Moderate Drip Irrigation Level with Low Mepiquat Chloride Application Increases Cotton Lint Yield by Improving Leaf Photosynthetic Rate and Reproductive Organ Biomass Accumulation in Arid Region
Abstract
1. Introduction
2. Materials and Methods
2.1. Experimental Site and Cultivar
2.2. Experimental Design
2.3. Field Management
2.4. Net Photosynthetic Rate
2.5. Water Productivity (WP)
2.6. Chlorophyll Content
2.7. Biomass Accumulation
2.8. Yield, Yield Contributors and Fiber Quality
2.9. Data Analysis
3. Results
3.1. Leaf Area Index
3.2. Chlorophyll Content
3.3. Net Photosynthetic Rate
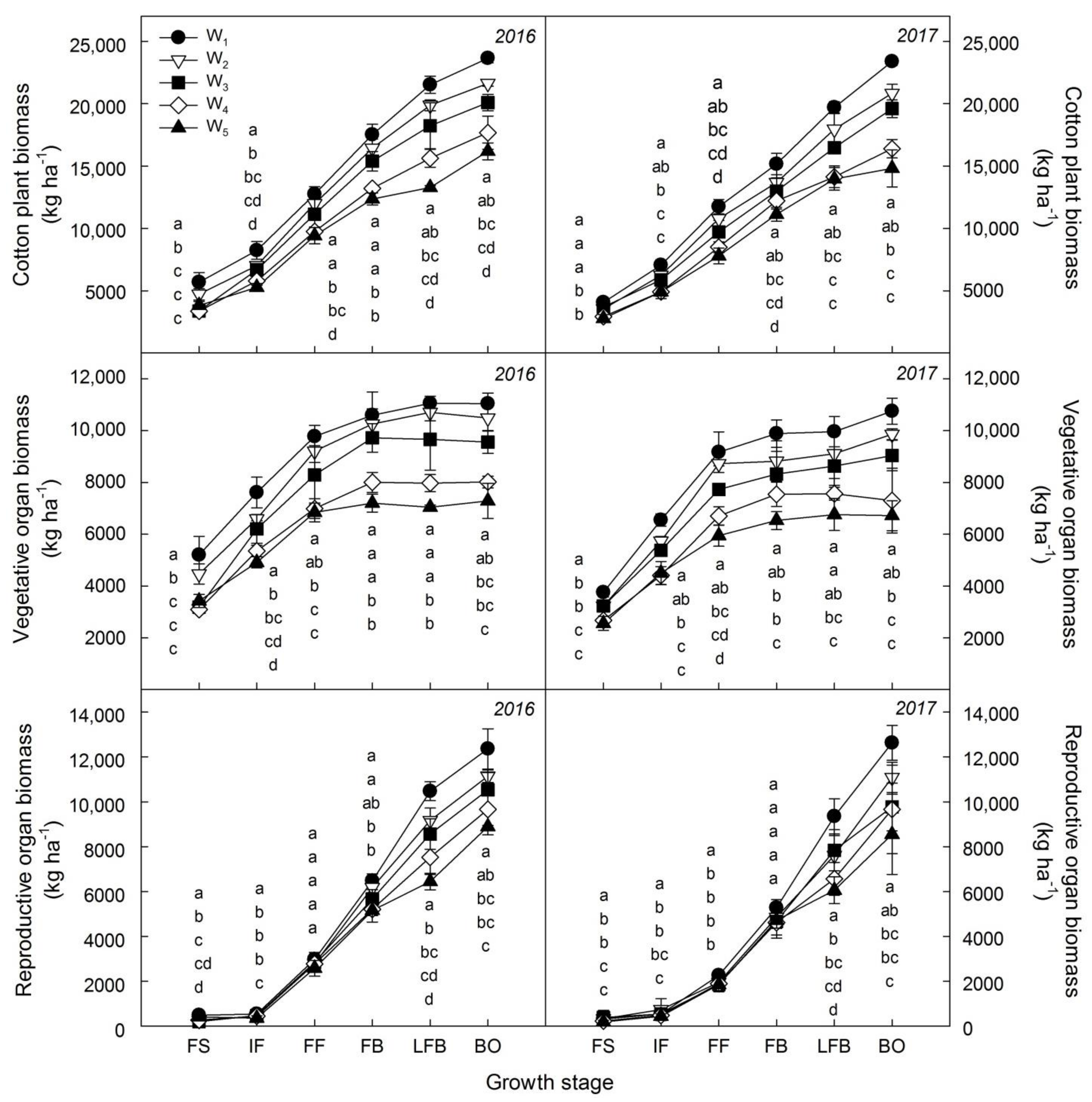
3.4. Cotton Plant Biomass Accumulation
3.5. Characteristics of Biomass Accumulation
3.6. Yield, Water Productivity and Fiber Quality
3.7. Correlation Analysis and Regression Analysis
4. Discussion
5. Conclusions
Author Contributions
Funding
Conflicts of Interest
References
- Constable, G.A.; Bange, M.P. The yield potential of cotton (Gossypium hirsutum L.). Field Crops Res. 2015, 182, 98–106. [Google Scholar] [CrossRef]
- Khan, A.; Wang, L.; Ali, S.; Tung, S.A.; Hafeez, A.; Yang, G. Optimal planting density and sowing date can improve cotton yield by maintaining reproductive organ biomass and enhancing potassium uptake. Field Crops Res. 2017, 214, 164–174. [Google Scholar] [CrossRef]
- Feng, L.; Dai, J.; Tian, L.; Zhang, H.; Li, W.; Dong, H. Review of the technology for high-yielding and efficient cotton cultivation in the northwest inland cotton-growing region of China. Field Crops Res. 2017, 208, 18–26. [Google Scholar] [CrossRef]
- Berry, P.; Ramirezvillegas, J.; Bramley, H.; Mgonja, M.A.; Mohanty, S. Regional impacts of climate change on agriculture and the role of adaptation. In Plant Genetic Resources and Climate Change; Jackson, M., Ford-Lloyd, B., Parry, M., Eds.; CAB International: Wallingford, UK, 2014; pp. 78–97. [Google Scholar]
- Cathey, G.W.; Meredith, W.R. Cotton Response to Planting Date and Mepiquat Chloride. Agron. J. 1988, 80, 463–466. [Google Scholar] [CrossRef]
- Choudhury, B.U.; Bouman, B.A.M.; Singh, A.K. Yield and water productivity of rice–wheat on raised beds at New Delhi, India. Field Crops Res. 2007, 100, 229–239. [Google Scholar] [CrossRef]
- Long, S.P.; Zhu, X.G.; Naidu, S.L.; Ort, D.R. Can improvement in photosynthesis increase crop yields? Plant Cell Environ. 2006, 29, 315–330. [Google Scholar] [CrossRef]
- Zhu, X.; Long, S.; Ort, D. What is the maximum efficiency with which photosynthesis can convert solar energy into biomass? Curr. Opin. Biotechnol. 2008, 19, 153–159. [Google Scholar] [CrossRef]
- Basal, H.; Dagdelen, N.; Unay, A.; Yilmaz, E. Effects of deficit drip irrigation ratios on cotton (Gossypium hirsutumL.) yield and fibre quality. J. Agron. Crop. Sci. 2009, 195, 19–29. [Google Scholar] [CrossRef]
- Luo, H.H.; Zhang, Y.L.; Zhang, W.F. Effects of water stress and rewatering on photosynthesis, root activity, and yield of cotton with drip irrigation under mulch. Photosynthetica 2016, 54, 65–73. [Google Scholar] [CrossRef]
- Yan, M.; Zheng, J.; Zhang, J.; Shi, H.; Tian, L.; Guo, R.; Lin, T. Effects of regulated deficit irrigation on accumulation and distribution of biomass and nitrogen, and yield of island cotton. Chin. J. Eco Agric. 2015, 23, 841–850. [Google Scholar]
- Lu, X.R.; Jia, X.Y.; Niu, J.H. The present Situation and prospects of cotton industry development in China. Sci. Agric. Sin. 2018, 51, 26–36. [Google Scholar]
- Kang, S.Z.; Shi, W.J.; Zhang, J.H. An improved water-use efficiency for maize grown under regulated deficit irrigation. Field Crops Res. 2000, 67, 207–214. [Google Scholar] [CrossRef]
- Zhang, G.Q.; Liu, C.W.; Xiao, C.H.; Xie, R.Z.; Ming, B.; Hou, P.; Liu, G.Z.; Xu, W.J.; Shen, D.P.; Wang, K.R.; et al. Optimizing water use efficiency and economic return of super high yield spring maize under drip irrigation and plastic mulching in arid areas of China. Field Crops Res. 2017, 211, 137–146. [Google Scholar] [CrossRef]
- Tang, L.S.; Li, Y.; Zhang, J.H. Partial rootzone irrigation increases water use efficiency, maintains yield and enhances economic profit of cotton in arid area. Agric. Water Manag. 2010, 97, 1527–1533. [Google Scholar] [CrossRef]
- Zhang, Y.; Zhang, Y.; Wang, Z.; Wang, Z. Characteristics of canopy structure and contributions of non-leaf organs to yield in winter wheat under different irrigated conditions. Field Crops Res. 2011, 123, 187–195. [Google Scholar] [CrossRef]
- Yang, G.H. Research advance in the theory and technology of crop regulated deficit irrigation. J. Anhui Agric. Sci. 2008, 36, 2514–2516. [Google Scholar]
- Cai, H.J.; Kang, S.Z.; Zhang, Z.H.; Chai, H.M.; Hu, X.T.; Wang, J. Proper growth stages and deficit degree of crop regulated deficit irrigation. Trans. Chin. Soc. Agric. Eng. 2000, 16, 24–27. [Google Scholar]
- Qian, C.; Zhang, Y.; Sun, Z.; Zheng, J.; Wei, B.; Yang, L.; Feng, L.; Chen, F.; Zhe, Z.; Ning, Y. Morphological plasticity of root growth under mild water stress increases water use efficiency without reducing yield in maize. Biogeosciences 2017, 14, 1–24. [Google Scholar]
- Yang, C.J.; Luo, Y.; Sun, L.; Wu, N. Effect of Deficit Irrigation on the Growth, Water Use Characteristics and Yield of Cotton in Arid Northwest China. Pedosphere 2015, 25, 910–924. [Google Scholar] [CrossRef]
- Tung, S.A.; Huang, Y.; Ali, S.; Hafeez, A.; Shah, A.N.; Song, X.; Ma, X.; Luo, D.; Yang, G. Mepiquat chloride application does not favor leaf photosynthesis and carbohydrate metabolism as well as lint yield in late-planted cotton at high plant density. Field Crops Res. 2018, 221, 108–118. [Google Scholar] [CrossRef]
- Bogiani, J.C.; Rosolem, C.A. Sensibility of cotton cultivars to mepiquat chloride. Pesqui. Agropecu. Bras. 2009, 44, 1246–1253. [Google Scholar] [CrossRef]
- Cook, D.R.; Kennedy, C.W. Early flower bud loss and mepiquat chloride effects on cotton yield distribution. Crop Sci. 2000, 40, 1678–1684. [Google Scholar] [CrossRef]
- Mao, L.; Zhang, L.; Evers, J.B.; Werf, W.V.D.; Liu, S.; Zhang, S.; Wang, B.; Li, Z. Yield components and quality of intercropped cotton in response to mepiquat chloride and plant density. Field Crops Res. 2015, 179, 63–71. [Google Scholar] [CrossRef]
- Yang, G.Z.; Tang, H.Y.; Nie, Y.C.; Zhang, X.L. Responses of cotton growth, yield, and biomass to nitrogen split application ratio. Eur. J. Agron. 2011, 35, 164–170. [Google Scholar] [CrossRef]
- Gu, J.F.; Zhou, Z.X.; Li, Z.K.; Chen, Y.; Wang, Z.Q.; Zhang, H. Rice (Oryza sativa L.) with reduced chlorophyll content exhibit higher photosynthetic rate and efficiency, improved canopy light distribution, and greater yields than normally pigmented plants. Field Crops Res. 2017, 200, 58–70. [Google Scholar] [CrossRef]
- Yi, X.P.; Zhang, Y.L.; Yao, H.S.; Luo, H.H.; Gou, L.; Chow, W.S.; Zhang, W.F. Rapid recovery of photosynthetic rate following soil water deficit and re-watering in cotton plants (Gossypium herbaceum L.) is related to the stability of the photosystems. J. Plant Physiol. 2016, 194, 23–34. [Google Scholar] [CrossRef]
- Chaves, M.M.; Flexas, J.; Pinheiro, C. Photosynthesis under drought and salt stress: Regulation mechanisms from whole plant to cell. Ann. Bot. 2009, 103, 551. [Google Scholar] [CrossRef]
- Ennahli, S.; Earl, H.J. Physiological limitations to photosynthetic carbon assimilation in cotton under water stress. Crop Sci. 2005, 45, 2374–2382. [Google Scholar] [CrossRef]
- Shareef, M.; Gui, D.W.; Zeng, F.J.; Waqas, M.; Zhang, B.; Iqbal, H. Water productivity, growth, and physiological assessment of deficit irrigated cotton on hyperarid desert-oases in northwest China. Agric. Water Manag. 2018, 206, 1–10. [Google Scholar] [CrossRef]
- Xin, L.; Zheng, H.; Yang, Z.; Guo, J.; Liu, T.; Sun, L.; Xiao, Y.; Yang, J.; Yang, Q.; Guo, L. Physiological and proteomic analysis of maize seedling response to water deficiency stress. J. Plant Physiol. 2018, 228, 29–38. [Google Scholar] [CrossRef]
- Niu, J.; Zhang, S.; Liu, S.; Ma, H.; Chen, J.; Shen, Q.; Ge, C.; Zhang, X.; Pang, C.; Zhao, X. The compensation effects of physiology and yield in cotton after drought stress. J. Plant Physiol. 2018, 224, 30–48. [Google Scholar] [CrossRef] [PubMed]
- Kozlowski, T.T. Water Deficits and Plant Growth. Water Relat. Plants 1983, 342–389. [Google Scholar]
- Ullah, I.; Ashraf, M.; Zafar, Y. Genotypic variation for drought tolerance in cotton (Gossypium hirsutum L.): Leaf gas exchange and productivity. Flora 2008, 203, 105–115. [Google Scholar] [CrossRef]
- Luo, H.; Li, J.; Gou, L. Regulation of under-mulch-drip irrigation on production and distribution of photosynthetic assimilate and cotton yield under different soil moisture contents during cotton flowering and boll-setting stage. Sci. Agric. Sin. 2008, 41, 1955–1962. [Google Scholar]
- Santos, E.F.D.; Zanchim, B.J.; Campos, A.G.d.; Garrone, R.F.; Lavres Junior, J. Photosynthesis rate, chlorophyll content and initial development of physic nut without micronutrient fertilization. Rev. Bras. Cienc. Solo. 2013, 37, 1334–1342. [Google Scholar] [CrossRef]
- Horvat, T.; Poljak, M.; Lazarevic, B.; Svecnjak, Z.; Karazlja, T.; Marietta, H. Effect of foliar fertilizers on chlorophyll content index and yield of potato crop grown under water stress conditions. Növénytermelés 2010, 59, 215–218. [Google Scholar]
- Sobhkhizi, A.; Rayni, M.F.; Barzin, H.B.; Noori, M. Influence of drought stress on photosynthetic enzymes, chlorophyll, protein and relative water content in crop plants. Int. J. Biosci. 2014, 5, 89–100. [Google Scholar]
- Gilmore, A.M. Mechanistic aspects of xanthophyll cycle-dependent photoprotection in higher plant chloroplasts and leaves. Physiol. Plantarum 2010, 99, 197–209. [Google Scholar] [CrossRef]
- Koler, P.; Patil, B.C.; Chetti, M.B.; Hiremath, S.M. Influence of plant growth regulators on total dry matter, leaf area index and yield, yield components in hybrid cotton. Karnataka J. Agric. Sci. 2010, 23, 503–505. [Google Scholar]
- Shan, L.; Zhang, S.Q. Is possible to save large irrigation water? The situation and prospect of water-saving agriculture in China. Chin. J. Nature 2006, 2, 71–74. [Google Scholar]
- Zhao, L.Y.; Deng, X.P.; Shan, L. A review on types and mechanisms of compensation effect of crops under water deficit. J. Appl. Ecol. 2004, 15, 523–526. [Google Scholar]
- Nepomuceno, A.L.; Oosterhuis, D.M.; Stewart, J.M. Physiological responses of cotton leaves and roots to water deficit induced by polyethylene glycol. Environ. Exp. Bot. 1998, 40, 29–41. [Google Scholar] [CrossRef]
- Zhang, W.F.; Wang, Z.L.; Yu, S.J.; Li, S.K.; Cao, L.P.; Ren, L.T. Effect of under-mulch-drip irrigation on canopy apparent photosynthesis, canopy structure and yield formation in high-yield cotton of Xinjiang. Sci. Agric. Sin. 2002, 35, 632–637. [Google Scholar]
- Zhan, D.X.; Zhang, C.; Yang, Y.; Luo, H.H.; Zhang, Y.L.; Zhang, W.F. Water deficit alters cotton canopy structure and increases photosynthesis in the mid-canopy layer. Agron. J. 2015, 107, 1947–1957. [Google Scholar] [CrossRef]
- Constable, G.A.; Rawson, H.M. Distribution of 14C label from cotton leaves: Consequences of changed water and Nitrogen status. Funct. Plant Biol. 1982, 9, 735–747. [Google Scholar] [CrossRef]
- Su, B.Y.; Song, Y.X.; Song, C.; Cui, L.; Yong, T.W.; Yang, W.Y. Growth and photosynthetic responses of soybean seedlings to maize shading in relay intercropping system in Southwest China. Photosynthetica 2015, 52, 332–340. [Google Scholar] [CrossRef]
- Salah, H.; Tardieu, F. Control of leaf expansion rate of droughted maize plants under fluctuating evaporative demand (A superposition of hydraulic and chemical messages?). Plant Physiol. 1997, 114, 893–900. [Google Scholar] [CrossRef]
- Kaiser, W.M. Effects of water deficit on photosynthetic capacity. Physiol. Plantarum 2010, 71, 142–149. [Google Scholar] [CrossRef]
- Gao, X.L.; Sun, J.M.; Gao, J.F.; Feng, B.L.; Wang, P.K.; Chai, Y. Accumulation and transportation characteristics of dry matter after anthesis in different mung bean cultivars. Acta Agron. Sin. 2009, 35, 1715–1721. [Google Scholar] [CrossRef]
- Plénet, D.; Mollier, A.; Pellerin, S. Growth analysis of maize field crops under phosphorus deficiency. II. Radiation-use efficiency, biomass accumulation and yield components. Plant Soil 2000, 224, 259–272. [Google Scholar] [CrossRef]
- Fereres, E.; Soriano, M.A. Deficit irrigation for reducing agricultural water use. J. Exp. Bot. 2007, 58, 147–159. [Google Scholar] [CrossRef] [PubMed]
- Xu, R.B.; Sun, H.C.; Liu, L.T.; Zhang, Y.J.; Liu, Y.C.; Bai, Z.Y.; Li, C.D.; Sun, G.J. Effect of irrigation patterns on accumulation and distribution of dry matter, yield and water use efficiency of cotton in southern Hebei. Cotton Sci. 2018, 30, 386–394. [Google Scholar]
- Bell, J.M.; Schwartz, R.; McInnes, K.J.; Howell, T.; Morgan, C.L.S. Deficit irrigation effects on yield and yield components of grain sorghum. Agric. Water Manag. 2018, 203, 289–296. [Google Scholar] [CrossRef]
- Chastain, D.R.; Snider, J.L.; Collins, G.D.; Perry, C.D.; Whitaker, J.; Byrd, S.A. Water deficit in field-grown Gossypium hirsutum primarily limits net photosynthesis by decreasing stomatal conductance, increasing photorespiration, and increasing the ratio of dark respiration to gross photosynthesis. J. Plant Physiol. 2014, 171, 1576–1585. [Google Scholar] [CrossRef] [PubMed]
- Zhang, H.Z.; Khan, A.; Tan, D.K.Y.; Luo, H.H. Rational water and Nitrogen management improves root growth, increases yield and maintains water use efficiency of cotton under mulch drip irrigation. Front. Plant Sci. 2017, 8, 912. [Google Scholar] [CrossRef] [PubMed]
- Dai, J.L.; Dong, H.Z. Intensive cotton farming technologies in China: Achievements, challenges and countermeasures. Field Crops Res. 2014, 155, 99–110. [Google Scholar] [CrossRef]
- Balkcom, K.S.; Reeves, D.W.; Shaw, J.N.; Burmester, C.H.; Curtis, L.M. Cotton yield and fiber quality from irrigated tillage systems in the Tennessee valley. Agron. J. 2006, 98, 596. [Google Scholar] [CrossRef]
- Ünlü, M.; Kanber, R.; Koç, D.L.; Tekin, S.; Kapur, B. Effects of deficit irrigation on the yield and yield components of drip irrigated cotton in a mediterranean environment. Agric. Water Manag. 2011, 98, 597–605. [Google Scholar]
- Zhou, L.; Gan, Y.; Ou, X.B.; Wang, G.X. Progress in molecular and physiological mechanisms of water-saving by compensation for water deficit of crop and how they relate to crop production. Chin. J. Eco Agric. 2011, 19, 217–225. [Google Scholar] [CrossRef]
- Tung, S.A.; Huang, Y.; Hafeez, A.; Ali, S.; Khan, A.; Souliyanonh, B.; Song, X.H.; Liu, A.D.; Yang, G.Z. Mepiquat chloride effects on cotton yield and biomass accumulation under late sowing and high density. Field Crops Res. 2018, 215, 59–65. [Google Scholar] [CrossRef]
- Zhang, D.M.; Luo, Z.; Liu, S.H.; Li, W.J.; Wei, T.; Dong, H.Z. Effects of deficit irrigation and plant density on the growth, yield and fiber quality of irrigated cotton. Field Crops Res. 2016, 197, 1–9. [Google Scholar] [CrossRef]
- Hussein, F.; Janat, M.; Yakoub, A. Assessment of yield and water use efficiency of drip-irrigated cotton (Gossypium hirsutum L.) as affected by deficit irrigation. Turk. J. Agric. For. 2011, 35, 611–621. [Google Scholar]
- Bradow, J.M.; Davidonis, G.H. Quantitation of fiber quality and the cotton production-processing interface: A physiologist’s perspective. J. Cotton Sci. 2000, 1, 34–64. [Google Scholar]







| Year | Treatment | Regression Equations | p | Fast Accumulation Period | Fast Accumulation Point | ||||
|---|---|---|---|---|---|---|---|---|---|
| t1 (DAE) | t2 (DAE) | T (day) | VT (kg ha−1 day-1) | VM (kg ha−1 day-1) | tm (DAE) | ||||
| 2016 | Cotton plant biomass | ||||||||
| W1 | Y = 33258.5934/(1 + 119.3122e−0.051359t) | 0.0011 | 67.5 | 118.8 | 51.3 | 374.4 | 427.0 | 93.1 | |
| W2 | Y = 29446.6185/(1 + 231.5378e−0.05993t) | 0.0016 | 68.9 | 112.8 | 44.0 | 386.8 | 441.2 | 90.9 | |
| W3 | Y = 25670.201/(1 + 403.4676e−0.067762t) | 0.0020 | 69.1 | 108.0 | 38.9 | 381.3 | 434.9 | 88.5 | |
| W4 | Y = 22840.8431/(1 + 299.7992e−0.063716t) | 0.0026 | 68.8 | 110.2 | 41.3 | 319.0 | 363.8 | 89.5 | |
| W5 | Y = 20179.7177/(1 + 237.2227e−0.062861t) | 0.0059 | 66.1 | 108.0 | 41.9 | 278.1 | 317.1 | 87.0 | |
| Vegetative organ biomass | |||||||||
| W1 | Y = 13417.5274/(1 + 2823.3601e−0.114252t) | 0.0007 | 58.0 | 81.1 | 23.1 | 336.0 | 383.2 | 69.5 | |
| W2 | Y = 13262.6927/(1 + 1995.0725e−0.105198t) | 0.0007 | 59.7 | 84.8 | 25.0 | 305.8 | 348.8 | 72.2 | |
| W3 | Y = 11790.2110/(1 + 14040.0792e−0.131561t) | 0.0019 | 62.6 | 82.6 | 20.0 | 340.0 | 387.8 | 72.6 | |
| W4 | Y = 9872.6580/(1 + 11420.6305e−0.129823t) | 0.0019 | 61.8 | 82.1 | 20.3 | 280.9 | 320.4 | 72.0 | |
| W5 | Y = 8836.4909/(1 + 14624.8702e−0.136997t) | 0.0007 | 60.4 | 79.6 | 19.2 | 265.4 | 302.6 | 70.0 | |
| Reproductive organ biomass | |||||||||
| W1 | Y = 17786.1982/(1 + 7812.2131e−0.083488t) | 0.0012 | 91.6 | 123.1 | 31.6 | 325.5 | 371.2 | 107.4 | |
| W2 | Y = 15248.9874/(1 + 9516.8349e−0.086831t) | 0.0024 | 90.3 | 120.7 | 30.3 | 290.2 | 331.0 | 105.5 | |
| W3 | Y = 14945.7964/(1 + 5473.7872e−0.080545t) | 0.0033 | 90.5 | 123.2 | 32.7 | 263.9 | 301.0 | 106.9 | |
| W4 | Y = 14135.8253/(1 + 3096.8490e−0.074301t) | 0.0053 | 90.5 | 125.9 | 35.5 | 230.2 | 262.6 | 108.2 | |
| W5 | Y = 12496.6137/(1 + 2551.9707e−0.073465t) | 0.0109 | 88.9 | 124.7 | 35.9 | 201.2 | 229.5 | 106.8 | |
| 2017 | Cotton plant biomass | ||||||||
| W1 | Y = 35207.8503/(1 + 60.9476e−0.043942t) | 0.0017 | 63.6 | 123.5 | 59.9 | 339.1 | 386.8 | 93.5 | |
| W2 | Y = 30621.6718/(1 + 67.5922e−0.046357t) | 0.0017 | 62.5 | 119.3 | 56.8 | 311.2 | 354.9 | 90.9 | |
| W3 | Y = 28700.9055/(1 + 60.3377e−0.044661t) | 0.0015 | 62.3 | 121.3 | 59.0 | 281.0 | 320.5 | 91.8 | |
| W4 | Y = 22741.8283/(1 + 106.6472e−0.054536t) | 0.0013 | 61.5 | 109.8 | 48.3 | 271.9 | 310.1 | 85.6 | |
| W5 | Y = 20470.5648/(1 + 88.5934e−0.053107t) | 0.0021 | 59.6 | 109.2 | 49.6 | 238.3 | 271.8 | 84.4 | |
| Vegetative organ biomass | |||||||||
| W1 | Y = 12345.7473/(1 + 701.2048e−0.108047t) | 0.0003 | 48.5 | 72.8 | 24.4 | 292.4 | 333.5 | 60.6 | |
| W2 | Y = 11733.5035/(1 + 613.4740e−0.102951t) | 0.0020 | 49.6 | 75.1 | 25.6 | 264.8 | 302.0 | 62.4 | |
| W3 | Y = 10606.1122/(1 + 356.4513e−0.096032t) | 0.0022 | 47.5 | 74.9 | 27.4 | 223.3 | 254.6 | 61.2 | |
| W4 | Y = 9074.6476/(1 + 718.0429e−0.106314t) | 0.0016 | 49.5 | 74.2 | 24.8 | 211.5 | 241.2 | 61.9 | |
| W5 | Y = 8327.4903/(1 + 370.5410e−0.097825t) | 0.0019 | 47.0 | 73.9 | 26.9 | 178.6 | 203.7 | 60.5 | |
| Reproductive organ biomass | |||||||||
| W1 | Y = 18820.0391/(1 + 3123.6047e−0.076271t) | 0.0004 | 88.2 | 122.8 | 34.5 | 314.6 | 358.9 | 105.5 | |
| W2 | Y = 16606.3387/(1 + 2573.79391e−0.074759t) | 0.0027 | 87.4 | 122.7 | 35.2 | 272.1 | 310.4 | 105.0 | |
| W3 | Y = 15124.7130/(1 + 2981.4888e−0.077040t) | 0.0010 | 86.7 | 120.9 | 34.2 | 255.4 | 291.3 | 103.8 | |
| W4 | Y = 13679.9428/(1 + 2689.8974e−0.077117t) | 0.0056 | 85.3 | 119.5 | 34.2 | 231.2 | 263.7 | 102.4 | |
| W5 | Y = 9488.9482/(1 + 7536.0818e−0.09532t) | 0.0050 | 79.8 | 107.5 | 27.6 | 198.3 | 226.1 | 93.7 | |
| Year | Treatment | Seed Yield (kg ha−1) | Lint Yield (kg ha−1) | Boll Weight (g) | Bolls Per Unit Area (104 ha−1) | Lint Percentage (%) | Water Productivity (kg m−3) |
|---|---|---|---|---|---|---|---|
| 2016 | W1 | 6607 ± 392 a | 2739 ± 194 a | 4.78 ± 0.12 a | 140.2 ± 11.4 a | 41.45 ± 1.43 b | 1.38 ± 0.08 b |
| W2 | 6099 ± 305 ab | 2581 ± 109 ab | 4.72 ± 0.07 ab | 129.2 ± 5.9 ab | 42.32 ± 1.83 ab | 1.41 ± 0.07 b | |
| W3 | 5968 ± 286 ab | 2531 ± 212 ab | 4.69 ± 0.14 ab | 129.8 ± 9.0 ab | 42.41 ± 1.84 ab | 1.55 ± 0.07 ab | |
| W4 | 5694 ± 340 b | 2393 ± 235 bc | 4.62 ± 0.19 bc | 123.1 ± 9.5 bc | 42.39 ± 1.82 ab | 1.68 ± 0.10 a | |
| W5 | 5013 ± 260 c | 2147 ± 85 c | 4.55 ± 0.17 c | 110.2 ± 4.7 c | 42.84 ± 1.85 a | 1.74 ± 0.09 a | |
| 2017 | W1 | 6492 ± 466 a | 2615 ± 199 a | 4.76 ± 0.16 a | 135.9 ± 12.1 a | 40.28 ± 1.39 b | 1.35 ± 0.10 c |
| W2 | 6151 ± 341 ab | 2484 ± 96 ab | 4.67 ± 0.26 ab | 132.0 ± 10.7 ab | 40.39 ± 1.75 b | 1.42 ± 0.08 bc | |
| W3 | 5874 ± 441 bc | 2397 ± 248 b | 4.62 ± 0.15 ab | 129.3 ± 11.1 ab | 40.63 ± 1.76 ab | 1.53 ± 0.11 b | |
| W4 | 5689 ± 342 c | 2358 ± 233 b | 4.53 ± 0.09 b | 125.6 ± 7.5 b | 41.45 ± 1.79 a | 1.69 ± 0.10 a | |
| W5 | 5184 ± 533 d | 2132 ± 165 c | 4.49 ± 0.11 b | 115.2 ± 14.4 c | 41.13 ± 1.78 ab | 1.80 ± 0.18 a | |
| Year | ns | * | ns | ns | ** | ns | |
| Year × Treatment | ns | ns | ns | ns | ns | ns |
| Year | Treatment | Fiber Length (mm) | Fiber Uniformity (%) | Specific Strength (CN tex−1) | Micronaire Value |
|---|---|---|---|---|---|
| 2016 | W1 | 30.4 ± 0.38 a | 87.3 ± 0.35 a | 30.5 ± 1.5 a | 4.0 ± 0.11 a |
| W2 | 30.0 ± 0.06 ab | 87.0 ± 0.69 a | 30.7 ± 1.5 a | 4.2 ± 0.15 a | |
| W3 | 29.9 ± 0.38 ab | 86.8 ± 0.33 a | 31.2 ± 1.2 a | 4.1 ± 0.10 a | |
| W4 | 29.6 ± 0.33 b | 85.9 ± 0.31 b | 30.8 ± 0.7 a | 4.2 ± 0.17 a | |
| W5 | 29.5 ± 0.35 b | 85.8 ± 0.15 b | 30.7 ± 1.3 a | 4.2 ± 0.15 a | |
| 2017 | W1 | 30.6 ± 0.48 a | 85.1 ± 0.78 a | 30.7 ± 0.20 a | 4.0 ± 0.31 a |
| W2 | 30.2 ± 0.53 ab | 84.7 ± 0.50 ab | 30.8 ± 0.10 a | 4.0 ± 0.14 a | |
| W3 | 30.2 ± 0.10 ab | 84.6 ± 0.62 ab | 30.7 ± 0.72 a | 4.1 ± 0.07 a | |
| W4 | 29.5 ± 0.21 bc | 84.4 ± 0.19 ab | 30.7 ± 0.40 a | 4.0 ± 0.31 a | |
| W5 | 29.0 ± 0.84 c | 84.2 ± 0.47 b | 30.6 ± 0.62 a | 4.1 ± 0.26 a | |
| Year | ns | ** | ns | ns | |
| Year × Treatment | * | ns | ns | ns |
| Growth Stages | LAI | Pn | Chl | CPB | VOB | ROB |
|---|---|---|---|---|---|---|
| FS | 0.637* | 0.577 | 0.324 | 0.722* | 0.748* | 0.291 |
| FF | 0.918** | 0.907** | 0.592 | 0.919** | 0.940** | 0.47 |
| FB | 0.896** | 0.915** | 0.840** | 0.924** | 0.964** | 0.704* |
| LFB | 0.916** | 0.901** | 0.727* | 0.959** | 0.964** | 0.944** |
| BO | 0.946** | 0.806** | 0.498 | 0.946** | 0.946** | 0.937** |
© 2019 by the authors. Licensee MDPI, Basel, Switzerland. This article is an open access article distributed under the terms and conditions of the Creative Commons Attribution (CC BY) license (http://creativecommons.org/licenses/by/4.0/).
Share and Cite
Gao, H.; Ma, H.; Khan, A.; Xia, J.; Hao, X.; Wang, F.; Luo, H. Moderate Drip Irrigation Level with Low Mepiquat Chloride Application Increases Cotton Lint Yield by Improving Leaf Photosynthetic Rate and Reproductive Organ Biomass Accumulation in Arid Region. Agronomy 2019, 9, 834. https://doi.org/10.3390/agronomy9120834
Gao H, Ma H, Khan A, Xia J, Hao X, Wang F, Luo H. Moderate Drip Irrigation Level with Low Mepiquat Chloride Application Increases Cotton Lint Yield by Improving Leaf Photosynthetic Rate and Reproductive Organ Biomass Accumulation in Arid Region. Agronomy. 2019; 9(12):834. https://doi.org/10.3390/agronomy9120834
Chicago/Turabian StyleGao, Hongyun, Hui Ma, Aziz Khan, Jun Xia, Xianzhe Hao, Fangyong Wang, and Honghai Luo. 2019. "Moderate Drip Irrigation Level with Low Mepiquat Chloride Application Increases Cotton Lint Yield by Improving Leaf Photosynthetic Rate and Reproductive Organ Biomass Accumulation in Arid Region" Agronomy 9, no. 12: 834. https://doi.org/10.3390/agronomy9120834
APA StyleGao, H., Ma, H., Khan, A., Xia, J., Hao, X., Wang, F., & Luo, H. (2019). Moderate Drip Irrigation Level with Low Mepiquat Chloride Application Increases Cotton Lint Yield by Improving Leaf Photosynthetic Rate and Reproductive Organ Biomass Accumulation in Arid Region. Agronomy, 9(12), 834. https://doi.org/10.3390/agronomy9120834

