Jasmonic Acid Effect on Cucumis sativus L. Growth Is Related to Inhibition of Plasma Membrane Proton Pump and the Uptake and Assimilation of Nitrates
Abstract
:1. Introduction
2. Materials and Methods
2.1. Plant Material
2.2. Determination of H2O2 and Lipid Peroxidation
2.3. Isolation of Plasma Membrane and Determination of H+-ATPase Activities
2.4. Activities of NADPH-Generating Enzymes
2.5. Nitrate Reductase Activity
2.6. Nitrate Uptake Experiments
2.7. Gene Expression Analysis
2.8. Statistics
3. Results
3.1. Effect of JA on the Growth of Cucumber Seedlings
3.2. Effect of JA on H2O2 Level and Expression of Genes Involved in Its Regulation in Cucumber Roots
3.3. Effect of JA on the Activity of NADPH-Producing Enzymes
3.4. Effect of H2O2 on the Growth of Cucumber Seedlings
3.5. Effect of JA on Lipid Peroxidation in the Roots of Cucumber Seedlings
3.6. Regulation of the Plasma Membrane Proton Pump by JA in the Roots of Cucumber Seedlings
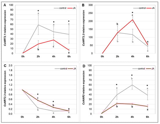
3.7. Regulation of Nitrate Uptake and Assimilation by JA in the Roots of Cucumber Seedlings
4. Discussion
5. Conclusions
Supplementary Materials
Author Contributions
Funding
Institutional Review Board Statement
Informed Consent Statement
Data Availability Statement
Acknowledgments
Conflicts of Interest
References
- Zhang, H.; Zhao, Y.; Zhu, J.-K. Thriving under Stress: How Plants Balance Growth and the Stress Response. Dev. Cell 2020, 55, 529–543. [Google Scholar] [CrossRef] [PubMed]
- Kabała, K.; Janicka, M. Structural and Functional Diversity of Two ATP-Driven Plant Proton Pumps. Int. J. Mol. Sci. 2023, 24, 4512. [Google Scholar] [CrossRef] [PubMed]
- Morsomme, P.; Boutry, M. The Plant Plasma Membrane H+-ATPase: Structure, Function and Regulation. Biochim. Biophys. Acta Biomembr. 2000, 1465, 1–16. [Google Scholar] [CrossRef] [PubMed]
- Arango, M.; Gévaudant, F.; Oufattole, M.; Boutry, M. The Plasma Membrane Proton Pump ATPase: The Significance of Gene Subfamilies. Planta 2003, 216, 355–365. [Google Scholar] [CrossRef]
- Falhof, J.; Pedersen, J.T.; Fuglsang, A.T.; Palmgren, M. Plasma Membrane H+-ATPase Regulation in the Center of Plant Physiology. Mol. Plant 2016, 9, 323–337. [Google Scholar] [CrossRef]
- Duby, G.; Boutry, M. The Plant Plasma Membrane Proton Pump ATPase: A Highly Regulated P-Type ATPase with Multiple Physiological Roles. Pflugers Arch. 2009, 457, 645–655. [Google Scholar] [CrossRef] [PubMed]
- Arsuffi, G.; Braybrook, S.A. Acid Growth: An Ongoing Trip. J. Exp. Bot. 2018, 69, 137–146. [Google Scholar] [CrossRef]
- Janicka-Russak, M. Plant Plasma Membrane H+-ATPase in Adaptation of Plants to Abiotic Stresses. In Abiotic Stress Response in Plants–Physiological, Biochemical and Genetic Perspectives; InTech: Rijeka, Croatia, 2011. [Google Scholar]
- Noguero, M.; Lacombe, B. Transporters Involved in Root Nitrate Uptake and Sensing by Arabidopsis. Front. Plant Sci. 2016, 7, 1391. [Google Scholar] [CrossRef]
- Fan, X.; Naz, M.; Fan, X.; Xuan, W.; Miller, A.J.; Xu, G. Plant Nitrate Transporters: From Gene Function to Application. J. Exp. Bot. 2017, 68, 2463–2475. [Google Scholar] [CrossRef]
- Miller, A.J.; Fan, X.; Orsel, M.; Smith, S.J.; Wells, D.M. Nitrate Transport and Signalling. J. Exp. Bot. 2007, 58, 2297–2306. [Google Scholar] [CrossRef]
- Reda, M.; Klobus, G. Modifications of the Activity of Nitrate Reductase from Cucumber Roots. Biol. Plant 2006, 50, 42–47. [Google Scholar] [CrossRef]
- Ruan, J.; Zhou, Y.; Zhou, M.; Yan, J.; Khurshid, M.; Weng, W.; Cheng, J.; Zhang, K. Jasmonic Acid Signaling Pathway in Plants. Int. J. Mol. Sci. 2019, 20, 2479. [Google Scholar] [CrossRef] [PubMed]
- De Domenico, S.; Taurino, M.; Gallo, A.; Poltronieri, P.; Pastor, V.; Flors, V.; Santino, A. Oxylipin Dynamics in Medicago truncatula in Response to Salt and Wounding Stresses. Physiol. Plant 2019, 165, 198–208. [Google Scholar] [CrossRef] [PubMed]
- Gupta, A.; Hisano, H.; Hojo, Y.; Matsuura, T.; Ikeda, Y.; Mori, I.C.; Senthil-Kumar, M. Global Profiling of Phytohormone Dynamics during Combined Drought and Pathogen Stress in Arabidopsis thaliana Reveals ABA and JA as Major Regulators. Sci. Rep. 2017, 7, 4017. [Google Scholar] [CrossRef] [PubMed]
- Ali, M.S.; Baek, K.-H. Jasmonic Acid Signaling Pathway in Response to Abiotic Stresses in Plants. Int. J. Mol. Sci. 2020, 21, 621. [Google Scholar] [CrossRef]
- Li, Q.; Zheng, J.; Li, S.; Huang, G.; Skilling, S.J.; Wang, L.; Li, L.; Li, M.; Yuan, L.; Liu, P. Transporter-Mediated Nuclear Entry of Jasmonoyl-Isoleucine Is Essential for Jasmonate Signaling. Mol. Plant 2017, 10, 695–708. [Google Scholar] [CrossRef]
- Auh, C.K.; Murphy, T.M. Plasma Membrane Redox Enzyme Is Involved in the Synthesis of O2- and H2O2 by Phytophthora Elicitor-Stimulated Rose Cells. Plant Physiol. 1995, 107, 1241–1247. [Google Scholar] [CrossRef]
- Liu, Y.; Pan, Q.H.; Yang, H.R.; Liu, Y.Y.; Huang, W.D. Relationship between H2O2 and Jasmonic Acid in Pea Leaf Wounding Response. Russ. J. Plant Physiol. 2008, 55, 765–775. [Google Scholar] [CrossRef]
- Suzuki, N.; Mittler, R. Reactive Oxygen Species and Temperature Stresses: A Delicate Balance between Signaling and Destruction. Physiol. Plant 2006, 126, 45–51. [Google Scholar] [CrossRef]
- Volkov, R.A.; Panchuk, I.I.; Mullineaux, P.M.; Schöffl, F. Heat Stress-Induced H2O2 Is Required for Effective Expression of Heat Shock Genes in Arabidopsis. Plant Mol. Biol. 2006, 61, 733–746. [Google Scholar] [CrossRef]
- Janicka, M.; Reda, M.; Czyżewska, K.; Kabała, K. Involvement of Signalling Molecules NO, H2O2 and H2S in Modification of Plasma Membrane Proton Pump in Cucumber Roots Subjected to Salt or Low Temperature Stress. Funct. Plant Biol. 2018, 45, 428. [Google Scholar] [CrossRef] [PubMed]
- Kabała, K.; Reda, M.; Wdowikowska, A.; Janicka, M. Role of Plasma Membrane NADPH Oxidase in Response to Salt Stress in Cucumber Seedlings. Antioxidants 2022, 11, 1534. [Google Scholar] [CrossRef] [PubMed]
- Velikova, V.; Yordanov, I.; Edreva, A. Oxidative Stress and Some Antioxidant Systems in Acid Rain-Treated Bean Plants. Plant Sci. 2000, 151, 59–66. [Google Scholar] [CrossRef]
- Kabała, K.; Zboińska, M.; Głowiak, D.; Reda, M.; Jakubowska, D.; Janicka, M. Interaction between the Signaling Molecules Hydrogen Sulfide and Hydrogen Peroxide and Their Role in Vacuolar H+-ATPase Regulation in Cadmium-stressed Cucumber Roots. Physiol. Plant 2019, 166, 688–704. [Google Scholar] [CrossRef] [PubMed]
- Kabała, K.; Janicka-Russak, M.; Kłobus, G. Different Responses of Tonoplast Proton Pumps in Cucumber Roots to Cadmium and Copper. J. Plant Physiol. 2010, 167, 1328–1335. [Google Scholar] [CrossRef]
- Wdowikowska, A.; Reda, M.; Kabała, K.; Chohura, P.; Jurga, A.; Janiak, K.; Janicka, M. Water and Nutrient Recovery for Cucumber Hydroponic Cultivation in Simultaneous Biological Treatment of Urine and Grey Water. Plants 2023, 12, 1286. [Google Scholar] [CrossRef]
- Larsson, C. Plasma Membranes. In Cell Components; Linskens, H.F., Jackson, J.F., Eds.; Springer: Berlin/Heidelberg, Germany, 1985; pp. 85–104. [Google Scholar]
- Kłobus, G. The Role of Plasma Membrane-Bound Activities in Nitrate Transport into Sealed Plasma Membrane Vesicles from Cucumis sativus L. Roots. In Developments in Plant and Soil Sciences; Baluška, F., Ciamporova, M., Gasparicova, O., Barlow, P.W., Eds.; Kluwer Academic Publisher: Dordrecht, The Netherlands, 1995; Volume 58, pp. 133–140. [Google Scholar]
- Gallagher, S.R.; Leonard, R.T. Effect of Vanadate, Molybdate, and Azide on Membrane-Associated ATPase and Soluble Phosphatase Activities of Corn Roots. Plant Physiol. 1982, 70, 1335–1340. [Google Scholar] [CrossRef]
- Kłobus, G.; Buczek, J. The Role of Plasma Membrane Oxidoreductase Activity in Proton Transport. J. Plant Physiol. 1995, 146, 103–107. [Google Scholar] [CrossRef]
- Janicka, M.; Reda, M.; Napieraj, N.; Michalak, A.; Jakubowska, D.; Kabała, K. Involvement of Diamine Oxidase in Modification of Plasma Membrane Proton Pump Activity in Cucumis sativus L. Seedlings under Cadmium Stress. Int. J. Mol. Sci. 2022, 24, 262. [Google Scholar] [CrossRef]
- Bradford, M.M. A Rapid and Sensitive Method for the Quantitation of Microgram Quantities of Protein Utilizing the Principle of Protein-Dye Binding. Anal. Biochem. 1976, 72, 248–254. [Google Scholar] [CrossRef]
- Li, J.; Chen, G.; Wang, X.; Zhang, Y.; Jia, H.; Bi, Y. Glucose-6-Phosphate Dehydrogenase-Dependent Hydrogen Peroxide Production Is Involved in the Regulation of Plasma Membrane H+-ATPase and Na+/H+ Antiporter Protein in Salt-Stressed Callus from Carex moorcroftii. Physiol. Plant 2011, 141, 239–250. [Google Scholar] [CrossRef] [PubMed]
- Jakubowska, D.; Janicka-Russak, M.; Kabała, K.; Migocka, M.; Reda, M. Modification of Plasma Membrane NADPH Oxidase Activity in Cucumber Seedling Roots in Response to Cadmium Stress. Plant Sci. 2015, 234, 50–59. [Google Scholar] [CrossRef] [PubMed]
- Reda, M. Response of Nitrate Reductase Activity and NIA Genes Expression in Roots of Arabidopsis Hxk1 Mutant Treated with Selected Carbon and Nitrogen Metabolites. Plant Sci. 2015, 230, 51–58. [Google Scholar] [CrossRef]
- Kaiser, W.M.; Huber, S.C. Correlation between Apparent Activation State of Nitrate Reductase (NR), NR Hysteresis and Degradation of NR Protein. J. Exp. Bot. 1997, 48, 1367–1374. [Google Scholar] [CrossRef]
- Wdowikowska, A.; Klobus, G. The Plasma Membrane Proton Pump Gene Family in Cucumber. Acta Physiol. Plant 2016, 38, 135. [Google Scholar] [CrossRef]
- Reda, M.; Migocka, M.; Kłobus, G. Effect of Short-Term Salinity on the Nitrate Reductase Activity in Cucumber Roots. Plant Sci. 2011, 180, 783–788. [Google Scholar] [CrossRef]
- Migocka, M.; Papierniak, A. Identification of Suitable Reference Genes for Studying Gene Expression in Cucumber Plants Subjected to Abiotic Stress and Growth Regulators. Mol. Breed. 2011, 28, 343–357. [Google Scholar] [CrossRef]
- Wasternack, C.; Hause, B. Jasmonates: Biosynthesis, Perception, Signal Transduction and Action in Plant Stress Response, Growth and Development. An Update to the 2007 Review in Annals of Botany. Ann. Bot. 2013, 111, 1021–1058. [Google Scholar] [CrossRef]
- Kim, J.; Chang, C.; Tucker, M.L. To Grow Old: Regulatory Role of Ethylene and Jasmonic Acid in Senescence. Front. Plant Sci. 2015, 6, 20. [Google Scholar] [CrossRef]
- Jang, G.; Chang, S.H.; Um, T.Y.; Lee, S.; Kim, J.K.; Choi, Y.D. Antagonistic Interaction between Jasmonic Acid and Cytokinin in Xylem Development. Sci. Rep. 2017, 7, 10212. [Google Scholar] [CrossRef]
- Gasperini, D.; Chételat, A.; Acosta, I.F.; Goossens, J.; Pauwels, L.; Goossens, A.; Dreos, R.; Alfonso, E.; Farmer, E.E. Multilayered Organization of Jasmonate Signalling in the Regulation of Root Growth. PLoS Genet. 2015, 11, e1005300. [Google Scholar] [CrossRef] [PubMed]
- Ellouzi, H.; Hamed, K.B.; Cela, J.; Müller, M.; Abdelly, C.; Munné-Bosch, S. Increased Sensitivity to Salt Stress in Tocopherol-Deficient Arabidopsis Mutants Growing in a Hydroponic System. Plant Signal Behav. 2013, 8, e23136. [Google Scholar] [CrossRef] [PubMed]
- Wasternack, C.; Strnad, M. Jasmonate Signaling in Plant Stress Responses and Development–Active and Inactive Compounds. N. Biotechnol. 2016, 33, 604–613. [Google Scholar] [CrossRef]
- Cai, X.T.; Xu, P.; Zhao, P.X.; Liu, R.; Yu, L.H.; Xiang, C.B. Arabidopsis ERF109 Mediates Cross-Talk between Jasmonic Acid and Auxin Biosynthesis during Lateral Root Formation. Nat. Commun. 2014, 5, 5833. [Google Scholar] [CrossRef]
- Xu, P.; Zhao, P.-X.; Cai, X.-T.; Mao, J.-L.; Miao, Z.-Q.; Xiang, C.-B. Integration of Jasmonic Acid and Ethylene into Auxin Signaling in Root Development. Front. Plant Sci. 2020, 11, 271. [Google Scholar] [CrossRef]
- Yang, D.-L.; Yao, J.; Mei, C.-S.; Tong, X.-H.; Zeng, L.-J.; Li, Q.; Xiao, L.-T.; Sun, T.; Li, J.; Deng, X.-W.; et al. Plant Hormone Jasmonate Prioritizes Defense over Growth by Interfering with Gibberellin Signaling Cascade. Proc. Natl. Acad. Sci. USA 2012, 109, E1192–E1200. [Google Scholar] [CrossRef]
- Um, T.Y.; Lee, H.Y.; Lee, S.; Chang, S.H.; Chung, P.J.; Oh, K.-B.; Kim, J.-K.; Jang, G.; Choi, Y.D. Jasmonate Zim-Domain Protein 9 Interacts with Slender Rice 1 to Mediate the Antagonistic Interaction Between Jasmonic and Gibberellic Acid Signals in Rice. Front. Plant Sci. 2018, 9, 1866. [Google Scholar] [CrossRef]
- Doke, N. Involvement of Superoxide Anion Generation in the Hypersensitive Response of Potato Tuber Tissues to Infection with an Incompatible Race of Phytophthora infestans and to the Hyphal Wall Components. Physiol. Plant Pathol. 1983, 23, 345–357. [Google Scholar] [CrossRef]
- Torres, M.A.; Jones, J.D.G.; Dangl, J.L. Reactive Oxygen Species Signaling in Response to Pathogens. Plant Physiol. 2006, 141, 373–378. [Google Scholar] [CrossRef]
- Hung, K.T.; Hsu, Y.T.; Kao, C.H. Hydrogen Peroxide Is Involved in Methyl Jasmonate-Induced Senescence of Rice Leaves. Physiol. Plant 2006, 127, 293–303. [Google Scholar] [CrossRef]
- Sewelam, N.; Kazan, K.; Schenk, P.M. Global Plant Stress Signaling: Reactive Oxygen Species at the Cross-Road. Front. Plant Sci. 2016, 7, 187. [Google Scholar] [CrossRef] [PubMed]
- Jiang, M.; Xu, F.; Peng, M.; Huang, F.; Meng, F. Methyl Jasmonate Regulated Diploid and Tetraploid Black Locust (Robinia pseudoacacia L.) Tolerance to Salt Stress. Acta Physiol. Plant 2016, 38, 106. [Google Scholar] [CrossRef]
- Faghih, S.; Ghobadi, C.; Zarei, A. Response of Strawberry Plant Cv. ‘Camarosa’ to Salicylic Acid and Methyl Jasmonate Application Under Salt Stress Condition. J. Plant Growth Regul. 2017, 36, 651–659. [Google Scholar] [CrossRef]
- Wu, H.; Wu, X.; Li, Z.; Duan, L.; Zhang, M. Physiological Evaluation of Drought Stress Tolerance and Recovery in Cauliflower (Brassica oleracea L.) Seedlings Treated with Methyl Jasmonate and Coronatine. J. Plant Growth Regul. 2012, 31, 113–123. [Google Scholar] [CrossRef]
- Abdelgawad, Z.A.; Khalafaallah, A.A.; Abdallah, M.M. Impact of Methyl Jasmonate on Antioxidant Activity and Some Biochemical Aspects of Maize Plant Grown under Water Stress Condition. Agric. Sci. 2014, 5, 1077–1088. [Google Scholar] [CrossRef]
- Yan, Z.; Zhang, W.; Chen, J.; Li, X. Methyl Jasmonate Alleviates Cadmium Toxicity in Solanum nigrum by Regulating Metal Uptake and Antioxidative Capacity. Biol. Plant 2015, 59, 373–381. [Google Scholar] [CrossRef]
- Maruta, T.; Inoue, T.; Tamoi, M.; Yabuta, Y.; Yoshimura, K.; Ishikawa, T.; Shigeoka, S. Arabidopsis NADPH Oxidases, AtrbohD and AtrbohF, Are Essential for Jasmonic Acid-Induced Expression of Genes Regulated by MYC2 Transcription Factor. Plant Sci. 2011, 180, 655–660. [Google Scholar] [CrossRef]
- Ogawa, K.; Kanematsu, S.; Asada, K. Intra-and Extra-Cellular Localization of “Cytosolic” CuZn-Superoxide Dismutase in Spinach Leaf and Hypocotyl. Plant Cell Physiol. 1996, 37, 790–799. [Google Scholar] [CrossRef]
- Alscher, R.G. Role of Superoxide Dismutases (SODs) in Controlling Oxidative Stress in Plants. J. Exp. Bot. 2002, 53, 1331–1341. [Google Scholar] [CrossRef]
- Shapiguzov, A.; Vainonen, J.P.; Wrzaczek, M.; Kangasjärvi, J. ROS-Talk–How the Apoplast, the Chloroplast, and the Nucleus Get the Message Through. Front. Plant Sci. 2012, 3, 292. [Google Scholar] [CrossRef]
- Foyer, C.H.; Noctor, G. Ascorbate and Glutathione: The Heart of the Redox Hub. Plant Physiol. 2011, 155, 2–18. [Google Scholar] [CrossRef] [PubMed]
- Aguilar Diaz De Leon, J.; Borges, C.R. Evaluation of Oxidative Stress in Biological Samples Using the Thiobarbituric Acid Reactive Substances Assay. J. Vis. Exp. 2020, e61122. [Google Scholar] [CrossRef]
- Sirhindi, G.; Mir, M.A.; Sharma, P.; Gill, S.S.; Kaur, H.; Mushtaq, R. Modulatory Role of Jasmonic Acid on Photosynthetic Pigments, Antioxidants and Stress Markers of Glycine max L. under Nickel Stress. Physiol. Mol. Biol. Plants 2015, 21, 559–565. [Google Scholar] [CrossRef] [PubMed]
- Scharte, J.; Schön, H.; Tjaden, Z.; Weis, E.; von Schaewen, A. Isoenzyme Replacement of Glucose-6-Phosphate Dehydrogenase in the Cytosol Improves Stress Tolerance in Plants. Proc. Natl. Acad. Sci. USA 2009, 106, 8061–8066. [Google Scholar] [CrossRef] [PubMed]
- Liu, S.; Cheng, Y.; Zhang, X.; Guan, Q.; Nishiuchi, S.; Hase, K.; Takano, T. Expression of an NADP-Malic Enzyme Gene in Rice (Oryza sativa L.) Is Induced by Environmental Stresses; over-Expression of the Gene in Arabidopsis Confers Salt and Osmotic Stress Tolerance. Plant Mol. Biol. 2007, 64, 49–58. [Google Scholar] [CrossRef] [PubMed]
- Zhu, C.; Yang, N.; Ma, X.; Li, G.; Qian, M.; Ng, D.; Xia, K.; Gan, L. Plasma Membrane H+-ATPase Is Involved in Methyl Jasmonate-Induced Root Hair Formation in Lettuce (Lactuca sativa L.) Seedlings. Plant Cell Rep. 2015, 34, 1025–1036. [Google Scholar] [CrossRef]
- Schaller, A.; Oecking, C. Modulation of Plasma Membrane H+-ATPase Activity Differentially Activates Wound and Pathogen Defense Responses in Tomato Plants. Plant Cell 1999, 11, 263–272. [Google Scholar] [CrossRef]
- Janicka-Russak, M.; Kabała, K.; Wdowikowska, A.; Kłobus, G. Response of Plasma Membrane H+-ATPase to Low Temperature in Cucumber Roots. J. Plant Res. 2012, 125, 291–300. [Google Scholar] [CrossRef]
- Zboińska, M.; Romero, L.C.; Gotor, C.; Kabała, K. Regulation of V-ATPase by Jasmonic Acid: Possible Role of Persulfidation. Int. J. Mol. Sci. 2023, 24, 13896. [Google Scholar] [CrossRef]
- Wu, X.; Ding, C.; Baerson, S.R.; Lian, F.; Lin, X.; Zhang, L.; Wu, C.; Hwang, S.-Y.; Zeng, R.; Song, Y. The Roles of Jasmonate Signalling in Nitrogen Uptake and Allocation in Rice (Oryza sativa L.). Plant Cell Environ. 2019, 42, 659–672. [Google Scholar] [CrossRef]
- Orsel, M.; Chopin, F.; Leleu, O.; Smith, S.J.; Krapp, A.; Daniel-Vedele, F.; Miller, A.J. Characterization of a Two-Component High-Affinity Nitrate Uptake System in Arabidopsis. Physiology and Protein-Protein Interaction. Plant Physiol. 2006, 142, 1304–1317. [Google Scholar] [CrossRef]
- Lupini, A.; Mercati, F.; Araniti, F.; Miller, A.J.; Sunseri, F.; Abenavoli, M.R. NAR2.1/NRT2.1 Functional Interaction with NO3− and H+ Fluxes in High-Affinity Nitrate Transport in Maize Root Regions. Plant Physiol. Biochem. 2016, 102, 107–114. [Google Scholar] [CrossRef] [PubMed]
- Orsel, M.; Krapp, A.; Daniel-Vedele, F. Analysis of the NRT2 Nitrate Transporter Family in Arabidopsis. Structure and Gene Expression. Plant Physiol. 2002, 129, 886–896. [Google Scholar] [CrossRef] [PubMed]
- Campbell, W.H. Nitrate Reductase Structure, Function and Regulation: Bridging the Gap between Biochemistry and Physiology. Annu. Rev. Plant Physiol. Plant Mol. Biol. 1999, 50, 277–303. [Google Scholar] [CrossRef] [PubMed]
- Yu, X.; Fei, P.; Xie, Z.; Zhang, W.; Zhao, Q.; Zhang, X. Effects of Methyl Jasmonate on Growth, Antioxidants, and Carbon and Nitrogen Metabolism of Glycyrrhiza uralensis under Salt Stress. Biol. Plant 2019, 63, 89–96. [Google Scholar] [CrossRef]
- Farhangi-Abriz, S.; Ghassemi-Golezani, K. Improving Amino Acid Composition of Soybean under Salt Stress by Salicylic Acid and Jasmonic Acid. J. Appl. Bot. Food Qual. 2016, 89, 243–248. [Google Scholar] [CrossRef]











Disclaimer/Publisher’s Note: The statements, opinions and data contained in all publications are solely those of the individual author(s) and contributor(s) and not of MDPI and/or the editor(s). MDPI and/or the editor(s) disclaim responsibility for any injury to people or property resulting from any ideas, methods, instructions or products referred to in the content. |
© 2023 by the authors. Licensee MDPI, Basel, Switzerland. This article is an open access article distributed under the terms and conditions of the Creative Commons Attribution (CC BY) license (https://creativecommons.org/licenses/by/4.0/).
Share and Cite
Janicka, M.; Reda, M.; Mroczko, E.; Wdowikowska, A.; Kabała, K. Jasmonic Acid Effect on Cucumis sativus L. Growth Is Related to Inhibition of Plasma Membrane Proton Pump and the Uptake and Assimilation of Nitrates. Cells 2023, 12, 2263. https://doi.org/10.3390/cells12182263
Janicka M, Reda M, Mroczko E, Wdowikowska A, Kabała K. Jasmonic Acid Effect on Cucumis sativus L. Growth Is Related to Inhibition of Plasma Membrane Proton Pump and the Uptake and Assimilation of Nitrates. Cells. 2023; 12(18):2263. https://doi.org/10.3390/cells12182263
Chicago/Turabian StyleJanicka, Małgorzata, Małgorzata Reda, Emilia Mroczko, Anna Wdowikowska, and Katarzyna Kabała. 2023. "Jasmonic Acid Effect on Cucumis sativus L. Growth Is Related to Inhibition of Plasma Membrane Proton Pump and the Uptake and Assimilation of Nitrates" Cells 12, no. 18: 2263. https://doi.org/10.3390/cells12182263
APA StyleJanicka, M., Reda, M., Mroczko, E., Wdowikowska, A., & Kabała, K. (2023). Jasmonic Acid Effect on Cucumis sativus L. Growth Is Related to Inhibition of Plasma Membrane Proton Pump and the Uptake and Assimilation of Nitrates. Cells, 12(18), 2263. https://doi.org/10.3390/cells12182263

