Parental Genetics Communicate with Intrauterine Environment to Reprogram Newborn Telomeres and Immunity
Abstract
1. Introduction
2. Materials and Methods
2.1. DNA Extraction from the Blood
2.2. QPCR for Telomere Length (TL) Quantification
2.3. Sanger Sequencing of TERT Gene Polymorphism
2.4. Flow Cytometry for Immunosenescence Detection
2.5. Statistical Analysis
3. Results
3.1. Characteristics of Participants and Telomere Length (TL) Variation
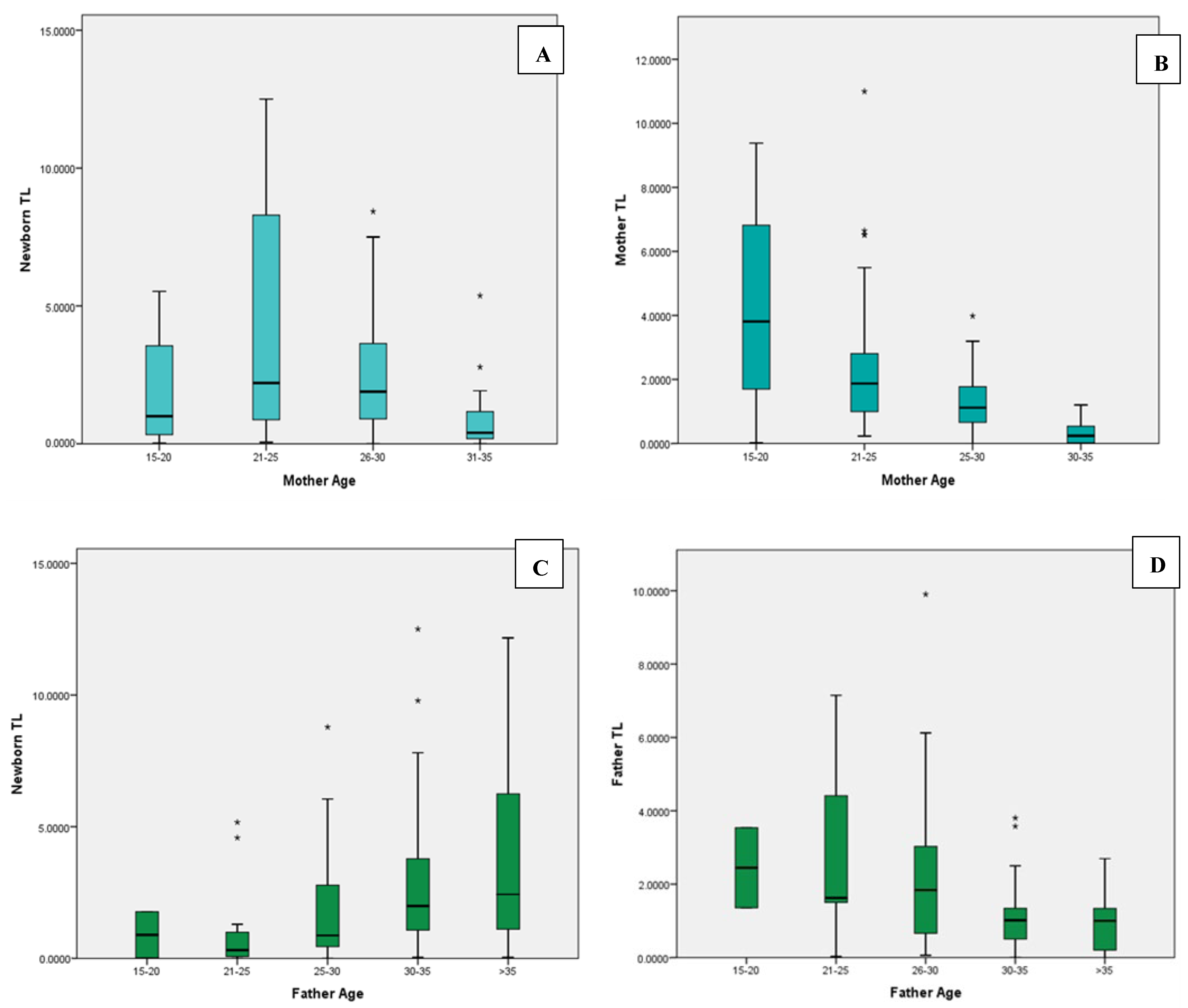
3.2. Antenatal Clinical Risk Factors and TL Variations in Newborn
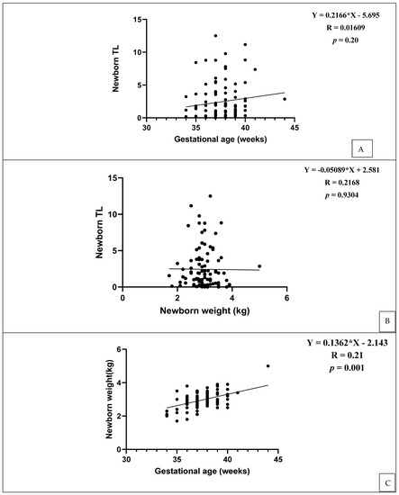
3.3. Newborn’s Characteristics and Their Effect on TL
3.4. The Heritability of TL Influenced by Telomerase (TERT) Genetics
3.5. Immune Senescence Markers CD57 and KLRG1 Expression
4. Discussion
5. Conclusions
Author Contributions
Funding
Institutional Review Board Statement
Informed Consent Statement
Data Availability Statement
Acknowledgments
Conflicts of Interest
References
- Blackburn, E.H.; Epel, E.S.; Lin, J. Human telomere biology: A contributory and interactive factor in aging, disease risks, and protection. Science 2015, 350, 1193–1198. [Google Scholar] [CrossRef]
- Bojesen, S.E. Telomeres and human health. J. Int. Med. 2013, 274, 399–413. [Google Scholar] [CrossRef]
- Stella, G.M.; Balestro, E.; Lacedonia, D.; Baraldo, S. Telomeropathies: An emerging spectrum of disorders with important implications for patients with interstitial lung disease. Minerva Medica 2016, 107, 9–14. [Google Scholar]
- Shammas, M.A. Telomeres, lifestyle, cancer, and aging. Curr. Opin. Clin. Nutr. Metab. Care 2011, 14, 28–34. [Google Scholar] [CrossRef]
- Adler, N.; Pantell, M.S.; O’Donovan, A.; Blackburn, E.; Cawthon, R.; Koster, A.; Opresko, P.; Newman, A.; Harris, T.B.; Epel, E. Educational attainment and late life telomere length in the Health, Aging and Body Composition Study. Brain. Behav. Immun. 2013, 27, 15–21. [Google Scholar] [CrossRef]
- Needham, B.L.; Straight, B.; Hilton, C.E.; Olungah, C.O.; Lin, J. Family socioeconomic status and child telomere length among the Samburu of Kenya. Soc. Sci. Med. 2021, 283, 114182. [Google Scholar] [CrossRef]
- Sukenik-Halevy, R.; Amiel, A.; Kidron, D.; Liberman, M.; Ganor-Paz, Y.; Biron-Shental, T. Telomere homeostasis in trophoblasts and in cord blood cells from pregnancies complicated with preeclampsia. Am. J. Obstet. Gynecol. 2016, 214, 283–287. [Google Scholar] [CrossRef]
- Stefa, A.; Lamprokostopoulou, A.; Briana, D.D.; Kontogeorgou, A.; Papageorgiou, I.; Malamitsi-Puchner, A.; Tsitsilonis, O.; Gagos, S.; Charmandari, E. The effect of intrauterine growth on leukocyte telomere length at birth. J. Matern. Fetal. Neonatal. Med. 2019, 32, 3948–3953. [Google Scholar] [CrossRef]
- Biron-Shental, T.; Sukenik-Halevy, R.; Naboani, H.; Liberman, M.; Kats, R.; Amiel, A. Telomeres are shorter in placentas from pregnancies with uncontrolled diabetes. Placenta 2015, 36, 199–203. [Google Scholar] [CrossRef]
- Fragkiadaki, P.; Tsoukalas, D.; Fragkiadoulaki, I.; Psycharakis, C.; Nikitovic, D.; Spandidos, D.A.; Tsatsakis, A.M. Telomerase activity in pregnancy complications. Mol. Med. Rep. 2016, 14, 16–21. [Google Scholar] [CrossRef]
- Aubert, G.; Baerlocher, G.M.; Vulto, I.; Poon, S.S.; Lansdorp, P.M. Collapse of telomere homeostasis in hematopoietic cells caused by heterozygous mutations in telomerase genes. PLoS Genet. 2012, 8, e1002696. [Google Scholar] [CrossRef]
- Entringer, S.; Epel, E.S.; Kumsta, R.; Lin, J.; Hellhammer, D.H.; BlackburnA, E.H.; Wüst, S.; Wadhwa, P.D. Stress exposure in intrauterine life is associated with shorter telomere length in young adulthood. Proc. Natl. Acad. Sci. USA 2011, 108, E513–E518. [Google Scholar] [CrossRef]
- Herrmann, M.; Pusceddu, I.; März, W.; Herrmann, W. Telomere biology and age-related diseases. Clin. Chem. Lab. Med. 2018, 56, 1210–1222. [Google Scholar] [CrossRef]
- Marchetto, N.M.; Glynn, R.A.; Ferry, M.L.; Ostojic, M.; Wolff, S.M.; Yao, R.; Haussmann, M.F. Prenatal stress and newborn telomere length. Am. J. Obstet. Gynecol. 2016, 215, 94.e1–94.e8. [Google Scholar] [CrossRef]
- Soerensen, M.; Thinggaard, M.; Nygaard, M.; Dato, S.; Tan, Q.; Hjelmborg, J.; Andersen-Ranberg, K.; Stevnsner, T.; Bohr, V.A.; Kimura, M.; et al. Genetic variation in TERT and TERC and human leukocyte telomere length and longevity: A cross-sectional and longitudinal analysis. Aging Cell 2012, 11, 223–227. [Google Scholar] [CrossRef]
- Chatterjee, S. Telomeres in health and disease. J. Oral. Maxillofac. Pathol. 2017, 21, 87. [Google Scholar] [CrossRef]
- Dratwa, M.; Wysoczańska, B.; Butrym, A.; Łacina, P.; Mazur, G.; Bogunia-Kubik, K. TERT genetic variability and telomere length as factors affecting survival and risk in acute myeloid leukaemia. Sci. Rep. 2021, 11, 879. [Google Scholar] [CrossRef]
- Scarabino, D.; Peconi, M.; Pelliccia, F.; Corbo, R.M. Analysis of the association between TERC and TERT genetic variation and leukocyte telomere length and human lifespan—A follow-up study. Genes 2019, 10, 82. [Google Scholar] [CrossRef]
- Voehringer, D.; Koschella, M.; Pircher, H. Lack of proliferative capacity of human effector and memory T cells expressing killer cell lectinlike receptor G1 (KLRG1). Blood 2002, 100, 3698–3702. [Google Scholar] [CrossRef]
- Ibegbu, C.C.; Xu, Y.X.; Harris, W.; Maggio, D.; Miller, J.D.; Kourtis, A.P. Expression of killer cell lectin-like receptor G1 on antigen-specific human CD8+ T lymphocytes during active, latent, and resolved infection and its relation with CD57. J. Immunol. 2005, 174, 6088–6094. [Google Scholar] [CrossRef]
- Farrukh, S.; Baig, S.; Hussain, R.; Shahid, A.; Khan, S.T. Telomere reprogramming during fetal life in low socioeconomic mothers. Egypt. J. Med. Hum. Genet. 2019, 20, 1–10. [Google Scholar] [CrossRef]
- Darin-Mattsson, A.; Fors, S.; Kåreholt, I. Different indicators of socioeconomic status and their relative importance as determinants of health in old age. Int. J. Equity Health 2017, 16, 1–11. [Google Scholar] [CrossRef]
- World Bank Group. Poverty & Equity Brief Pakistan South Asia October. 2021. Available online: https://databank.worldbank.org/data/download/poverty/987B9C90-CB9F-4D93-AE8C-750588BF00QA/AM2021/Global_POVEQ_PAK.pdf (accessed on 30 October 2022).
- Cawthon, R.M. Telomere length measurement by a novel monochrome multiplex quantitative PCR method. Nucleic Acids Res. 2009, 37, e21. [Google Scholar] [CrossRef]
- Naidoo, K.K.; Shangase, Z.B.; Rashid, T.; Ngubane, A.; Ismail, N.; Ndung'u, T.; Thobakgale, C.F. The DARC-null trait is associated with moderate modulation of NK cell profiles and unaltered cytolytic T cell profiles in black South Africans. PLoS ONE 2020, 15, e0242448. [Google Scholar] [CrossRef]
- Koch, S.; Larbi, A.; Derhovanessian, E.; Ozcelik, D.; Naumova, E.; Pawelec, G. Multiparameter flow cytometric analysis of CD4 and CD8 T cell subsets in young and old people. Immun. Ageing 2008, 5, 1–12. [Google Scholar] [CrossRef]
- Weng, Q.; Du, J.; Yu, F.; Huang, T.; Chen, M.; Lv, H.; Ma, H.; Hu, Z.; Jin, G.; Hu, Y.; et al. The known genetic loci for telomere length may be involved in the modification of telomeres length after birth. Sci. Rep. 2016, 6, 38729. [Google Scholar] [CrossRef]
- Cui, B.; Chen, Y.; Ma, X.; Yin, G.; Xie, Q. Correlation Between the TERT rs2736100 A/C Polymorphism and Susceptibility to Interstitial Lung Diseases: An Ethnicity-Based Meta-Analysis Study. Res. Sq. 2022, 1–10, in press. [Google Scholar] [CrossRef]
- Liu, Y.; Cao, L.; Li, Z.; Zhou, D.; Liu, W.; Shen, Q.; Wu, Y.; Zhang, D.; Hu, X.; Wang, T.; et al. A genome-wide association study identifies a locus on TERT for mean telomere length in Han Chinese. PLoS ONE 2014, 9, e85043. [Google Scholar] [CrossRef]
- Michalek, J.E.; Kepa, A.; Vincent, J.; Frissa, S.; Goodwin, L.; Hotopf, M.; Hatch, S.L.; Breen, G.; Powell, T.R. Genetic predisposition to advanced biological ageing increases risk for childhood-onset recurrent major depressive disorder in a large UK sample. J. Affect. Disord. 2017, 213, 207–213. [Google Scholar]
- AlDehaini, D.M.; Al-Bustan, S.A.; Malalla, Z.H.; Ali, M.E.; Sater, M.; Giha, H.A. The influence of TERC, TERT and ACYP2 genes polymorphisms on plasma telomerase concentration, telomeres length and T2DM. Gene 2021, 766, 145127. [Google Scholar]
- Dratwa, M.; Wysoczanska, B.; Brankiewicz, W.; Stachowicz-Suhs, M.; Wietrzyk, J.; Matkowski, R.; Ekiert, M.; Szelachowska, J.; Maciejczyk, A.; Szajewski, M. Relationship between Telomere Length, TERT Genetic Variability and TERT, TP53, SP1, MYC Gene Co-Expression in the Clinicopathological Profile of Breast Cancer. Int. J. Mol. Sci. 2022, 23, 5164. [Google Scholar] [CrossRef]
- Snetselaar, R.; Van Oosterhout, M.F.; Grutters, J.C.; Van Moorsel, C.H. Telomerase reverse transcriptase polymorphism rs2736100: A balancing act between cancer and non-cancer disease, a meta-analysis. Front. Med. 2018, 5, 41. [Google Scholar] [CrossRef]
- Schreurs, R.R.C.E.; Sagebiel, A.F.; Steinert, F.L.; Highton, A.J.; Klarenbeek, P.L.; Drewniak, A.; Bakx, R.; The, S.M.L.; Ribeiro, C.M.S.; Perez, D.; et al. Intestinal CD8+ T cell responses are abundantly induced early in human development but show impaired cytotoxic effector capacities. Mucosal Immunol. 2021, 14, 605–614. [Google Scholar] [CrossRef]
- Starr, J.M.; Shiels, P.G.; Harris, S.E.; Pattie, A.; Pearce, M.S.; Relton, C.L.; Deary, I.J. Oxidative stress, telomere length and biomarkers of physical aging in a cohort aged 79 years from the 1932 Scottish Mental Survey. Mech. Ageing Dev. 2008, 129, 745–751. [Google Scholar] [CrossRef]
- Valiathan, R.; Ashman, M.; Asthana, D. Effects of Ageing on the Immune System: Infants to Elderly. Scand. J. Immunol. 2016, 83, 255–266. [Google Scholar] [CrossRef]
- Prescott, J.; Du, M.; Wong, J.Y.; Han, J.; De Vivo, I. Paternal age at birth is associated with offspring leukocyte telomere length in the nurses' health study. Hum. Reprod. 2012, 27, 3622–3631. [Google Scholar] [CrossRef]
- Broer, L.; Codd, V.; Nyholt, D.R.; Deelen, J.; Mangino, M.; Willemsen, G.; Albrecht, E.; Amin, N.; Beekman, M.; De Geus, E.J.; et al. Meta-analysis of telomere length in 19 713 subjects reveals high heritability, stronger maternal inheritance and a paternal age effect. Eur. J. Hum. Genet. 2013, 21, 1163–1168. [Google Scholar] [CrossRef]
- Eisenberg, D.T.A.; Kuzawa, C.W. The paternal age at conception effect on offspring telomere length: Mechanistic, comparative and adaptive perspectives. Phil. Trans. R. Soc. B 2018, 373, 20160442. [Google Scholar] [CrossRef]
- Steptoe, A.; Hamer, M.; Butcher, L.; Lin, J.; Brydon, L.; Kivimäki, M.; Marmot, M.; Blackburn, E.; Erusalimsky, J.D. Educational attainment but not measures of current socioeconomic circumstances are associated with leukocyte telomere length in healthy older men and women. Brain Behav. Immun. 2011, 25, 1292–1298. [Google Scholar] [CrossRef]
- Robertson, T.; Batty, G.D.; Der, G.; Green, M.J.; McGlynn, L.M.; McIntyre, A.; Shiels, P.G.; Benzeval, M. Is telomere length socially patterned? Evidence from the West of Scotland Twenty-07 Study. PLoS ONE 2012, 7, e41805. [Google Scholar] [CrossRef]
- Cohen, S.; Janicki-Deverts, D.; Turner, R.B.; Marsland, A.L.; Casselbrant, M.L.; Li-Korotky, H.S.; Epel, E.S.; Doyle, W.J. Childhood socioeconomic status, telomere length, and susceptibility to upper respiratory infection. Brain Behav. Immun. 2013, 34, 31–38. [Google Scholar] [CrossRef]
- Westerlund, H.; Kivimäki, M.; Singh-Manoux, A.; Melchior, M.; Ferrie, J.E.; Pentti, J.; Jokela, M.; Leineweber, C.; Goldberg, M.; Zins, M.; et al. Self-rated health before and after retirement in France (GAZEL): A cohort study. Lancet 2009, 374, 1889–1896. [Google Scholar] [CrossRef]
- Parks, C.G.; DeRoo, L.A.; Miller, D.B.; McCanlies, E.C.; Cawthon, R.M.; Sandler, D.P. Employment and work schedule are related to telomere length in women. Occup. Environ. Med. 2011, 68, 582–589. [Google Scholar] [CrossRef]
- Li, H.; Hedmer, M.; Wojdacz, T.; Hossain, M.B.; Lindh, C.H.; Tinnerberg, H.; Albin, M.; Broberg, K. Oxidative stress, telomere shortening, and DNA methylation in relation to low-to-moderate occupational exposure to welding fumes. Environ. Mol. Mutagen. 2015, 56, 684–693. [Google Scholar] [CrossRef]
- Ahola, K.; Siren, I.; Kivimäki, M.; Ripatti, S.; Aromaa, A.; Lönnqvist, J.; Hovatta, I. Work-related exhaustion and telomere length: A population-based study. PLoS ONE 2012, 7, e40186. [Google Scholar] [CrossRef]
- Mitchell, A.M.; Kowalsky, J.M.; Epel, E.S.; Lin, J.; Christian, L.M. Childhood adversity, social support, and telomere length among perinatal women. Psychoneuroendocrinology 2018, 87, 43–52. [Google Scholar] [CrossRef]
- Jafri, M.A.; Ansari, S.A.; Alqahtani, M.H.; Shay, J.W. Roles of telomeres and telomerase in cancer, and advances in telomerase-targeted therapies. Genome Med. 2016, 8, 1–18. [Google Scholar] [CrossRef]
- Pollack, A.Z.; Rivers, K.; Ahrens, K.A. Parity associated with telomere length among US reproductive age women. Hum. Reprod. 2018, 33, 736–744. [Google Scholar] [CrossRef]
- Garcia-Martin, I.; Janssen, A.B.; Jones, R.E.; Grimstead, J.W.; Penketh, R.J.; Baird, D.M.; John, R.M. Telomere length heterogeneity in placenta revealed with high-resolution telomere length analysis. Placenta 2017, 59, 61–68. [Google Scholar] [CrossRef]
- Almanzar, G.; Schönlaub, J.; Hammerer-Lercher, A.; Koppelstaetter, C.; Bernhard, D.; Prelog, M. Influence of the delivery modus on subpopulations and replication of lymphocytes in mothers and newborns. Early Hum. Dev. 2015, 91, 663–670. [Google Scholar] [CrossRef]
- Gielen, M.; Hageman, G.; Pachen, D.M.; Derom, C.; Vlietinck, R.; Zeegers, M.P. Placental telomere length decreases with gestational age and is influenced by parity: A study of third trimester live-born twins. Placenta 2014, 35, 791–796. [Google Scholar] [CrossRef]
- Lee, S.P.; Hande, P.; Yeo, G.S.; Tan, E.C. Correlation of cord blood telomere length with birth weight. BMC Res. Notes 2017, 10, 469. [Google Scholar] [CrossRef]
- Martens, D.S.; Plusquin, M.; Gyselaers, W.; De Vivo, I.; Nawrot, T.S. Maternal pre-pregnancy body mass index and newborn telomere length. BMC Med. 2016, 14, 148. [Google Scholar] [CrossRef]








| Variables N = 104 | Mother n (%) | T/S Ratio Mean ± SD | p-Value | Father n (%) | T/S Ratio Mean ± SD | p-Value | Newborn T/S Ratio Mean ± SD | p-Value |
|---|---|---|---|---|---|---|---|---|
| Age (Mean ± SD) | 27 ± 3.94 | 1.6 ± 2.00 | 0.000 *** | 34.54 ± 6.01 | 1.49 ± 1.63 | 0.07 | 2.51 ± 2.87 | 0.003 *** |
| Socioeconomic Status | ||||||||
| Low | 51 (25) | 1.38 ± 1.14 | 0.02 * | 51 (25) | 1.83 ± 1.84 | 0.04 * | 2.28 ± 2.01 | 0.015 ** |
| Lower middle | 51 (25) | 1.91 ± 2.4 | 51 (25) | 1.81 ± 1.96 | 2.36 ± 2.80 | |||
| Upper middle | 51 (25) | 1.99 ± 2.71 | 51 (25) | 1.29 ± 1.48 | 2.58 ± 3.86 | |||
| High | 51 (25) | 1.52 ± 1.73 | 51 (25) | 0.97 ± 0.974 | 2.83 ± 3.07 | |||
| Occupation | ||||||||
| Nonworking | 164 (80.4) | 1.70 ± 2.03 | 0.059 | 5 (2.5) | 1.26 ± 0.70 | 0.086 | 2.23 ± 2.3 | 0.034 * |
| Working | 40 (19.6) | 1.40 ± 1.74 | 199 (97.5) | 1.49 ± 1.64 | 3.2 ± 2.95 | |||
| Education | ||||||||
| No schooling | 25(12.3) | 1.64 ± 1.04 | 0.03 * | 29 (14.2) | 1.04 ± 0.43 | 0.067 | 1.62 ± 1.83 | 0.04 * |
| Less than high school | 61 (33.8) | 1.79 ± 1.74 | 45 (22.1) | 1.94 ± 1.80 | 1.95 ± 1.29 | |||
| High school | 37 (18.1) | 2.15 ± 1.79 | 42 (20.6) | 1.70 ± 1.83 | 2.27 ± 1.74 | |||
| Graduation | 66 (32.4) | 2.17 ± 1.67 | 66 (32.4) | 1.90 ± 1.97 | 2.78 ± 2.89 | |||
| Masters | 17 (8.3) | 1.85 ± 1.88 | 22 (10.8) | 1.80 ± 0.52 | 2.25 ± 1.60 | |||
| Ethnicity | ||||||||
| Pathan | 87 (42.6) | 1.89 ± 2.28 | 0.38 | 80 (39.2) | 1.72 ± 2.03 | 0.29 | 2.73 ± 3.02 | 0.71 |
| Urdu speaking (muhajir) | 53 (26) | 1.35 ± 1.59 | 45 (22) | 1.20 ± 1.30 | 2.04 ± 2.56 | |||
| Punjabi | 10 (4.9) | 2.83 ± 2.80 | 15 (7.3) | 1.89 ± 2.49 | 1.63 ± 1.89 | |||
| SARIKI | 9 (4.4) | 1.47 ± 1.91 | 4 (1.9) | 1.03 ± 0.54 | 1.14 ± 1.55 | |||
| Sindhi | 27 (13.2) | 2.07 ± 1.56 | 47 (23) | 1.15 ± 0.68 | 2.60 ± 2.71 | |||
| Other | 18 (8.9) | 1.20 ± 1.47 | 13 (6.3) | 1.19 ± 1.02 | 1.31 ± 1.51 | |||
| Smoking status | ||||||||
| Smoker | 14 (6.8) | 1.76 ± 1.56 | 0.24 | 60 (29.4) | 2.13 ± 2.08 | 0.046 | 2.51 ± 2.99 | 0.025 * |
| Nonsmoker | 190 (93.2) | 1.64 ± 1.61 | 144 (70.6) | 1.28 ± 2.02 | 2.08 ± 1.98 | |||
| Parameters | Mother n (%) | T/S Ratio (Mean ± SD) | p-Value | Newborn T/S Ratio (Mean ± SD) | p-Value |
|---|---|---|---|---|---|
| Hemoglobin (Hb) mg/dL | |||||
| <8–10 | 44 (26.5) | 1.33 ± 1.46 | 0.05 | 1.96 ± 1.81 | 0.02 * |
| 10.1–11.9 | 112 (60) | 1.72 ± 1.79 | 2.80 ± 3.09 | ||
| >12 | 38 (18) | 1.94 ± 3.03 | 2.93 ± 3.07 | ||
| Total leukocyte count (TLC) 109/L | |||||
| 6.1–8 | 38 (18.7) | 1.48 ± 1.47 | 0.09 | 2.71 ± 3.72 | 0.06 |
| 8.1–10 | 72 (35.3) | 1.77 ± 2.22 | 1.78 ± 1.72 | ||
| 10.1–12 | 59 (28.9) | 1.31 ± 1.45 | 2.98 ± 2.89 | ||
| >12 | 35 (17.2) | 1.92 ± 2.78 | 2.99 ± 3.55 | ||
| Parity | |||||
| 0 | 59 (28.9) | 2.09 ± 2.29 | 0.09 | 2.75 ± 2.16 | 0.025 * |
| 1 | 58 (28.4) | 2.04 ± 2.41 | 2.50 ± 2.75 | ||
| 2 | 44 (21.6) | 1.64 ± 1.71 | 2.17 ± 3.64 | ||
| 3 | 25 (12.3) | 1.34 ± 1.72 | 1.98 ± 1.41 | ||
| 4 or >4 | 18 (4) | 1.07 ± 1.03 | 1.80 ± 3.12 | ||
| Gravidity | |||||
| 1 | 58 (28.5) | 1.84 ± 1.79 | 0.061 | 3.68 ± 2.50 | 0.05 |
| 2 | 54 (26.5) | 1.71 ± 2.50 | 3.59 ± 2.34 | ||
| 3 | 36 (17.6) | 1.70 ± 1.62 | 2.17 ± 2.78 | ||
| 4 or >4 | 56 (24) | 1.37 ± 1.76 | 1.88 ± 2.17 | ||
| Miscarriages | |||||
| No | 134 (65.2) | 1.45 ± 1.85 | 0.78 | 2.47 ± 2.96 | 0.45 |
| Yes | 71 (34.8) | 1.34 ± 0.95 | 2.82 ± 2.52 | ||
| Parameters | Girls n (%) 54 (53) | T/S Ratio Mean (SD) | Boys n (%) 50 (47) | T/S Ratio Mean ± SD | p-Value | |
|---|---|---|---|---|---|---|
| Mode of Delivery (MOD) | SVD | 23 (43) | 3.21 ± 3.51 | 23 (46) | 2.01 ± 1.65 | 0.04 * |
| LSCS | 30 (56) | 2.61 ± 3.06 | 27 (54) | 2.24 ± 2.90 | ||
| Gestational age (weeks) | 36–38 | 41 (77) | 2.50 ± 2.93 | 39 (78) | 2.24 ± 2.61 | 0.20 |
| 39–42 | 12 (23) | 3.8 ± 3.82 | 11 (22) | 2.69 ± 1.55 | ||
| Birth weight (kilogram) | 2–2.5 | 6 (13) | 3.01 ± 4.19 | 8 (15) | 2.50 ± 2.83 | 0.93 |
| 2.6–3.0 | 31 (61) | 3.03 ± 3.15 | 26 (51) | 2.68 ± 1.62 | ||
| 3.1–3.5 | 16 (26) | 3.60 ± 2.31 | 16 (34) | 2.83 ± 3.17 | ||
| Heart Rate (HR) | 130–140 | 30 (55) | 2.90 ± 3.13 | 28 (56) | 2.16 ± 2.88 | 0.03 * |
| 141–150 | 24 (45) | 2.14 ± 2.89 | 22 (44) | 2.06 ± 1.93 | ||
| Respiratory Rate (RR) | 41–50 | 39 (72) | 2.72 ± 2.92 | 30 (60) | 1.97 ± 2.37 | 0. 01 ** |
| 51–60 | 15 (28) | 3.68 ± 4.08 | 20 (40) | 1.74 ± 2.03 | ||
| Length/height (cm) | 30–40 | 02 (4) | 3.47 ± 0.97 | - | - | 0.04 * |
| 40–50 | 38 (70) | 2.94 ± 3.29 | 35 (70) | 1.92 ± 1.95 | ||
| 51–60 | 14 (26) | 2.42 ± 3.37 | 15 (30) | 3.62 ± 3.21 | ||
| Occipital fronto circumference (OFC) (cm) | 30–35 | 48 (89) | 2.87 ± 3.35 | 50 (100) | 2.1 ± 2.39 | 0.01 * |
| 36–40 | 06 (11) | 2.85 ± 2.44 | - | - | ||
| Mean telomere length (T/S) | 2.72 ± 3.09 | 2.13 ± 2.39 | 0.000 *** | |||
| Variables | Mother n = 32 (32.6) | Father n = 32 (32.6) | Newborn n = 32 (32.6) | ||||||
|---|---|---|---|---|---|---|---|---|---|
| TERT Genotype | A/C | A/A | C/C | A/C | A/A | C/C | A/C | A/A | C/C |
| Frequency | 22 (0.687) | 0 | 10 (0.312) | 7 (0.218) | 6 (0.187) | 19 (0.593) | 24 (0.705) | 8 (0.235) | 2 (0.058) |
| TL | 1.35 ± 1.21 | - | 1.28 ± 0.36 | 1.40 ± 0.13 | 0.60 ± 0.77 | 1.13 ± 0.30 | 3.47 ± 3.7 | - | 1.50 ± 1.40 |
| β0 (95% Cl) | 1.19 (0.8175 to 1.662) | 1.028 (0.7729 to 1.283) | 2.19 (0.9951 to 3.386) | ||||||
| SE | 0.17 | 0.12 | 0.57 | ||||||
| p-Value | <0.0001 | <0.0001 | <0.0011 | ||||||
| Country | Major Allele | Minor/Alternative Allele | Telomere Length | p-Value | References |
|---|---|---|---|---|---|
| Pakistan | C | A | Shorter | <0.0001 | Current study |
| China | A | T | Shorter | 0.046 | Weng et al. 2016 [27] |
| T | C | Longer | 1.93 × 10−5 | Liu et al. 2014 [29] | |
| United Kingdom | C | A | Shorter | 0.986 | Michalek et al. 2017 [30] |
| Asia | C | A | Low telomerase | 0.018 | AlDehaini et al. 2021 [31] |
Publisher’s Note: MDPI stays neutral with regard to jurisdictional claims in published maps and institutional affiliations. |
© 2022 by the authors. Licensee MDPI, Basel, Switzerland. This article is an open access article distributed under the terms and conditions of the Creative Commons Attribution (CC BY) license (https://creativecommons.org/licenses/by/4.0/).
Share and Cite
Farrukh, S.; Baig, S.; Hussain, R.; Imad, R.; Khalid, M. Parental Genetics Communicate with Intrauterine Environment to Reprogram Newborn Telomeres and Immunity. Cells 2022, 11, 3777. https://doi.org/10.3390/cells11233777
Farrukh S, Baig S, Hussain R, Imad R, Khalid M. Parental Genetics Communicate with Intrauterine Environment to Reprogram Newborn Telomeres and Immunity. Cells. 2022; 11(23):3777. https://doi.org/10.3390/cells11233777
Chicago/Turabian StyleFarrukh, Sadia, Saeeda Baig, Rubina Hussain, Rehan Imad, and Maria Khalid. 2022. "Parental Genetics Communicate with Intrauterine Environment to Reprogram Newborn Telomeres and Immunity" Cells 11, no. 23: 3777. https://doi.org/10.3390/cells11233777
APA StyleFarrukh, S., Baig, S., Hussain, R., Imad, R., & Khalid, M. (2022). Parental Genetics Communicate with Intrauterine Environment to Reprogram Newborn Telomeres and Immunity. Cells, 11(23), 3777. https://doi.org/10.3390/cells11233777

