Species-Specific Paternal Age Effects and Sperm Methylation Levels of Developmentally Important Genes
Abstract
:1. Introduction
2. Materials and Methods
2.1. Study Samples
2.2. Study Genes
2.3. Bisulfite Pyrosequencing
2.4. Statistical Analysis
3. Results
4. Discussion
5. Conclusions
Supplementary Materials
Author Contributions
Funding
Institutional Review Board Statement
Informed Consent Statement
Data Availability Statement
Acknowledgments
Conflicts of Interest
References
- Potabattula, R.; Dittrich, M.; Böck, J.; Haertle, L.; Müller, T.; Hahn, T.; Schorsch, M.; Hajj, N.E.; Haaf, T. Allele-specific methylation of imprinted genes in fetal cord blood is influenced by cis-acting genetic variants and parental factors. Epigenomics 2018, 10, 1315–1326. [Google Scholar] [CrossRef] [PubMed] [Green Version]
- Potabattula, R.; Zacchini, F.; Ptak, G.E.; Dittrich, M.; Müller, T.; El Hajj, N.; Hahn, T.; Drummer, C.; Behr, R.; Lucas-Hahn, A.; et al. Increasing methylation of sperm rDNA and other repetitive elements in the aging male mammalian germline. Aging Cell 2020, 19, e13181. [Google Scholar] [CrossRef] [PubMed]
- Jaenisch, R.; Bird, A. Epigenetic regulation of gene expression: How the genome integrates intrinsic and environmental signals. Nat. Genet. 2003, 33, 245–254. [Google Scholar] [CrossRef] [PubMed]
- Jenkins, T.G.; Aston, K.I.; Pflueger, C.; Cairns, B.R.; Carrell, D.T. Age-associated sperm DNA methylation alterations: Possible implications in offspring disease susceptibility. PLoS Genet. 2014, 10, e1004458. [Google Scholar] [CrossRef]
- Aston, K.I.; Uren, P.J.; Jenkins, T.G.; Horsager, A.; Cairns, B.R.; Smith, A.D.; Carrell, D.T. Aberrant sperm DNA methylation predicts male fertility status and embryo quality. Fertil. Steril. 2015, 104, 1388–1397. [Google Scholar] [CrossRef]
- Atsem, S.; Reichenbach, J.; Potabattula, R.; Dittrich, M.; Nava, C.; Depienne, C.; Böhm, L.; Rost, S.; Hahn, T.; Schorsch, M.; et al. Paternal age effects on sperm FOXK1 and KCNA7 methylation and transmission into the next generation. Hum. Mol. Genet. 2016, 25, 4996–5005. [Google Scholar]
- Nelson, S.; Telfer, E.E.; Anderson, R.A. The ageing ovary and uterus: New biological insights. Hum. Reprod Update 2013, 9, 67–83. [Google Scholar] [CrossRef] [Green Version]
- Luna, M.; Finkler, E.; Barritt, J.; Bar-Chama, N.; Sandler, B.; Copperman, A.B.; Grunfeld, L. Paternal age and assisted reproductive technology outcome in ovum recipients. Fertil. Steril. 2009, 92, 1772–1775. [Google Scholar] [CrossRef]
- Crow, J.F. The origins, patterns and implications of human spontaneous mutation. Nat. Rev. Genet. 2000, 1, 40–47. [Google Scholar] [CrossRef]
- De Kluiver, H.; Buizer-Voskamp, J.E.; Dolan, C.V.; Boomsma, D.I. Paternal age and psychiatric disorders: A review. Am. J. Med. Genet. Part. B Neuropsychiat. Genet. 2017, 174, 202–213. [Google Scholar] [CrossRef]
- Bennett-Baker, P.E.; Wilkowski, J.; Burke, D.T. Age-associated activation of epigenetically repressed genes in the mouse. Genetics 2003, 165, 2055–2062. [Google Scholar] [CrossRef] [PubMed]
- Milekic, M.H.; Xin, Y.; O’Donnell, A.; Kumar, K.K.; Bradley-Moore, M.; Malaspina, D.; Moore, H.; Brunner, D.; Ge, Y.; Edwards, J.; et al. Age-related sperm DNA methylation changes are transmitted to offspring and associated with abnormal behavior and dysregulated gene expression. Mol. Psychiatry 2015, 20, 995–1001. [Google Scholar] [CrossRef] [PubMed]
- Rattan, S.I. Synthesis, modifications, and turnover of proteins during aging. Exp. Gerontol. 1996, 31, 33–47. [Google Scholar] [CrossRef]
- Tiku, V.; Antebi, A. Nucleolar function in lifespan regulation. Trends Cell Biol. 2018, 28, 662–672. [Google Scholar] [CrossRef] [PubMed]
- Wang, M.; Lemos, B. Ribosomal DNA harbors an evolutionarily conserved clock of biological aging. Genome Res. 2019, 29, 325–333. [Google Scholar] [CrossRef]
- Jenkins, T.G.; Aston, K.I.; Cairns, B.; Smith, A.; Carrell, D.T. Paternal germ line aging: DNA methylation age prediction from human sperm. BMC Genomics 2018, 19, 763. [Google Scholar] [CrossRef] [Green Version]
- Laurentino, S.; Cremers, J.F.; Horsthemke, B.; Tüttelmann, F.; Czeloth, K.; Zitzmann, M.; Pohl, E.; Rahmann, S.; Schröder, C.; Berres, S.; et al. A germ cell-specific ageing pattern in otherwise healthy men. Aging Cell 2020, 19, e13242. [Google Scholar] [CrossRef]
- Pisarek, A.; Pospiech, E.; Heidegger, A.; Xavier, C.; Papiez, A.; Piniewska-Rog, D.; Kalamara, V.; Potabattula, R.; Bochenek, M.; Sikora-Polaczek, M.; et al. Epigenetic age prediction in semen—marker selection and model development. Aging 2021, 13, 19145–19164. [Google Scholar] [CrossRef]
- Takeda, K.; Kobayashi, E.; Akagi, S.; Nishino, K.; Kaneda, M.; Watanabe, S. Differentially methylated CpG sites in bull spermatozoa revealed by human DNA methylation arrays and bisulfite analysis. J. Reprod. Dev. 2017, 63, 279–287. [Google Scholar] [CrossRef] [Green Version]
- Takeda, K.; Kobayashi, E.; Nishino, K.; Imai, A.; Adachi, H.; Hoshino, Y.; Iwao, K.; Akagi, S.; Kaneda, M.; Watanabe, S. Age-related changes in DNA methylation levels at CpG sites in bull spermatozoa and in vitro fertilization-derived blastocyst-stage embryos revealed by combined bisulfite restriction analysis. J. Reprod. Dev. 2019, 65, 305–312. [Google Scholar] [CrossRef] [Green Version]
- Lambert, S.; Blondin, P.; Vigneault, C.; Labrecque, R.; Dufort, I.; Sirard, M.A. Spermatozoa DNA methylation patterns differ due to peripubertal age in bulls. Theriogenology 2018, 106, 21–29. [Google Scholar] [CrossRef] [PubMed]
- Xie, K.; Ryan, D.P.; Pearson, B.L.; Henzel, K.S.; Neff, F.; Vidal, R.O.; Hennion, M.; Lehmann, I.; Schleif, M.; Schröder, S.; et al. Epigenetic alterations in longevity regulators, reduced life span, and exacerbated aging-related pathology in old father offspring mice. Proc. Natl. Acad. Sci. USA 2018, 15, E2348–E2357. [Google Scholar] [CrossRef] [PubMed] [Green Version]
- Yoshizaki, K.; Kimura, R.; Kobayashi, H.; Oki, S.; Kikkawa, T.; Mai, L.; Koike, K.; Mochizuki, K.; Inada, H.; Matsui, Y.; et al. Paternal age affects offspring via an epigenetic mechanism involving REST/NRSF. Embo Rep. 2021, 22, e51524. [Google Scholar] [CrossRef] [PubMed]
- Lee, H.Y.; Jung, S.E.; Oh, Y.N.; Choi, A.; Yang, W.I.; Shin, K.J. Epigenetic age signatures in the forensically relevant body fluid of semen: A preliminary study. Forensic. Sci. Int. Genet. 2015, 19, 28–34. [Google Scholar] [CrossRef]
- Reik, W.; Dean, W.; Walter, J. Epigenetic reprogramming in mammalian development. Science 2001, 293, 1089–1093. [Google Scholar] [CrossRef] [Green Version]
- Horvath, S. DNA methylation age of human tissues and cell types. Genome Biol. 2013, 14, 3156. [Google Scholar] [CrossRef] [Green Version]
- Field, A.E.; Robertson, N.A.; Wang, T.; Havas, A.; Ideker, T.; Adams, P.D. DNA methylation clocks in aging: Categories, causes, and consequences. Mol. Cell 2018, 71, 882–895. [Google Scholar] [CrossRef] [Green Version]
- Pfeifer, G.P. Mutagenesis at methylated CpG sequences. Curr. Top. Microbiol. Immunol. 2006, 301, 259–281. [Google Scholar]
- Behringer, M.G.; Hall, D.W. Genome-wide estimates of mutation rates and spectrum in Schizosaccharomyces pombe indicate CpG sites are highly mutagenic despite the absence of DNA methylation. G3 2015, 6, 149–160. [Google Scholar] [CrossRef]
- Weber, M.; Hellmann, I.; Stadler, M.B.; Ramos, L.; Pääbo, S.; Rebhan, M.; Schübeler, D. Distribution, silencing potential and evolutionary impact of promoter DNA methylation in the human genome. Nat. Genet. 2007, 39, 457–466. [Google Scholar] [CrossRef]
- Fang, L.; Zhou, Y.; Liu, S.; Jiang, J.; Bickhart, D.M.; Null, D.J.; Li, B.; Schroeder, S.G.; Rosen, B.D.; Cole, J.B.; et al. Comparative analyses of sperm DNA methylomes among human, mouse and cattle provide insights into epigenomic evolution and complex traits. Epigenetics 2019, 14, 260–276. [Google Scholar] [CrossRef] [PubMed]
- Qu, J.; Hodges, E.; Molaro, A.; Gagneux, P.; Dean, M.D.; Hannon, G.J.; Smith, A.D. Evolutionary expansion of DNA hypomethylation in the mammalian germline genome. Genome Res. 2018, 28, 145–158. [Google Scholar] [CrossRef] [PubMed]
- Molaro, A.; Hodges, E.; Fang, F.; Song, Q.; McCombie, W.R.; Hannon, G.J.; Smith, A.D. Sperm methylation profiles reveal features of epigenetic inheritance and evolution in primates. Cell 2011, 146, 1029–1041. [Google Scholar] [CrossRef] [PubMed] [Green Version]
- Yoder, J.A.; Walsh, C.P.; Bestor, T.H. Cytosine methylation and the ecology of intragenomic parasites. Trends Genet. 1997, 13, 335–340. [Google Scholar] [CrossRef]
- Jones, P.A. Functions of DNA methylation: Islands, start sites, gene bodies and beyond. Nat. Rev. Genet. 2012, 13, 484–492. [Google Scholar] [CrossRef]
- Tang, W.W.; Dietmann, S.; Irie, N.; Leitch, H.G.; Floros, V.I.; Bradshaw, C.R.; Hackett, J.A.; Chinnery, P.F.; Surani, M.A. A unique gene regulatory network resets the human germline epigenome for development. Cell 2015, 161, 1453–1467. [Google Scholar] [CrossRef] [Green Version]
- Wang, L.; Zhang, J.; Duan, J.; Gao, X.; Zhu, W.; Lu, X.; Yang, L.; Zhang, J.; Li, G.; Ci, W.; et al. Programming and inheritance of parental DNA methylomes in mammals. Cell 2014, 157, 979–991. [Google Scholar] [CrossRef] [Green Version]

| Gene | Species | Genomic Localization a | Sequence Analyzed by Bisulfite Pyrosequencing b |
|---|---|---|---|
| Human ageDMRs | |||
| NFKB2 | HSA MMU | chr10: 102,398,797–102,398,849 chr19: 46,308,687–46,308,739 | CGGGGGTGGCTCCCACATGGGTGGAGGCTCTGGGGGTGCAGCCGGGGGCTACG CGGGGGCGGATCCCACATGGGTGGAGGTTCTGGGGGCTCCGCTGGGGGTTATG |
| RASGEF1C | HSA MMU | chr5: 180,128,402–180,128,452 chr11: 49,960,606–49,960,556 | CGGCTTACCAGTTCCACGTGGGTCAGCTGCTGGGCCAGTGTGTAGGGGTCG CCACTCACCAGCTCCACGTGGGTCAGTTGCTGGGCCAGCGTGTAGGGGTCA |
| RPL6 | HSA BTA MMU | chr12: 112,408,273–11,240,8247 chr17: 61,838,759–61,838,785 chr5: 121,205,822–121,2058,48 | CGGCGGTACCCGGGTGGTTAAACTTCG TGGTGGTACCCGAGTGGTCAAACTTCG CGGTGGCACCCGGGTGGTGAAGCTTCG |
| Bovine ageDMRs | |||
| CHD7 | BTA | chr14: 26,361,243–26,361,288 | CTAGGCGGTTACCTGGCCCGGGGGGACTTCTCCATGCCGCAGCATG |
| HSA | chr8: 60,741,997–60,742,042 | ATGGGCAGCTATATGGCACGTGGGGATTTTTCCATGCAGCAGCATG | |
| MMU | chr4: 8,752,051–8,752,096 | ATGGGCAGCTATCTGGCACGTGGGGATTTCTCCATGCAGCAGCACG | |
| HDAC11 | BTA HSA | chr22: 58,440,641–58,440,716 chr3: 13,481,361–13,481,287 | CGGCGTC[…]AGCGCGGCGAGTACACGATGGGCCAGCG CGGCATC[…]AGCGCGGCGAGTACACGATTGGCCAGCG |
| PAK1 | BTA HSA MMU | chr29: 18,586,633–18,586,667 chr11: 77,411,828–77,411,794 chr7: 97,843,083–97,843,117 | CGGCTCTGCGACAGAAACCGCAGGCAGAGATGCCG CGGCTCTGCGACGGAAACAATCGCCAGAGATGCCG CGGCTCTGCGACAGATACACAAGATCATCAGAGAT |
| PTK2B | BTA | chr8: 74,491,018–74,490,993 | CGACGTAATGTGCCCACCTTCACTCG |
| HSA | chr8: 27,397,637–27,397,612 | CGGCGTAACGTGCCCAACTTTACTCG | |
| Mouse ageDMRs | |||
| Def6 | MMU HSA BTA | chr17: 28,217,012–28,217,055 chr6: 35,309,717–35,309,760 chr23: 9,282,363–9,282,406 | CGTGGCCCTGGAGGAGCACTTCCGGGATGACGATGATGGCCCGG CGTGGCCCTGGAGGAACACTTCCGAGATGATGATGACGGCCCTG CGTGGCCCTGGAGGAGCACTTCCGAGACGATGACGATGGTCCCG |
| Nrxn2 | MMU HSA BTA | chr19: 6,504,094–6,504,133 chr11: 64,636,291–64,636,330 chr29: 42,885,070–42,885,110 | CGTTAGGGACCTAACA-CCCGCCCCCGGCAGCCGGATGGCG CGTTAGGGACCTCACA-CCCGCCCCCAGCAGCCGGCTGGCG CGTTAGGGACCTCACACCCCGCCCCCGGCAGCCGGATGGCA |
| Tbx19 | MMU | chr1: 165,153,651–165,153,599 | CGTCCGGACCG- ACAGTCACCGCTGGAAGTACGTCAATGGTGAATGGGTCCCCG |
| HSA | chr1: 168,291,235–168,291,287 | TGTCCCTA- CGGACAGTCACCGCTGGAAGTACGTCAACGGGGAATGGGTGCCCG | |
| BTA | chr3: 253,101–253,049 | TGTCCCAA- CGGACAGTCATCGCTGGAAGTACGTCAATGGAGAATGGGTGCCTG | |
| Gene | Methylation (%) ± Standard Deviation (%) [Range (%)] | ||
|---|---|---|---|
| HSA (n = 94) | BTA (n = 36) | MMU (n = 94) | |
| Human ageDMRs | |||
| NFKB2 | 44.5 ± 10.0 [22.3–64.0] | n.d. | 5.6 ± 0.8 [3.8–7.6] |
| RASGEF1C | 60.1 ± 9.1 [37.0–81.2] | n.d. | 93.5 ± 0.5 [91.8–94.6] |
| RPL6 | 36.8 ± 11.5 [15.8–66.5] | 95.1 ± 2.2 [89.8–99.6] | 95.6 ± 1.8 [90.7–99.0] |
| Bovine ageDMRs | |||
| CHD7 | 93.7 ± 1.0 [90.6–96.2] | 53.0 ± 18.1 [18.2–83.4] | 57.9 ± 4.2 [46.9–69.5] |
| HDAC11 | 4.7 ± 1.2 [2.5–8.5] | 89.3 ± 3.0 [78.6–92.9] | n.d. |
| PAK1 | 1.0 ± 0.1 [0.6–1.7] | 48.1 ± 13.1 [18.3–75.0] | 1.9 ± 0.6 [0.5–5.4] |
| PTK2B | 94.0 ± 3.0 [90.3–100] | 66.6 ± 8.7 [48.1–80.4] | n.d. |
| Mouse ageDMRs | |||
| Def6 | 93.1 ± 1.9 [86.8–99.0] | 97.9 ± 0.8 [96.0–99.7] | 43.5 ± 5.9 [31.4–60.7] |
| Nrxn2 | 82.6 ± 3.8 [51.8–87.0] | 91.1 ± 2.1 [86.3–95.1] | 61.3 ± 8.1 [42.0–81.3] |
| Tbx19 | 93.3 ± 1.0 [86.9–94.7] | 94.8 ± 1.6 [88.0–97.2] | 71.1 ± 3.2 [64.2–84.4] |
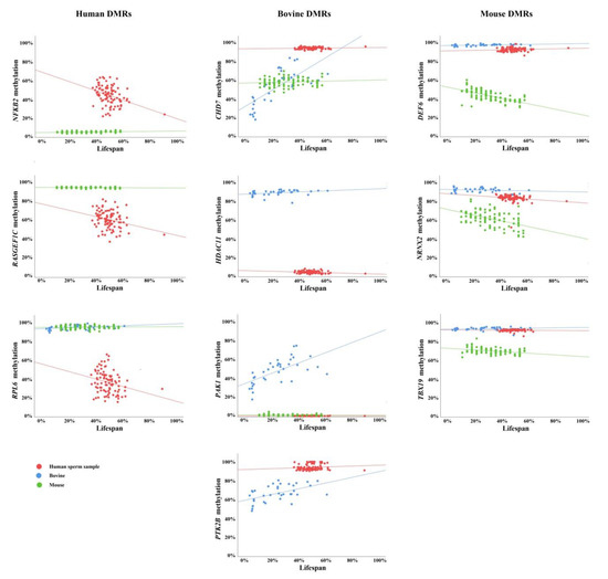
| Gene | HSA (n = 94) | BTA (n = 36) | MMU (n = 94) | |||
|---|---|---|---|---|---|---|
| Pearson’s r | p | Spearman’s ρ | p | Spearman’s ρ | p | |
| Human ageDMRs | ||||||
| NFKB2 | −0.37 | 0.002 | n.d. | 0.22 | 0.04 | |
| RASGEF1C | −0.28 | 0.03 | n.d | -0.10 | 0.33 | |
| RPL6 | −0.25 | 0.05 | 0.37 | 0.03 | 0.07 | 0.53 |
| Bovine ageDMRs | ||||||
| CHD7 | 0.09 | 0.47 | 0.75 | < 0.0001 | 0.11 | 0.31 |
| HDAC11 | −0.22 | 0.08 | 0.50 | 0.002 | n.d. | |
| PAK1 | −0.01 | 0.92 | 0.68 | < 0.0001 | −0.06 | 0.56 |
| PTK2B | 0.11 | 0.42 | 0.53 | 0.001 | n.d. | |
| Mouse ageDMRs | ||||||
| Def6 | 0.10 | 0.42 | 0.40 | 0.02 | −0.69 | <0.0001 |
| Nrxn2 | −0.18 | 0.16 | −0.15 | 0.37 | −0.45 | <0.0001 |
| Tbx19 | −0.05 | 0.71 | 0.49 | 0.003 | −0.33 | 0.001 |
Publisher’s Note: MDPI stays neutral with regard to jurisdictional claims in published maps and institutional affiliations. |
© 2022 by the authors. Licensee MDPI, Basel, Switzerland. This article is an open access article distributed under the terms and conditions of the Creative Commons Attribution (CC BY) license (https://creativecommons.org/licenses/by/4.0/).
Share and Cite
Prell, A.; Sen, M.O.; Potabattula, R.; Bernhardt, L.; Dittrich, M.; Hahn, T.; Schorsch, M.; Zacchini, F.; Ptak, G.E.; Niemann, H.; et al. Species-Specific Paternal Age Effects and Sperm Methylation Levels of Developmentally Important Genes. Cells 2022, 11, 731. https://doi.org/10.3390/cells11040731
Prell A, Sen MO, Potabattula R, Bernhardt L, Dittrich M, Hahn T, Schorsch M, Zacchini F, Ptak GE, Niemann H, et al. Species-Specific Paternal Age Effects and Sperm Methylation Levels of Developmentally Important Genes. Cells. 2022; 11(4):731. https://doi.org/10.3390/cells11040731
Chicago/Turabian StylePrell, Andreas, Mustafa Orkun Sen, Ramya Potabattula, Laura Bernhardt, Marcus Dittrich, Thomas Hahn, Martin Schorsch, Federica Zacchini, Grazyna Ewa Ptak, Heiner Niemann, and et al. 2022. "Species-Specific Paternal Age Effects and Sperm Methylation Levels of Developmentally Important Genes" Cells 11, no. 4: 731. https://doi.org/10.3390/cells11040731
APA StylePrell, A., Sen, M. O., Potabattula, R., Bernhardt, L., Dittrich, M., Hahn, T., Schorsch, M., Zacchini, F., Ptak, G. E., Niemann, H., & Haaf, T. (2022). Species-Specific Paternal Age Effects and Sperm Methylation Levels of Developmentally Important Genes. Cells, 11(4), 731. https://doi.org/10.3390/cells11040731

