Effect of Biochar Particle Size on Physical, Hydrological and Chemical Properties of Loamy and Sandy Tropical Soils
Abstract
1. Introduction
2. Methodology
2.1. Biochar Production
2.2. Biochar and Soil Characterization
2.2.1. Biochar Characterization
2.2.2. Soil Characterization and Sampling
2.2.3. Experimental Setup and Sample Preparation
2.2.4. Post-Incubation Analyses
C, N, and C:N Ratio
Bulk Density and Particle Density
Porosity
Water Retention Curve
2.3. Data Analyses
3. Results and Discussion
3.1. Soil and Biocharcharacteristics
3.2. Biochar Effect on Physical Properties
3.2.1. Total Porosity
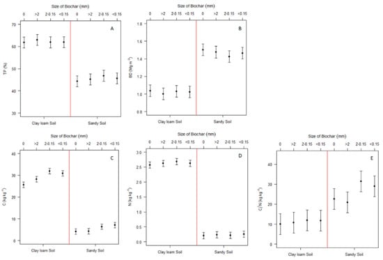
3.2.2. Bulk Density
3.3. Biochar Effect on Chemical Properties
3.3.1. Total Carbon
3.3.2. Nitrogen
3.3.3. C:N Ratio
3.4. Biochar Effect on Hydrological Properties
3.4.1. Water Retention Curve
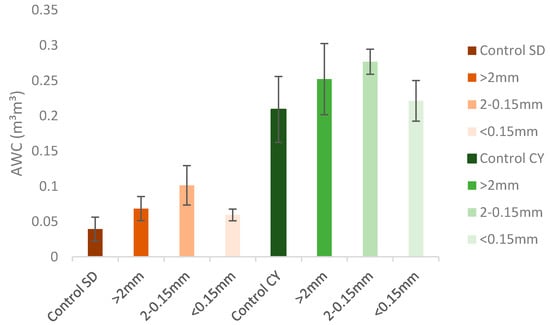
3.4.2. Plant-Available Water Content
3.4.3. Effect of Biochar Particle Size on Pore Size Distribution and its Relation with Water Retention Curve
4. Conclusions
Author Contributions
Acknowledgments
Conflicts of Interest
References
- Tiessen, H.; Cuevas, E.; Chacon, P. The role of soil organic matter in sustaining soil fertility. Nature 1994, 371, 783–785. [Google Scholar] [CrossRef]
- Cahn, M.; Extension, C. Cation and nitrate leaching in an oxisol of the Brazilian Amazon. Agron. J. 1993, 85, 334–340. [Google Scholar] [CrossRef]
- Nasta, P.; Kamai, T.; Chirico, G.B.; Hopmans, J.W.; Romano, N. Scaling soil water retention functions using particle-size distribution. J. Hydrol. 2009, 374, 223–234. [Google Scholar] [CrossRef]
- Glaser, B.; Lehmann, J.; Zech, W. Ameliorating physical and chemical properties of highly weathered soils in the tropics with charcoal—A review. Biol. Fertil. Soils 2002, 35, 219–230. [Google Scholar] [CrossRef]
- Glaser, B.; Balashov, E.; Haumaier, L.; Guggenberger, G.; Zech, W. Black carbon in density fractions of anthropogenic soils of the Brazilian Amazon region. Org. Geochem. 2000, 31, 669–678. [Google Scholar] [CrossRef]
- Glaser, B.; Birk, J.J. State of the scientific knowledge on properties and genesis of Anthropogenic Dark Earths in Central Amazonia (terra preta de I). Geochim. Cosmochim. Acta 2012, 82, 39–51. [Google Scholar] [CrossRef]
- Blanco-Canqui, H. Biochar and Soil Physical Properties. Soil Sci. Soc. Am. J. 2017, 84, 687. [Google Scholar] [CrossRef]
- He, X.; Yin, H.; Han, L.; Cui, R.; Fang, C.; Huang, G. Effects of biochar size and type on gaseous emissions during pig manure/wheat straw aerobic composting: Insights into multivariate-microscale characterization and microbial mechanism. Bioresour. Technol. 2019, 271, 375–382. [Google Scholar] [CrossRef]
- Prendergast-Miller, M.T.; Duvall, M.; Sohi, S.P. Biochar-root interactions are mediated by biochar nutrient content and impacts on soil nutrient availability. Eur. J. Soil Sci. 2013, 65, 173–185. [Google Scholar] [CrossRef]
- Liu, Q.; Liu, B.; Zhang, Y.; Lin, Z.; Zhu, T.; Sun, R.; Wang, X.; Ma, J.; Bei, Q.; Liu, G.; et al. Can biochar alleviate soil compaction stress on wheat growth and mitigate soil N2O emissions? Soil Biol. Biochem. 2017, 104, 8–17. [Google Scholar] [CrossRef]
- De Luca, T.H.; Mackenzie, M.D.; Gundale, M.J. Biochar effects on soil nutrient transformations. In Biochar for Environmental Management: Science and Technology; Earthscan: London, UK, 2009; pp. 251–270. [Google Scholar]
- Laird, D.A.; Fleming, P.; Davis, D.D.; Horton, R.; Wang, B.; Karlen, D.L. Impact of biochar amendments on the quality of a typical Midwestern agricultural soil. Geoderma 2010, 158, 443–449. [Google Scholar] [CrossRef]
- Tan, R.R. Data challenges in optimizing biochar-based carbon sequestration. Renew. Sustain. Energy Rev. 2019, 104, 174–177. [Google Scholar] [CrossRef]
- Zhu, X.; Liu, Y.; Li, L.; Shi, Q.; Hou, J.; Zhang, R.; Zhang, S.; Chen, J. Nonthermal air plasma dehydration of hydrochar improves its carbon sequestration potential and dissolved organic matter molecular characteristics. Sci. Total Environ. 2019, 659, 655–663. [Google Scholar] [CrossRef]
- Beusch, C.; Cierjacks, A.; Böhm, J.; Mertens, J.; Bischoff, W.-A.; de Araújo Filho, J.C.; Kaupenjohann, M. Biochar vs. clay: Comparison of their effects on nutrient retention of a tropical Arenosol. Geoderma 2019, 337, 524–535. [Google Scholar] [CrossRef]
- Gronwald, M.; Don, A.; Tiemeyer, B.; Helfrich, M. Effects of fresh and aged chars from pyrolysis and hydrothermal carbonization on nutrient sorption in agricultural soils. Soil 2015, 1, 475–489. [Google Scholar] [CrossRef]
- Kameyama, K.; Miyamoto, T.; Shinogi, Y. Increases in available water content of soils by applying bagasse-charcoals. In Proceedings of the 19th World Congress of Soil Science: Soil solutions for a changing world, Brisbane, Australia, 1–6 August 2010; pp. 105–108. [Google Scholar]
- Dai, Z.; Zhang, X.; Tang, C.; Muhammad, N.; Wu, J.; Brookes, P.C.; Xu, J. Potential role of biochars in decreasing soil acidification-a critical review. Sci. Total Environ. 2017. [Google Scholar] [CrossRef] [PubMed]
- Liu, J.; Schulz, H.; Brandl, S.; Miehtke, H.; Huwe, B.; Glaser, B. Short-term effect of biochar and compost on soil fertility and water status of a Dystric Cambisol in NE Germany under field conditions. J. Plant Nutr. Soil Sci. 2012, 175, 698–707. [Google Scholar] [CrossRef]
- Wang, B.; Gao, B.; Zimmerman, A.R.; Zheng, Y.; Lyu, H. Novel biochar-impregnated calcium alginate beads with improved water holding and nutrient retention properties. J. Environ. Manag. 2018, 209, 105–111. [Google Scholar] [CrossRef] [PubMed]
- Novak, J.M.; Busscher, W.J.; Watts, D.W.; Amonette, J.E.; Ippolito, J.A.; Lima, I.M.; Gaskin, J.; Das, K.C.; Steiner, C.; Ahmedna, M.; et al. Biochars impact on soil-moisture storage in an ultisol and two aridisols. Soil Sci. 2012, 177, 310–320. [Google Scholar] [CrossRef]
- Barnes, R.T.; Gallagher, M.E.; Masiello, C.A.; Liu, Z.; Dugan, B. Biochar-induced changes in soil hydraulic conductivity and dissolved nutrient fluxes constrained by laboratory experiments. PLoS ONE 2014, 9. [Google Scholar] [CrossRef]
- Herath, H.M.S.K.; Camps-Arbestain, M.; Hedley, M. Effect of biochar on soil physical properties in two contrasting soils: An Alfisol and an Andisol. Geoderma 2013, 209–210, 188–197. [Google Scholar] [CrossRef]
- Zhang, J.; Chen, Q.; You, C. Biochar Effect on Water Evaporation and Hydraulic Conductivity in Sandy Soil. Pedosphere 2016, 26, 265–272. [Google Scholar] [CrossRef]
- Głąb, T.; Palmowska, J.; Zaleski, T.; Gondek, K. Effect of biochar application on soil hydrological properties and physical quality of sandy soil. Geoderma 2016, 281, 11–20. [Google Scholar] [CrossRef]
- Conz, R.F.; Abbruzzini, T.F.; de Andrade, C.A.; Milori, D.M.; Cerri, C.E. Effect of Pyrolysis Temperature and Feedstock Type on Agricultural Properties and Stability of Biochars. Agric. Sci. 2017, 8, 914–933. [Google Scholar] [CrossRef]
- Novak, J.M.; Cantrell, K.B.; Watts, D.W.; Busscher, W.J.; Johnson, M.G. Designing relevant biochars as soil amendments using lignocellulosic-based and manure-based feedstocks. J. Soils Sediments 2013. [Google Scholar] [CrossRef]
- International Biochar Initiative. Standardized Product Definition and Product Testing Guidelines for Biochar That is Used in Soil, International Biochar Initiative. 2015. Available online: http://www.biochar-international.org/sites/defaut/files/IBI_Biochar_Standards_V1.1.pdf (accessed on 2 December 2018).
- ASTM. Standard Test Method for the Analysis of Wood Charcoal; ASTM D1762-84; ASTM International: West Conshohocken, PA, USA, 2007. [Google Scholar]
- Cerato, A.B.; Lutenegger, A.J. Determination of surface area of fine-grained soils by the ethylene glycol monoethyl ether (EGME) method. Geotech. Test. J. 2002, 25, 315–321. [Google Scholar] [CrossRef]
- Chan, K.Y.; Bowman, A.; Oates, A. Oxidizible organic carbon fractions and soil quality changes in an oxic paleustalf under different pasture leys. Soil Sci. 2001, 166, 61–67. [Google Scholar] [CrossRef]
- Van Raij, B.; Andrade, J.C.; Cantarella, H.; Quaggio, J.A. Análise Química para Avaliação da Fertilidade de Solos Tropicais; Campinas Instituto Agronômico: Campinas, Brazil, 2001; 285p.
- Blake, G.R.; Hartge, K.H. Bulk density. In Methods of Soil Analysis, Part 1—Physical and Mineralogical Methods, 2nd ed.; Agronomy Monograph 9; Klute, A., Ed.; American Society of Agronomy—Soil Science Society of America: Madison, WI, USA, 1986; pp. 363–382. [Google Scholar]
- Flint, L.E.; Flint, A.L. Porosity. In Methods in Soil Analysis, Part 4—Physical Methods; Dane, J.H., Topp, G.C., Eds.; Soil Science Society of America: Madison, WI, USA, 2002. [Google Scholar]
- Koorevaar, P.; Menelik, G.; Kirksen, C. Elements of Soil Physics; Developments in Soil Science, 13; Elsevier: Amsterdam, The Netherlands, 1983; 228p. [Google Scholar]
- Klute, A.; Klute, A.; Dirksen, C. Hydraulic Conductivity and Diffusivity: Laboratory Methods 9; ASA: Madison, WI, USA, 1986. [Google Scholar]
- RStudio Team. RStudio: Integrated Development for R; RStudio, Inc.: Boston, MA, USA, 2018; Available online: http://www.rstudio.com/ (accessed on 4 November 2018).
- Duarte, S.J.; Glaser, B.; Lima, R.P.; Cerri, C.E.P. Chemical, physical and hydrological properties as affected by one year of Miscanthus biochar interaction with sandy and loamy tropical soils. Soil Syst. 2019. submitted. [Google Scholar]
- EMBRAPA. Guia Prático para Interpretação de Resultados de Análises de Solo; EMBRAPA: Aracaju, Brazil, 2015. [Google Scholar]
- Conte, P.; Hanke, U.M.; Marsala, V.; Cimoò, G.; Alonzo, G.; Glaser, B. Mechanisms of water interaction with pore systems of hydrochar and pyrochar from poplar forestry waste. J. Agric. Food Chem. 2014, 62, 4917–4923. [Google Scholar] [CrossRef]
- Lehmann, J.; Joseph, S. Biochar for Environmental Management: An Introduction. Eartschcan 2009, 1, 1–12. [Google Scholar]
- Oussible, M.; Crookston, R.K.; Larson, W.E. Grain Yield of Wheat. Agron. J. 1992, 38, 34–38. [Google Scholar] [CrossRef]
- Mukherjee, A. Physical and Chemical Properties of a Range of Laboratory-produced Fresh and Aged Biochars. Ph.D. Thesis, University of Florida, Gainesville, FL, USA, 2011. [Google Scholar]
- Biederman, L.A.; Harpole, W.S. Biochar and its effect on plant productivity and nutrient cycling: A meta-analysis. GCB Bioenergy 2013, 5, 202–214. [Google Scholar] [CrossRef]
- Zhang, A.; Bian, R.; Pan, G.; Cui, L.; Hussain, Q.; Li, L.; Zheng, J.; Zheng, J.; Zhang, X.; Han, X.; et al. Effects of biochar amendment on soil quality, crop yield and greenhouse gas emission in a Chinese rice paddy: A field study of 2 consecutive rice growing cycles. Field Crop. Res. 2012, 127, 153–160. [Google Scholar] [CrossRef]
- Zimmerman, J.K.; Pulliam, W.M.; Lodge, D.J.; Quiñones-Orfila, V.; Fetcher, N.; Guzmán-Grajales, S.; Guzman-Grajales, S. Nitrogen Immobilization by Decomposing Woody Debris and the Recovery of Tropical Wet Forest from Hurricane Damage. Oikos 1995, 72, 314. [Google Scholar] [CrossRef]
- Jeffery, S.; Bezemer, T.M.; Cornelissen, G.; Kuyper, T.W.; Lehmann, J.; Mommer, L.; Sohi, S.P.; Van De Voorde, T.F.; Wardle, D.A.; Van Groenigen, J.W. The way forward in biochar research: Targeting trade-offs between the potential wins. GCB Bioenergy 2015, 7, 1–13. [Google Scholar] [CrossRef]
- Hardie, M.; Clothier, B.; Bound, S.; Oliver, G.; Close, D. Does biochar influence soil physical properties and soil water availability? Plant Soil 2014, 376, 347–361. [Google Scholar] [CrossRef]
- Hina, K.; Bishop, P.; Arbestain, M.C.; Calvelo-Pereira, R.; Maciá-Agulló, J.A.; Hindmarsh, J.; Hanly, J.A.; Macìas, F.; Hedley, M.J. Producing biochars with enhanced surface activity through alkaline pretreatment of feedstocks. Soil Res. 2010, 48, 606–617. [Google Scholar] [CrossRef]
- Ibrahim, A.; Usman, A.R.A.; Al-Wabel, M.I.; Nadeem, M.; Ok, Y.S.; Al-Omran, A. Effects of conocarpus biochar on hydraulic properties of calcareous sandy soil: Influence of particle size and application depth. Arch. Agron. Soil Sci. 2017, 63, 185–197. [Google Scholar] [CrossRef]
- Rawls, W.J.; Pachepsky, Y.A.; Ritchie, J.C. Effect of soil organic carbon on soil water retention. Geoderma 2003, 116, 61–76. [Google Scholar] [CrossRef]
- Downie, A.; Crosky, A.; Munroe, P. Physical properties of biochar. In Biochar for Environmental Management, Science and Technology; Lehmann, J.L., Joseph, J.S., Eds.; Earthscan Publishers Ltd.: London, UK, 2009; pp. 13–32. [Google Scholar]
- Abel, S.; Peters, A.; Trinks, S.; Schonsky, H.; Facklam, M.; Wessolek, G. Geoderma Impact of biochar and hydrochar addition on water retention and water repellency of sandy soil. Geoderma 2013, 202–203, 183–191. [Google Scholar] [CrossRef]
- Yin, S.H.; Chang, Z.H.; Han, L.B.; Lu, X.S. Study on optimization ofmoisture retention for golf green rootzone soil mixtures. Acta Ecol. Sin. 2012, 32, 26–32. [Google Scholar] [CrossRef]
- Mccready, M.S.; Dukes, M.D. Landscape irrigation scheduling efficiency and adequacy by various control technologies. Agric. Water Manag. 2011, 98, 697–704. [Google Scholar] [CrossRef]
- Conte, P.; Nestle, N. Water dynamics in different biochar fractions. Magn. Reson. Chem. 2015, 53, 726–734. [Google Scholar] [CrossRef]
- Mukherjee, A.; Lal, R. Biochar Impacts on Soil Physical Properties and Greenhouse Gas Emissions. Agronomy 2013, 3, 313–339. [Google Scholar] [CrossRef]
- Ogawa, M.; Okimori, Y.; Takahashi, F. Carbon sequestration by carbonization of biomass and forestation: Three case studies. Mitig. Adapt. Stratag. Glob. Chang. 2006, 11, 421–436. [Google Scholar] [CrossRef]
- Crabbe, M.J.C. Modelling effects of geoengineering options in response to climate change and global warming: Implications for coral reefs. Comput. Biol. Chem. 2009, 33, 415–420. [Google Scholar] [CrossRef] [PubMed]
- Uzoma, K.C.; Inoue, M.; Andry, H.; Zahoor, A.; Nishihara, E. Influence of biochar application on sandy soil hydraulic properties and nutrient retention. J. Food. Agric. Environ. 2011, 9, 1137–1143. [Google Scholar]
- Herbrich, M.; Zönnchen, C.; Schaaf, W. Short-term effects of plant litter addition on mineral surface characteristics of young sandy soils. Geoderma 2015, 239–240, 206–212. [Google Scholar] [CrossRef]
- Steiner, C.; Melear, N.; Harris, K.; Das, K.C. Biochar as bulking agent for poultry litter composting. Carbon Manag. 2011, 2, 227–230. [Google Scholar] [CrossRef]
- Tseng, R.; Tseng, S. Pore structure and adsorption performance of the KOH-activated carbons prepared from corncob. J. Colloid Interface Sci. 2005, 287, 428–437. [Google Scholar] [CrossRef]
- Andrenelli, M.C.; Maienza, A.; Genesio, L.; Miglietta, F.; Pellegrini, S.; Vaccari, F.P.; Vignozzi, N. Field application of pelletized biochar: Short term effect on the hydrological properties of a silty clay loam soil. Agric. Water Manag. 2016, 163, 190–196. [Google Scholar] [CrossRef]




| Properties of Biochar | Unit | Value | Reference |
|---|---|---|---|
| pH in H2O | - | 5.9 | [28] |
| Electric conductivity | µS cm−1 | 605 | [28] |
| Moisture | % | 3.5 | [29] |
| Cation Exchange Capacity | mmolcdm−3 | 33 | [28] |
| Specific surface area | m2 g−1 | 371 | [30] |
| Labile C | % | 2.7 | [31] |
| Stable C | % | 50.9 | [31] |
| Chemical Characteristics | Sandy Soil | Loamy Soil |
|---|---|---|
| pH (CaCl2) | 3.9 | 6.5 |
| (%) | ||
| Sand | 90 | 41 |
| Silt | 2 | 27 |
| Clay | 8 | 32 |
| Aluminium saturation | 10 | 87 |
| Base saturation | 45 | 0 |
| (mmolcdm−3) | ||
| Al | 6 | 0 |
| H + Al | 62 | 18 |
| SB | 7 | 120 |
| CEC | 69 | 138 |
| Properties of Biochar | Biochar | Sandy Soil | Loamy Soil |
|---|---|---|---|
| (mg kg−1) | |||
| Ca | 3361 | 5.3 | 97 |
| Mg | 2133 | <1 | 20 |
| K | 8615 | <0.7 | 4.1 |
| P | 1859 | 4 | 28 |
| S | 634 | 5.3 | 9.5 |
| C | 66.4 | 0.9 | 1.9 |
| N | 0.43 | 0.06 | 0.17 |
| C:N | 155 | 14 | 11 |
© 2019 by the authors. Licensee MDPI, Basel, Switzerland. This article is an open access article distributed under the terms and conditions of the Creative Commons Attribution (CC BY) license (http://creativecommons.org/licenses/by/4.0/).
Share and Cite
de Jesus Duarte, S.; Glaser, B.; Pellegrino Cerri, C.E. Effect of Biochar Particle Size on Physical, Hydrological and Chemical Properties of Loamy and Sandy Tropical Soils. Agronomy 2019, 9, 165. https://doi.org/10.3390/agronomy9040165
de Jesus Duarte S, Glaser B, Pellegrino Cerri CE. Effect of Biochar Particle Size on Physical, Hydrological and Chemical Properties of Loamy and Sandy Tropical Soils. Agronomy. 2019; 9(4):165. https://doi.org/10.3390/agronomy9040165
Chicago/Turabian Stylede Jesus Duarte, Sara, Bruno Glaser, and Carlos Eduardo Pellegrino Cerri. 2019. "Effect of Biochar Particle Size on Physical, Hydrological and Chemical Properties of Loamy and Sandy Tropical Soils" Agronomy 9, no. 4: 165. https://doi.org/10.3390/agronomy9040165
APA Stylede Jesus Duarte, S., Glaser, B., & Pellegrino Cerri, C. E. (2019). Effect of Biochar Particle Size on Physical, Hydrological and Chemical Properties of Loamy and Sandy Tropical Soils. Agronomy, 9(4), 165. https://doi.org/10.3390/agronomy9040165

