Construction of a Necroptosis-Related lncRNA Signature for Predicting Prognosis and Immune Response in Kidney Renal Clear Cell Carcinoma
Abstract
1. Introduction
2. Materials and Methods
2.1. Data Preparation and Cleaning
2.2. Identification of NRLs
2.3. Establishment of the Prognostic Signature Based on NRLs
2.4. Assessment and Validation of the Prognostic Signature
- We compared the survival differences between high and low-risk groups.
- Univariate analysis was applied to determine whether the risk score and other pathological factors, including age, gender, and pathological grade, were related to the prognosis.
- The multivariate analysis could verify whether risk score is an independent parameter for prognosis.
- We drew a nomogram to predict the survival rate at 1, 3, and 5 years.
2.5. Functional Enrichment Analysis and Immune Response of the Prognostic Signature
2.6. Statistical Analysis
3. Results
3.1. Enrichment Analysis of Necroptosis-Related Genes
3.2. Construction of the Prognostic Signature Based on 6 NRLs
3.3. The Value of the Prognostic Signature
3.4. Internal Validation of the Prognostic Signature
3.5. Immune-Related Pathways and Immune Microenvironment
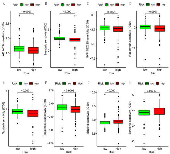
3.6. Potential Effects of Immunotherapy and Chemotherapy in KIRC
4. Discussion
Supplementary Materials
Author Contributions
Funding
Institutional Review Board Statement
Informed Consent Statement
Data Availability Statement
Conflicts of Interest
References
- Sung, H.; Ferlay, J.; Siegel, R.L.; Laversanne, M.; Soerjomataram, I.; Jemal, A.; Bray, F. Global Cancer Statistics 2020: GLOBOCAN Estimates of Incidence and Mortality Worldwide for 36 Cancers in 185 Countries. CA Cancer J. Clin. 2021, 71, 209–249. [Google Scholar] [CrossRef] [PubMed]
- Siegel, R.L.; Miller, K.D.; Fuchs, H.E.; Jemal, A. Cancer statistics, 2022. CA Cancer J. Clin. 2022, 72, 7–33. [Google Scholar] [CrossRef] [PubMed]
- Hsieh, J.J.; Purdue, M.P.; Signoretti, S.; Swanton, C.; Albiges, L.; Schmidinger, M.; Heng, D.Y.; Larkin, J.; Ficarra, V. Renal cell carcinoma. Nat. Rev. Dis. Prim. 2017, 3, 17009. [Google Scholar] [CrossRef] [PubMed]
- Makhov, P.; Joshi, S.; Ghatalia, P.; Kutikov, A.; Uzzo, R.G.; Kolenko, V.M. Resistance to Systemic Therapies in Clear Cell Renal Cell Carcinoma: Mechanisms and Management Strategies. Mol. Cancer Ther. 2018, 17, 1355–1364. [Google Scholar] [CrossRef]
- Turajlic, S.; Swanton, C.; Boshoff, C. Kidney cancer: The next decade. J. Exp. Med. 2018, 215, 2477–2479. [Google Scholar] [CrossRef]
- Cohen, H.T.; McGovern, F.J. Renal-cell carcinoma. New Engl. J. Med. 2005, 353, 2477–2490. [Google Scholar] [CrossRef]
- Snyder, A.G.; Hubbard, N.W.; Messmer, M.N.; Kofman, S.B.; Hagan, C.E.; Orozco, S.L.; Chiang, K.; Daniels, B.P.; Baker, D.; Oberst, A. Intratumoral activation of the necroptotic pathway components RIPK1 and RIPK3 potentiates antitumor immunity. Sci. Immunol. 2019, 4, eaaw2004. [Google Scholar] [CrossRef]
- Gong, Y.; Fan, Z.; Luo, G.; Yang, C.; Huang, Q.; Fan, K.; Cheng, H.; Jin, K.; Ni, Q.; Yu, X.; et al. The role of necroptosis in cancer biology and therapy. Mol. Cancer 2019, 18, 100. [Google Scholar] [CrossRef]
- Wang, K.J.; Wang, K.Y.; Zhang, H.Z.; Meng, X.Y.; Chen, J.F.; Wang, P.; Jiang, J.H.; Ma, Q. Up-Regulation of RIP3 Alleviates Prostate Cancer Progression by Activation of RIP3/MLKL Signaling Pathway and Induction of Necroptosis. Front. Oncol. 2020, 10, 1720. [Google Scholar] [CrossRef]
- Zhao, Q.; Guo, J.; Cheng, X.; Liao, Y.; Bi, Y.; Gong, Y.; Zhang, X.; Guo, Y.; Wang, X.; Yu, W.; et al. RIPK3 Suppresses the Progression of Spontaneous Intestinal Tumorigenesis. Front. Oncol. 2021, 11, 664927. [Google Scholar] [CrossRef]
- Park, H.H.; Kim, H.R.; Park, S.Y.; Hwang, S.M.; Hong, S.M.; Park, S.; Kang, H.C.; Morgan, M.J.; Cha, J.H.; Lee, D.; et al. RIPK3 activation induces TRIM28 derepression in cancer cells and enhances the anti-tumor microenvironment. Mol. Cancer 2021, 20, 107. [Google Scholar] [CrossRef] [PubMed]
- Zhu, F.; Zhang, W.; Yang, T.; He, S.D. Complex roles of necroptosis in cancer. J. Zhejiang Univ. Sci. B 2019, 20, 399–413. [Google Scholar] [CrossRef] [PubMed]
- Najafov, A.; Chen, H.; Yuan, J. Necroptosis and Cancer. Trends Cancer 2017, 3, 294–301. [Google Scholar] [CrossRef] [PubMed]
- Stoll, G.; Ma, Y.; Yang, H.; Kepp, O.; Zitvogel, L.; Kroemer, G. Pro-necrotic molecules impact local immunosurveillance in human breast cancer. Oncoimmunology 2017, 6, e1299302. [Google Scholar] [CrossRef]
- Seehawer, M.; Heinzmann, F.; D’Artista, L.; Harbig, J.; Roux, P.-F.; Hoenicke, L.; Dang, H.; Klotz, S.; Robinson, L.; Doré, G.; et al. Necroptosis microenvironment directs lineage commitment in liver cancer. Nature 2018, 562, 69–75. [Google Scholar] [CrossRef]
- Liu, Z.-Y.; Zheng, M.; Li, Y.-M.; Fan, X.-Y.; Wang, J.-C.; Li, Z.-C.; Yang, H.-J.; Yu, J.-M.; Cui, J.; Jiang, J.-L.; et al. RIP3 promotes colitis-associated colorectal cancer by controlling tumor cell proliferation and CXCL1-induced immune suppression. Theranostics 2019, 9, 3659–3673. [Google Scholar] [CrossRef]
- Ando, Y.; Ohuchida, K.; Otsubo, Y.; Kibe, S.; Takesue, S.; Abe, T.; Iwamoto, C.; Shindo, K.; Moriyama, T.; Nakata, K.; et al. Necroptosis in pancreatic cancer promotes cancer cell migration and invasion by release of CXCL5. PLoS ONE 2020, 15, e0228015. [Google Scholar] [CrossRef]
- Bridges, M.C.; Daulagala, A.C.; Kourtidis, A. LNCcation: lncRNA localization and function. J. Cell Biol. 2021, 220, e202009045. [Google Scholar] [CrossRef]
- Cao, H.L.; Liu, Z.J.; Huang, P.L.; Yue, Y.L.; Xi, J.N. lncRNA-RMRP promotes proliferation, migration and invasion of bladder cancer via miR-206. Eur. Rev. Med. Pharmacol. Sci. 2019, 23, 1012–1021. [Google Scholar]
- Kong, X.; Duan, Y.; Sang, Y.; Li, Y.; Zhang, H.; Liang, Y.; Liu, Y.; Zhang, N.; Yang, Q. LncRNA-CDC6 promotes breast cancer progression and function as ceRNA to target CDC6 by sponging microRNA-215. J. Cell. Physiol. 2019, 234, 9105–9117. [Google Scholar] [CrossRef]
- Zhen, Q.; Gao, L.-N.; Wang, R.-F.; Chu, W.-W.; Zhang, Y.-X.; Zhao, X.-J.; Lv, B.-L.; Liu, J.-B. LncRNA DANCR Promotes Lung Cancer by Sequestering miR-216a. Cancer Control J. Moffitt Cancer Cent. 2018, 25, 1073274818769849. [Google Scholar] [CrossRef] [PubMed]
- Liu, Y.; Li, X.; Zhang, C.; Zhang, H.; Huang, Y. LINC00973 is involved in cancer immune suppression through positive regulation of Siglec-15 in clear-cell renal cell carcinoma. Cancer Sci. 2020, 111, 3693–3704. [Google Scholar] [CrossRef] [PubMed]
- Geeleher, P.; Cox, N.J.; Huang, R.S. Clinical drug response can be predicted using baseline gene expression levels and in vitro drug sensitivity in cell lines. Genome Biol. 2014, 15, R47. [Google Scholar] [CrossRef] [PubMed]
- Yan, J.; Wan, P.; Choksi, S.; Liu, Z.G. Necroptosis and tumor progression. Trends Cancer 2022, 8, 21–27. [Google Scholar] [CrossRef] [PubMed]
- Bhan, A.; Soleimani, M.; Mandal, S.S. Long Noncoding RNA and Cancer: A New Paradigm. Cancer Res. 2017, 77, 3965–3981. [Google Scholar] [CrossRef]
- Peng, W.X.; Koirala, P.; Mo, Y.Y. LncRNA-mediated regulation of cell signaling in cancer. Oncogene 2017, 36, 5661–5667. [Google Scholar] [CrossRef]
- Luo, L.; Li, L.; Liu, L.; Feng, Z.; Zeng, Q.; Shu, X.; Cao, Y.; Li, Z. A Necroptosis-Related lncRNA-Based Signature to Predict Prognosis and Probe Molecular Characteristics of Stomach Adenocarcinoma. Front. Genet. 2022, 13, 833928. [Google Scholar] [CrossRef]
- Chen, F.; Yang, J.; Fang, M.; Wu, Y.; Su, D.; Sheng, Y. Necroptosis-related lncRNA to establish novel prognostic signature and predict the immunotherapy response in breast cancer. J. Clin. Lab. Anal. 2022, 36, e24302. [Google Scholar] [CrossRef]
- Hu, T.; Zhao, X.; Zhao, Y.; Cheng, J.; Xiong, J.; Lu, C. Identification and Verification of Necroptosis-Related Gene Signature and Associated Regulatory Axis in Breast Cancer. Front. Genet. 2022, 13, 842218. [Google Scholar] [CrossRef]
- Lu, Y.; Luo, X.; Wang, Q.; Chen, J.; Zhang, X.; Li, Y.; Chen, Y.; Li, X.; Han, S. A Novel Necroptosis-Related lncRNA Signature Predicts the Prognosis of Lung Adenocarcinoma. Front. Genet. 2022, 13, 862741. [Google Scholar] [CrossRef]
- Huang, J.; Xu, Z.; Teh, B.M.; Zhou, C.; Yuan, Z.; Shi, Y.; Shen, Y. Construction of a necroptosis-related lncRNA signature to predict the prognosis and immune microenvironment of head and neck squamous cell carcinoma. J. Clin. Lab. Anal. 2022, 36, e24480. [Google Scholar] [CrossRef] [PubMed]
- Liu, L.; Huang, L.; Chen, W.; Zhang, G.; Li, Y.; Wu, Y.; Xiong, J.; Jie, Z. Comprehensive Analysis of Necroptosis-Related Long Noncoding RNA Immune Infiltration and Prediction of Prognosis in Patients with Colon Cancer. Front. Mol. Biosci. 2022, 9, 811269. [Google Scholar] [CrossRef] [PubMed]
- Frank, D.; Vince, J.E. Pyroptosis versus necroptosis: Similarities, differences, and crosstalk. Cell Death Differ. 2019, 26, 99–114. [Google Scholar] [CrossRef] [PubMed]
- Vince, J.E.; Silke, J. The intersection of cell death and inflammasome activation. Cell. Mol. Life Sci. 2016, 73, 2349–2367. [Google Scholar] [CrossRef] [PubMed]
- Saxena, M.; Yeretssian, G. NOD-Like Receptors: Master Regulators of Inflammation and Cancer. Front. Immunol. 2014, 5, 327. [Google Scholar] [CrossRef] [PubMed]
- Liu, P.; Lu, Z.; Liu, L.; Li, R.; Liang, Z.; Shen, M.; Xu, H.; Ren, D.; Ji, M.; Yuan, S.; et al. NOD-like receptor signaling in inflammation-associated cancers: From functions to targeted therapies. Phytomedicine 2019, 64, 152925. [Google Scholar] [CrossRef]
- Liu, S.B.; Wang, H.F.; Xie, Q.P.; Li, G.; Zhou, L.B.; Hu, B. LncRNA SNHG16 promotes migration and invasion through suppression of CDKN1A in clear cell renal cell carcinoma. Eur. Rev. Med. Pharmacol. Sci. 2020, 24, 7216. [Google Scholar]
- Wang, G.; Li, H.; Hou, Y. LncRNA MAGI2-AS3 inhibits tumor progression and angiogenesis by regulating ACY1 via interacting with transcription factor HEY1 in clear cell renal cell carcinoma. Cancer Gene Ther. 2021, 29, 585–596. [Google Scholar] [CrossRef]
- Kaiser, W.J.; Sridharan, H.; Huang, C.; Mandal, P.; Upton, J.W.; Gough, P.J.; Sehon, C.A.; Marquis, R.W.; Bertin, J.; Mocarski, E.S. Toll-like receptor 3-mediated necrosis via TRIF, RIP3, and MLKL. J. Biol. Chem. 2013, 288, 31268–31279. [Google Scholar] [CrossRef]
- Lou, X.; Zhu, H.; Ning, L.; Li, C.; Li, S.; Du, H.; Zhou, X.; Xu, G. EZH2 Regulates Intestinal Inflammation and Necroptosis Through the JNK Signaling Pathway in Intestinal Epithelial Cells. Dig. Dis. Sci. 2019, 64, 3518–3527. [Google Scholar] [CrossRef]
- McComb, S.; Cessford, E.; Alturki, N.A.; Joseph, J.; Shutinoski, B.; Startek, J.B.; Gamero, A.M.; Mossman, K.L.; Sad, S. Type-I interferon signaling through ISGF3 complex is required for sustained Rip3 activation and necroptosis in macrophages. Proc. Natl. Acad. Sci. USA 2014, 111, E3206–E3213. [Google Scholar] [CrossRef] [PubMed]
- Bakhoum, S.F.; Ngo, B.; Laughney, A.M.; Cavallo, J.-A.; Murphy, C.J.; Ly, P.; Shah, P.; Sriram, R.K.; Watkins, T.B.K.; Taunk, N.K.; et al. Chromosomal instability drives metastasis through a cytosolic DNA response. Nature 2018, 553, 467–472. [Google Scholar] [CrossRef] [PubMed]
- Yoo, S.Y.; Lee, S.Y.; Yoo, N.C. Cytokine expression and cancer detection. Med. Sci. Monit. Int. Med. J. Exp. Clin. Res. 2009, 15, Ra49–Ra56. [Google Scholar]
- Yao, M.; Brummer, G.; Acevedo, D.; Cheng, N. Cytokine Regulation of Metastasis and Tumorigenicity. Adv Cancer Res. 2016, 132, 265–367. [Google Scholar] [PubMed]
- Domingues, P.; González-Tablas, M.; Otero, Á.; Pascual, D.; Miranda, D.; Ruiz, L.; Sousa, P.; Ciudad, J.; Gonçalves, J.M.; Lopes, M.C.; et al. Tumor infiltrating immune cells in gliomas and meningiomas. Brain Behav. Immun. 2016, 53, 1–15. [Google Scholar] [CrossRef] [PubMed]
- Braun, D.A.; Hou, Y.; Bakouny, Z.; Ficial, M.; Sant’ Angelo, M.; Forman, J.; Ross-Macdonald, P.; Berger, A.C.; Jegede, O.A.; Elagina, L.; et al. Interplay of somatic alterations and immune infiltration modulates response to PD-1 blockade in advanced clear cell renal cell carcinoma. Nat. Med. 2020, 26, 909–918. [Google Scholar] [CrossRef]
- Su, S.; Akbarinejad, S.; Shahriyari, L. Immune classification of clear cell renal cell carcinoma. Sci. Rep. 2021, 11, 4338. [Google Scholar] [CrossRef]
- Cicalese, M.P.; Salek-Ardakani, S.; Fousteri, G. Editorial: Follicular Helper T Cells in Immunity and Autoimmunity. Front Immunol. 2020, 11, 1042. [Google Scholar] [CrossRef]
- Zhao, Y.; Zhang, C.; Zhu, Y.; Ding, X.; Zhou, Y.; Lv, H.; Lin, Y.; Wu, Y.; Shi, B.; Fu, J. TREM1 fosters an immunosuppressive tumor microenvironment in papillary thyroid cancer. Endocr. Relat. Cancer 2022, 29, 71–86. [Google Scholar] [CrossRef]
- O’Neill, R.E.; Cao, X. Co-stimulatory and co-inhibitory pathways in cancer immunotherapy. Adv. Cancer Res. 2019, 143, 145–194. [Google Scholar]
- Motzer, R.J.; Jonasch, E.; Agarwal, N.; Alva, A.; Baine, M.; Beckermann, K.; Carlo, M.I.; Choueiri, T.K.; Costello, B.A.; Derweesh, I.H.; et al. Kidney Cancer, Version 3.2022, NCCN Clinical Practice Guidelines in Oncology. J. Natl. Compr. Cancer Netw. 2022, 20, 71–90. [Google Scholar] [CrossRef] [PubMed]
- Gu, J.; He, Z.; Huang, Y.; Luan, T.; Chen, Z.; Wang, J.; Ding, M. Clinicopathological and Prognostic Value of Necroptosis-Associated lncRNA Model in Patients with Kidney Renal Clear Cell Carcinoma. Dis. Markers 2022, 2022, 5204831. [Google Scholar] [CrossRef] [PubMed]











| Features | Entire Cohort (n = 509) | Validation Cohort | |
|---|---|---|---|
| First Cohort (n = 256) | Second Cohort (n = 253) | ||
| Age (%) | |||
| ≤65 | 337 (66.2) | 167 (65.2) | 170 (67.2) |
| >65 | 172 (33.8) | 89 (34.8) | 83 (32.8) |
| Gender (%) | |||
| Female | 175 (34.4) | 89 (34.8) | 86 (34.0) |
| Male | 334 (65.6) | 167 (65.2) | 167 (66.0) |
| Grade (%) | |||
| G1 | 12 (2.4) | 8 (3.1) | 4 (1.6) |
| G2 | 216 (42.4) | 110 (43.0) | 106 (41.9) |
| G3 | 199 (39.1) | 95 (37.1) | 104 (41.1) |
| G4 | 74 (14.5) | 39 (15.2) | 35 (13.8) |
| GX + unknown | 8 (1.6) | 4 (1.6) | 4 (1.6) |
| Stage (%) | |||
| Stage I | 254 (49.9) | 127 (49.6) | 127 (50.2) |
| Stage II | 53 (10.4) | 29 (11.3) | 24 (9.5) |
| Stage III | 116 (22.8) | 51 (20.0) | 65 (25.7) |
| Stage IV | 83 (16.3) | 48 (18.7) | 35 (13.8) |
| unknown | 3 (0.6) | 1 (0.4) | 2 (0.8) |
| T (%) | |||
| T1 | 260 (51.1) | 132 (51.6) | 128 (50.6) |
| T2 | 65 (12.8) | 35 (13.7) | 30 (11.9) |
| T3 | 173 (33.9) | 84 (32.8) | 89 (35.2) |
| T4 | 11 (2.2) | 5 (1.9) | 6 (2.3) |
| M (%) | |||
| M0 | 402 (79.0) | 194 (75.8) | 208 (82.2) |
| M1 | 79 (15.5) | 47 (18.4) | 32 (12.6) |
| MX + unknown | 28 (5.5) | 15 (5.8) | 13 (5.2) |
| N (%) | |||
| N0 | 226 (44.4) | 119 (46.5) | 107 (42.3) |
| N1 | 16 (3.1) | 9 (3.5) | 7 (2.8) |
| NX | 267 (52.5) | 128 (50.0) | 139 (54.9) |
Disclaimer/Publisher’s Note: The statements, opinions and data contained in all publications are solely those of the individual author(s) and contributor(s) and not of MDPI and/or the editor(s). MDPI and/or the editor(s) disclaim responsibility for any injury to people or property resulting from any ideas, methods, instructions or products referred to in the content. |
© 2022 by the authors. Licensee MDPI, Basel, Switzerland. This article is an open access article distributed under the terms and conditions of the Creative Commons Attribution (CC BY) license (https://creativecommons.org/licenses/by/4.0/).
Share and Cite
Zhang, Y.; Zhuang, T.; Xin, Z.; Sun, C.; Li, D.; Ma, N.; Wang, X.; Wang, X. Construction of a Necroptosis-Related lncRNA Signature for Predicting Prognosis and Immune Response in Kidney Renal Clear Cell Carcinoma. Cells 2023, 12, 66. https://doi.org/10.3390/cells12010066
Zhang Y, Zhuang T, Xin Z, Sun C, Li D, Ma N, Wang X, Wang X. Construction of a Necroptosis-Related lncRNA Signature for Predicting Prognosis and Immune Response in Kidney Renal Clear Cell Carcinoma. Cells. 2023; 12(1):66. https://doi.org/10.3390/cells12010066
Chicago/Turabian StyleZhang, Yue, Tongtian Zhuang, Zhenlong Xin, Changjian Sun, Deyang Li, Nan Ma, Xiaoyan Wang, and Xuning Wang. 2023. "Construction of a Necroptosis-Related lncRNA Signature for Predicting Prognosis and Immune Response in Kidney Renal Clear Cell Carcinoma" Cells 12, no. 1: 66. https://doi.org/10.3390/cells12010066
APA StyleZhang, Y., Zhuang, T., Xin, Z., Sun, C., Li, D., Ma, N., Wang, X., & Wang, X. (2023). Construction of a Necroptosis-Related lncRNA Signature for Predicting Prognosis and Immune Response in Kidney Renal Clear Cell Carcinoma. Cells, 12(1), 66. https://doi.org/10.3390/cells12010066

