57 | 4.07 ± 0.51 |
| RMR (kcal/d) | 1523 ± 114 | 1483 ± 149 | 1376 ± 101 | 1542 ± 163 † |
| Fasting RQ (respiratory quotient) | 0.75 ± 0.01 | 0.71 ± 0.06 | 0.73 ± 0.01 | 0.72 ± 0.06 |
| Plasma ZAG (ng/mL) | 290.37 ± 47.56 | 251.99 ± 53.24 | 258.28 ± 53.34 | 234.27 ± 47.36 |
| Plasma HSL (ng/mL) | 13.86 ± 6.46 | 15.43 ± 9.82 | 17.45 ± 12.65 | 20.61 ± 13.58 |
| AB ZAG | Glut ZAG | AB HSL | Glut HSL | AB B3AR | Glut B3AR | ||
|---|---|---|---|---|---|---|---|
| AB ZAG | r p | --- | 0.901 *** <0.001 | 0.652 *** 0.001 | 0.790 *** <0.001 | 0.577 ** 0.002 | 0.839 *** <0.001 |
| Glut ZAG | r p | 0.901 *** <0.001 | --- | 0.487 * 0.012 | 0.783 *** <0.001 | 0.499 ** 0.010 | 0.746 *** <0.001 |
| AB HSL | r p | 0.652 *** 0.001 | 0.487 * 0.012 | --- | 0.836 *** <0.001 | 0.487 * 0.012 | 0.395 * 0.046 |
| Glut HSL | r p | 0.790 *** <0.001 | 0.783 *** <0.001 | 0.836 *** <0.001 | --- | 0.409 * 0.038 | 0.508 ** 0.008 |
| AB B3AR | r p | 0.577 ** 0.002 | 0.499 ** 0.010 | 0.487 * 0.012 | 409 * 0.038 | --- | |
| Glut B3AR | r p | 0.839 *** <0.001 | 0.746 *** <0.001 | 0.395 * 0.046 | 0.508 ** 0.008 | --- |
| AB ZAG | Glut ZAG | AB HSL | Glut HSL | AB B3AR | Glut B3AR | Plasma ZAG | Plasma HSL | ||
|---|---|---|---|---|---|---|---|---|---|
| Fasting Glucose | r p | −0.503 ** 0.010 | −0.427 * 0.033 | −0.665 *** <0.001 | −0.673 *** <0.001 | −0.434 * 0.030 | −0.0352 0.085 | • | • |
| Fasting Insulin | r p | • | • | • | • | • | • | • | 0.487 * 0.019 |
| Glucose AUC | r p | −0.485 * 0.016 | −0.397 0.055 | −0.538 ** 0.007 | −0.555 ** 0.005 | −0.473 * 0.020 | −0.466 * 0.022 | • | • |
| Insulin AUC | r p | • | −0.453 * 0.026 | −0.425 * 0.038 | −0.499 * 0.013 | • | • | • | • |
| HOMA-IR | r p | • | • | −0.421 * 0.040 | −0.442 * 0.030 | • | • | • | 0.461 * 0.027 |
Disclaimer/Publisher’s Note: The statements, opinions and data contained in all publications are solely those of the individual author(s) and contributor(s) and not of MDPI and/or the editor(s). MDPI and/or the editor(s) disclaim responsibility for any injury to people or property resulting from any ideas, methods, instructions or products referred to in the content. |
© 2023 by the authors. Licensee MDPI, Basel, Switzerland. This article is an open access article distributed under the terms and conditions of the Creative Commons Attribution (CC BY) license (https://creativecommons.org/licenses/by/4.0/).
Share and Cite
Ge, S.X.; Li, G.; Ryan, A.S. Effects of Weight Loss and Aerobic Exercise Training on Adi-Pose Tissue Zinc α2-Glycoprotein and Associated Genes in Obesity. Cells 2023, 12, 2366. https://doi.org/10.3390/cells12192366
Ge SX, Li G, Ryan AS. Effects of Weight Loss and Aerobic Exercise Training on Adi-Pose Tissue Zinc α2-Glycoprotein and Associated Genes in Obesity. Cells. 2023; 12(19):2366. https://doi.org/10.3390/cells12192366
Chicago/Turabian StyleGe, Shealinna X., Guoyan Li, and Alice S. Ryan. 2023. "Effects of Weight Loss and Aerobic Exercise Training on Adi-Pose Tissue Zinc α2-Glycoprotein and Associated Genes in Obesity" Cells 12, no. 19: 2366. https://doi.org/10.3390/cells12192366
APA StyleGe, S. X., Li, G., & Ryan, A. S. (2023). Effects of Weight Loss and Aerobic Exercise Training on Adi-Pose Tissue Zinc α2-Glycoprotein and Associated Genes in Obesity. Cells, 12(19), 2366. https://doi.org/10.3390/cells12192366
