New Propargyloxy Derivatives of Galangin, Kaempferol and Fisetin—Synthesis, Spectroscopic Analysis and In Vitro Anticancer Activity on Head and Neck Cancer Cells
Abstract
1. Introduction
2. Materials and Methods
2.1. Materials
2.2. Chemistry
General Synthesis of Compounds 4–6
2.3. Derivatives Treatment
2.4. Cell Culture
2.5. Cell Cytotoxicity (IC50 Determination)
2.6. Real-Time and Dynamic Monitoring of Cell Proliferation Using the xCELLigence RTCA
2.7. Cell Cycle Detection Assay
2.8. Cyclins D1 and B1 Analysis
2.9. Cell Apoptosis Assay
2.10. Statistical Analysis
3. Results
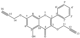
3.1. Chemistry
3.2. Fisetin Derivative Inhibits Cell Viability and Proliferation of HNCs
3.3. Fisetin Derivative Induces Cell Cycle Arrest in HNC Cell Lines
3.4. Fisetin Derivative Treatment Increases the Steady State of Cyclin B1 Protein
3.5. Fisetin Derivative Induces Apoptosis in HNC Cells
4. Discussion
5. Conclusions
Supplementary Materials
Author Contributions
Funding
Institutional Review Board Statement
Informed Consent Statement
Data Availability Statement
Acknowledgments
Conflicts of Interest
References
- Mody, M.D.; Rocco, J.W.; Yom, S.S.; Haddad, R.I.; Saba, N.F. Head and neck cancer. Lancet 2021, 398, 2289–2299. [Google Scholar] [CrossRef] [PubMed]
- Alfouzan, A.F. Radiation therapy in head and neck cancer. Saudi Med. J. 2021, 42, 247–254. [Google Scholar] [CrossRef] [PubMed]
- D’onofrio, I.; Nardone, V.; Reginelli, A.; Cappabianca, S. Chemoradiotherapy for Head and Neck Cancer. Cancers 2023, 15, 2820. [Google Scholar] [CrossRef] [PubMed]
- Kaushik, M.; Tiku, A.B. Molecular pathways modulated by phytochemicals in head and neck cancer. J. Cell Commun. Signal. 2022, 17, 469–483. [Google Scholar] [CrossRef]
- Pereira, D.; Martins, D.; Mendes, F. Immunotherapy in Head and Neck Cancer When, How, and Why? Biomedicines 2022, 10, 2151. [Google Scholar] [CrossRef]
- Griso, A.B.; Acero-Riaguas, L.; Castelo, B.; Cebrián-Carretero, J.L.; Sastre-Perona, A. Mechanisms of Cisplatin Resistance in HPV Negative Head and Neck Squamous Cell Carcinomas. Cells 2022, 11, 561. [Google Scholar] [CrossRef]
- Wang, X.; Yang, J.; Ding, B.; Chen, P.; Xu, Z.; Zhao, Y.; Chen, P.; Chattipakorn, N.; Liang, G.; Wu, D.; et al. Design, synthesis and bioactivity evaluation of fisetin derivatives as potential anti-inflammatory agents against LPS-induced acute lung injury. Bioorganic Med. Chem. 2021, 49, 116456. [Google Scholar] [CrossRef]
- Kubina, R.; Krzykawski, K.; Dziedzic, A.; Kabała-Dzik, A. Kaempferol and Fisetin-Related Signaling Pathways Induce Apoptosis in Head and Neck Cancer Cells. Cells 2023, 12, 1568. [Google Scholar] [CrossRef]
- Kubina, R.; Krzykawski, K.; Kabała-Dzik, A.; Wojtyczka, R.D.; Chodurek, E.; Dziedzic, A. Fisetin, a Potent Anticancer Flavonol Exhibiting Cytotoxic Activity against Neoplastic Malignant Cells and Cancerous Conditions: A Scoping, Comprehensive Review. Nutrients 2022, 14, 2604. [Google Scholar] [CrossRef]
- Sak, K. Cytotoxicity of dietary flavonoids on different human cancer types. Pharmacogn. Rev. 2014, 8, 122–146. [Google Scholar] [CrossRef]
- Rha, C.-S.; Jeong, H.W.; Park, S.; Lee, S.; Jung, Y.S.; Kim, D.-O. Antioxidative, Anti-Inflammatory, and Anticancer Effects of Purified Flavonol Glycosides and Aglycones in Green Tea. Antioxidants 2019, 8, 278. [Google Scholar] [CrossRef] [PubMed]
- Slika, H.; Mansour, H.; Wehbe, N.; Nasser, S.A.; Iratni, R.; Nasrallah, G.; Shaito, A.; Ghaddar, T.; Kobeissy, F.; Eid, A.H. Therapeutic potential of flavonoids in cancer: ROS-mediated mechanisms. BioMedicine 2022, 146, 112442. [Google Scholar] [CrossRef]
- Li, C.; Dai, T.; Chen, J.; Chen, M.; Liang, R.; Liu, C.; Du, L.; McClements, D.J. Modification of flavonoids: Methods and influences on biological activities. Crit. Rev. Food Sci. Nutr. 2022, 1–22. [Google Scholar] [CrossRef] [PubMed]
- Chai, Q.-Y.; Yang, Z.; Lin, H.-W.; Han, B.-N. Alkynyl-Containing Peptides of Marine Origin: A Review. Mar. Drugs 2016, 14, 216. [Google Scholar] [CrossRef] [PubMed]
- Blunt, J.W.; Copp, B.R.; Keyzers, R.A.; Munro, M.H.G.; Prinsep, M.R. Marine natural products. Nat. Prod. Rep. 2015, 32, 116–211. [Google Scholar] [CrossRef]
- Kuklev, D.V.; Domb, A.J.; Dembitsky, V.M. Bioactive acetylenic metabolites. Phytomedicine 2013, 20, 1145–1159. [Google Scholar] [CrossRef]
- Acetylenic Anticancer Agents|Bentham Science. Available online: https://www.eurekaselect.com/article/11260 (accessed on 9 July 2023).
- Fik-Jaskółka, M.A.; Mkrtchyan, A.F.; Saghyan, A.S.; Palumbo, R.; Belter, A.; Hayriyan, L.A.; Simonyan, H.; Roviello, V.; Roviello, G.N. Biological macromolecule binding and anticancer activity of synthetic alkyne-containing l-phenylalanine derivatives. Amino Acids 2020, 52, 755–769. [Google Scholar] [CrossRef]
- Krishna, A.; Gandham, H.B.; Valluru, K.R.; Rao, N.K.; Sridhar, G.; Battula, V.R. Design, synthesis and anticancer activity of arylketo alkyne derivatives of 7-azaindole-oxazole. Chem. Data Collect. 2021, 34, 100743. [Google Scholar] [CrossRef]
- Kadela-Tomanek, M.; Jastrzębska, M.; Pawełczak, B.; Bębenek, E.; Chrobak, E.; Latocha, M.; Książek, M.; Kusz, J.; Boryczka, S. Alkynyloxy derivatives of 5,8-quinolinedione: Synthesis, in vitro cytotoxicity studies and computational molecular modeling with NAD(P)H:Quinone oxidoreductase 1. Eur. J. Med. Chem. 2017, 126, 969–982. [Google Scholar] [CrossRef]
- Kadela-Tomanek, M.; Bębenek, E.; Chrobak, E.; Latocha, M.; Boryczka, S. Alkoxy and Enediyne Derivatives Containing 1,4-Benzoquinone Subunits—Synthesis and Antitumor Activity. Molecules 2017, 22, 447. [Google Scholar] [CrossRef]
- Hamd, A.H.; Al-Lami, N.; Wadi, J.S. Synthesis, Anti-Cancer, and Molecular Docking Studies of Alkyne Derivatives Bearing Imidazo Pyridine Moiety. J. Med. Chem. Sci. 2023, 6, 1310–1322. [Google Scholar] [CrossRef]
- Weerapreeyakul, N.; Nonpunya, A.; Barusrux, S.; Thitimetharoch, T.; Sripanidkulchai, B. Evaluation of the anticancer potential of six herbs against a hepatoma cell line. Chin. Med. 2012, 7, 15. [Google Scholar] [CrossRef] [PubMed]
- Yang, K.; Hitomi, M.; Stacey, D.W. Variations in cyclin D1 levels through the cell cycle determine the proliferative fate of a cell. Cell Div. 2006, 1, 32. [Google Scholar] [CrossRef]
- Xiao, Y.; Liu, Y.; Gao, Z.; Li, X.; Weng, M.; Shi, C.; Wang, C.; Sun, L. Fisetin inhibits the proliferation, migration and invasion of pancreatic cancer by targeting PI3K/AKT/mTOR signaling. Aging 2021, 13, 24753–24767. [Google Scholar] [CrossRef] [PubMed]
- Imtiyaz, K.; Rahmani, A.H.; Alsahli, M.A.; Almatroodi, S.A.; Alam Rizvi, M.M. Fisetin induces apoptosis in human skin cancer cells through downregulating MTH1. J. Biomol. Struct. Dyn. 2022, 41, 7339–7353. [Google Scholar] [CrossRef] [PubMed]
- Talaat, S.M.; Elnaggar, Y.S.; El-Ganainy, S.O.; Gowayed, M.A.; Allam, M.; Abdallah, O.Y. Self-assembled fisetin-phospholipid complex: Fisetin-integrated phytosomes for effective delivery to breast cancer. Eur. J. Pharm. Biopharm. 2023, 189, 174–188. [Google Scholar] [CrossRef]
- Pandey, A.; Trigun, S.K. Fisetin induces apoptosis in colorectal cancer cells by suppressing autophagy and down-regulating nuclear factor erythroid 2-related factor 2 (Nrf2). J. Cell. Biochem. 2023. [Google Scholar] [CrossRef]
- Moustafa, M.A.; El-Refaie, W.M.; Elnaggar, Y.S.; El-Mezayen, N.S.; Awaad, A.K.; Abdallah, O.Y. Fucoidan/hyaluronic acid cross-linked zein nanoparticles loaded with fisetin as a novel targeted nanotherapy for oral cancer. Int. J. Biol. Macromol. 2023, 241, 124528. [Google Scholar] [CrossRef]
- Sabarwal, A.; van Rooyen, J.C.; Caburet, J.; Avgenikos, M.; Dheeraj, A.; Ali, M.; Mishra, D.; de Meester, J.S.B.; Stander, S.; van Otterlo, W.A.L.; et al. A novel 4′-brominated derivative of fisetin induces cell cycle arrest and apoptosis and inhibits EGFR/ERK1/2/STAT3 pathways in non-small-cell lung cancer without any adverse effects in mice. FASEB J. 2022, 36, e22654. [Google Scholar] [CrossRef]
- Liu, Y.; Cao, H.; Zhao, Y.; Shan, L.; Lan, S. Fisetin-induced cell death in human ovarian cancer cell lines via zbp1-mediated necroptosis. J. Ovarian Res. 2022, 15, 57. [Google Scholar] [CrossRef]
- Wang, B.; Wang, J.; Zhao, X.-H. Bioactivity of Two Polyphenols Quercetin and Fisetin against Human Gastric Adenocarcinoma AGS Cells as Affected by Two Coexisting Proteins. Molecules 2022, 27, 2877. [Google Scholar] [CrossRef]
- Afroze, N.; Pramodh, S.; Shafarin, J.; Bajbouj, K.; Hamad, M.; Sundaram, M.K.; Haque, S.; Hussain, A. Fisetin Deters Cell Proliferation, Induces Apoptosis, Alleviates Oxidative Stress and Inflammation in Human Cancer Cells, HeLa. Int. J. Mol. Sci. 2022, 23, 1707. [Google Scholar] [CrossRef]
- Roy, T.; Boateng, S.T.; Banang-Mbeumi, S.; Singh, P.K.; Basnet, P.; Chamcheu, R.-C.N.; Ladu, F.; Chauvin, I.; Spiegelman, V.S.; Hill, R.A.; et al. Synthesis, inverse docking-assisted identification and in vitro biological characterization of Flavonol-based analogs of fisetin as c-Kit, CDK2 and mTOR inhibitors against melanoma and non-melanoma skin cancers. Bioorganic Chem. 2021, 107, 104595. [Google Scholar] [CrossRef] [PubMed]
- de Oliveira, J.M.P.F.; Pacheco, A.R.; Coutinho, L.; Oliveira, H.; Pinho, S.; Almeida, L.; Fernandes, E.; Santos, C. Combination of etoposide and fisetin results in anti-cancer efficiency against osteosarcoma cell models. Arch. Toxicol. 2017, 92, 1205–1214. [Google Scholar] [CrossRef]
- Min, K.-J.; Nam, J.-O.; Kwon, T.K. Fisetin Induces Apoptosis Through p53-Mediated Up-Regulation of DR5 Expression in Human Renal Carcinoma Caki Cells. Molecules 2017, 22, 1285. [Google Scholar] [CrossRef]
- Adan, A.; Baran, Y. The pleiotropic effects of fisetin and hesperetin on human acute promyelocytic leukemia cells are mediated through apoptosis, cell cycle arrest, and alterations in signaling networks. Tumor Biol. 2015, 36, 8973–8984. [Google Scholar] [CrossRef] [PubMed]
- Chen, C.-M.; Hsieh, Y.-H.; Hwang, J.-M.; Jan, H.-J.; Hsieh, S.-C.; Lin, S.-H.; Lai, C.-Y. Fisetin suppresses ADAM9 expression and inhibits invasion of glioma cancer cells through increased phosphorylation of ERK1/2. Tumor Biol. 2014, 36, 3407–3415. [Google Scholar] [CrossRef]
- Chiruta, C.; Schubert, D.; Dargusch, R.; Maher, P. Chemical Modification of the Multitarget Neuroprotective Compound Fisetin. J. Med. Chem. 2011, 55, 378–389. [Google Scholar] [CrossRef] [PubMed]
- Matthews, H.K.; Bertoli, C.; de Bruin, R.A.M. Cell cycle control in cancer. Nat. Rev. Mol. Cell Biol. 2021, 23, 74–88. [Google Scholar] [CrossRef]
- Su, C.-H.; Kuo, C.-L.; Lu, K.-W.; Yu, F.-S.; Ma, Y.-S.; Yang, J.-L.; Chu, Y.-L.; Chueh, F.-S.; Liu, K.-C.; Chung, J.-G. Fisetin-induced apoptosis of human oral cancer SCC-4 cells through reactive oxygen species production, endoplasmic reticulum stress, caspase-, and mitochondria-dependent signaling pathways. Environ. Toxicol. 2017, 32, 1725–1741. [Google Scholar] [CrossRef]
- Androic, I.; Krämer, A.; Yan, R.; Rödel, F.; Gätje, R.; Kaufmann, M.; Strebhardt, K.; Yuan, J. Targeting cyclin B1 inhibits proliferation and sensitizes breast cancer cells to taxol. BMC Cancer 2008, 8, 391. [Google Scholar] [CrossRef] [PubMed]
- Ling, Y.-H.; Consoli, U.; Tornos, C.; Andreeff, M.; Perez-Soler, R. Accumulation of cyclin B1, activation of cyclin B1-dependent kinase and induction of programmed cell death in human epidermoid carcinoma KB cells treated with taxol. Int. J. Cancer 1998, 75, 925–932. [Google Scholar] [CrossRef]
- Eichhorn, J.M.; Kothari, A.; Chambers, T.C. Cyclin B1 Overexpression Induces Cell Death Independent of Mitotic Arrest. PLOS ONE 2014, 9, e113283. [Google Scholar] [CrossRef] [PubMed]
- Porter, L.A.; Singh, G.; Lee, J.M. Abundance of cyclin B1 regulates γ-radiation–induced apoptosis. Blood 2000, 95, 2645–2650. [Google Scholar] [CrossRef]
- Gomez, L.A.; Pozas, A.d.L.; Reiner, T.; Burnstein, K.; Perez-Stable, C. Increased expression of cyclin B1 sensitizes prostate cancer cells to apoptosis induced by chemotherapy. Mol. Cancer Ther. 2007, 6, 1534. [Google Scholar] [CrossRef] [PubMed]
- Shih, Y.-L.; Hung, F.-M.; Lee, C.-H.; Yeh, M.-Y.; Lee, M.-H.; Lu, H.-F.; Chen, Y.-L.; Liu, J.-Y.; Chung, J.-G. Fisetin Induces Apoptosis of HSC3 Human Oral Cancer Cells Through Endoplasmic Reticulum Stress and Dysfunction of Mitochondria-mediated Signaling Pathways. In Vivo 2017, 31, 1103–1114. [Google Scholar] [CrossRef][Green Version]






![]() | |||||
|---|---|---|---|---|---|
| Proton | 1H NMR δ [ppm] | HSQC | Carbon | 13CNMR δ [ppm] | HMBC |
| - | - | - | C2 | 136.8 | C2(136.8)-H11(4.89) |
| C3 | 131.1 | C3(131.1)-H2′(7.46) C3(131.1)-H6′(7.46) | |||
| - | - | - | C4 | 178.8 | C4(178.8)-H8(6.66) C4(178.8)-H6(6.32) |
| OH | 12.41 | OH(12.41)-C6(98.4) OH(12.41)-C7(106.0) OH(12.41)-C10(161.9) | |||
| C5 | 156.9 | C5(156.9)-H8(6.66) | |||
| H6 | 6.32 | H6(6.32)-C6(98.4) | C6 | 98.4 | H6(6.32)-C8(93.2) H6(6.32)-C7(106.0) H6(6.32)-C10(161.9) H6(6.32)-C9(163.8) H6(6.32)-C4(178.8) C6(98.4)-H8(6.66) C6(98.4)-H5(12.41) |
| C7 | 106.0 | C7(106.0)-H8(6.66) C7(106.0)-H5(12.41) C7(106.0)-H6(6.32) | |||
| H8 | 6.66 | H8(6.66)-C8(93.2) | C8 | 93.2 | H8(6.66)-C6(98.4) H8(6.66)-C7(106.0) H8(6.66)-C5(156.9) H8(6.66)-C9(163.8) H8(6.66)-C4(178.8) C8(93.2)-H6(6.32) |
| - | - | - | C9 | 163.8 | C9(163.8)-H8(6.66) C9(163.8)-H6(6.32) C9(163.8)-H14(4.84) |
| - | - | - | C10 | 161.9 | C10(161.9)-H5(12.41) C10(161.9)-H6(6.32) |
| H11 | 4.89 | H11(4.89)-C11(59.1) | C11 | 59.1 | C11(59.1)-H13(2.88) H11(4.89)-C12(78.3) H11(4.89)-C2(136.8) |
| - | - | - | C12 | 78.3 | C12(78.3)-H11(4.89) |
| H13 | 2.88 | H13(2.88)-C13(77.4) | C13 | 77.4 | H13(2.88)-C11(59.1) |
| H14 | 4.84 | H14(4.84)-C14(56.2) | C14 | 56.2 | C14(56.2)-H16(3.09) H14(4.84)-C15(77.8) H14(4.84)-C9(163.8) |
| - | - | - | C15 | 77.8 | C15(77.8)-H14(4.84) |
| H16 | 3.09 | H16(3.09)-C16(77.1) | C16 | 77.1 | H16(3.09)-C14(56.2) |
| - | - | - | C1′ | 157.0 | C1′(157.0)-H2′(7.46) C1′(157.0)-H6′(7.46) C1′(157.0)-H3′(8.03) C1′(157.0)-H5′(8.03) |
| H3′ | 8.03 | H2′(8.28)-C3′(128.8) | C3′ | 128.8 | H3′(8.03)-C5′(128.8) H3′(8.03)-C4′(128.5) H3′(8.03)-C1′(157.0) C3′(128.8)-H5′(8.03) |
| H2′ | 7.46 | H2′(7.46)-C2′(130.5) | C2′ | 130.5 | H2′(7.46)-C6′(130.5) H2′(7.46)-C3(131.1) H2′(7.46)-C1′(157.0) C2′(130.5)-H4′(7.45) C2′(130.5)-H6′(7.46) |
| H4′ | 7.45 | H4′(7.45)-C4′(128.5) | C4′ | 128.5 | H4′(7.45)-C2′(130.5) H4′(7.45)-C6′(130.5) C4′(128.5)-H3′(8.03) C4′(128.5)-H5′(8.03) |
| H6′ | 7.46 | H6′(7.46)-C6′(130.5) | C6′ | 130.5 | H6′(7.46)-C2′(130.5) H6′(7.46)-C3(131.1) H6′(7.46)-C1′(157.0) C6′(130.5)-H2′(7.46) C6′(130.5)-H4′(7.45) |
| H5′ | 8.03 | H5′(8.03)-C5′(128.8) | C5′ | 128.8 | H5′(8.03)-C3′(128.8) H5′(8.03)-C4′(128.5) H5′(8.03)-C1′(157.0) C5′(128.8)-H3′(8.03) |
![]() | |||||
|---|---|---|---|---|---|
| Proton | 1H NMR δ [ppm] | HSQC | Carbon | 13CNMR δ [ppm] | HMBC |
| - | - | - | C2 | 136.1 | C2(136.1)-H11(4.87) |
| - | C3 | 123.4 | C3(123.4)-H2′(7.04) C3(123.4)-H6′(7.04) | ||
| - | - | - | C4 | 178.6 | C4(178.6)-H8(6.64) C4(178.6)-H6(6.28) C4(178.6)-H5(12.45) |
| OH | 12.45 | - | - | - | OH(12.45)-C6(98.4) OH(12.45)-C7(105.9) OH(12.45)-C10(161.9) OH(12.45)-C4(178.6) |
| - | - | - | C5 | 156.8 | C5(156.8)-H8(6.64) |
| H6 | 6.28 | H8(6.28)-C6(98.4) | C6 | 98.4 | H6(6.28)-C8(93.2) H6(6.28)-C7(105.9) H6(6.28)-C10(161.9) H6(6.28)-C9(163.6) H6(6.28)-C4(178.6) C6(98.4)-H8(6.64) C6(98.4)-H5(12.45) |
| - | C7 | 105.9 | C7(105.9)-H8(6.64) C7(105.9)-H5(12.45) C7(105.9)-H6(6.28) | ||
| H8 | 6.64 | H8(6.64)-C8(93.2) | C8 | 93.2 | H8(6.64)-C6(98.4) H8(6.64)-C7(105.9) H8(6.64)-C5(156.8) H8(6.64)-C9(163.6) H8(6.64)-C4(178.6) C8(93.2)-H6(6.28) |
| - | - | - | C9 | 163.6 | C9(163.6)-H14(4.81) C9(163.6)-H6(6.28) C9(163.6)-H8(6.64) |
| - | - | - | C10 | 161.9 | C10(161.9)-H8(6.28) C10(161.9)-H5(12.45) |
| H11 | 4.87 | H11(4.87)-C11(59.0) | C11 | 59.0 | H11(4.87)-C12(78.3) H11(4.87)-C2(136.1) C11(59.95)-H13(2.87) |
| - | - | - | C12 | 78.3 | C12(78.3)-H11(4.87) |
| H13 | 2.87 | H13(2.87)-C13(77.3) | C13 | 77.3 | H13(2.87)-C11(59.0) |
| H14 | 4.81 | H14(4.81)-C14(56.2) | C14 | 56.2 | H14(4.81)-C15(77.9) H14(4.81)-C9(163.6) C14(56.2)-H16(3.06) |
| - | - | - | C15 | 77.9 | C15(77.9)-H14(4.81) |
| H16 | 3.06 | H16(3.06)-C16(77.1) | C16 | 77.1 | H16(3.06)-C14(56.2) |
| H17 | 4.79 | H17(4.79)-C17(55.6) | C17 | 55.6 | H17(4.79)-C18(78.4) H17(4.79)-C4′(159.9) C17(55.6)-H19(3.02) |
| - | - | - | C18 | 78.4 | C18(78.4)-H17(4.79) |
| H19 | 3.02 | H19(3.02)-C19(76.7) | C19 | 76.7 | H19(3.02)-C17(55.6) |
| - | - | - | C1′ | 156.7 | C1′(156.7)-H3′(8.05) C1′(156.7)-H5′(8.05) C1′(156.7)-H2′(7.04) C1′(156.7)-H6′(7.04) |
| H2′ | 7.04 | H3′(7.04)-C2′(114.8) | C2′ | 114.8 | H2′(7.04)-C6′(114.8) H2′(7.04)-C3′(130.5) H2′(7.04)-C4′(159.9) H2′(7.04)-C1′(156.7) H2′(7.04)-C3(123.4) C2′(114.8)-H3′(8.05) C2′(114.8)-H6′(7.04) |
| H3′ | 8.05 | H3′(8.05)-C3′(130.5) | C3′ | 130.5 | H3′(8.05)-C2′(114.8) H3′(8.05)-C5′(130.5) H3′(8.05)-C1′(156.7) H3′(8.05)-C4′(159.9) C3′(130.5)-H2′(7.04) C3′(130.5)-H5′(8.05) |
| - | - | - | C4′ | 159.9 | C4′(159.9)-H17(4.79) C4′(159.9)-H2′(7.04) C4′(159.9)-H6′(7.04) C4′(159.9)-H3′(8.05) C4′(159.9)-H5′(8.05) |
| H5′ | 8.05 | H5′(8.05)-C5′(130.5) | C5′ | 130.5 | H5′(8.05)-C6′(114.8) H5′(8.05)-C3′(130.5) H5′(8.05)-C1′(156.7) H5′(8.05)-C4′(159.9) C5′(130.5)-H3′(8.05) C5′(130.5)-H6′(7.04) |
| H6′ | 7.04 | H6′(7.04)-C6′(114.8) | C6′ | 114.8 | H6′(7.04)-C2′(114.8) H6′(7.04)-C5′(130.5) H6′(7.04)-C4′(159.9) H6′(7.04)-C1′(156.7) H6′(7.04)-C3(123.4) C6′(114.8)-H2′(7.04) C6′(114.8)-H5′(8.05) |
Disclaimer/Publisher’s Note: The statements, opinions and data contained in all publications are solely those of the individual author(s) and contributor(s) and not of MDPI and/or the editor(s). MDPI and/or the editor(s) disclaim responsibility for any injury to people or property resulting from any ideas, methods, instructions or products referred to in the content. |
© 2023 by the authors. Licensee MDPI, Basel, Switzerland. This article is an open access article distributed under the terms and conditions of the Creative Commons Attribution (CC BY) license (https://creativecommons.org/licenses/by/4.0/).
Share and Cite
Kubina, R.; Krzykawski, K.; Sokal, A.; Madej, M.; Dziedzic, A.; Kadela-Tomanek, M. New Propargyloxy Derivatives of Galangin, Kaempferol and Fisetin—Synthesis, Spectroscopic Analysis and In Vitro Anticancer Activity on Head and Neck Cancer Cells. Cells 2023, 12, 2288. https://doi.org/10.3390/cells12182288
Kubina R, Krzykawski K, Sokal A, Madej M, Dziedzic A, Kadela-Tomanek M. New Propargyloxy Derivatives of Galangin, Kaempferol and Fisetin—Synthesis, Spectroscopic Analysis and In Vitro Anticancer Activity on Head and Neck Cancer Cells. Cells. 2023; 12(18):2288. https://doi.org/10.3390/cells12182288
Chicago/Turabian StyleKubina, Robert, Kamil Krzykawski, Arkadiusz Sokal, Marcel Madej, Arkadiusz Dziedzic, and Monika Kadela-Tomanek. 2023. "New Propargyloxy Derivatives of Galangin, Kaempferol and Fisetin—Synthesis, Spectroscopic Analysis and In Vitro Anticancer Activity on Head and Neck Cancer Cells" Cells 12, no. 18: 2288. https://doi.org/10.3390/cells12182288
APA StyleKubina, R., Krzykawski, K., Sokal, A., Madej, M., Dziedzic, A., & Kadela-Tomanek, M. (2023). New Propargyloxy Derivatives of Galangin, Kaempferol and Fisetin—Synthesis, Spectroscopic Analysis and In Vitro Anticancer Activity on Head and Neck Cancer Cells. Cells, 12(18), 2288. https://doi.org/10.3390/cells12182288



