Milano–Torino Staging and Long-Term Survival in Chinese Patients with Amyotrophic Lateral Sclerosis
Abstract
1. Introduction
2. Methods
2.1. Patients and Study Design
2.2. The MITOS System in ALS
2.3. Anxiety, Depression, and Sleep Quality Assessments
2.4. Statistical Analysis
3. Results
3.1. Clinical Features and MITOS Progression in ALS Patients
3.2. Comparison of MITOS Progression and ALSFRS-R Decline for Survival Outcome Prediction
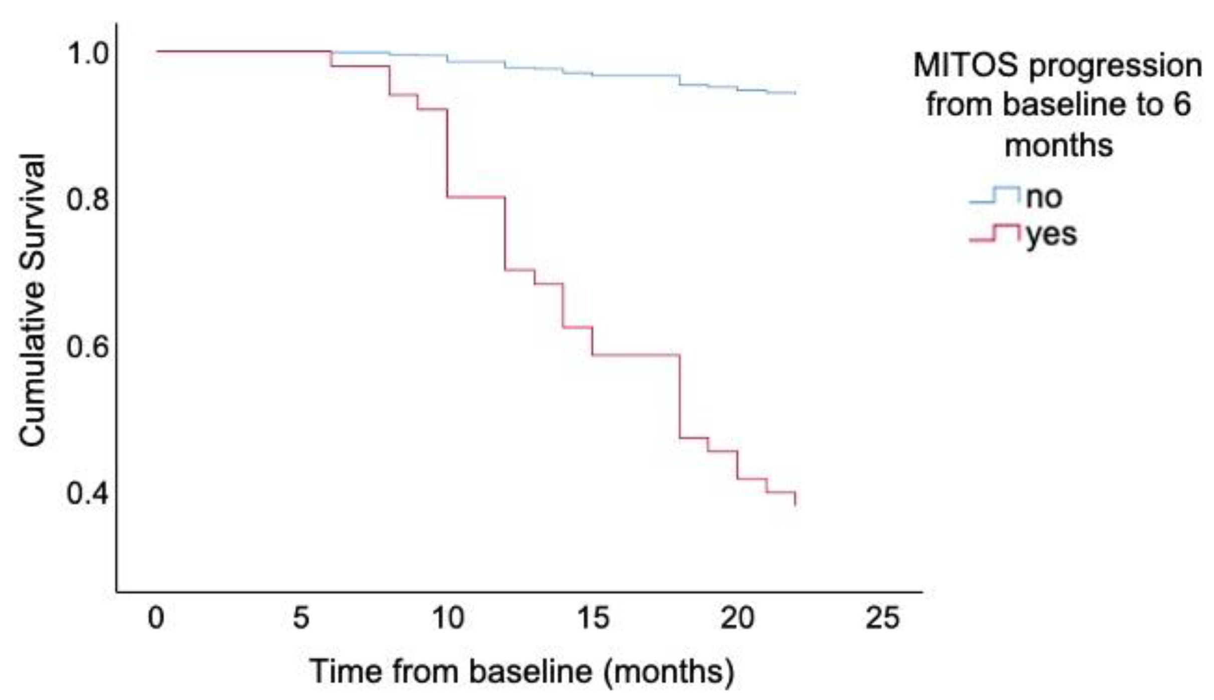
3.3. Association between MITOS Progression during the Early Disease Course and Long-Term Survival in ALS Patients
3.4. Factors Associated with MITOS Progression in ALS Patients
4. Discussion
5. Conclusions
Author Contributions
Funding
Institutional Review Board Statement
Informed Consent Statement
Data Availability Statement
Conflicts of Interest
References
- Van Es, M.A.; Hardiman, O.; Chio, A.; Al-Chalabi, A.; Pasterkamp, R.J.; Veldink, J.H.; van den Berg, L.H. Amyotrophic lateral sclerosis. Lancet 2017, 390, 2084–2098. [Google Scholar] [CrossRef]
- Kiernan, M.C.; Vucic, S.; Cheah, B.C.; Turner, M.R.; Eisen, A.; Hardiman, O.; Burrell, J.R.; Zoing, M.C. Amyotrophic lateral sclerosis. Lancet 2011, 377, 942–955. [Google Scholar] [CrossRef]
- Cedarbaum, J.M.; Stambler, N.; Malta, E.; Fuller, C.; Hilt, D.; Thurmond, B.; Nakanishiet, A. The ALSFRS-R: A revised ALS functional rating scale that incorporates assessments of respiratory function. BDNF ALS study group (Phase III). J. Neurol. Sci. 1999, 169, 13–21. [Google Scholar] [CrossRef]
- Mandrioli, J.; Biguzzi, S.; Guidi, C.; Sette, E.; Terlizzi, E.; Ravasio, A.; Casmiro, M.; Salvi, F.; Liguori, R.; Rizzi, R.; et al. Heterogeneity in ALSFRS-R decline and survival: A population-based study in Italy. Neurol. Sci. 2015, 36, 2243–2252. [Google Scholar] [CrossRef]
- Proudfoot, M.; Jones, A.; Talbot, K.; Al-Chalabi, A.; Turner, M.R. The ALSFRS as an outcome measure in therapeutic trials and its relationship to symptom onset. Amyotroph. Later Scler. Frontotemporal Degener. 2016, 17, 414–425. [Google Scholar] [CrossRef] [PubMed]
- Meininger, V.; Drory, V.E.; Leigh, P.N.; Ludolph, A.; Robberecht, W.; Silani, V. Glatiramer acetate has no impact on disease progression in ALS at 40 mg/day: A double- blind, randomized, multicentre, placebo-controlled trial. Amyotroph. Lateral Scler. 2009, 10, 378–383. [Google Scholar] [CrossRef] [PubMed]
- Kaufmann, P.; Thompson, J.L.; Levy, G.; Buchsbaum, R.; Shefner, J.; Krivickas, L.S.; Katz, J.; Rollins, Y.; Barohn, R.J.; Jackson, C.E.; et al. Phase II trial of CoQ10 for ALS finds insufficient evidence to justify phase III. Ann. Neurol. 2009, 66, 235–244. [Google Scholar] [CrossRef]
- Chio, A.; Hammond, E.R.; Mora, G.; Bonito, V.; Filippini, G. Development and evaluation of a clinical staging system for amyotrophic lateral sclerosis. J. Neurol. Neurosurg. Psychiatry 2015, 86, 38–44. [Google Scholar] [CrossRef] [PubMed]
- Roche, J.C.; Rojas-Garcia, R.; Scott, K.M.; Scotton, W.; Ellis, C.E.; Burman, R.; Wijesekera, L.; Turner, M.R.; Leigh, P.N.; Shaw, C.E.; et al. A proposed staging system for amyotrophic lateral sclerosis. Brain 2012, 135, 847–852. [Google Scholar] [CrossRef]
- Tramacere, I.; Bella, E.D.; Chiò, A.; Mora, G.; Filippini, G.; Lauria, G. The MITOS system predicts long-term survival in amyotrophic lateral sclerosis. J. Neurol. Neurosurg. Psychiatry 2015, 86, 1180–1185. [Google Scholar] [CrossRef] [PubMed]
- Balendra, R.; Jones, A.; Jivraj, N.; Steen, N.I.; Young, C.A.; Shaw, P.J.; Turner, M.R.; Leigh, P.N.; Al-Chalabi, A. Use of clinical staging in amyotrophic lateral sclerosis for phase 3 clinical trials. J. Neurol. Neurosurg. Psychiatry 2015, 86, 45–49. [Google Scholar] [CrossRef]
- Corcia, P.; Beltran, S.; Lautrette, G.; Bakkouche, S.; Couratier, P. Staging amyotrophic lateral sclerosis: A new focus on progression. Rev. Neurol. 2019, 175, 277–282. [Google Scholar] [CrossRef] [PubMed]
- Fang, T.; Al Khleifat, A.; Stahl, D.R.; La Torre, C.L.; Murphy, C.; Young, C.; Shaw, P.J.; Leigh, P.N.; Al-Chalabi, A. Comparison of the King’s and MiToS staging systems for ALS. Amyotroph. Lateral Scler. Front. Degener. 2017, 18, 227–232. [Google Scholar] [CrossRef] [PubMed]
- Westeneng, H.-J.; Debray, T.P.A.; Visser, A.E.; van Eijk, R.P.A.; Rooney, J.P.K.; Calvo, A.; Martin, S.; McDermott, C.J.; Thompson, A.G.; Pinto, S.; et al. Prognosis for patients with amyotrophic lateral sclerosis: Development and validation of a personalised prediction model. Lancet Neurol. 2018, 17, 423–433. [Google Scholar] [CrossRef]
- Prell, T.; Gaur, N.; Stubendorff, B.; Rodiger, A.; Witte, O.W.; Grosskreutz, J. Disease progression impacts health-related quality of life in amyotrophic lateral sclerosis. J. Neurol. Sci. 2019, 397, 92–95. [Google Scholar] [CrossRef]
- Cheong, I.; Deelchand, D.K.; Eberly, L.E.; Marjańska, M.; Manousakis, G.; Guliani, G.; Walk, D.; Öz, G. Neurochemical correlates of functional decline in amyotrophic lateral sclerosis. J. Neurol. Neurosurg. Psychiatry 2019, 90, 294–301. [Google Scholar] [CrossRef]
- Berry, J.D.; Cudkowicz, M.E.; Windebank, A.J.; Staff, N.P.; Owegi, M.; Nicholson, K.; McKenna-Yasek, D.; Levy, Y.S.; Abramov, N.; Kaspi, H.; et al. NurOwn, phase 2, randomized, clinical trial in patients with ALS: Safety, clinical, and biomarker results. Neurology 2019, 93, e2294–e2305. [Google Scholar] [CrossRef]
- Shefner, J.; Heiman-Patterson, T.; Pioro, E.P.; Wiedau-Pazos, M.; Liu, S.; Zhang, J.; Agnese, W.; Apple, S. Long-term edaravone efficacy in amyotrophic lateral sclerosis: Post-hoc analyses of study 19 (MCI186-19). Muscle Nerve 2019. [Google Scholar] [CrossRef]
- Ferraro, D.; Consonni, D.; Fini, N.; Fasano, A.; Del Giovane, C.; Mandrioliet, J.; Emilia Romagna Registry for ALS (ERRALS) Group. Amyotrophic lateral sclerosis: A comparison of two staging systems in a population-based study. Eur. J. Neurol. 2016, 23, 1426–1432. [Google Scholar] [CrossRef]
- Chen, X.; Wei, Q.-Q.; Chen, Y.; Cao, B.; Ou, R.; Hou, Y.; Yuan, X.; Zhang, L.; Liu, H.; Shang, H. Clinical staging of amyotrophic lateral sclerosis in chinese patients. Front. Neurol. 2018, 9. [Google Scholar] [CrossRef] [PubMed]
- Crockford, C.; Newton, J.; Lonergan, K.; Chiwera, T.; Booth, T.; Chandran, S.; Colville, S.; Heverin, M.; Mays, I.; Pal, S.; et al. ALS-specific cognitive and behavior changes associated with advancing disease stage in ALS. Neurology 2018, 91, e1370–e1380. [Google Scholar] [CrossRef] [PubMed]
- Chiò, A.; Moglia, C.; Canosa, A.; Manera, U.; Vasta, R.; Brunetti, M.; Barberis, M.; Corrado, L.; D’Alfonso, S.; Bersano, E.; et al. Cognitive impairment across ALS clinical stages in a population-based cohort. Neurology 2019, 93, e984–e994. [Google Scholar] [CrossRef] [PubMed]
- Huynh, W.; Kiernan, M.C. A unique account of ALS in China: Exploring ethnic heterogeneity. J. Neurol. Neurosurg. Psychiatry 2015, 86, 1051–1052. [Google Scholar] [CrossRef][Green Version]
- Wei, Q.; Chen, X.; Zheng, Z.; Huang, R.; Guo, X.; Cao, B.; Zhao, B.; Shang, H. Clinical features of amyotrophic lateral sclerosis in south-west China. Amyotroph. Lateral Scler. Front. Degener. 2015, 16, 512–519. [Google Scholar] [CrossRef] [PubMed]
- Cui, F.; Liu, M.; Chen, Y.; Huang, X.; Cui, L.; Fan, D.; Pu, C.; Lu, J.; Zhou, D.; Zhang, C.; et al. Epidemiological characteristics of motor neuron disease in Chinese patients. Acta Neurol. Scand. 2014, 130, 111–117. [Google Scholar] [CrossRef]
- Watanabe, H.; Atsuta, N.; Nakamura, R.; Hirakawa, A.; Watanabe, H.; Ito, M.; Senda, J.; Katsuno, M.; Izumi, Y.; Morita, M.; et al. Factors affecting longitudinal functional decline and survival in amyotrophic lateral sclerosis patients. Amyotroph. Lateral Scler. Front. Degener. 2014, 16, 230–236. [Google Scholar] [CrossRef]
- Manera, U.; Calvo, A.; Daviddi, M.; Canosa, A.; Vasta, R.; Torrieri, M.C.; Grassano, M.; Brunetti, M.; D’Alfonso, S.; Corrado, L.; et al. Regional spreading of symptoms at diagnosis as a prognostic marker in amyotrophic lateral sclerosis: A population-based study. J. Neurol. Neurosurg. Psychiatry 2020, 91, 291–297. [Google Scholar] [CrossRef]
- Gaiani, A.; Martinelli, I.; Bello, L.; Querin, G.; Puthenparampil, M.; Ruggero, S.; Toffanin, E.; Cagnin, A.; Briani, C.; Pegoraro, E.; et al. Diagnostic and prognostic biomarkers in amyotrophic lateral sclerosis: Neurofilament light chain levels in definite subtypes of disease. JAMA Neurol. 2017, 74, 525–532. [Google Scholar] [CrossRef]
- Yokoi, D.; Atsuta, N.; Watanabe, H.; Nakamura, R.; Hirakawa, A.; Ito, M.; Watanabe, H.; Katsuno, M.; Izumi, Y.; Morita, M.; et al. Age of onset differentially influences the progression of regional dysfunction in sporadic amyotrophic lateral sclerosis. J. Neurol. 2016, 263, 1129–1136. [Google Scholar] [CrossRef]
- Zhenfei, L.; Shiru, D.; Xiaomeng, Z.; Cuifang, C.; Yaling, L. Discontiguous or contiguous spread patterns affect the functional staging in patients with sporadic amyotrophic lateral sclerosis. Front. Neurol. 2019, 10. [Google Scholar] [CrossRef]
- Chen, X.; Wei, Q.-Q.; Chen, Y.; Cao, B.; Ou, R.; Hou, Y.; Yuan, X.; Zhang, L.; Liu, H.; Shang, H. Clinical disease stage related changes of serological factors in amyotrophic lateral sclerosis. Amyotroph. Lateral Scler. Front. Degener. 2019, 20, 53–60. [Google Scholar] [CrossRef]
- Creemers, H.; Grupstra, H.; Nollet, F.; van den Berg, L.H.; Beelen, A. Prognostic factors for the course of functional status of patients with ALS: A systematic review. J. Neurol. 2015, 262, 1407–1423. [Google Scholar] [CrossRef] [PubMed]
- Fang, T.; Jozsa, F.; Al-Chalabi, A. Nonmotor symptoms in amyotrophic lateral sclerosis: A systematic review. Int. Rev. Neurobiol. 2017, 134, 1409–1441. [Google Scholar] [PubMed]
- Edge, R.; Mills, R.; Tennant, A.; Diggle, P.J.; Young, C.A.; Tonic Study Group. Do pain, anxiety and depression influence quality of life for people with amyotrophic lateral sclerosis/motor neuron disease? A national study reconciling previous conflicting literature. J. Neurol. 2020, 267, 607–615. [Google Scholar] [CrossRef] [PubMed]
- Wei, Q.; Chen, X.; Cao, B.; Ou, R.; Zhao, B.; Wu, Y.; Shang, H. Associations between neuropsychiatric symptoms and cognition in Chinese patients with amyotrophic lateral sclerosis. Amyotroph. Lateral Scler. Front. Degener. 2016, 17, 358–365. [Google Scholar] [CrossRef]
- Boentert, M. Sleep disturbances in patients with amyotrophic lateral sclerosis: Current perspectives. Nat. Sci. Sleep 2019, 11, 97–111. [Google Scholar] [CrossRef]
- Liu, S.; Huang, Y.; Tai, H.; Zhang, K.; Wang, Z.; Shen, D.; Fu, H.; Su, N.; Shi, J.; Ding, Q.; et al. Excessive daytime sleepiness in Chinese patients with sporadic amyotrophic lateral sclerosis and its association with cognitive and behavioural impairments. J. Neurol. Neurosurg. Psychiatry 2018, 89, 1038–1043. [Google Scholar] [CrossRef]




| Time Point | Predicted Scale | Specificity | Sensitivity | ROC Curve Area (95% CI) | p Value |
|---|---|---|---|---|---|
| 12 months | Numbers of MITOS progression | 1.000 | 0.635 | 0.872 (0.790–0.931) | 0.853 |
| Declined scores of ALSFRS-R | 0.933 | 0.788 | 0.878 (0.797–0.935) | ||
| 18 months | Numbers of MITOS progression | 0.712 | 0.926 | 0.857 (0.773–0.919) | 0.969 |
| Declined scores of ALSFRS-R | 0.863 | 0.815 | 0.858 (0.774–0.920) | ||
| 24 months | Numbers of MITOS progression | 0.781 | 0.889 | 0.855 (0.771–0.918) | 0.290 |
| Declined scores of ALSFRS-R | 0.891 | 0.694 | 0.818 (0.728–0.888) |
| Variable | Time Point | OR (95% CI) | p Value |
|---|---|---|---|
| Numbers of MITOS progression from 0 to 6 months | 12 months | 7.584 (2.831–20.321) | <0.001 |
| 18 months | 9.342 (3.648–20.925) | <0.001 | |
| 24 months | 11.021 (4.287–28.332) | <0.001 |
| Characteristic | Patients without MITOS Progression from 0 to 6 Months (n = 53) | Patients with MITOS Progression from 0 to 6 Months (n = 47) | p Value |
|---|---|---|---|
| Male, n (%) | 39 (73.6%) | 35 (74.5%) | 0.920 |
| Bulbar onset, n (%) | 13 (24.5%) | 19 (40.4%) | 0.089 |
| Age at onset (years) | |||
| Mean (SD) | 49.94 (10.00) | 55.55 (10.13) | 0.006 ** |
| Median (range) | 48 (32–78) | 58 (33–73) | |
| Age at diagnosis (years) | |||
| Mean (SD) | 51.43 (9.80) | 56.70 (10.06) | 0.009 ** |
| Median (range) | 49 (33–79) | 58 (33–74) | |
| Delay time to diagnosis (month) | |||
| Mean (SD) | 18.11 (14.36) | 14.89 (12.49) | 0.237 |
| Median (range) | 12 (3–62) | 12 (2–60) | |
| ALSFRS-R score at baseline, Mean (SD) | 40.28 (10.43) | 38.34 (5.01) | 0.248 |
| HAMA score at baseline, Mean (SD) | 3.72 (1.80) | 5.06 (3.31) | 0.012 * |
| HAMD score at baseline, Mean (SD) | 4.98 (5.24) | 7.57 (6.62) | 0.031 * |
| PQSI score at baseline, Mean (SD) | 5.62 (4.12) | 6.28 (3.72) | 0.409 |
Publisher’s Note: MDPI stays neutral with regard to jurisdictional claims in published maps and institutional affiliations. |
© 2021 by the authors. Licensee MDPI, Basel, Switzerland. This article is an open access article distributed under the terms and conditions of the Creative Commons Attribution (CC BY) license (https://creativecommons.org/licenses/by/4.0/).
Share and Cite
He, R.; Zheng, M.; Lian, L.; Yao, X. Milano–Torino Staging and Long-Term Survival in Chinese Patients with Amyotrophic Lateral Sclerosis. Cells 2021, 10, 1220. https://doi.org/10.3390/cells10051220
He R, Zheng M, Lian L, Yao X. Milano–Torino Staging and Long-Term Survival in Chinese Patients with Amyotrophic Lateral Sclerosis. Cells. 2021; 10(5):1220. https://doi.org/10.3390/cells10051220
Chicago/Turabian StyleHe, Ruojie, Minying Zheng, Ling Lian, and Xiaoli Yao. 2021. "Milano–Torino Staging and Long-Term Survival in Chinese Patients with Amyotrophic Lateral Sclerosis" Cells 10, no. 5: 1220. https://doi.org/10.3390/cells10051220
APA StyleHe, R., Zheng, M., Lian, L., & Yao, X. (2021). Milano–Torino Staging and Long-Term Survival in Chinese Patients with Amyotrophic Lateral Sclerosis. Cells, 10(5), 1220. https://doi.org/10.3390/cells10051220

